Experimental and Numerical Analysis of Conical Projectile Impact on Inconel 718 Plates
Abstract
1. Introduction
2. Experimental Procedures
2.1. Material Description
2.2. Impact Test Description
2.3. Experimental Results
2.3.1. Ballistic Curves
2.3.2. Energy Absorbed by the Target
2.3.3. Experimental Observations
3. Numerical Simulations
3.1. Numerical Model Description
- Zone A: the plate zone closes to the impact location. Requires the finest mesh, and its size is related to the radius of the projectile (34,900 elements).
- Zone B: is the transition region between the impact zone (zone A) and the surrounding zone (zone C) (44,500 elements).
- Zone C: represents a zone far from the impact point, where the boundary conditions are applied. It can be modelled with a coarse mesh (163,150 elements).
3.1.1. Mechanical Behavior of Inconel 718
3.1.2. Failure Behavior of Inconel 718
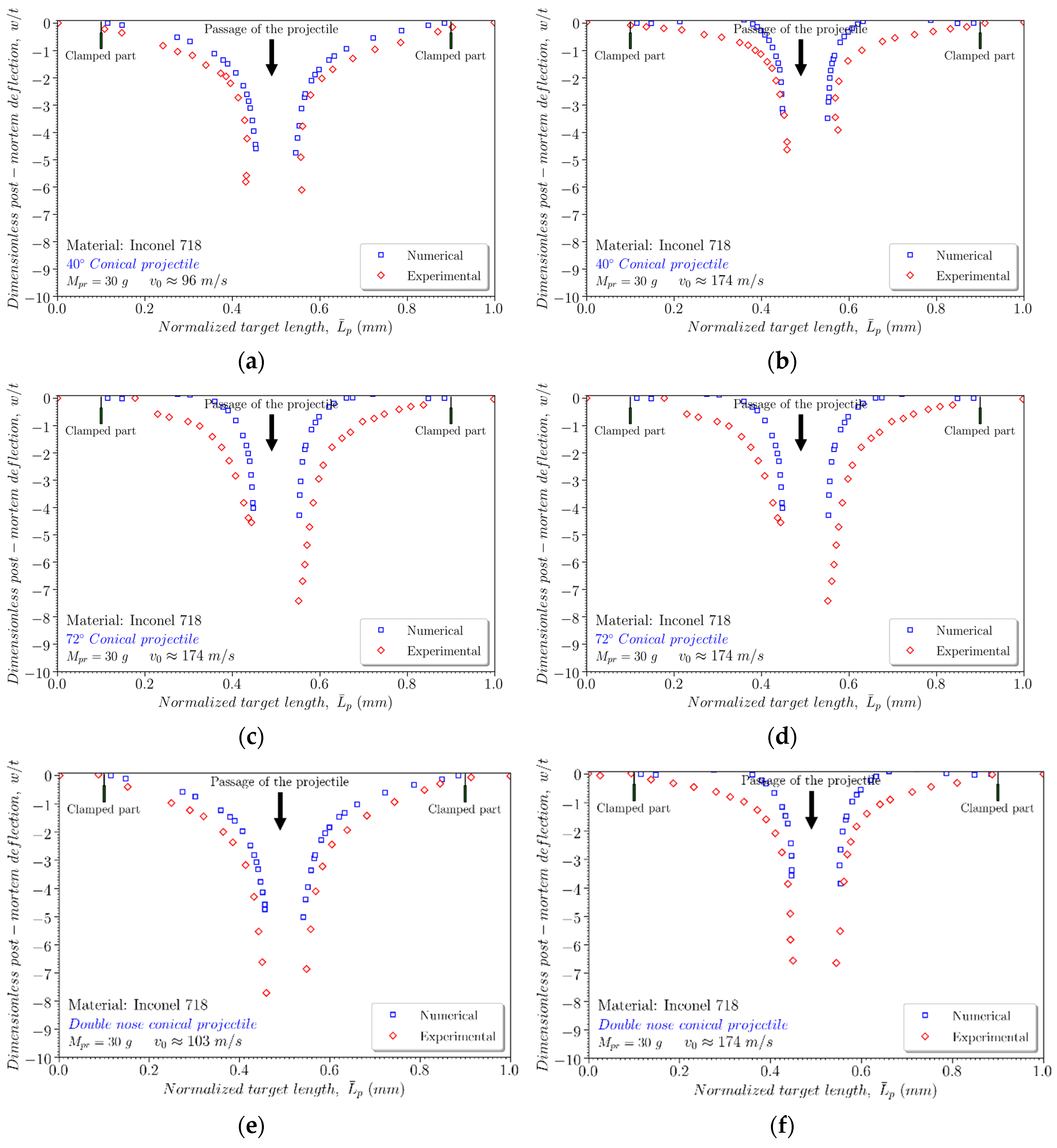
3.2. Numerical and Experimental Data Comparison
4. Discussion
4.1. Ballistic Limit
4.2. Perforation Mechanisms
- A greater projectile nose angle produces larger permanent deformations since more contact surface is involved.
