Influence of Excess Volumes Induced by Re and W on Dislocation Motion and Creep in Ni-Base Single Crystal Superalloys: A 3D Discrete Dislocation Dynamics Study
Abstract
1. Introduction
2. Simulation Method
2.1. Implementation of Excess Volume Effect in Dislocation Dynamics
2.2. Calculation of Excess Volumes
2.3. Dislocation Dynamics Setup and Solute Atom Arrangement
3. Results
3.1. Calculated Excess Volumes
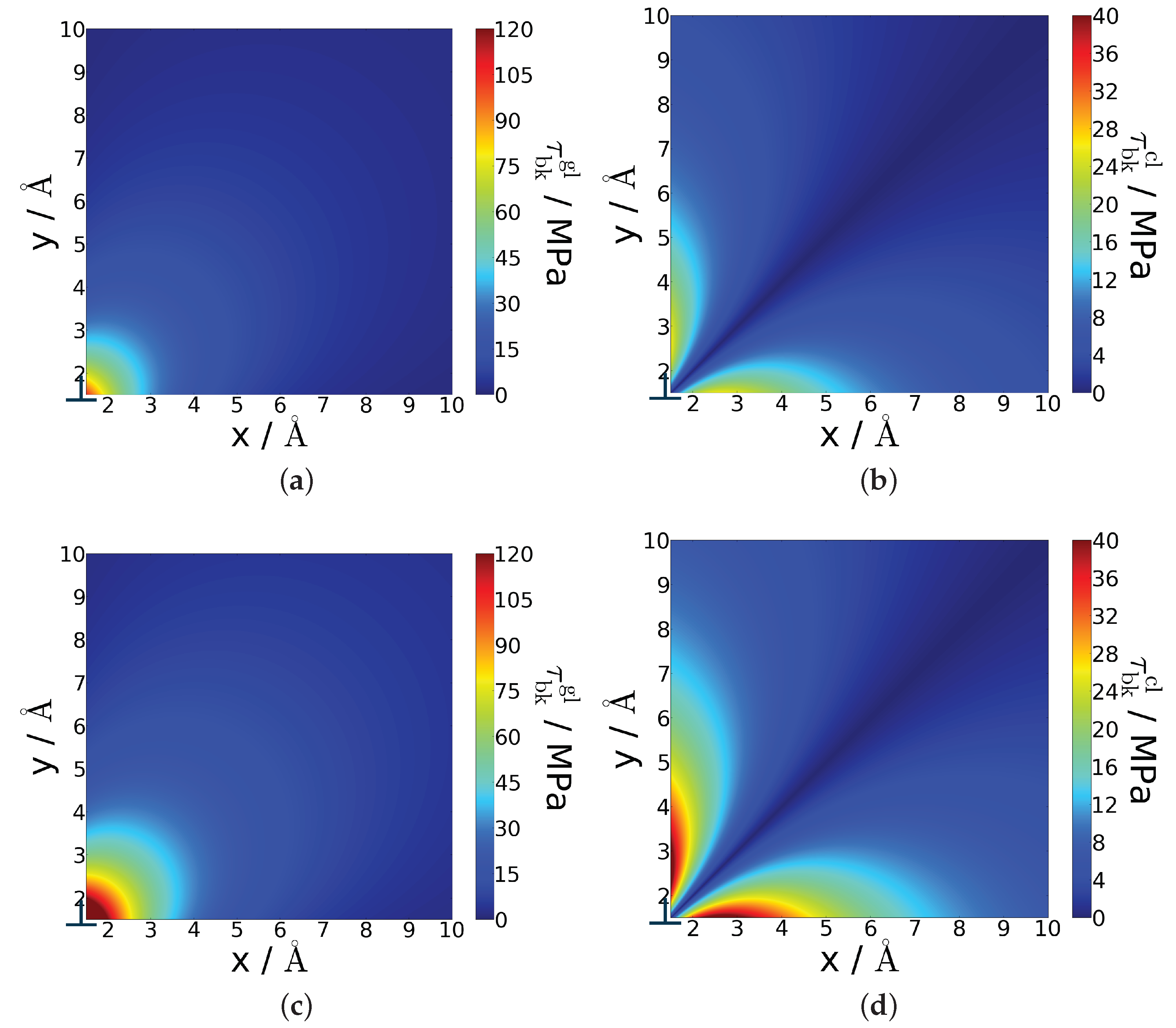
3.2. Back Stress on Dislocations Due to Excess Volume
3.3. Influence of Excess Volume on Dislocation Motion and Creep
4. Discussion
5. Summary and Conclusions
Author Contributions
Funding
Acknowledgments
Conflicts of Interest
References
- Geddes, B.; Leon, H.; Huang, X. Superalloys: Alloying and Performance; ASM International: Novelty, OH, USA, 2010. [Google Scholar]
- Huang, M.; Zhu, J. An overview of rhenium effect in single-crystal superaloys. Rare Metals 2016, 35, 127–139. [Google Scholar] [CrossRef]
- Erickson, G. The Development and Application of CMSX-10; Superalloys, The Minerals, Metals and Materials Society: Warrendale, PA, USA, 1996; pp. 35–44. [Google Scholar]
- Reed, R. The Superalloys: Fundamentals and Applications; Cambridge University Press: Cambridge, UK, 2008. [Google Scholar]
- Wang, B.; Zhang, J.; Huang, T.; Su, H.; Li, Z.; Liu, L.; Fu, H. Influence of W, Re, Cr, and Mo on the microstructural stability of the third generation Ni-based single-crystal superalloys. J. Mater. Res. 2016, 31, 3381–3389. [Google Scholar] [CrossRef]
- Ritter, N.; Sowa, R.; Schauer, J.; Gruber, D.; Göhler, T.; Rettig, R.; Povoden-Karadeniz, E.; Körner, C.; Singer, R. Effects of Solid Solution Strengthening Elements Mo, Re, Ru, and W on Transition Temperatures in Nickel-Based Superalloys with High γ′-Volume Fraction: Comparison of Experiment and CALPHAD Calculations. Metall. Mater. Trans. A 2018, 49, 3206–3216. [Google Scholar] [CrossRef]
- Yoon, K.; Nöbe, R.; Seidman, D. Effects of rhenium addition on the temporal evolution of the nanostructure and chemistry of a model Ni-Cr-Al superalloy. II: Analysis of the coarsening behavior. Acta Mater. 2007, 55, 1159–1169. [Google Scholar] [CrossRef]
- Mottura, A.; Reed, R. What is the role of rhenium in single crystal superalloys? In Proceedings of the 2nd European Symposium on Superalloys and Their Applications; MATEC Web of Conferences: New York, NY, USA, 2014; pp. 1–6. [Google Scholar]
- Yu, X.; Wang, C. The effect of alloying elements on the dislocation climbing velocity in Ni: A first-principles study. Acta Mater. 2009, 57, 5914–5920. [Google Scholar] [CrossRef]
- Rehman, H.; Durst, K.; Neumeier, S.; Sato, A.; Reed, R.; Göken, M. On the temperature dependent strengthening of nickel by transition metal solutes. Acta Mater. 2017, 137, 54–63. [Google Scholar] [CrossRef]
