Abstract
The effects of fin height, base thickness, blackening, emissivity and thermal conductivity on the heat dissipation for die-cast aluminum alloy heat sinks were investigated comprehensively. The thermal conductivity and emissivity vary depending on the aluminum alloy. It was clarified whether correlations between the influences of these factors exist. Three aluminum alloys with different thermal conductivities and emissivities were used in this study. Four-finned heat sinks were produced by die casting. Four fin heights and three base thicknesses were tested. In the as-cast (non-blackened) heat sinks, the emissivity had a greater effect on the heat dissipation than the thermal conductivity did. In blackened heat sinks, the heat dissipation increased as the thermal conductivity increased. For both the as-cast and blackened heat sinks, the heat dissipation increased as both the fin height and base thickness increased. Correlations between these influencing factors were also investigated. The blackened heat sink made from aluminum alloy with larger thermal conductivity showed the best heat dissipation performance.
1. Introduction
Heat sinks are mainly made by die casting, extrusion and forging. Extrusion and forging are suitable for making simply-shaped heat sinks using only wrought aluminum alloys [1,2,3,4,5,6,7]. Complex-shaped heat sinks are usually made by die casting using aluminum alloys specifically for this process [7,8,9,10]. Aluminum alloys for die casting usually have good fluidity due to the large latent heat associated with their higher Si content. It is said that pure aluminum and wrought aluminum alloys are not suitable for die casting because of their poor fluidity. However, aluminum alloys for die casting have lower thermal conductivity than pure aluminum or wrought aluminum alloys due to their higher Si content. Conversely, their emissivity is higher for the same reason.
Recently, attempts have been made to use pure aluminum in die casting, and casting conditions suitable for pure aluminum have been investigated [11]. It has been shown that pure aluminum heat sinks with thin and tall fins can be produced using die casting. This suggests that other aluminum types beyond the conventional alloys may be used for die casting.
JIS ADC12 (similar to A383), which has a Si content ranging from 9.6% to 12%, is a typical die-casting aluminum alloy used for heat sinks. Al-25%Si has better fluidity and higher emissivity and thermal conductivity than ADC12, likely because of its very high Si content. Al-25%Si is suitable for die casting heat sinks with tall and thin fins [12]. Recently, die casting has become possible with many kinds of aluminum alloys compared with extrusion and forging. Additionally, aluminum alloy composite materials, which have a better thermal conductivity, have been tested for suitability in casting heat sinks [13,14,15,16,17,18,19,20]. However, these aluminum alloy composite materials are expensive, and they are not suitable for recycling. In contrast, die casting heat sinks using conventional aluminum alloys offers advantages in terms of the freedom of the shape, choice of aluminum alloy, low cost and recyclability.
There are several factors that influence the heat dissipation performance of a heat sink. For aluminum alloys, the thermal conductivity and emissivity are influenced by the elements contained in the alloys. The thermal conductivity of pure aluminum is greater than that of aluminum alloys like ADC12 or Al-25%Si. The emissivity of aluminum alloys is larger than that of pure aluminum. In aluminum alloys for die casting, the thermal conductivity increases when the amount of silicon, an important additive element for castability, is reduced. It is thought that increasing the amount of silicon will reduce the gloss of the die cast product and improve its emissivity. Furthermore, the silicon morphology, intermetallic phases and porosity influence the thermal performance. In the products created by die casting, the silicon morphology, intermetallic phases and porosity are not uniform, but differ depending on the location. The cause is that the cooling rate is not uniform in the cast product. In addition to metallurgical effects, factors that are thought to affect the thermal properties of die-cast heat sinks are as follows.
The factors influencing the heat sink performance can be classified into two categories. The first category is physical properties, including the thermal conductivity and emissivity. These directly affect the heat dissipation. It is not clear whether the emissivity or thermal conductivity has a greater influence on the overall heat sink performance. The second category is shape properties, such as the fin height and base thickness. The heat dissipation area increases as the fin height increases [12]. It is also known empirically that the heat dissipation performance improves as the base thickness increases [12]. Additionally, blackening the surface increases the emissivity, consequently improving the heat dissipation of the heat sink, and may be considered a third factor.
For example, the magnitude of the influence of increasing the fin height or base thickness on the heat sink performance may be constant if the emissivity or thermal conductivity of the aluminum alloy is the same. Alternatively, the magnitude of the influence of the base thickness may not be constant if the fin height is different. These factors affecting heat sink performance were investigated individually in previous studies [21,22,23,24,25,26], but not the correlations between them. The synergistic or offsetting effects of the factors remain unclear. The present study comprehensively investigated the influences of thermal conductivity, emissivity, fin height, base thickness and blackening on the heat dissipation performance of die-cast heat sinks.
An increased fin height and base thickness result in an increased weight, so lower fins and thinner bases are useful for reducing the weight and material cost. Heat sink costs can also be reduced by avoiding blackening. The results of the present study may be useful in selecting proper aluminum alloys, shapes and blackening treatments to produce high-performance, lightweight and low-cost die-cast aluminum alloy heat sinks.
2. Experimental Conditions
In this study, 99.7%Al, JISADC12 [27] (near A383) and Al-25%Si were used. The chemical compositions of these aluminum alloys are summarized in Table 1. The thermal conductivities were measured using a laser flash thermal constant measurement system (TC-700, Advanceriko Inc., Ikonobe-cho, Tsuzuki-ku, Yokohama, Kanagawa Prefecture, Japan) [28] and the emissivities were measured using an emissivity measurement system (TSS-5X-2, Japansensor Co., Konan, Minato-ku, Tokyo, Japan) [29]. The measured values of emissivity and thermal conductivity are listed in Table 2. The emissivity was the largest for Al-25%Si, followed by ADC12 and 99.7%Al, while the thermal conductivity was the highest for 99.7%Al, followed by Al25%Si and ADC12. The aluminum alloys were melted in an oxidizing atmosphere using a gas furnace. The pouring temperatures for 99.7%Al, ADC12 and Al-25%Si were 780, 650 and 830 °C, respectively. A 500 kN cold chamber die casting machine (HC 50F, Hishinuma Machinery, Ranzan Town, Saitama Prefecture, Japan) with an injection power of 100 kN and a sleeve diameter of 45 mm was used [30]. The plunger speed was 0.8 m/s. The die temperature was set at 150 °C using a mold temperature controller (TT28, Hishinuma Machinery, Ranzan Town, Saitama Prefecture, Japan) [31].