- Numerical predictions follow the trend of experimental data. It is observed that at higher velocities, the damage is more localized, although numerically there are small differences. However, at low velocities, the model correctly predicts bending. Regarding the maximum deflection values, it is difficult to obtain that value due to the petalling effect.
5. Conclusions
Author Contributions
Funding
Acknowledgments
Conflicts of Interest
References
- He, Q.; Xuan, H.; Liu, L.; Hong, W.; Wu, R. Perforation of aero-engine fan casing by a single rotating blade. Aerosp. Sci. Technol. 2013, 25, 234–241. [Google Scholar] [CrossRef]
- Børvik, T.; Clausen, A.H.; Eriksson, M.; Berstad, T.; Sture Hopperstad, O.; Langseth, M. Experimental and numerical study on the perforation of AA6005-T6 panels. Int. J. Impact Eng. 2005, 32, 35–64. [Google Scholar] [CrossRef]
- Borvik, T.; Hopperstad, O.S.; Berstad, T.; Langseth, M. Numerical simulation of plugging failure in ballistic penetration. Int. J. Solids Struct. 2001, 38, 6241–6264. [Google Scholar] [CrossRef]
- Borvik, T.; Dey, S.; Clausen, A.H. Perforation resistance of five different high-strength steel plates subjected to small-arms projectiles. Int. J. Impact Eng. 2009, 36, 948–964. [Google Scholar] [CrossRef]
- Senthil, K.; Arindam, B.; Iqbal, M.A.; Gupta, N.K. Ballistic Response of 2024 Aluminium Plates Against Blunt Nose Projectiles. Procedia Eng. 2017, 173, 363–368. [Google Scholar] [CrossRef]
- Gupta, N.K.; Iqbal, M.A.; Sekhon, G.S. Effect of projectile nose shape, impact velocity and target thickness on the deformation behavior of layered plates. Int. J. Impact Eng. 2008, 35, 37–60. [Google Scholar] [CrossRef]
- Rodríguez-Millán, M.; Vaz-Romero, A.; Rusinek, A.; Rodríguez-Martínez, J.A.; Arias, A. Experimental Study on the Perforation Process of 5754-H111 and 6082-T6 Aluminium Plates Subjected to Normal Impact by Conical, Hemispherical and Blunt Projectiles. Exp. Mech. 2014, 54, 729–742. [Google Scholar] [CrossRef]
- Rodriguez-Millan, M.; Garcia-Gonzalez, D.; Rusinek, A.; Arias, A. Influence of Stress State on the Mechanical Impact and Deformation Behaviors of Aluminum Alloys. Metals 2018, 8, 520. [Google Scholar] [CrossRef]
- Rodriguez-Millan, M.; Garcia-Gonzalez, D.; Rusinek, A.; Abed, F.; Arias, A. Perforation mechanics of 2024 aluminium protective plates subjected to impact by different nose shapes of projectiles. Thin Walled Struct. 2018, 123, 1–10. [Google Scholar] [CrossRef]
- Pereira, J.M.; Lerch, B.A. Effects of heat treatment on the ballistic impact properties of Inconel 718 for jet engine fan containment applications. Int. J. Impact Eng. 2001, 25, 715–733. [Google Scholar] [CrossRef]
- Di Sciuva, M.; Frola, C.; Salvano, S. Low and high velocity impact on Inconel 718 casting plates: Ballistic limit and numerical correlation. Int. J. Impact Eng. 2003, 28, 849–876. [Google Scholar] [CrossRef]