- Fleischer, R. Substitutional solution hardening. Acta Mater. 1963, 11, 203–209. [Google Scholar] [CrossRef]
- Labusch, R. A statistical theory of solid solution hardening. Phys. Status Solidi (B) 1970, 41, 659–669. [Google Scholar] [CrossRef]
- Gottstein, G. Physical Foundations of Materials Science; Springer: Berlin/Heidelberg, Germany, 2004. [Google Scholar]
- Suzuki, H. Segregation of Solute Atoms to Stacking Faults. J. Phys. Soc. Jpn. 1962, 17, 322–325. [Google Scholar] [CrossRef]
- Schuwalow, S.; Rogal, J.; Drautz, R. Vacancy mobility and interaction with transition metal solutes in Ni. J. Phys. Condens. Matter 2014, 26, 485014. [Google Scholar] [CrossRef]
- Giamei, A.; Anton, D. Rhenium additions to a Ni-base superalloy: Effects on microstructure. Metall. Trans. A 1985, 16, 1997–2005. [Google Scholar] [CrossRef]
- Wollgramm, P.; Buck, H.; Neuking, K.; Parsa, A.; Schuwalow, S.; Rogal, J.; Drautz, R.; Eggeler, G. On the role of Re in the stress and temperature dependence of creep of Ni-base single crystal superalloys. Mater. Sci. Eng. A 2015, 628, 382–395. [Google Scholar] [CrossRef]
- Ding, Q.; Li, S.; Chen, L.; Han, X.; Zhang, Z.; Yu, Q.; Li, J. Re segregation at interfacial dislocation network in a nickel-based superalloy. Acta Mater. 2018, 154, 137–146. [Google Scholar] [CrossRef]
- Wu, X.; Makineni, S.; Kontis, P.; Dehm, G.; Raabe, D.; Gault, B.; Eggeler, G. On the segregation of Re at dislocations in the γ′ phase of Ni-based single crystal superalloys. Materialia 2018, 4, 109–114. [Google Scholar] [CrossRef]
- Zhang, J.; Murakumo, T.; Harada, H.; Koizumi, Y.; Kobayashi, T. Creep deformation mechanisms in some modern single-crystal superalloys. Superalloys 2004, 189–195. [Google Scholar]
- Rae, C.; Reed, R. Primary creep in single crystal superalloys: Origins, mechanisms and effects. Acta Mater. 2007, 55, 1067–1081. [Google Scholar] [CrossRef]
- Reed, R.; Matan, N.; Cox, D.; Rist, M.; Rae, C. Creep of CMSX-4 superalloy single crystals: Effects of rafting at high temperature. Acta Mater. 1999, 47, 3367–3381. [Google Scholar] [CrossRef]
- Kamaraj, M.; Mayr, C.; Kolbe, M.; Eggeler, G. On the influence of stress state on rafting in the single crystal superalloy CMSX-6 under conditions of high temperature and low stress creep. Scr. Mater. 1998, 38, 589–594. [Google Scholar] [CrossRef]
- Eggeler, G.; Dlouhy, A. On the formation of 〈010〉-dislocations in the γ′-phase of superalloy single crystals during high temperature low stress creep. Acta Mater. 1997, 45, 4251–4262. [Google Scholar] [CrossRef]
- Srinivasan, R.; Eggeler, G.; Mills, M. γ′-cutting as rate-controlling recovery process during high-temperature and low-stress creep of superalloy single crystals. Acta Mater. 2000, 48, 4867–4878. [Google Scholar] [CrossRef]