Table 1.
Chemical compositions of 99.7%Al, ADC12 and Al-25%Si (mass%).
Table 2.
Thermal conductivities and emissivities of 99.7%Al, ADC12 and Al-25%Al.
The shape, name and size of each part of the heat sinks are shown in Figure 1a. The dimensions of the heat sinks are summarized in Table 3. Heat sinks with fin heights of 20, 25 and 30 mm were made by cutting down the fins of a 35 mm high heat sink, as shown in Figure 1b. For each fin height variation, the base thickness was 2, 4 or 6 mm. The heat sinks with base thicknesses of 4 mm and 6 mm are shown in Figure 1c,d, respectively.
Figure 1.
Schematic diagram of heat sinks used in investigation for heat dissipation. (a) Overview of heat sink. (b) Heat sink with 2 mm base thickness and fabrication of a heat sink with 20 mm fin height from 35 mm fin height by cutting the fin tips. (c) Heat sink with 4 mm base thickness. (d) Heat sink with 6 mm base thickness. Units: mm.
Table 3.
Heat sink dimensions.
The heat dissipation was evaluated using both an as-cast heat sink and a blackened heat sink [32,33,34,35]. The emissivities of the black body heat sinks were greater than those of the as-cast heat sinks. Matte black paint (High Durability Lacquer Spray, Asahipen Co., Tsurumi-ku, Osaka City, Japan) was used for the blackened heat sinks [36], which achieved an emissivity of 0.98. Hereafter, the as-cast heat sinks are referred to as white heat sinks, and the black painted heat sinks as black heat sinks. A schematic illustration of the experimental apparatus for investigating heat dissipation is shown in Figure 2. The experiment was conducted under natural convection conditions [37,38,39,40,41].
Figure 2.
Apparatus for measuring heat dissipation properties. (a) Position of heat sink, heater and thermocouple. (b) Equipment to maintain temperature uniformity.
The mounting method for the heater, thermocouple, detector and aluminum sheet is shown in Figure 2a. A square-shaped micro-ceramic heater (MS-3, Sakaguchi, Akihabara, Tokyo, Japan) measuring 10 mm on each side was attached to the back of the heat sink and operated at 40 W. A DC stabilized power supply (PSF-400L2, Texio, Yokohama City, Kanagawa Prefecture, Japan) was used to heat the micro-ceramic heater. A 0.5 mm thick thermal interface material sheet (EX20000C7, Dexerials, Shimotsuke city, Tochigi Prefecture, Japan) was inserted between the heat sink and the micro-ceramic heater. The temperature of the micro-ceramic heater, defined as that 30 min after saturation, was measured using a T-type thermocouple. Heat dissipation was measured three times for each size of both white and black heat sinks, with a lower heater temperature indicating better performance. The equipment used to maintain the temperature uniformity is shown in Figure 2b.
3. Results and Discussion
3.1. Effect of Aluminum Alloy Selection and Blackening on Heat Dissipation
The heater temperatures for the white and black heat sinks made from three kinds of aluminum alloys are shown in Figure 3. The emissivity and thermal conductivity varied depending on the aluminum alloy, as summarized in Table 2. The emissivity was the highest for Al-25%Si, followed by ADC12 and 99.7%Al. The thermal conductivity was the highest for 99.7%Al, followed by Al-25%Si and ADC12.

Figure 3.
Effect of aluminum alloy on heater temperature. (a) White body and base thickness of 2 mm. (b) Black body with base thickness of 4 mm. (c) White body with base thickness of 4 mm. (d) Black body with base thickness of 2 mm. (e) Black body with base thickness of 4 mm. (f) Black body with base thickness of 6 mm.
For white heat sinks, there was a rough trend where the heater temperature for Al-25%Si was the lowest, followed by ADC12 and 99.7%Al. This indicates that the Al-25%Si white heat sink had the best performance. It was predicted before the experiment that the heater temperature for the 99.7%Al white heat sink would be the lowest because the thermal conductivity of 99.7%Al was much higher compared with ADC12 and Al-25%Si. However, the heater temperature for the 99.7%Al white heat sink was the highest. Although the thermal conductivity of 99.7%Al was higher than that of ADC12 and Al-25%Si, its emissivity was lower. The emissivity of ADC12 was higher than that of 99.7%Al, while its thermal conductivity was lower. The results show that the heater temperature for the ADC12 heat sink was lower or almost the same as that for the 99.7%Al heat sink. The heater temperature for the Al-25%Si white heat sink was lower than that for ADC12 because both the thermal conductivity and emissivity of Al-25%Si were higher than those of ADC12. These results suggest that the influence of emissivity on the heater temperature was larger than that of the thermal conductivity, and that the emissivity was the dominant factor for the heater temperature when the fin height and base thickness were the same.
The heater temperatures for the black heat sinks also decreased as the fin height and base thickness increased, similar to the white heat sinks.
