You are currently viewing a new version of our website. To view the old version click .
Metals
  • Article
  • Open Access

27 October 2025

Composition Optimization and Microstructure-Property Investigation of Al-3.0Ce-xCa-yMn Alloy Exhibiting High Hot Tearing Resistance

,
,
,
,
and
1
State Grid Gansu Electric Power Research Institute, Lanzhou 730070, China
2
School of Materials Science and Engineering, Anhui Polytechnic University, Wuhu 241000, China
*
Author to whom correspondence should be addressed.
This article belongs to the Special Issue Fatigue, Fracture, and Multiaxial Integrity of Metallic Structure Materials: From Microstructure to Data-Driven Assessment

Abstract

This study employs a combined approach of theoretical calculations and experimental validation to systematically optimize the alloy composition, aiming to mitigate the hot cracking susceptibility of an Al-3.0Ce-xCa-yMn alloy in laser powder bed fusion (LPBF) processing. Through advanced characterization techniques such as electron backscatter diffraction (EBSD), transmission electron microscopy (TEM), and mechanical property testing, the intrinsic relationship between microstructure and mechanical performance was thoroughly elucidated. Computational results revealed that the addition of Ca significantly lowered the eutectic precipitation temperature, thereby effectively reducing the hot cracking tendency while maintaining a stable volume fraction of the Al11(Ce, Ca)3 phase. The optimal mass fractions of calcium (Ca) and manganese (Mn) were determined to be 0.8% and 1.9%, respectively. Microstructural characterization indicates that the alloy consisted of an α-Al matrix embedded with Al-Ce-Ca ternary eutectic compounds, and nanoscale Al6Mn spherical precipitates were uniformly distributed within the matrix. Mechanical property evaluations demonstrated that the Al-3Ce-0.8Ca-1.9Mn alloy exhibited an outstanding balance of strength and ductility at both room and elevated temperatures, with room temperature yield strength, tensile strength, and elongation values of 321 ± 15 MPa, 429 ± 8 MPa, and 10.9 ± 2.3%, respectively. This exceptional performance was attributed to a synergistic combination of multiple strengthening mechanisms including eutectic structure-induced strengthening, grain boundary strengthening due to ultrafine grains, and dislocation pinning strengthening caused by nano-sized Al6Mn precipitates.