- Kostka, A.; Mälzer, G.; Eggeler, G. High-temperature dislocation plasticity in the single-crystal superalloy LEK94. J. Microsc. 2006, 223, 295–297. [Google Scholar] [CrossRef]
- Jácome, L.A.; Nörtershäuser, P.; Somsen, C.; Dlouhy, A.; Eggeler, G. On the nature of γ′ phase cutting and its effect on high temperature and low stress creep anisotropy of Ni-base single crystal superalloys. Acta Mater. 2014, 69, 246–264. [Google Scholar] [CrossRef]
- Rae, C.; Matan, N.; Reed, R. The role of stacking fault shear in the primary creep of [001]-oriented single crystal superalloys at 750 °C and 750 MPa. Mater. Sci. Eng. A 2001, 300, 125–134. [Google Scholar] [CrossRef]
- Knowles, D.; Chen, Q. Superlattice stacking fault formation and twinning during creep in γ/γ′ single crystal superalloy CMSX-4. Mater. Sci. Eng. A 2003, 340, 88–102. [Google Scholar] [CrossRef]
- Caron, P.; Khan, T.; Nakagawa, Y. Effect of orientation on the intermediate temperature creep behaviour of Ni-base single crystal superalloys. Scr. Metall. 1986, 20, 499–502. [Google Scholar] [CrossRef]
- Wu, X.; Wollgramm, P.; Somsen, C.; Dlouhy, A.; Kostka, A.; Eggeler, G. Double minimum creep of single crystal Ni-base superalloys. Acta Mater. 2016, 112, 242–260. [Google Scholar] [CrossRef]
- Sass, V.; Glatzel, U.; Feller-Kniepmeier, M. Anisotropic creep properties of the nickel-base superalloy CMSX-4. Acta Mater. 1996, 44, 1967–1977. [Google Scholar] [CrossRef]
- Huang, M.; Zhao, L.; Tong, J. Discrete dislocation dynamics modelling of mechanical deformation of nickel-based single crystal superalloys. Int. J. Plast. 2012, 28, 141–158. [Google Scholar] [CrossRef]
- Yang, H.; Li, Z.; Huang, M. Modelling dislocation cutting the precipitate in nickel-based single crystal superalloy via the discrete dislocation dynamics with SISF dissociation scheme. Comput. Mater. Sci. 2013, 75, 52–59. [Google Scholar] [CrossRef]
- Yang, H.; Li, Z.; Huang, M. Modeling of abnormal mechanical properties of nickel-based single crystal superalloy by three-dimensional discrete dislocation dynamics. Model. Simul. Mater. Sci. Eng. 2014, 22, 085009. [Google Scholar] [CrossRef]
- Hussein, A.; Rao, S.; Uchic, M.; Parthasarathay, T.; El-Awady, J. The strength and dislocation microstructure evolution in superalloy microcrystals. J. Mech. Phys. Solids 2017, 99, 146–162. [Google Scholar] [CrossRef]
- Hafez Haghighat, S.; Eggeler, G.; Raabe, D. Effect of climb on dislocation mechanisms and creep rates in γ′-strengthened Ni base superalloy single crystals: A discrete dislocation dynamics study. Acta Mater. 2013, 61, 3709–3723. [Google Scholar] [CrossRef]