The heater temperature reduction by blackening is shown in Figure 4. The temperatures of the black heat sinks were subtracted from those of the white heat sinks. Figure 4 shows the reduction in temperature for each aluminum alloy at each fin height and base thickness. The temperature reduction ranges for the 99.7%Al, ADC12 and Al-25%Si heat sinks were 6.4 to 12.1 °C, 4.2 to 7.9 °C and 1.3 to 7.6 °C, respectively. The average temperature reductions for the blackened 99.7%Al, ADC12 and Al-25%Si heat sinks were 8.8, 5.6 and 5.2 °C, respectively. The reduction in temperature for the 99.7%Al black heat sinks was larger than that for the ADC12 and Al-25%Si heat sinks at all fin heights and base thicknesses. This is attributed to the larger difference in emissivity between the 99.7%Al white and black heat sinks compared with those of ADC12 and Al-25%Si. When the base thickness was 2 mm, the reduction in temperature for the Al-25%Si heat sink was remarkably less than when the base thickness was 4 mm or 6 mm, and the cause of this is unclear.
Figure 4.
Differences in heater temperatures between white and black heat sinks. (a) 99.7%Al, (b) ADC12 and (c) Al-25%Si.
The reduction in temperature was also influenced by the fin height and base thickness. Overall, the heat sink performance can be improved by blackening, especially when the thermal conductivity is higher.
The heater temperature decreased as the fin height increased due to the increase in the emissive area. The heater temperature also decreased as the base thickness increased. The order of the heater temperatures of the 99.7%Al and ADC12 heat sinks was influenced by varying the fin height and base thickness, although the exact causes are unclear. For the white heat sinks, when the dimensions of the heat sink were fixed, using an aluminum alloy with higher emissivity was expected to improve the performance of the heat sink.
For black heat sinks, there were two rough trends. First, the heater temperature decreased in the order of 99.7%Al, Al-25%Si and ADC12, which corresponds to the order of increasing thermal conductivity. Second, the heater temperatures for the black heat sinks were lower than those for the white heat sinks, as shown in Figure 3. The heater temperatures were lower as the thermal conductivity increased. This indicates that the emissivities of the black heat sinks of all three kinds of aluminum alloy were almost the same due to the matte black paint, and that the heater temperature was mainly influenced by the thermal conductivity. The emissivity became much larger than that of the aluminum alloys themselves when the matte black paint was applied, which led to heater temperatures that were lower than those for the white heat sinks. Therefore, blackening was very useful for improving heat sink performance. In particular, the blackening of heat sinks made from an aluminum alloy with larger thermal conductivity, such as 99.7%Al, could result in an excellent performance.
The effect of blackening on heater temperature reduction with fin heights that varied from 20 mm to 35 mm was also investigated. The effects of the choice of aluminum alloy and base thickness on the difference in heater temperature for 20 mm and 35 mm fin heights and for both white and black heat sinks were evaluated. The heater temperatures for the 35 mm fin height heat sinks were subtracted from those for the 20 mm fin height heat sinks, as shown in Figure 5. The variation in temperature reductions between aluminum alloys at the same base thickness was smaller for black heat sinks than for white heat sinks. This was due to the emissivities of the black heat sinks being almost the same. Consequently, temperature differences between the black heat sinks were smaller than those between the white heat sinks due to the higher and more uniform emissivity. For the white heat sinks, the temperature differences relative to the base thickness for 99.7%Al and ADC12 showed a convex trend, with the largest being at a 4 mm base thickness. For the black heat sinks, the temperature differences gradually decreased as the base thickness increased. The emissivity, thermal conductivity and base thickness may have influenced these results, but their mechanisms remain unclear.
Figure 5.
Difference in heater temperature between 20 mm fin height and 35 mm fin height. (a) White heat sink. (b) Black heat sink.
The effect of blackening on the heater temperature reduction with increasing base thickness was also investigated, as shown in Figure 6. Specifically, the effect of blackening on the heater temperature difference for the 2 and 6 mm base thickness heat sinks were evaluated. The heater temperatures for the 6 mm base thickness heat sink were subtracted from those for the 2 mm base thickness heat sink. The variation in temperature difference between the aluminum alloys at the same fin height was smaller for the black heat sinks than for the white heat sinks. This was also due to the emissivity becoming almost the same across the aluminum alloy types by blackening. For the black heat sinks, the temperature difference between the 2 and 6 mm base thickness heat sinks became the largest when the fin height was 25 mm for all three alloys. The temperature difference decreased as the fin height increased, likely because of the increasing influence of fin height. The synergistic effects of emissivity, thermal conductivity, base thickness and fin height may have influenced these results, but the mechanisms remain unclear.
Figure 6.
Effect of blackening on difference in heater temperature between 2 mm base thickness and 6 mm base thickness. (a) White heat sink. (b) Black heat sink.