1. Introduction

Aluminum alloys have garnered widespread utilization across industries such as aerospace, marine engineering, and automotive manufacturing due to their exceptional corrosion resistance and lightweight characteristics [1]. In response to the stringent performance demands of specialized components operating under extreme environmental conditions, heat-resistant aluminum alloys exhibiting superior high-temperature properties have emerged as pivotal materials. Presently, the predominant heat-resistant aluminum alloy systems are predominantly represented by the Al-Cu [2] and Al-Si [3] series. Nonetheless, constrained by the thermal stability of the Al2Cu and Al2Si strengthening phases, their high-temperature strength typically remains at a moderate level. Investigations have revealed that the Al11Ce3 strengthening phase demonstrates more pronounced high-temperature strengthening effects compared with Al2Cu and Al2Si [4,5,6], thereby offering a novel avenue for the development of advanced heat-resistant aluminum alloys. This has culminated in the advent of the Al-Ce heat-resistant eutectic alloy system. Research conducted by Sims et al. [7] on Al-Ce eutectic alloys has elucidated that this alloy system manifests remarkable microstructural stability. Following isothermal treatment at 520 °C for 20 h, only minimal morphological alterations were observed in the eutectic structure, with the volume fraction of the secondary phase remaining stable. Liu et al. [8] conducted a comprehensive examination of the high-temperature properties of cast Al-12.5 wt.% Ce near-eutectic alloys, revealing that the microhardness exhibited no significant variation after being maintained at 400 °C for 12 weeks, thereby further corroborating the exceptional high-temperature stability and creep resistance of the Al-Ce alloy system. These empirical findings furnish critical theoretical underpinnings for the deployment of Al-Ce heat-resistant eutectic alloys in high-temperature environments.
Laser powder bed fusion (LPBF), as a representative additive manufacturing technology, exploits its distinctive process characteristics of rapid melting and solidification to facilitate direct fabrication from three-dimensional models to physical components, thereby demonstrating substantial advantages in the production of complex structural parts [9,10,11,12]. However, this technology imposes rigorous demands on the suitability of alloy systems. For instance, the Al-Ce alloy, with its eutectic transformation temperature as high as 640 °C, is susceptible to metallurgical defects and cracking during the LPBF forming process, significantly constraining the application of LPBF technology in Al alloy preparation [13,14]. Consequently, the development of Al-Ce heat-resistant alloys amenable to LPBF forming and the reduction in their preparation costs have become focal points of contemporary research. Optimizing the Al-Ce alloy system through the incorporation of modifying elements to meet the exigencies of the LPBF process represents a viable strategy to address this challenge [15].
In light of the characteristics of the Al-Ce alloy system and the requisites of LPBF technology, ideal modifying elements should concomitantly exhibit the following attributes: (1) the capacity to lower the eutectic transformation temperature of Al-Ce; (2) the ability to effectively mitigate the hot cracking susceptibility index; (3) the availability and cost-effectiveness of raw materials; and (4) a low intrinsic density of the element. Research indicates that the Ca element fulfills all of these criteria and has demonstrated favorable modification effects in Al-Cu heat-resistant alloys and other Al alloy systems [8,16,17,18,19,20,21]. Su et al. [16] discovered that the addition of 0.5–1 wt.% Ca to Al-5Cu-0.5Mn alloy tripled the room-temperature formability of the as-cast alloy. T.K. Akopyan et al. [17] elucidated that the intermetallic compound structure in the Al-Ca-Cu ternary system was stable with Al in an equilibrium state, thereby providing a foundation for the development of novel natural composite Al-based materials. Belov et al. [18] corroborated that an Al-6Cu-2Mn alloy containing 1–4 wt.% Ca, following high-temperature annealing, exhibited a microstructure composed of fine eutectic structures (approximately 100 nm) incorporating Ca and Al20Cu2Mn3 phases, which aids in inhibiting recrystallization and preserving a fine grain structure. T.K. Akopyan et al. [19] developed an Al-Cu-Ca-Si quaternary eutectic system that manifested higher thermal stability than Al-5Cu. Du et al. [20] demonstrated that Ca-modified Al-Mg-Sc alloy retained excellent high-temperature performance and thermal stability at 300 °C. P.K. Shurkin et al. [21] fabricated an Al-Ca-Ni-Mn alloy using LPBF technology, which, after annealing at 300 °C for 3 h, experienced a reduction in microhardness from 200 HV to 161 HV, with primary and eutectic phases growing to 800 nm and 80 nm, respectively.
Consequently, it is evident that the Ca element can effectively enhance the eutectic reaction of Al alloys and significantly reduce the susceptibility to hot cracking, thereby establishing it as an optimal choice for the modification of Al-Ce alloys. However, the current body of research on the compositional optimization and microstructural characteristics of Ca-modified Al-Ce alloys during the LPBF forming process remains limited, underscoring the imperative for further investigation in this area.
R.A. Michi et al. [1] investigated the relationship between the diffusivity of various solute elements in the aluminum matrix and their maximum equilibrium solid solubility. Their findings revealed that Mn exhibited both low maximum solid solubility and diffusivity at 400 °C. This characteristic makes Mn less prone to diffusion-induced segregation under high-temperature conditions, thereby effectively mitigating the softening issue of aluminum alloys during high-temperature service. However, when the Mn content exceeds its solubility limit, thermally stable intermetallic compounds with moderate hardness, such as Al6Mn and Al12Mn, are formed. These compounds not only significantly enhance the second-phase strengthening effect of the material, but also maintain its toughness, preventing performance degradation caused by excessive strengthening.
Given that the addition of Mn can effectively enhance the comprehensive performance of aluminum alloys, this research utilized high-throughput phase diagram computational techniques to optimize the compositional design of the Al-3.0Ce-yCa-zMn alloy system. Through systematic modulation of the Ca and Mn content, quantified by mass fractions x and y, respectively, in conjunction with hot cracking susceptibility analysis and quantitative assessment of eutectic phase fractions, the optimal elemental composition of the alloy was ascertained. Utilizing the refined alloy composition, specimens were fabricated via powder bed laser fusion additive manufacturing technology. A comprehensive evaluation of the LPBF formed alloy was subsequently conducted, encompassing detailed microstructural characterization and rigorous mechanical property testing. The experimental findings were meticulously compared with high-throughput CALPHAD computational results, thereby affirming the fidelity of the computational model. This study innovatively proposes a novel hot cracking suppression method based on compositional optimization, providing an effective solution to address hot cracking issues in LPBF processing. Through systematic investigation of the microstructure–property relationships, this research establishes a robust theoretical foundation and provides substantial experimental data support for LPBF processing of high-temperature aluminum alloys. These findings are expected to significantly advance the development and engineering applications of high-temperature aluminum alloy products.

