The Effect of Ion Irradiation Induced Defects on Mechanical Properties of Graphene/Copper Layered Nanocomposites
Abstract
1. Introduction
2. Molecular Dynamics Model and Method
2.1. Irradiation Model and Method
2.2. Mechanical Models and Methods of Graphene/Copper Layered Composites
3. Results and Discussion
3.1. Validation
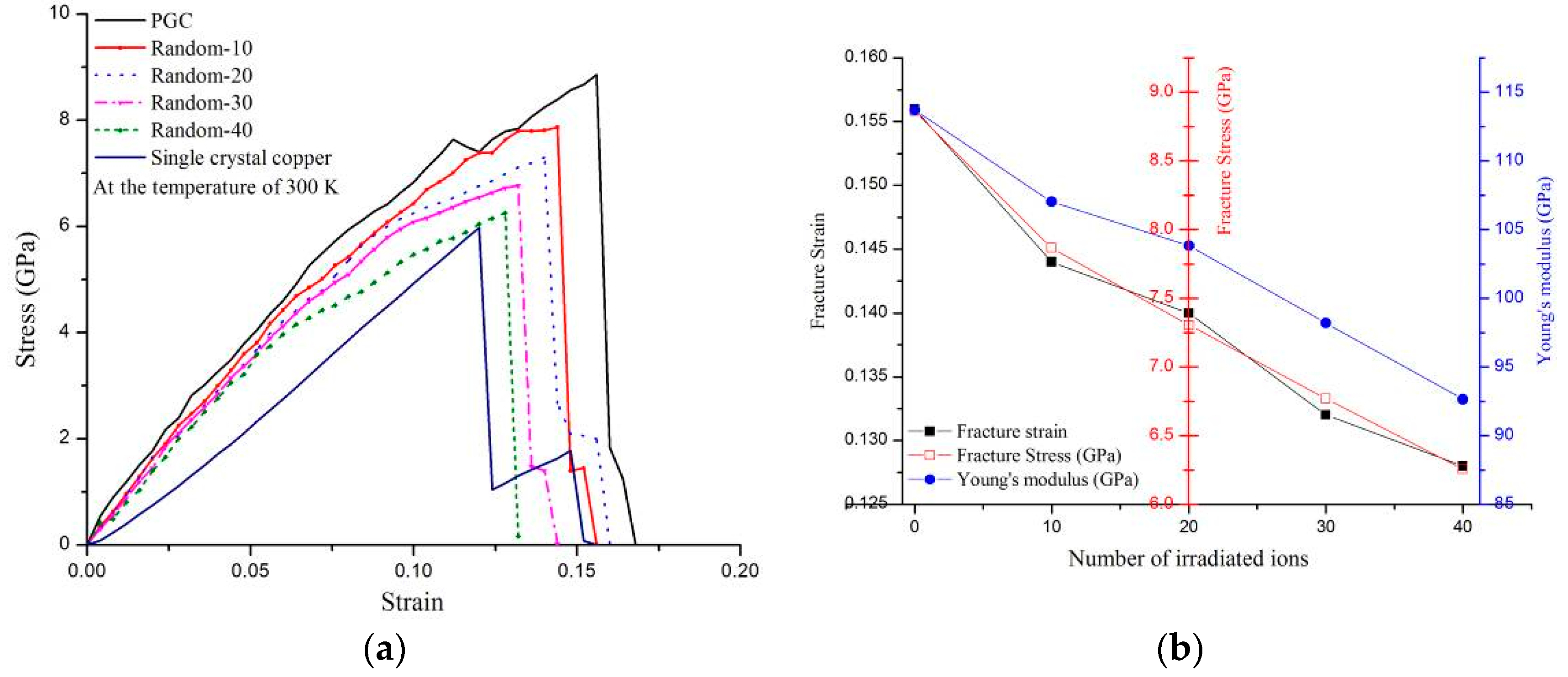
3.2. Effects of Different Doses of Ions Irradiation Induced Defects
3.3. Coupling Effect of Ion Irradiation and Temperature
3.4. Coupling Effect of Defects Distribution and Temperature
4. Conclusions
Author Contributions
Funding
Conflicts of Interest
References
- Novoselov, K.; Geim, A.; Morozov, S.; Jiang, D.; Zhang, Y.; Dubonos, S.V.; Grigorieva, I.V.; Firsov, A.A. Electric field effect in atomically thin carbon films. Science 2004, 306, 666–669. [Google Scholar] [CrossRef] [PubMed]
- Lee, C.G.; Wei, X.D.; Kysar, J.W.; Hone, J. Measurement of the elastic properties and intrinsic strength of monolayer graphene. Science 2008, 321, 385–388. [Google Scholar] [CrossRef] [PubMed]
- Chae, H.K.; Siberio-Perez, D.Y.; Kim, J.; Go, Y.B.; Eddaoudi, M.; Matzger, A.J.; O’Keeffe, M.; Yaghi, O.M. A route to high surface area, porosity and inclusion of large molecules in crystal. Nature 2004, 427, 523–527. [Google Scholar] [CrossRef] [PubMed]
- Balandin, A.A.; Ghosh, S.; Bao, W.Z.; Calizo, I.; Teweldebrhan, D.; Miao, F.; Lau, C.N. Superior thermal conductivity of single-layer graphene. Nano Lett. 2008, 8, 902–907. [Google Scholar] [CrossRef] [PubMed]
- Chen, J.H.; Jiang, C.; Xiao, S.D.; Ishigami, M.; Fuhrer, M.S. Intrinsic and extrinsic performance limits of graphene devices on SiO2. Nat. Nanotechnol. 2008, 3, 206–209. [Google Scholar] [CrossRef] [PubMed]
- Banhart, F.; Kotakoski, J.; Krasheninnikov, A.V. Structural Defects in Graphene. ACS Nano 2011, 5, 26–41. [Google Scholar] [CrossRef]
- Araujo, P.T.; Terrones, M.; Dresselhaus, M.S. Defects and impurities in graphene-like materials. Mater. Today 2012, 15, 98–109. [Google Scholar] [CrossRef]
- Meyer, J.C.; Kisielowski, C.; Rrni, E.; Rossell, M.D.; Crommie, M.F.; Zettl, A. Direct imaging of lattice atoms and topological defects in graphene membranes. Nano Lett. 2008, 8, 3582–3586. [Google Scholar] [CrossRef]