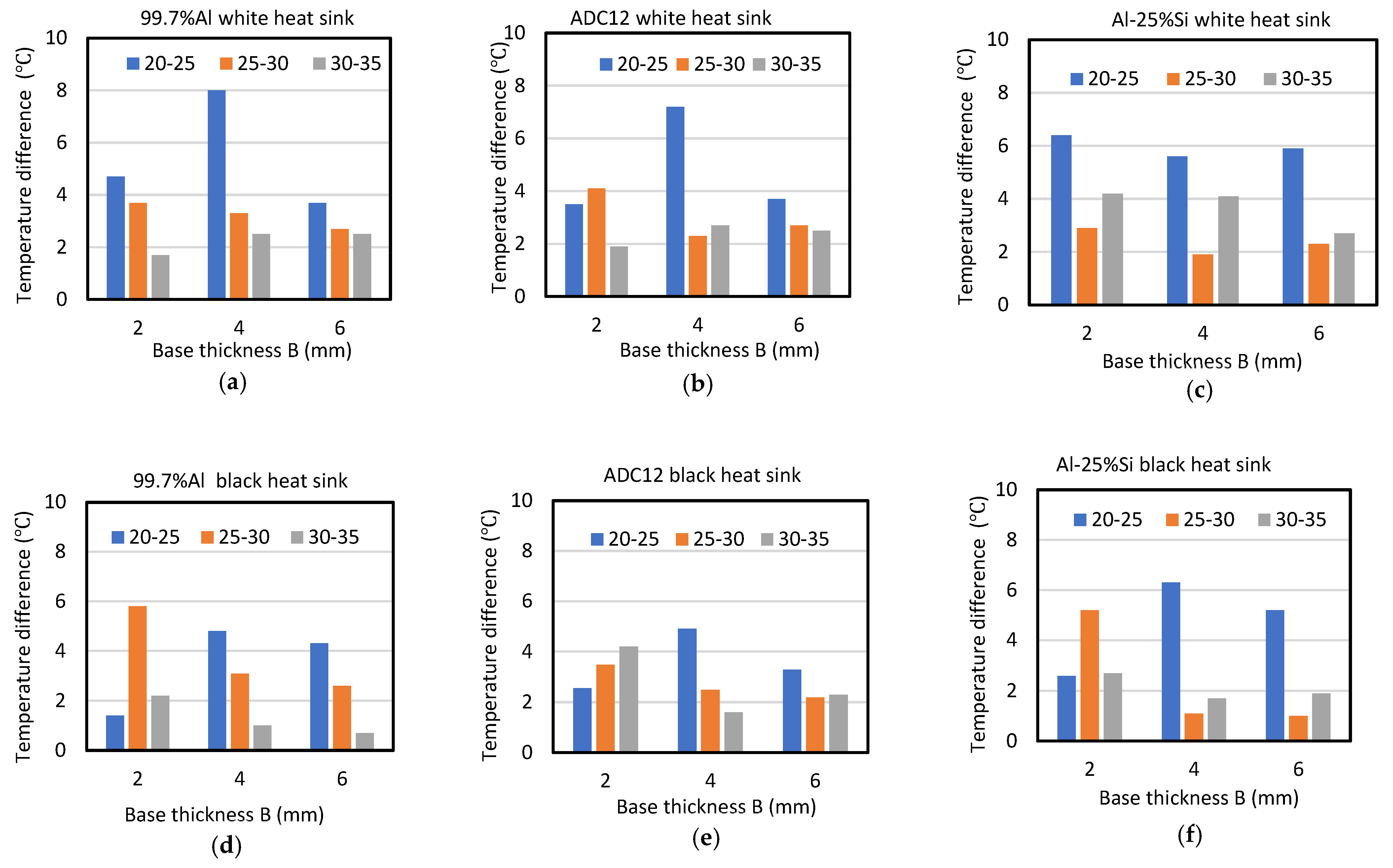
3.2. Heat Dissipation Increase by Fin Height Increase of 5 Mm
It became apparent that the heater temperature decreased as the fin height increased, as shown in Figure 3. The fin height was an important factor that enhanced the heat dissipation ability of the heat sink. However, the relationship between a 5 mm increase in the fin height (for example, from 20 to 25 mm, 25 mm to 30 mm and 30 to 35 mm) and the temperature difference (heater temperature reduction) was not clear. The heater temperature was influenced by the base thickness, aluminum alloy and blackening when the fin height was the same. The heater temperature reduction due to a 5 mm increase in the fin height may therefore also be influenced by these factors. To clarify the relationship between the fin height and improved heat dissipation, the heater temperature difference relative to 5 mm increases in the fin height was investigated. This result may become useful when selecting appropriate fin heights depending on usage.
The heater temperature differences when the fin height increased by 5 mm from 20 mm to 35 mm were investigated for both white and black heat sinks, and the results are shown in Figure 7. In Figure 7, for example, “20–25” represents the heater temperature difference when the fin height increased from 20 to 25 mm. This was calculated by subtracting the heater temperature at 25 mm of fin height from that at 20 mm.
Figure 7.
Reduction in temperature with 5 mm increase in fin height, from 20 mm up to 35 mm, for white and black heat sinks. (a) 99.7%Al white heat sink, (b) ADC12 white heat sink, (c) Al-25%Si white heat sink, (d) 99.7%Al black heat sink, (e) ADC12 black heat sink and (f) Al-25%Si black heat sink.
For white heat sinks, the temperature differences relative to the fin height increases were not uniform and were influenced by the base thickness and the choice of aluminum alloy. The temperature difference (reduction in temperature) for 20–25 was larger than those for 25–30 and 30–35, except in the case of ADC12 with a base thickness of 2 mm. For 99.7%Al and ADC12, the temperature difference for 20–25 was remarkably larger than those for 25–30 and 30–35 when the base thickness was 4 mm. For Al-25%Si, the temperature difference for 20–25 was almost constant regardless of the base thickness. The reason for the larger temperature difference for 20–25 is not clear.
When the base thickness was 4 mm or 6 mm, the temperature differences between 25–30 and 30–35 were very small, except in the case of Al-25%Si with a base thickness of 4 mm. This suggests that the temperature difference may become constant when the fin height exceeds 35 mm, which, in turn, means that the heater temperature decreases at a certain rate (about 2.5 °C/5 mm) when the fin height is larger than 35 mm for white heat sinks. The influence of the aluminum alloy selection on this rate of heater temperature decrease may be small.