- Liu, B.; Raabe, D.; Roters, F.; Arsenlis, A. Interfacial dislocation motion and interactions in single-crystal superalloys. Acta Mater. 2014, 79, 216–233. [Google Scholar] [CrossRef]
- Gao, S.; Fivel, M.; Ma, A.; Hartmaier, A. 3D discrete dislocation dynamics study of creep behavior in Ni-base single crystal superalloys by a combined dislocation climb and vacancy diffusion model. J. Mech. Phys. Solids 2017, 102, 209–223. [Google Scholar] [CrossRef]
- Gu, Y.; El-Awady, J. Quantifying the effect of hydrogen on dislocation dynamics: A three-dimensional discrete dislocation dynamics framework. J. Mech. Phys. Solids 2018, 112, 491–507. [Google Scholar] [CrossRef]
- Yu, H.; Cocks, A.; Tarleton, E. Discrete dislocation plasticity HELPs understand hydrogen effects in bcc materials. J. Mech. Phys. Solids 2019, 123, 41–60. [Google Scholar] [CrossRef]
- Demtröder, K.; Eggeler, G.; Schreuer, J. Influence of microstructure on macroscopic elastic properties and thermal expansion of nickel-base superalloys ERBO/1 and LEK94. Mater. Sci. Eng. Technol. 2015, 46, 563–576. [Google Scholar] [CrossRef]
- Warren, P.; Cerezo, A.; Smith, G. An atom probe study of the distribution of rhenium in a nickel-based superalloy. Mater. Sci. Eng. A 1998, 250, 88–92. [Google Scholar] [CrossRef]
- Parsa, A.; Wollgramm, P.; Buck, H.; Somsen, C.; Kostka, A.; Povstugar, I.; Choi, P.; Raabe, D.; Dlouhy, A.; Müller, J.; et al. Advanced Scale Bridging Microstructure Analysis of Single Crystal Ni-Base Superalloys. Adv. Eng. Mater. 2014, 17, 216–230. [Google Scholar] [CrossRef]
- Mottura, A.; Miller, M.; Reed, R. Atom Probe Tomography Analysis of Possible Rhenium Clustering in Nickel-Based Superalloys; Superalloys, The Minerals, Metals and Materials Society: Warrendale, PA, USA, 2008; pp. 891–900. [Google Scholar]
- Mottura, A.; Warnken, N.; Miller, M.; Finnis, M.; Reed, R. Atom probe tomography analysis of the distribution of rhenium in nickel alloys. Acta Mater. 2010, 58, 931–942. [Google Scholar] [CrossRef]
- Ge, B.; Luo, Y.; Li, J.; Zhu, J. Distribution of rhenium in a single crystal nickel-based superalloy. Scr. Mater. 2010, 63, 969–972. [Google Scholar] [CrossRef]
- Gao, S.; Fivel, M.; Ma, A.; Hartmaier, A. Influence of misfit stresses on dislocation glide in single crystal superalloys: A three-dimensional discrete dislocation dynamics study. J. Mech. Phys. Solids 2015, 76, 276–290. [Google Scholar] [CrossRef]
- Bakó, B.; Clouet, E.; Dupuy, L.; Blétry, M. Dislocation dynamics simulations with climb: Kinetics of dislocation loop coarsening controlled by bulk diffusion. Philos. Mag. 2011, 91, 3173–3191. [Google Scholar] [CrossRef]
- Ayas, C.; Deshpande, V.; Geers, M. Tensile response of passivated films with climb-assisted dislocation glide. J. Mech. Phys. Solids 2012, 60, 1626–1643. [Google Scholar] [CrossRef]
