A Method for Predicting the Effects of Specimen Geometry and Loading Condition on Fatigue Strength
Abstract
1. Introduction
| Nomenclature | |
| A parameter | V volume | 
| a parameter | VA control volume of specimen A | 
| B parameter | VB control volume of specimen B | 
| F(x) Weibull distribution function | VC control volume of referring specimen C | 
| h thickness | x depth from the surface | 
| k shape parameter of Weibull distribution | χ′ relative stress gradient | 
| Kt stress concentration factor | γ location parameter of Weibull distribution | 
| N number of cycles to failure | λ scale parameter of Weibull distribution | 
| N0 number of cycles at the knee point | σ stress | 
| Nf number of cycles to failure | σa stress amplitude | 
| Nk number of cycles to failure, k = 1, 2, …, n | σA fatigue strength of specimen A | 
| N′k a given number of cycles to failure | σB fatigue strength of specimen B | 
| n number of specimens | σC fatigue strength of referring specimen C | 
| nA integer part of VA/VC | σ(x) maximum principle stress in depth x | 
| nB integer part of VB/VC | σk fatigue strength, k = 1, 2, …, n | 
| R stress ratio | σ′k fatigue strength | 
| SA control surface of specimen A | σmax maximum principle stress at the surface | 
| SB control surface of specimen B | 
2. Experimental Material and Method
3. Experimental Results and Analysis
4. A Method for Effects of Specimen Geometry and Loading Condition on Fatigue Strength
4.1. Method Construction
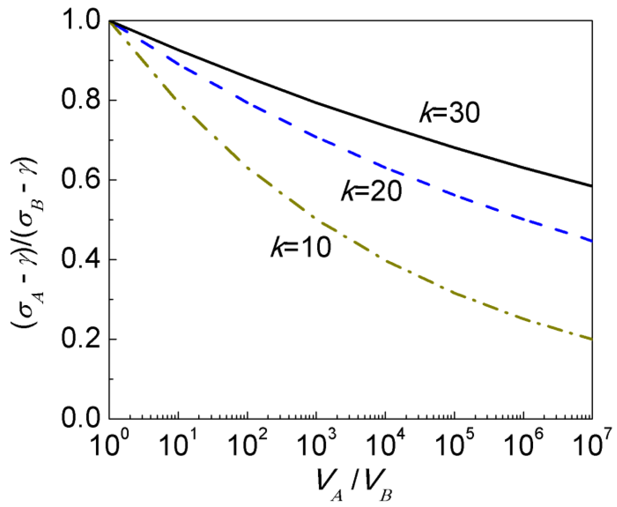
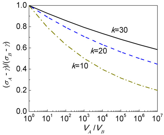
4.2. Analysis and Discussion
5. Comparison with Experimental Results
5.1. Probabilistic Stress-Life (P-S-N) Curve Prediction
5.2. Comparison with Present Experimental Data
5.3. Comparison with Experimental Data of a High Strength Steel
5.4. Comparison with Experimental Data of Full Scale Axles
6. Conclusions
Author Contributions
Funding
Conflicts of Interest
References
- Beretta, S.; Ghidini, A.; Lombardo, F. Fracture mechanics and scale effects in the fatigue of railway axles. Eng. Fract. Mech. 2005, 72, 195–208. [Google Scholar] [CrossRef]
- Nakajima, M.; Tokaji, K.; Itoga, H.; Shimizu, T. Effect of loading condition on very high cycle fatigue behavior in a high strength steel. Int. J. Fatigue 2010, 32, 475–480. [Google Scholar] [CrossRef]
- Akiniwa, Y.; Miyamoto, N.; Tsuru, H.; Tanaka, K. Notch effect on fatigue strength reduction of bearing steel in the very high cycle regime. Int. J. Fatigue 2006, 28, 1555–1565. [Google Scholar] [CrossRef]
- Wormsen, A.; Sjödin, B.; Härkegård, G.; Fjeldstad, A. Non-local stress approach for fatigue assessment based on weakest-link theory and statistics of extremes. Fatigue Fract. Eng. Mater. Struct. 2007, 30, 1214–1227. [Google Scholar] [CrossRef]
- Findley, W.N. Research note: an explanation of size effect in fatigue of metals. J. Mech. Eng. Sci. 1972, 14, 424–425. [Google Scholar] [CrossRef]
- Zhu, S.P.; Foletti, S.; Beretta, S. Evaluation of size effect on strain-controlled fatigue behavior of a quench and tempered rotor steel: Experimental and numerical study. Mater. Sci. Eng. A 2018, 735, 423–435. [Google Scholar] [CrossRef]
- Diemar, A.; Thumser, R.; Bergmann, J.W. Determination of local characteristics for the application of the Weakest-Link Model. Materialwiss. Werkstofftech. 2005, 36, 204–210. [Google Scholar] [CrossRef]
- Leitner, M.; Garb, C.; Remes, H.; Stoschka, M. Microporosity and statistical size effect on the fatigue strength of cast aluminium alloys EN AC-45500 and 46200. Mater. Sci. Eng. A 2017, 707, 567–575. [Google Scholar] [CrossRef]
- Furuya, Y. Specimen size effects on gigacycle fatigue properties of high-strength steel under ultrasonic fatigue testing. Scr. Mater. 2008, 58, 1014–1017. [Google Scholar] [CrossRef]
- Kuguel, R.A. A relation between theoretical stress concentration factor and fatigue notch factor deduced from the concept of highly stressed volume. ASTM Proc. 1961, 61, 732–748. [Google Scholar]