For the black heat sinks made of 99.7%Al, the temperature differences for 20–25, 25–30 and 30–35 decreased in that order when the base thickness was 4 mm or 6 mm. This means that the effect of increasing the fin height on the heater temperature reduction became small as the fin height increased. For example, the temperature differences for 30–35 when the base thicknesses were 4 mm and 6 mm were 1 °C/5 mm and 0.7 °C/5 mm, respectively. It can be inferred that the reductions in temperature for fin heights greater than 35 mm would be less than 1 °C/5 mm. For the black heat sinks made of ADC12 or Al-25%Si, the temperature difference for 20–25 was larger than that for 25–30 and 30–35 when the base thicknesses were 4 mm and 6 mm. Additionally, the differences between 25–30 and 30–35 were small, less than 1 °C. It was predicted that when the fin height was greater than 35 mm, the temperature reductions per 5 mm of fin height may become constant at about 2 °C/5 mm and 1.5 °C/5 mm for ADC12 and Al-25%Si, respectively. In summary, when the fin height is greater than 35 mm, the rate of heater temperature reduction per 5 mm increase of fin height is expected to be less than 1 °C/5 mm for 99.7%Al, 2 °C/5 mm for ADC12 and 1.5 °C/5 mm for Al-25%Si when the base thickness is greater than 4 mm. The heater temperature reduction rate became smaller as the thermal conductivity increased. The heater temperature at a 35 mm fin height decreased in the order of 99.7% Al, Al-25%Si and ADC12, which may have been related to the heater temperature reduction rate, suggesting that there is a lowest heater temperature that can be achieved.
3.3. Heat Dissipation Increase by Base Thickness Increase of 2 Mm
As shown in Figure 3, the heater temperature decreased as the base thickness increased. The base thickness was thus also an important factor that improved the heat dissipation ability of the heat sink. However, the relationship between the base thickness increase (for example, from 2 mm to 4 mm and from 4 mm to 6 mm) and temperature difference (heater temperature reduction) was not clear. The heater temperature was influenced by the fin height, aluminum alloy and blackening when the base thickness was the same. The relationship between a 2 mm increase in base thickness and the heater temperature difference may be non-constant due to the influences of the fin height, aluminum alloy and blackening. The heater temperature differences for both white and black heat sinks with 2 mm increases in base thickness are shown in Figure 8. The labels “2–4” and “4–6” refer to the differences in the heater temperature when the base thickness increased from 2 mm to 4 mm and from 4 mm to 6 mm, respectively. The “2–4” label means that the heater temperature at a base thickness of 4 mm was subtracted from that at 2 mm. It appears that the temperature difference when the base thickness increased by 2 mm was influenced by the aluminum alloy type, fin height and blackening. The trends of the bar graphs for white and black heat sinks were different.
Figure 8.
Reduction in temperature with 2 mm increases in base thickness, from 2 mm up to 6 mm, for white and black heat sinks. (a) 99.7%Al white heat sink, (b) ADC12 white heat sink, (c) Al-25%Si white heat sink, (d) 99.7%Al black heat sink, (e) ADC2 black heat sink and (f) Al-25%Si black heat sink.
The results for the white heat sinks are discussed below. For 99.7%Al and ADC12, the heater temperature decreased for 2–4. This result was particularly remarkable when the fin height was greater than 25 mm, as it suggests that a 4 mm base thickness greatly improves the heat sink performance over a 2 mm base thickness when the fin height is greater than 25 mm. For the 99.7%Al white heat sink, the temperature difference (reduction in temperature) for 4–6 remarkably decreased when the fin height increased from 20 to 25 mm, and there was no further reduction in the temperature when the fin height was from 30 to 35 mm. The result means that for the 99.7%Al white heat sinks, when the fin height was smaller than 20 mm, a base thickness thicker than 6 mm could improve the heat sink performance. When the fin height was larger than 25 mm, a base thickness of 4 mm was sufficient to improve the heat sink performance, and thicker bases add weight without improving the performance. For the ADC12 white heat sink, the effect of the base thickness on the heat sink performance increased for 4–6 and gradually decreased as the fin height increased. A base thicker than 6 mm may still be useful to reduce the heater temperature when the fin height is under 35 mm. For the Al-25%Si white heat sink, the effect of the base thickness increased for 4–6 on the heat sink performance became negligible when the fin was taller than 35 mm. For the 99.7%Al and Al-25%Si white heat sinks, the effect of the base thickness on the heat sink performance was smaller than for ADC12 for fin heights under 35 mm. For 99.7%Al and Al-25%Si, the base thickness increases may have no effect on the heat sink performance when the fin height is larger than 35 mm. For ADC12, the reduction in the temperature due to the base thickness increase will also eventually decrease, similarly to 99.7%Al and Al-25%Si, as the fin height increased. Increasing the base thickness past 6 mm may not be needed to improve the heat sink performance when the fin height is larger than 35 mm for Al-99.7% and Al-25%Si white heat sinks, as it increases weight without improving performance.
For the black heat sinks, when the increase in the base thickness was 2–4, for all the aluminum alloys, the temperature decrease was a maximum for a fin height of 25 mm, and the trend of the bar graph was convex with respect to the fin height. Although the reason for this is not clear, there may have been a synergistic effect between the thermal conductivity and the fin height since the emissivity was almost the same as a result of blackening. For fin heights greater than 25 mm, the effect of the base thickness increase of 2–4 became less prominent. The temperature difference for 4–6 was remarkably smaller than that for 2–4, except for ADC12 with a fin height of 20 or 35 mm. For the 99.7% black heat sinks, the temperature difference for 4–6 decreased as the fin height increased, where it became very small for a fin height of 35 mm. The effect of increasing the base thickness on the temperature decrease may therefore become insignificant for taller fins. A base thickness of 6 mm may be sufficient to obtain a good heat sink performance when the fin height is larger than 30 mm. For the ADC12 black heat sink, a base thickness of more than 6 mm may be required to achieve a better performance, especially when the fin height is smaller than 20 mm or larger than 35 mm. For the Al-25%Si black heat sink, a base thickness of 6 mm was sufficient to achieve a good heat sink performance for a fin height of 25 to 30 mm, but for a fin height that is smaller than 20 mm or larger than 35 mm, a thicker base may be required.