- Ghafouri, R. Exploring pentagon-heptagon pair defects in the triangular graphene quantum dots: A computational study. Mater. Chem. Phy. 2016, 175, 223–232. [Google Scholar] [CrossRef]
- Wei, Y.J.; Wu, J.T.; Yin, H.Q.; Shi, X.H.; Ynag, R.G.; Dresselhaus, M. The nature of strength enchancement and weakening by pentagon-heptagon defects in graphene. Nat. Mater. 2012, 11, 759–763. [Google Scholar] [CrossRef]
- Huang, P.Y.; Ruiz-Vargas, C.S.; van der Zande, A.M.; Whitney, W.S.; Levendorf, M.P.; Kevek, J.W.; Garg, S.; Alden, J.S.; Hustedt, C.J.; Zhu, Y.; et al. Grains and grain boundaries in single-layer graphene atomic patchwork quilts. Nature 2011, 469, 389–392. [Google Scholar] [CrossRef] [PubMed]
- Hernandez, Y.; Nicolosi, V.; Lotya, M.; Blighe, F.M.; Sun, Z.; De, S.; McGovern, I.C.; Holland, B.; Byrne, M.; Gun’Ko, Y.K.; et al. High-yield production of graphene by liquid-phase exfoliation of graphite. Nat. Nanotechnol. 2008, 3, 563–568. [Google Scholar] [CrossRef] [PubMed]
- Jiang, L.; Fan, Z. Design of advanced porous graphene materials: from graphene nanomesh to 3D architectures. Nanoscale 2014, 6, 1922–1945. [Google Scholar] [CrossRef] [PubMed]
- Wu, Z.S.; Sun, Y.; Tan, Y.Z.; Yang, S.B.; Feng, X.L.; Müllen, K. Three-dimensional graphene-based macro- and mesoporous frameworks for high-performance electrochemical capacitive energy storage. J. Am. Chem. Soc. 2014, 134, 19532–19535. [Google Scholar] [CrossRef] [PubMed]
- Ilyin, A.M.; Daineko, E.A.; Beall, G.W. Computer simulation and study of radiation defects in graphene. Physica E 2009, 42, 67–69. [Google Scholar] [CrossRef]
- Li, W.; Liang, L.; Zhao, S.; Zhang, S.; Xue, J. Fabrication of nanopores in a graphene sheet with heavy ions: A molecular dynamics study. J. Appl. Phys. 2013, 114, 234304. [Google Scholar] [CrossRef]
- Zhang, Q.H.; Han, J.H.; Feng, G.Y.; Xu, Q.X.; Ding, L.Z.; Lu, X.X. Raman spectrum research on graphene modification under high intensity laser. Acta Phys. Sin. 2012, 61, 214209. [Google Scholar]
- Lee, S.; Seo, J.; Hong, J.; Park, S.H.; Lee, J.H.; Min, B.W.; Lee, T. Proton irradiation energy dependence of defect formation in graphene. Appl. Surf. Sci. 2015, 344, 52–56. [Google Scholar] [CrossRef]
- Zeng, J.; Liu, J.; Yao, H.J.; Zhai, P.F.; Zhang, S.X.; Guo, H.; Hu, P.P.; Duan, J.L.; Mo, D.; Hou, M.D.; et al. Comparative study of irradiation effects in graphite and graphene induced by swift heavy ions and highly charged ions. Carbon 2016, 100, 16–26. [Google Scholar] [CrossRef]