- Lin, C.K.; Lee, W.J. Effects of highly stressed volume on fatigue strength of austempered ductile irons. Int. J. Fatigue 1998, 20, 301–307. [Google Scholar] [CrossRef]
- Leitner, M.; Vormwald, M.; Remes, H. Statistical size effect on multiaxial fatigue strength of notched steel components. Int. J. Fatigue 2017, 104, 322–333. [Google Scholar] [CrossRef]
- Lanning, D.B.; Nicholas, T.; Palazotto, A. HCF notch predictions based on weakest-link failure models. Int. J. Fatigue 2003, 25, 835–841. [Google Scholar] [CrossRef]
- Bažant, Z.P.; Novák, D. Probabilistic nonlocal theory for quasibrittle fracture initiation and size effect. I: theory. J. Eng. Mech. 2000, 126, 166–174. [Google Scholar] [CrossRef]
- Makkonen, M. Statistical size effect in the fatigue limit of steel. Int. J. Fatigue 2001, 23, 395–402. [Google Scholar] [CrossRef]
- Susmel, L.; Taylor, D. A novel formulation of the theory of critical distances to estimate lifetime of notched components in the medium-cycle fatigue regime. Fatigue Fract. Eng. Mater. Struct. 2007, 30, 567–581. [Google Scholar] [CrossRef]
- Härkegård, G.; Halleraker, G. Assessment of methods for prediction of notch and size effects at the fatigue limit based on test data by Böhm and Magin. Int. J. Fatigue 2010, 32, 1701–1709. [Google Scholar] [CrossRef]
- Murakami, Y. Metal Fatigue: Effects of Small Defects and Nonmetallic Inclusions; Elsevier Science Ltd.: Oxford, UK, 2002; pp. 333–336. [Google Scholar]
- Sun, C.; Zhang, X.; Liu, X.; Hong, Y. Effects of specimen size on fatigue life of metallic materials in high-cycle and very-high-cycle fatigue regimes. Fatigue Fract. Eng. Mater. Struct. 2016, 39, 770–779. [Google Scholar] [CrossRef]
- Hertel, O.; Vormwald, M. Statistical and geometrical size effects in notched members based on weakest-link and short-crack modelling. Eng. Fract. Mech. 2012, 95, 72–83. [Google Scholar] [CrossRef]
- Hanaki, S.; Yamashita, M.; Uchida, H.; Zako, M. On stochastic evaluation of S–N data based on fatigue strength distribution. Int. J. Fatigue 2010, 32, 605–609. [Google Scholar] [CrossRef]
- Pollak, R.D.; Palazotto, A.N. A comparison of maximum likelihood models for fatigue strength characterization in materials exhibiting a fatigue limit. Probabilist. Eng. Mech. 2009, 24, 236–241. [Google Scholar] [CrossRef]
- Furuya, Y. Size effects in gigacycle fatigue of high strength steel under ultrasonic fatigue testing. Procedia Eng. 2010, 2, 485–490. [Google Scholar] [CrossRef]
- Beretta, S.; Regazzi, D. Probabilistic fatigue assessment for railway axles and derivation of a simple format for damage calculations. Int. J. Fatigue 2016, 86, 13–23. [Google Scholar] [CrossRef]
- Cervello, S. Fatigue properties of railway axles: New results of full-scale specimens from Euraxles project. Int. J. Fatigue 2016, 86, 2–12. [Google Scholar] [CrossRef]
- Filippini, M.; Luke, M.; Varfolomeev, I.; Regazzi, D.; Beretta, S. Fatigue strength assessment of railway axles considering small-scale tests and damage calculations. Procedia Struct. Integrity 2017, 4, 11–18. [Google Scholar] [CrossRef]










© 2018 by the authors. Licensee MDPI, Basel, Switzerland. This article is an open access article distributed under the terms and conditions of the Creative Commons Attribution (CC BY) license (http://creativecommons.org/licenses/by/4.0/).
Share and Cite
Sun, C.; Song, Q. A Method for Predicting the Effects of Specimen Geometry and Loading Condition on Fatigue Strength. Metals 2018, 8, 811. https://doi.org/10.3390/met8100811
Sun C, Song Q. A Method for Predicting the Effects of Specimen Geometry and Loading Condition on Fatigue Strength. Metals. 2018; 8(10):811. https://doi.org/10.3390/met8100811
Chicago/Turabian StyleSun, Chengqi, and Qingyuan Song. 2018. "A Method for Predicting the Effects of Specimen Geometry and Loading Condition on Fatigue Strength" Metals 8, no. 10: 811. https://doi.org/10.3390/met8100811
APA StyleSun, C., & Song, Q. (2018). A Method for Predicting the Effects of Specimen Geometry and Loading Condition on Fatigue Strength. Metals, 8(10), 811. https://doi.org/10.3390/met8100811
 
        
 
      