3.4. Effect of Fin Height and Base Thickness on Heat Dissipation Differences Between Three Aluminum Alloy Types
For the white heat sinks, the performance was better in the order of Al-25%Si, ADC12 and 99.7%Al, as shown in Figure 3a–c. For the black heat sink, the performance was better in the order of 99.7%Al, Al-25%Si and ADC12, as shown in Figure 3d–f. The effects of the fin height and the base thickness on the superiority of the Al-25%Si white heat sink over the ADC12 and 99.7%Al white heat sinks, and of the 99.7%Al black heat sink over the ADC12 and Al-25%Si black heat sinks, was investigated.
The heater temperature for the Al-25%Si white heat sink or the 99.7%Al black heat sink was subtracted from the heater temperatures of the other aluminum alloys’ heat sinks to calculate the temperature differences. The superiority of the Al-25%Si white heat sink or the 99.7%Al black heat sink increased as the temperature difference increased. In other words, as the temperature difference decreased, the inferiority of the other heat sinks decreased. In Figure 9, for example, “99.7%Al-Al-25%Si” means that the heater temperature of the Al-25%Si heat sink was subtracted from that of the 99.7%Al heat sink.
Figure 9.
Effect of fin height and base thickness on heat dissipation performance across all three aluminum alloys. (a) White heat sink of 99.7%Al. (b) White heat sink of ADC12. (c) White heat sink of Al-25%Si. (d) Black heat sink of 99.7%Al. (e) Black heat sink of ADC12. (f) Black heat sink of Al-25%Si.
For the white heat sinks, when the base thickness was 2 mm, there was a rough trend of increasing temperature difference with increasing fin height. The superiority of the Al-25%Si white heat sink increased as the fin height increased when the base thickness was 2 mm. This indicates that the superiority of the Al-25%Si white heat sink increased as the fin area increased. The larger emissivity of Al-25%Si compared with 99.7%Al and ADC12 may have been the cause of this. When the base thickness was 4 mm, the inferiority of the 99.7%Al and ADC12 white heat sinks was the smallest for a fin height of 30 mm. It is not clear what the cause of this was. When the base thickness was 6 mm and the fin height was 20 mm, there was no difference in the heater temperature between the white heat sinks cast from the three aluminum alloys. In this case, the effect of the emissivity on the heater temperature may have been canceled out by the effect of the base thickness. In other words, when the fin height was 20 mm and the base thickness was 6 mm, the effect of the fin height on the heat dissipation was smaller than that of the base thickness. In the “ADC12-Al-25%Si” case, the temperature difference decreased as the fin height decreased for the 6 mm base thickness. In the “99.7%Al-Al-25%Si” case, the temperature difference remained almost constant when the fin height was larger than 25 mm for the 6 mm base thickness. The influence of the emissivity on the heater temperature may decrease as base thickness increases, especially when the fin height was smaller. This is suggested by the comparison between the results for 2 mm and 6 mm base thickness. At base thicknesses of 2 mm or 4 mm, the temperature difference distributions for “99.7%Al-Al-25%Si” and “ADC12-Al-25%Si” were very similar. This suggests that the influence of the thermal conductivity on the temperature difference was not large enough to make a difference between “99.7%Al-Al-25%Si” and “ADC12-Al-25%Si”.
For the black heat sinks, the temperature differences were smaller than those for the white heat sinks. This may have been because the emissivity of the black heat sinks became almost the same and very high due to the matte black painting, which resulted in the influence of the thermal conductivity on the temperature difference becoming smaller.
The temperature difference for “99.7%Al-Al-25%Si” was smaller than that for “ADC12-Al-25%Si” because the difference in thermal conductivity between 99.7%Al and Al-25%Si was smaller than that between 99.7%Al and ADC12.
For the black heat sinks, the superiority of 99.7%Al compared with ADC12 or Al-25%Si was not remarkably influenced by the fin height or base thickness, unlike for the white heat sinks. This may mean that the effect of the emissivity on the heater temperature difference (i.e., heat sink performance) was greater than that of the fin height and the base thickness due to the black paint application.
For the 99.7%Al black heat sink, a base thickness of 6 mm may be sufficient to achieve a good heat sink performance when the fin height is larger than 30 mm.
4. Conclusions
99.7%Al, ADC12 and Al-25%Si were used to investigate the effects of the thermal conductivity and emissivity of aluminum alloys, and the fin height, base thickness and black coating on heat sink dissipation. The synergistic effects of these factors on the heat sink dissipation were also investigated. When the temperature of the heater attached to the heat sink decreased, the heat dissipation increased. A lower heater temperature corresponded to a better heat sink performance. The thermal conductivity and emissivity of 99.7%Al were, respectively, larger and smaller than those of the other practical aluminum alloys. ADC12 is a typical aluminum alloy used for die casting, and its thermal conductivity and emissivity were smaller and larger, respectively, than those of 99.7%Al. The emissivity of Al-25%Si was larger than that of both 99.7%Al and ADC12, and its thermal conductivity was smaller than that of 99.7%Al but larger than that of ADC12.
The heater temperature decreased as the thermal conductivity, emissivity, fin height and base thickness increased. A black paint coating (blackening) was effective at increasing the emissivity. For all of the tested aluminum alloy heat sinks, when blackening was applied, the thermal conductivity became the dominant factor in reducing the heater temperature, as the influence of the emissivity of the aluminum alloy itself was smaller than the effect of blackening. On the other hand, when blackening was not applied, the emissivity of the aluminum alloy itself was a more important factor in improving the heat sink performance than the thermal conductivity.
The amount of heater temperature reduction corresponding to a given increase in the fin height or base thickness was not constant for the same aluminum alloy and between different aluminum alloys. This variation decreased with blackening.