2. Materials and Methods

2.1. Computational and Design Aspects of Alloy Composition

The computational optimization of the Al-3.0Ce-xCa-yMn alloy system was executed utilizing Pandat 7.0 thermodynamic software under standard atmospheric conditions (1 atm). The compositional ranges for Ca and Mn were meticulously defined at 0.1–1.0 wt.% and 0.2–2.0 wt.%, respectively. A comprehensive analysis of critical parameters, such as eutectic precipitation temperature, theoretical density, hot cracking susceptibility factor, and phase fraction, was systematically conducted. The goal was to identify alloy compositions with the following optimized attributes: (1) a minimized hot cracking susceptibility factor, (2) a depressed eutectic transformation temperature, and (3) an elevated volume fraction of the eutectic phase. The computational framework was underpinned by the PanMg2016_TH+MB_20241119.pdb thermodynamic database, which encompasses exhaustive thermodynamic data for the elements Al, Ce, Ca, and Mn, thereby facilitating precise and dependable parallel computations for the Al-Ce-Ca-Mn quaternary alloy system.

2.2. Characteristics of Pre-Alloyed Powders

Based on the results obtained from thermodynamic screening, this study employed pre-alloyed Al-3.0Ce-0.8Ca-1.9Mn powders, manufactured by CNPC Powder China Ltd. (Wuhu, China) using the gas atomization method, as the primary raw material. The exact chemical composition of these powders was determined using an Avio 500 Inductively Coupled Plasma Optical Emission Spectrometer (ICP-OES) (PerkinElmer, Singapore), with the detailed results systematically presented in Table 1.
Table 1. Chemical composition (wt.%) of the Al-3.0Ce-0.8Ca-1.9Mn pre-alloyed powder.
Figure 1 presents the representative characterization outcomes of the Al-3.0Ce-0.8Ca-1.9Mn pre-alloyed powder. As depicted in Figure 1a, the powder demonstrated superior sphericity, featuring smooth surfaces devoid of noticeable imperfections, thereby affirming its compatibility with the LPBF manufacturing technique. Furthermore, the particle size distribution profile of the pre-alloyed powder conformed to a classic Gaussian distribution, as illustrated in Figure 1b, with the volume distribution metrics D90, D50, and D10 quantified at 72 µm, 42 µm, and 25 µm, respectively. The XRD (X-ray diffraction) analysis indicates that the phase constitution of the pre-alloyed powder was primarily composed of α-Al, accompanied by a secondary phase of Al11Ce3. According to the Al-Ce and Al-Ca binary phase diagrams, the maximum solid solubility of Ce and Ca elements in Al at room temperature was approximately 0.01 wt.%. Although the majority of Ce and Ca elements exist in the form of intermetallic compounds, the significant shift in the α-Al (111) diffraction peak observed in Figure 1d, combined with the theory of lattice distortion in solid solutions, suggests that a certain amount of Ce and Ca elements had indeed dissolved into the α-Al matrix. Furthermore, this lattice distortion may also be attributed to the incorporation of trace impurities such as Cu and Fe.
Figure 1. Representative characterization of the Al-3.0Ce-0.8Ca-1.9Mn pre-alloyed powder: (a) powder morphology; (b) particle size distribution histogram; (c) XRD spectrum; (d) enlarged XRD spectrum focusing on the diffraction peak associated with the α-Al (111) crystallographic plane.