- Lehtinen, O.; Kotakoski, J.; Krasheninnikov, A.V.; Keinonen, J. Cutting and controlled modification of graphene with ion beams. Nanotechnology 2011, 22, 175306. [Google Scholar] [CrossRef]
- Terdalkar, S.S.; Zhang, S.L.; Rencis, J.J.; Hsia, K.J. Molecular dynamics simulations of ion-irradiation induced deflection of 2D graphene films. Int. J. Solids Struct. 2008, 45, 3908–3917. [Google Scholar] [CrossRef][Green Version]
- Plimpton, S. Fast parallel algorithms for short-range molecular dynamics. J. Comput. Phys. 1995, 117, 1–19. [Google Scholar] [CrossRef]
- Tersoff, J. New empirical approach for the structure and energy of covalent systems. Phys. Rev. B 1988, 37, 6991. [Google Scholar] [CrossRef] [PubMed]
- Ziegler, J.F.; Biersack, J.P. The stopping and ranges of ions in matter. Treatise Heavy-Ion Sci. 1977, 268, 93–129. [Google Scholar]
- Huang, H.; Tang, X.; Chen, F.; Yang, Y.; Liu, J.; Li, H.; Chen, D. Radiation damage resistance and interface stability of copper–graphene nanolayered composite. J. Nucl. Mater. 2015, 460, 16–22. [Google Scholar] [CrossRef]
- Liu, X.Y.; Wang, F.C.; Wang, W.Q.; Wu, H.A. Interfacial strengthening and self-healing effect in graphene-copper nano-layered composites under shear deformation. Carbon 2016, 107, 680–688. [Google Scholar] [CrossRef]
- Guo, Q.N.; Yue, X.D.; Yang, S.E.; Huo, Y.P. Tensile properties of ultrathin copper films and their temperature dependence. Int. J. Comput. Mater. Sci. Surf. Eng. 2010, 50, 319–330. [Google Scholar]
- Wu, H.A. Molecular dynamics study of the mechanics of metal nanowires at finite temperature. Eur. J. Mech. A. Solids 2006, 25, 370–377. [Google Scholar] [CrossRef]
- Duan, K.; Zhu, F.L.; Tang, K.; He, L.; Chen, Y.; Liu, S. Effects of chirality and number of graphene layers on the mechanical properties of graphene-embedded copper nanocomposites. Int. J. Comput. Mater. Sci. Surf. Eng. 2016, 117, 294–299. [Google Scholar] [CrossRef]
- Iwata, T.; Shintani, K. Reduction of the thermal conductivity of a graphene/hBN heterobilayer via interlayer sp3 bonds. Phys. Chem. Chem. Phys. 2018, 20, 5217. [Google Scholar] [CrossRef]