The superiority of the Al-25%Si heat sink without blackening or the 99.7%Al heat sink with blackening, relative to heat sinks made of other aluminum alloys, was influenced by the fin height and the base thickness. In other words, the heater temperature differences fluctuated depending on the fin height and the base thickness.
Author Contributions
Conceptualization, T.H.; methodology, S.O., H.F. and T.H.; validation, H.F. and T.H.; formal analysis, H.F. and T.H.; investigation, S.O., H.F. and T.H.; resources, T.H.; data curation, H.F. and T.H.; writing—original draft preparation, H.F. and T.H.; writing—review and editing, H.F. and T.H.; visualization, H.F. and T.H.; supervision, T.H.; project administration, T.H.; funding acquisition, T.H. All authors have read and agreed to the published version of the manuscript.
Funding
This research was supported by the Adaptable and Seamless Technology Transfer Program through Target-Driven R&D Feasibility Study Stage Exploratory Research (JPMJTM20Q5) from the Japan Science and Technology Agency (JST).
Data Availability Statement
The original contributions presented in the study are included in the article. Further inquiries can be directed to the corresponding authors.
Conflicts of Interest
The authors declare no conflicts of interest.
References
- Pure Aluminum Forged Heat Sink. Available online: https://meco.jp/actives/actives-2302/ (accessed on 21 June 2025).
- Aluminum Alloy Extruded Heat Sink. Available online: https://material.st-grp.co.jp/technology/aluminum/case/hightong.html (accessed on 21 June 2025).
- High-Ceiling LED Lamp Heat Sink. Available online: http://ja.perfumecaps.com (accessed on 29 March 2024).
- Şevik, S.; Őzdilli, Ő.; Akbulut, F. Numerical investigation of the effect of different heat sink fin structures on the thermal performance of automotive LED headlights. Int. J. Automot. Sci. Technol. 2022, 6, 17–126. [Google Scholar] [CrossRef]
- Stafford, J.; Walsh, E.; Egn, V.; Walsh, P.; Muzychka, Y.S. A novel Approach to Low Profile Heat Sink Design. J. Heat Transf. 2010, 132, 091401. [Google Scholar] [CrossRef]
- Kim, E.J.; Kim, D.K.; Oh, H.H. Comparison of Fluid Flow and Thermal Characteristics of Plate-Fin and Pin-Fin Heat Sinks Subject to Parallel Flow. Heat Transf. Eng. 2008, 29, 169–177. [Google Scholar] [CrossRef]
- Mallikarjuna, V.; Rajesh, K.; Ramesh, K.; Reddy, B.R.B. Modeling and Optimization of shape of a Heat Sink Fins on Motherboard. J. Comput. Math. Sci. 2015, 65, 228–251. [Google Scholar]
- Kappranos, P. Current State of Semi-Solid Net-Shape Die Casting. Metals 2019, 9, 1301. [Google Scholar] [CrossRef]
- See, A.; Caporale, L. High Density Die Casting (HDDC): New frontiers in the manufacturing of heat sinks. J. Phys. Conf. Ser. 2014, 525, 012020. [Google Scholar] [CrossRef]
- Jou, R.Y. Thermal analysis of LED Heat Sinks by High-Vacuum Die Casting (HVDC). Adv. Sci. Lett. 2012, 8, 421–426. [Google Scholar] [CrossRef]
- Fuse, H.; Haga, T. Die casting of pure aluminum heat sink with thin fins. Metals, 2025; submitted. [Google Scholar]
- Haga, T.; Fuse, H. Die casting of lightweight thin fin heat ink using Al-25%Si. Metals 2024, 14, 622. [Google Scholar] [CrossRef]
- Wu, N.; Sun, M.; Guo, H.; Zie, Z.; Du, S. Enhancement effect of a diamond network on the flow boiling heat transfer characteristics of a diamond/Cu heat Sink. Energies 2023, 16, 7228. [Google Scholar] [CrossRef]
- Maiorano, L.P.; Castillo, R.; Molina, J.M. Al/Gf composite foams with SiC-engineered interfaces for the next generation of active heat dissipation materials. Compos. Part A 2023, 166, 107367. [Google Scholar] [CrossRef]
- Khan, M.A.; Ali, H.M.; Rehman, T.; Arsalanloo, A.; Niyas, H. Composite pin-fin for effective hotspot reduction. Heat Trans. 2024, 53, 1816–1838. [Google Scholar] [CrossRef]
- Li, H.; Ding, L.; Li, J.; Fang, Y.; Li, G.; Shi, Y.; Zhang, Z.; Li, L. Progress in preparation of silicon carbide particulate copper composites. Shandong Chem. Ind. 2021, 50, 65–67. [Google Scholar]
- Chen, Z.; Liu, C.; Xie, Y.; Pan, Z.; Ren, S.; Qu, X. Preparation and research process of high thermal conductivity metal matrix composites. Powder Metall. Technol. 2022, 40, 40–52. [Google Scholar]
- Coia, P.; Dharmasiri, B.; Stojcevski, F.; Hayne, D.J.; Austria, E., Jr.; Akhavan, B.; Razal, J.M.; Usman, K.A.S.; Stanfield, M.K.; Henderson, L.C. Scalable electrochemical grafting of anthraquinone for fabrication of multifunctional carbon fibers. J. Mater. Sci. Technol. 2024, 200, 162–175. [Google Scholar] [CrossRef]
- Gupta, M.K. Mechanical behaviors of Al6063/TiB2 composites fabricated by stir casting process. Mater. Today Proc. 2023, 82, 222–226. [Google Scholar] [CrossRef]
- Zasadzińska, M.; Strzępek, P.; Mamala, A.; Noga, P. Reinforcement of aluminium-matrix composites with glass fibre by metallurgical synthesis. Materials 2020, 13, 5441. [Google Scholar] [CrossRef]