- Danas, K.; Deshpande, V. Plane-strain discrete dislocation plasticity with climb-assisted glide motion of dislocations. Model. Simul. Mater. Sci. Eng. 2013, 21, 045008. [Google Scholar] [CrossRef]
- Geers, M.; Cottura, M.; Appolaire, B.; Busso, E.; Forest, S.; Villani, A. Coupled glide-climb diffusion-enhanced crystal plasticity. J. Mech. Phys. Solids 2014, 70, 136–153. [Google Scholar] [CrossRef]
- Verdier, M.; Fivel, M.; Groma, I. Mesoscopic scale simulation of dislocation dynamics in fcc metals: Principles and applications. Model. Simul. Mater. Sci. Eng. 1998, 6, 755–770. [Google Scholar] [CrossRef]
- Fivel, M.; Canova, G. Developing rigorous boundary conditions to simulations of discrete dislocation dynamics. Model. Simul. Mater. Sci. Eng. 1999, 7, 753–768. [Google Scholar] [CrossRef]
- Shin, C. 3D Discrete Dislocation Dynamics Applied to Dislocation-Precipitate Interactions. Ph.D. Thesis, INP Grenoble and Séoul National University, Seoul, Korea, 2004. [Google Scholar]
- Li, J. Stress field of a dislocation segment. Philos. Mag. 1964, 10, 1097–1098. [Google Scholar] [CrossRef]
- Fivel, M. Discrete Dislocation Dynamics: Principles and Recent Applications. In Multiscale Modeling of Heterogenous Materials; John Wiley & Sons, Ltd.: Hoboken, NJ, USA, 2010; Chapter 2; pp. 17–36. [Google Scholar]
- Blöchl, P. Projector augmented-wave method. Phys. Rev. B 1994, 50, 17953. [Google Scholar] [CrossRef]
- Kresse, G.; Joubert, D. From ultrasoft pseudopotentials to the projector augmented-wave method. Phys. Rev. B 1999, 59, 1758. [Google Scholar] [CrossRef]
- Kresse, G.; Hafner, J. Ab initio molecular dynamics for liquid metals. Phys. Rev. B 1993, 47, 558. [Google Scholar] [CrossRef]
- Kresse, G.; Furthmüller, J. Efficiency of ab-initio total energy calculations for metals and semiconductors using a plane-wave basis set. Comput. Mater. Sci. 1996, 6, 15. [Google Scholar] [CrossRef]
- Kresse, G.; Furthmüller, J. Efficient iterative schemes for ab initio total-energy calculations using a plane-wave basis set. Phys. Rev. B 1996, 54, 11169. [Google Scholar] [CrossRef]
- Perdew, J.; Burke, K.; Ernzerhof, M. Generalized Gradient Approximation Made Simple. Phys. Rev. Lett. 1996, 77, 3865. [Google Scholar] [CrossRef]
- Monkhorst, H.; Pack, J. Special points for Brillouin-zone integrations. Phys. Rev. B 1976, 13, 5188. [Google Scholar] [CrossRef]
- Birch, F. Finite Elastic Strain of Cubic Crystals. Phys. Rev. 1947, 71, 809. [Google Scholar] [CrossRef]
- Francis, G.; Payne, M. Finite basis set corrections to total energy pseudopotential calculations. J. Phys. Condens. Matter 1990, 2, 4395–4404. [Google Scholar] [CrossRef]