- Liu, X.Y.; Wang, F.C.; Wu, H.A.; Wang, W.Q. Strengthening metal nanolaminates under shock compressing through dual effect of strong and weak graphene interface. Appl. Phys. Lett. 2014, 104, 231901. [Google Scholar] [CrossRef]
- Guo, J.X.; Wang, B.; Yang, Z.Y. Molecular dynamics simulations on the mechanical properties of graphene/Cu composites. Acta Mater. Compos. Sin. 2014, 1, 152–157. [Google Scholar]










| Atoms | (eV) | σ (Å) | Reference |
|---|---|---|---|
| Copper-carbon | 0.01996 | 3.225 | [26,29] |
| Copper Types | Assessment Method (Potential) | Temperature (K) | Failure Strain | Failure Strength (GPa) | Young’s Modulus (GPa) | Reference |
|---|---|---|---|---|---|---|
| single-crystal | Eam | 300 | 0.124 | 6.19 | 51 | Present study |
| single-crystal | Eam | 293 | - | 10.83 | 59.78 | Guo et al. [27] |
| single-crystal | Eam | 300 | 0.115 | 7.11 | 62 | Wu et al. [28] |
| single-crystal | Eam | 300 | 0.133 | 5.5-5.8 | 42.16 | Duan et al. [29] |
| Various Types of Graphene | Temperature (K) | Failure Strain | Failure Strength (GPa) | Young’s Modulus (GPa) | Reference |
|---|---|---|---|---|---|
| AC | 300 | 0.156 | 8.86 | 113.68 | Present study |
| AC | 300 | 0.12-0.13 | 10-11 | - | Guo et al. [32] |
| AC | 300 | 0.157 | 7.4 | 102.05 | Duan et al. [29] |
| ZZ | 300 | 0.2 | 10.24 | 111.81 |
© 2019 by the authors. Licensee MDPI, Basel, Switzerland. This article is an open access article distributed under the terms and conditions of the Creative Commons Attribution (CC BY) license (http://creativecommons.org/licenses/by/4.0/).
Share and Cite
Yao, W.; Fan, L. The Effect of Ion Irradiation Induced Defects on Mechanical Properties of Graphene/Copper Layered Nanocomposites. Metals 2019, 9, 733. https://doi.org/10.3390/met9070733
Yao W, Fan L. The Effect of Ion Irradiation Induced Defects on Mechanical Properties of Graphene/Copper Layered Nanocomposites. Metals. 2019; 9(7):733. https://doi.org/10.3390/met9070733
Chicago/Turabian StyleYao, Wenjuan, and Lei Fan. 2019. "The Effect of Ion Irradiation Induced Defects on Mechanical Properties of Graphene/Copper Layered Nanocomposites" Metals 9, no. 7: 733. https://doi.org/10.3390/met9070733
APA StyleYao, W., & Fan, L. (2019). The Effect of Ion Irradiation Induced Defects on Mechanical Properties of Graphene/Copper Layered Nanocomposites. Metals, 9(7), 733. https://doi.org/10.3390/met9070733