- Safari, V.; Kamkari, B.; Zandimaghm, M.; Hewitt, N. Transient Thermal Behavior of a passive heat sink integrated with phase change material: A numerical simulation. Int. J. Thermofluids 2023, 20, 100454. [Google Scholar] [CrossRef]
- Moradikazerouni, A.; Afrand, M.; Alsarraf, J.; Wongwises, S.; Asadi, A.; Nguyen, T.K. Investigation of a Computer CPU Heat Sink under Laminar Forced Convection Using a Structural Stability Method. Int. J. Heat Mass Transf. 2019, 134, 1218–1226. [Google Scholar] [CrossRef]
- Wengang, H.; Lulu, W.; Zongmin, Z.; Yanhua, L.; Mingxin, L. Research on simulation and experimental of thermal performance of LED array heat sink. Procedia Eng. 2017, 205, 2084–2091. [Google Scholar] [CrossRef]
- Muneeshwaran, M.; Tsai, M.K.; Wang, C.C. Heat transfer augmentation of natural convection heat sink through notched fin design. Mass Trans. 2023, 142, 106676. [Google Scholar] [CrossRef]
- Arshad, A.; Alabdullatif, M.I.; Jabbal, M.; Yan, Y. Towards the thermal management of electronic devices: A parametric investigation of finned heat sink filled with OCM. Mass Trans. 2021, 129, 105643. [Google Scholar] [CrossRef]
- Hamid, M.B.B.; Hatami, M. Optimimization of Fins Arrangements for the square Light Emitting Diode (LED) cooling through nanofluid-filled microchannel. Sci. Rep. 2021, 11, 12610. [Google Scholar]
- JIS H 5032: 2006(E); Aluminum Alloy Die Castings. Japanese Industrial Standards: Tokyo, Japan, 2006.
- Laser Flash Thermal Constant Measurement System. Available online: https://www.japansensor.co.jp/ (accessed on 10 April 2025).
- Emissivity Measurement System. Available online: https://advance-riko.com/ (accessed on 10 April 2025).
- Die Casting Machine. Available online: https://hishinuma.jp/menu/2013/09/hc50f.html (accessed on 22 April 2022).
- Temperature Controller. Available online: https://hishinuma.jp/menu/cat/cat132/cat1/ (accessed on 22 April 2022).
- Zhang, Z.; Collins, M.; Lau, E.; Botting, C.; Bahrami, M. The Role of Anodization in Naturally Cooled Heat Sinks for Power Electronic Devices. J. Heat Transf. 2020, 142, 05290. [Google Scholar] [CrossRef]
- Luo, T.; Zhu, C.; Li, B.; Shen, X.; Zhu, G. Feature analysis aided design of lightweight heat sink from network structures. iScience 2025, 28, 111630. [Google Scholar] [CrossRef]
- Mani, P.; Radhakrishnan, S.; Mahalingam, A.; Vellaiyan, S. Heat Dissipation effects of different nanocoated lateral fins an experimental investigation. Therm. Sci. 2024, 28, 293–305. [Google Scholar] [CrossRef]
- Pu, J.; Du, J.; Zhang, B.; Rong, F.; Jiao, F.; Hong, X. Thermal management enhancement of photovoltaic panels using phase change material heat sinks with various T-shaped fins. Case Stud. Therm. Eng. 2024, 61, 104991. [Google Scholar] [CrossRef]
- Matte Black Paint. Available online: https://www.asahipen.jp/ (accessed on 8 April 2025).
- Fetuga, I.A.; Olakoyejo, O.T.; Abolarin, S.M.; Adio, S.A.; Gbegida, J.K.; Adewimi, O.O.; Oluwatusin, O.; Aderemi, K.S.; Siqueira, A.M.O. Computational fluid dynamics of free convection and radiation n on thermal performance of light emitting diode applications with trapezoidal-finned heat sink. Case Stud. Therm. Eng. 2024, 61, 105078. [Google Scholar] [CrossRef]
- Dewilde, L.; Ali, S.M.; Nimmagadda, R.; Persoons, T. On the Numerical Investigation of Natural-Convection Heat Sinks Across a Wide Range of Flow and Operating Conditions. Fluids 2024, 9, 252. [Google Scholar] [CrossRef]
- Hasan, M.; Perna, R.; Elkholy, A.; Durfee, J.; Kempers, R. A lightweight additively manufactured two-phase integrated natural convection heat sink. Appl. Therm. Eng. 2025, 266, 125700. [Google Scholar] [CrossRef]
- Liu, H.; Guo, S.; Liu, C.; Du, F.; Li, B.; Hong, J. Case study of natural convection topology optimization based on finite volume method. Case Stud. Therm. Eng. 2025, 66, 105697. [Google Scholar] [CrossRef]
- Jain, Y.; Kurkute, V.; Deshmukh, S.M.; Pathan, K.A.; Attar, A.R.; Khan, S.A. The Influence of Plate Fin Heat Sink Orientation under Natural Convection on Thermal Performance: An Experimental and Numerical Study. J. Adv. Res. Fluid Mech. Therm. Sci. 2024, 114, 118–119. [Google Scholar] [CrossRef]
Disclaimer/Publisher’s Note: The statements, opinions and data contained in all publications are solely those of the individual author(s) and contributor(s) and not of MDPI and/or the editor(s). MDPI and/or the editor(s) disclaim responsibility for any injury to people or property resulting from any ideas, methods, instructions or products referred to in the content. |
© 2025 by the authors. Licensee MDPI, Basel, Switzerland. This article is an open access article distributed under the terms and conditions of the Creative Commons Attribution (CC BY) license (https://creativecommons.org/licenses/by/4.0/).