2.3. The Procedural Sequence for the LPBF Manufacturing of the Al-3.0Ce-0.8Ca-1.9Mn Alloy

Three distinct alloy specimens were fabricated via the LPBF technique, with respective dimensions of 15 mm × 15 mm × 15 mm, 10 mm × 60 mm × 10 mm, and 20 mm × 80 mm × 10 mm. To ensure the purity of the deposited layers, an aluminum alloy plate with dimensions of 280 mm × 280 mm × 50 mm was employed as the substrate. Prior to experimentation, the substrate surface was meticulously polished using a graded series of sandpapers ranging from #400 to #1200 to eliminate the surface oxide layer. Subsequently, the substrate underwent ultrasonic cleaning in anhydrous ethanol for 5 min to thoroughly remove surface oils and other contaminants. To further optimize the quality of the formed components, the pre-treated substrate was preheated to 80 °C prior to the LPBF process. The specific parameters of the LPBF forming process are detailed in Table 2. During the forming process, a 67° interlayer rotation scanning strategy was implemented (as depicted in Figure 2). This strategy, which modifies the laser scanning direction between adjacent layers, effectively mitigates the anisotropy of the alloy and averts the concentrated distribution of metallurgical defects [22]. During the experimental process, to effectively prevent the loss of low-melting-point metals (such as Mn) due to high-temperature evaporation, the entire preparation procedure was conducted under a high-purity argon (Ar) protective atmosphere.
Table 2. Process parameters for LPBF fabrication.
Figure 2. Schematic representation of the LPBF sample preparation process: (a) designated sampling locations; (b) implemented scanning strategy.

2.4. Microstructural Characterization

In this investigation, the morphological characteristics of pre-alloyed powders, the structural features of the melt pool, and the fracture surfaces of tensile specimens were systematically performed using optical microscopy (OM) (ZEISS, Oberkochen, Germany) and an EM30AXP scanning electron microscope (SEM) (Coxem, Daejeon, Republic of Korea). The grain size distribution and crystallographic orientation of the LPBF alloy were systematically analyzed through electron backscatter diffraction (EBSD) employing a Tescan Mira3S system (Tescan, Brno, Czech Republic). The specimens for OM, SEM, and EBSD were prepared by mechanical grinding using SiC paper (1200 grit, 2400 grit, and 4000 grit), followed by electrolytic polishing in a solution of 10 mL HClO4 + 90 mL C2H5OH. The polishing voltage was set at 15 V, and the polishing time was 20 s. Phase composition analysis of both the pre-alloyed powders and the LPBF alloy specimens was performed using X-ray diffraction (XRD) with a BRUKER D8 VENTURE apparatus (Bruker, Karlsruhe, Germany). Furthermore, the identification and dimensional analysis of the constituent phases within the alloy were conducted using a FEI Talos F200X transmission electron microscope (TEM) (Thermo Fisher Scientific, Waltham, MA, USA).