- Erice, B.; Pérez-Martín, M.J.; Gálvez, F. An experimental and numerical study of ductile failure under quasi-static and impact loadings of Inconel 718 nickel-base superalloy. Int. J. Impact Eng. 2014, 69, 11–24. [Google Scholar] [CrossRef]
- Reed, R.C. The Superalloys: Fundamentals and Applications; Cambridge University Press: Cambridge, UK, 2006; ISBN 9780521859042. [Google Scholar]
- Kpenyigba, K.M.; Jankowiak, T.; Rusinek, A.; Pesci, R. Influence of projectile shape on dynamic behavior of steel sheet subjected to impact and perforation. Thin Walled Struct. 2013, 65, 93–104. [Google Scholar] [CrossRef]
- Rodríguez Millán, M.; Moreno, C.E.; Marco, M.; Santiuste, C.; Miguélez, H. Numerical analysis of the ballistic behavior of Kevlar® composite under impact of double-nosed stepped cylindrical projectiles. J. Reinf. Plast. Compos. 2015, 35, 124–137. [Google Scholar] [CrossRef]
- Lambert, J.; Jonas, G.H. Towards Standardization of in Terminal Ballistic Testing: Velocity Representation; Rep. BRL-R-1852; Army Ballistic Research Laboratory: Aberdeen Proving Ground, MD, USA, 1976. [Google Scholar]
- Dassault Systèmes. Abaqus v6.14 Documentation—ABAQUS Analysis User’s Manual ABAQUS, 2014th ed.; Dassault Systemes: Velezzi vila kublai, France, 2014. [Google Scholar]
- Rodríguez-Martínez, J.A.; Rusinek, A.; Pesci, R.; Zaera, R. Experimental and numerical analysis of the martensitic transformation in AISI 304 steel sheets subjected to perforation by conical and hemispherical projectiles. Int. J. Solids Struct. 2013, 50, 339–351. [Google Scholar] [CrossRef]
- Børvik, T.; Langseth, M.; Hopperstad, O.S.S.; Malo, K.A.; Berstad, T. Perforation of 12 mm thick steel plates by 20 mm diameter projectiles with flat, hemispherical and conical noses Part II: numerical simulations. Int. J. Impact Eng. 2002, 27, 37–64. [Google Scholar] [CrossRef]
- Gupta, N.K.; Iqbal, M.A.; Sekhon, G.S. Experimental and numerical studies on the behavior of thin aluminum plates subjected to impact by blunt- and hemispherical-nosed projectiles. Int. J. Impact Eng. 2006, 32, 1921–1944. [Google Scholar] [CrossRef]
- Arias, A.; Rodríguez-Martínez, J.A.; Rusinek, A. Numerical simulations of impact behavior of thin steel plates subjected to cylindrical, conical and hemispherical non-deformable projectiles. Eng. Fract. Mech. 2008, 75, 1635–1656. [Google Scholar] [CrossRef]
- Johnson, G.R.; Cook, W.H. Fracture characteristics of three metals subjected to various strains, strain rates, temperatures and pressures. Eng. Fract. Mech. 1985, 21, 31–48. [Google Scholar] [CrossRef]
- Díaz-Álvarez, J.; Cantero, J.L.; Miguélez, H.; Soldani, X. Numerical analysis of thermomechanical phenomena influencing tool wear in finishing turning of Inconel 718. Int. J. Mech. Sci. 2014, 82, 161–169. [Google Scholar] [CrossRef]