- Rao, S.; Uchic, M.; Shade, P.; Woodward, C.; Parthasarathy, T.; Dimiduk, D. Critical percolation stresses of random Frank-Read sources in micrometer-sized crystals of superalloys. Model. Simul. Mater. Sci. Eng. 2012, 20, 065001. [Google Scholar] [CrossRef]
- Harris, K.; Erickson, G.; Sikkenga, S.; Brentnall, W.; Aurrecoeche, J.; Kubarych, K. Development of the Rhenium Containing Superalloys CMSX-4 and CM186 LC for Single Crystal Blade and Directionally Solidified Vane Applications in Advanced Turbine Engines; Superalloys, The Minerals, Metals and Materials Society: Warrendale, PA, USA, 1992; pp. 297–306. [Google Scholar]
- Nabarro, F. The theory of solution hardening. Philos. Mag. 1977, 35, 613–622. [Google Scholar] [CrossRef]
- Butt, M. Review solid-solution hardening. J. Mater. Sci. 1993, 28, 2557–2576. [Google Scholar] [CrossRef]
- Mishima, Y.; Ochiai, S.; Hamao, N.; Yodogawa, M.; Suzuki, T. Solid Solution Hardening of Nickel—Role of Transition Metal and B-subgroup Solutes. Trans. Jpn. Inst. Metals 1986, 27, 656–664. [Google Scholar] [CrossRef]
- Grabowski, M.; Rogal, J.; Drautz, R. Kinetic Monte Carlo simulations of vacancy diffusion in nondilute Ni-X (X = Re, W, Ta) alloys. Phys. Rev. Mater. 2018, 2, 123403. [Google Scholar] [CrossRef]








© 2019 by the authors. Licensee MDPI, Basel, Switzerland. This article is an open access article distributed under the terms and conditions of the Creative Commons Attribution (CC BY) license (http://creativecommons.org/licenses/by/4.0/).
Share and Cite
Gao, S.; Yang, Z.; Grabowski, M.; Rogal, J.; Drautz, R.; Hartmaier, A. Influence of Excess Volumes Induced by Re and W on Dislocation Motion and Creep in Ni-Base Single Crystal Superalloys: A 3D Discrete Dislocation Dynamics Study. Metals 2019, 9, 637. https://doi.org/10.3390/met9060637
Gao S, Yang Z, Grabowski M, Rogal J, Drautz R, Hartmaier A. Influence of Excess Volumes Induced by Re and W on Dislocation Motion and Creep in Ni-Base Single Crystal Superalloys: A 3D Discrete Dislocation Dynamics Study. Metals. 2019; 9(6):637. https://doi.org/10.3390/met9060637
Chicago/Turabian StyleGao, Siwen, Zerong Yang, Maximilian Grabowski, Jutta Rogal, Ralf Drautz, and Alexander Hartmaier. 2019. "Influence of Excess Volumes Induced by Re and W on Dislocation Motion and Creep in Ni-Base Single Crystal Superalloys: A 3D Discrete Dislocation Dynamics Study" Metals 9, no. 6: 637. https://doi.org/10.3390/met9060637
APA StyleGao, S., Yang, Z., Grabowski, M., Rogal, J., Drautz, R., & Hartmaier, A. (2019). Influence of Excess Volumes Induced by Re and W on Dislocation Motion and Creep in Ni-Base Single Crystal Superalloys: A 3D Discrete Dislocation Dynamics Study. Metals, 9(6), 637. https://doi.org/10.3390/met9060637