2.5. Mechanical Properties Testing

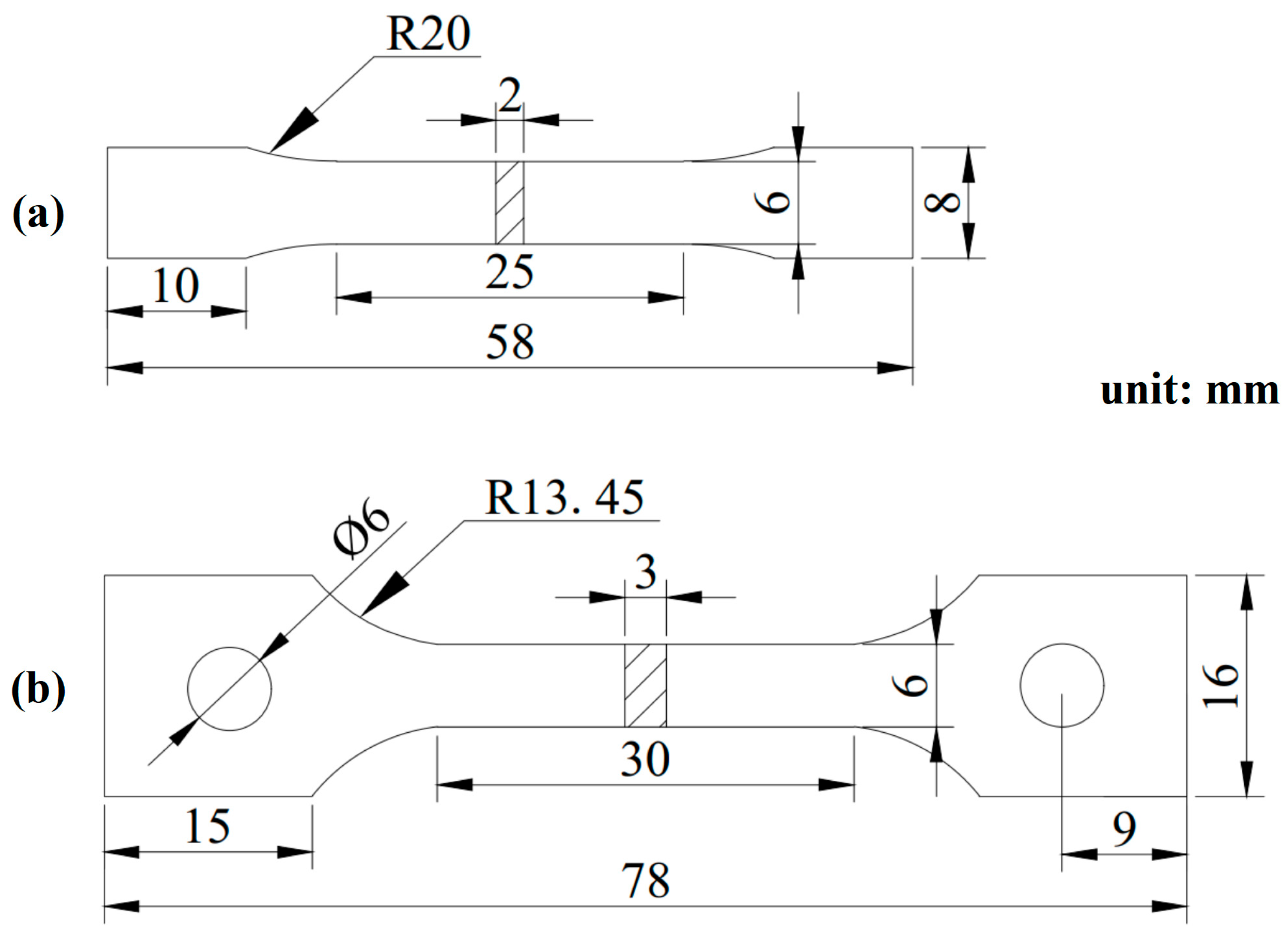
Specimens for room-temperature and high-temperature tensile property tests were prepared using electrical discharge machining (EDM), with their specific dimensions illustrated in Figure 3a and Figure 3b, respectively. The surfaces of the specimens were meticulously polished using #600, #1200, and #2400 water-abrasive sandpapers to ensure surface smoothness. Tensile property tests were conducted on an E45.305 electronic universal testing machine (MTS Systems Corporation, Eden Prairie, MN, USA), with a constant tensile rate of 0.5 mm/min. During the testing process, a RVX-112 optical extensometer (Nanjing Ruize Meso-Micro Testing Technology Co., Ltd., Nanjing, China) was employed to measure strain in real-time, ensuring the accuracy and reliability of the data.
Figure 3. Mechanical property test specimens: (a) room temperature tensile specimen; (b) high temperature tensile specimen.