- Jankowiak, T.; Rusinek, A.; Wood, P. A numerical analysis of the dynamic behavior of sheet steel perforated by a conical projectile under ballistic conditions. Finite Elem. Anal. Des. 2013, 65, 39–49. [Google Scholar] [CrossRef]
- García-González, D.; Rodríguez-Millán, M.; Vaz-Romero, A.; Arias, A. High impact velocity on multi-layered composite of polyether ether ketone and aluminium. Compos. Interfaces 2015, 22, 705–715. [Google Scholar] [CrossRef]
- Bendarma, A.; Jankowiak, T.; Łodygowski, T.; Rusinek, A.; Klósak, M. Experimental and numerical analysis of the aluminum alloy AW5005 behavior subjected to tension and perforation under dynamic loading. J. Theor. Appl. Mech. 2017, 55, 1219–1233. [Google Scholar] [CrossRef]
- Graham, S.M.; Zhang, T.; Gao, X.; Hayden, M. Development of a combined tension–torsion experiment for calibration of ductile fracture models under conditions of low triaxiality. Int. J. Mech. Sci. 2012, 54, 172–181. [Google Scholar] [CrossRef]
- Rodríguez-Millán, M.; Vaz-Romero, Á.; Arias, Á. Failure behavior of 2024-T3 aluminum under tension-torsion conditions. J. Mech. Sci. Technol. 2015, 29, 4657–4663. [Google Scholar] [CrossRef]











| Element | Ni | Cr | Fe | Nb | Mo | Ti | Al | Co | Si | Cu | Mn | C |
|---|---|---|---|---|---|---|---|---|---|---|---|---|
| % | 53.02 | 18.49 | 18.12 | 5.40 | 3.06 | 0.96 | 0.55 | 0.10 | 0.06 | 0.05 | 0.06 | 0.03 |
| Elasticity | Thermoviscoplastic Behaviour | ||||||
|---|---|---|---|---|---|---|---|
| 217 | 0.3 | 790 | 610 | 0.23 | 0.011 | 0.01 | 3.28 |
| Other physical constants | |||||||
| 8200 | 0.9 | 20 | 1300 | ||||
| Parameter | INCONEL 718 |
|---|---|
| 0.035 | |
| 0.65 | |
| −1.45 | |
| 0.04 | |
| 0.89 |
© 2019 by the authors. Licensee MDPI, Basel, Switzerland. This article is an open access article distributed under the terms and conditions of the Creative Commons Attribution (CC BY) license (http://creativecommons.org/licenses/by/4.0/).
Share and Cite
Rodríguez-Millán, M.; Díaz-Álvarez, A.; Bernier, R.; Miguélez, M.H.; Loya, J.A. Experimental and Numerical Analysis of Conical Projectile Impact on Inconel 718 Plates. Metals 2019, 9, 638. https://doi.org/10.3390/met9060638
Rodríguez-Millán M, Díaz-Álvarez A, Bernier R, Miguélez MH, Loya JA. Experimental and Numerical Analysis of Conical Projectile Impact on Inconel 718 Plates. Metals. 2019; 9(6):638. https://doi.org/10.3390/met9060638
Chicago/Turabian StyleRodríguez-Millán, Marcos, Antonio Díaz-Álvarez, Richard Bernier, María Henar Miguélez, and José Antonio Loya. 2019. "Experimental and Numerical Analysis of Conical Projectile Impact on Inconel 718 Plates" Metals 9, no. 6: 638. https://doi.org/10.3390/met9060638
APA StyleRodríguez-Millán, M., Díaz-Álvarez, A., Bernier, R., Miguélez, M. H., & Loya, J. A. (2019). Experimental and Numerical Analysis of Conical Projectile Impact on Inconel 718 Plates. Metals, 9(6), 638. https://doi.org/10.3390/met9060638