3. Theoretical Calculations

3.1. Eutectic Precipitation Temperature

Figure 4 demonstrates the effect of varying Ca content (x = 0.1–1.0 wt.%) on the eutectic precipitation temperature of the Al11(Ce, Ca)3 phase within the Al-3.0Ce-xCa alloy system. Thermodynamic simulations conducted using the Pandat software revealed a descending trend in the eutectic precipitation temperature of the Al11(Ce, Ca)3 phase with increasing Ca content. Specifically, when the Ca content increased from 0.0 wt.% to 0.2 wt.%, the eutectic precipitation temperature of the Al11(Ce, Ca)3 phase started to decrease gradually. Given the rapid melting and solidification characteristics inherent to the LPBF process, the reduction in eutectic precipitation temperature aids in maintaining a consistent volume fraction of precipitates during alloy formation. As the Ca content further increased to 0.4–0.8 wt.%, the eutectic precipitation temperature of the Al11(Ce, Ca)3 phase continued to decline. At a Ca content of 0.8 wt.%, the eutectic precipitation temperature of the Al11(Ce, Ca)3 phase reached its minimum value of 610 °C. In summary, as the Ca content increased from 0.0 wt.% to 0.8 wt.%, the eutectic precipitation temperature of the Al11(Ce, Ca)3 phase demonstrated a consistent and progressive decline from 623 °C to 610 °C, resulting in a cumulative reduction of 13 °C. This observed decrease in the transformation temperature is predominantly ascribed to the incorporation of Ca, which fundamentally alters the eutectic reaction dynamics within the Al-Ce-Ca ternary system. This modification consequently disrupts the thermodynamic stability of the Al11(Ce, Ca)3 phase. Moreover, the solid solution behavior of Ca induces lattice distortion, which exerts a pronounced influence on the nucleation and growth kinetics of the eutectic phase. Consequently, an increase in Ca content correlates with a corresponding elevation in the volume fraction of the eutectic phase. These simulation outcomes furnish critical theoretical insights for the optimization of alloy composition, aimed at effectively lowering the eutectic transformation temperature. Based on these empirical findings, the optimal Ca content range for the design of Al-3.0Ce-xCa-yMn alloys was ascertained to be 0.4–0.8 wt.%.
Figure 4. The temperature profile of eutectic precipitation for the Al11(Ce, Ca)3 phase within the Al-3.0Ce-xCa alloy system.
Table 3 presents the theoretical density calculation results of the Al-3.0Ce-xCa-yMn alloy system obtained using the point calculation module in the Pandat thermodynamic software in conjunction with Equation (1). The detailed expression of Equation (1) and the corresponding parameter definitions are as follows [23]:
D = 1 / ( A l % / D A l + C e % / D C e + C a % / D C a + M n % / D M n )
Table 3. Theoretical density and molar volume of Al-3.0Ce-xCa-yMn alloy systems.
Herein, D represents the theoretical density of the alloy, while A l % , C e % , C a % , and M n % denote the mass fractions of Al, Ce, Ca, and Mn, respectively, in wt.%. Additionally, D A l , D C e , D C a , and D M n correspond to the densities of the pure elements Al, Ce, Ca, and Mn, respectively, in g/cm3.
Through comprehensive systematic analysis, it was evident that in both the Al-3.0Ce-xCa-yMn and Al-3.0Ce-xCa-1.9Mn alloy systems, the theoretical density of the alloys demonstrated a consistent declining trend as the Ca content x (x = 0.1–0.8 wt.%) increased. Specifically, when the Ca content was elevated from 0.0 wt.% to 0.80 wt.%, the theoretical density of the Al-3.0Ce-xCa-1.9Mn alloy decreased from 2.78 g/cm3 to 2.76 g/cm3, corresponding to a reduction of 0.72%. Simultaneously, the theoretical molar volume exhibited an increase from 10.03 cm3/mol to 10.12 cm3/mol.

3.2. Hot Tearing Susceptibility and Volume Fraction of Al11(Ce, Ca)3 Eutectic Phase

Based on the liquid film theory, Sindo Kou et al. proposed a cracking model during metal solidification to systematically describe the critical conditions for crack initiation and propagation [24]. The physical expression of this model is as follows:
d ε l o c a l d t > 1 β d f s d T d T d t + d d z 1 1 β f s v z f s 1
where ε l o c a l represents the local tensile strain in the semi-solid region, t denotes time, β is the solidification shrinkage rate, f s is the solid fraction during solidification, T is the temperature, z is the axial direction of columnar dendrites, and v z is the liquid feeding rate along grain boundaries.
In Equation (2), d ε l o c a l d t characterizes the local strain rate in the transverse direction of columnar grains, which leads to grain separation and crack initiation; 1 β d f s d T d T d t describes the transverse growth rate of grains, representing the mechanism by which grains approach and coalesce to resist crack propagation; and d d z 1 1 β f s v z represents the liquid feeding rate along grain boundaries, which suppresses crack formation by filling intergranular voids. When the above inequality holds, cracks will initiate and propagate.
Pandat software supports high-throughput computational analysis for quaternary alloy systems, providing the efficient evaluation of key thermodynamic and kinetic parameters including solid solubility limits, crack susceptibility index (CSI), and the volume fraction of precipitated phases.
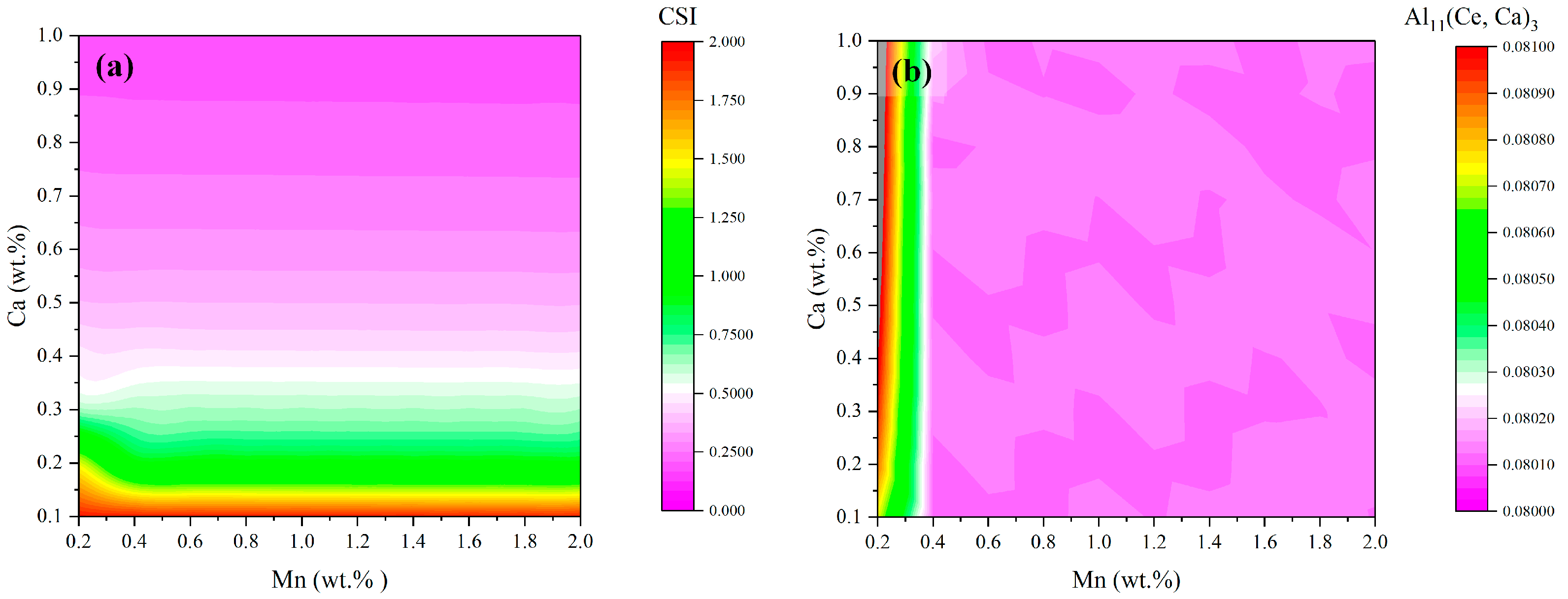
Figure 5 displays the computational outcomes of hot tearing susceptibility and the volume fraction of the Al11(Ce, Ca)3 phase in Al-3.0Ce-xCa-yMn alloys, derived from the high-throughput module of Pandat. As depicted in Figure 5a, the CSI of the alloy markedly declined as the Ca content rose from 0.1 wt.% to 0.2 wt.%. A further increase in Ca content to 0.4 wt.% resulted in a continued decrease in the CSI value, which eventually plateaued. Moreover, the CSI value showed a slight downward trend with increasing Mn content. Notably, within the Ca content range of 0.1–0.2 wt.%, the CSI value significantly decreased as the Mn content increased from 0.2 wt.% to 0.4 wt.%. These findings suggest that Ca exerts a predominant effect in suppressing the CSI, whereas the impact of Mn content on the CSI was comparatively less pronounced.
Figure 5. High-throughput computational results of the Al-3.0Ce-xCa-yMn alloy: (a) CSI; (b) volume fraction of the Al11(Ce, Ca)3 phase.
As demonstrated by the analytical results in Figure 5b, the incorporation of Ca and Mn elements exerted a minimal effect on the volume fraction of the Al11(Ce, Ca)3 phase, which remained consistently stable within the narrow range of 0.080–0.081. Consequently, in the compositional design of Al-3.0Ce-xCa-yMn alloys, the influence of Ca and Mn content on the volume fraction of the strengthening phase can be considered negligible. By synthesizing the hot tearing susceptibility analysis of the Al-3.0Ce-xCa-yMn alloy, the volume fraction of the Al11(Ce, Ca)3 eutectic phase, and the overall density of the alloy, this study established the optimal Ca content as 0.8 wt.%. Furthermore, from the standpoint of Al-Mn strengthening phases, the Mn content was optimized to 1.9 wt.%. Based on this comprehensive analysis, the alloy composition chosen for laser additive manufacturing in this investigation was Al-3.0Ce-0.8Ca-1.9Mn.

4. Results and Discussion

4.1. Microstructure

Figure 6 presents the microstructural characteristics of the Al-3.0Ce-0.8Ca-1.9Mn alloy fabricated via the LPBF technique. As revealed by the metallographic and scanning electron microscopy examinations presented in Figure 6a,b, the as-fabricated alloy displayed a well-defined “fish-scale” microstructure with homogeneous distribution and closely overlapping layers. The high-magnification SEM micrographs (Figure 6c,d) distinctly demonstrated the existence of partially unmelted powder particles and localized lack-of-fusion defects within the alloy microstructure. These findings indicate that the Al-3.0Ce-0.8Ca-1.9Mn alloy exhibited low hot tearing susceptibility and CSI during the LPBF process, aligning closely with the high-throughput CALPHAD computational results. This agreement further corroborates the alloy’s superior formability and stability under rapid solidification conditions.
Figure 6. Microstructural characteristics of the as-printed Al-3.0Ce-0.8Ca-1.9Mn alloy: (a) optical microstructure photograph; (bd) SEM images; (e) melt pool morphological features of the XZ cross-section.
A detailed examination of the melt pool structure of the Al-3.0Ce-0.8Ca-1.9Mn alloy revealed a distinct composition comprising a light-gray melt pool core (highlighted in yellow in Figure 6e) and a white melt pool periphery (delineated by light-blue dashed lines in Figure 6e). The rapid melting and solidification dynamics inherent to the LPBF process are pivotal in governing the microstructural evolution of the Al-3.0Ce-0.8Ca-1.9Mn alloy. The melt pool core, exposed to elevated peak temperatures and comparatively slower cooling rates during the LPBF process, developed a more uniform microstructure during solidification. This uniformity was primarily ascribed to the relatively stable temperature distribution within the melt pool core, fostering consistent grain growth conditions.
Conversely, the melt pool periphery was markedly influenced by pronounced temperature gradients. These gradients induced heterogeneous deformation in the adjacent microstructure during solidification, leading to varying degrees of lateral compression. Notably, in regions proximate to the melt pool boundary, the high cooling rate and steep temperature gradient facilitated the formation of a dendritic microstructure during rapid solidification. The development of dendritic structures is attributed to the synergistic effects of temperature gradients and solute redistribution under non-equilibrium solidification conditions. In regions distal to the melt pool boundary, as the cooling rate diminished and the temperature gradient attenuated, the solidification conditions approached equilibrium, resulting in the formation of a columnar grain structure.
Figure 7 illustrates the EBSD analysis of the Al-3.0Ce-0.8Ca-1.9Mn alloy produced via the LPBF technique. Examination of the grain orientation distribution map indicates that the majority of grains displayed a characteristic columnar morphology, with their growth direction primarily oriented perpendicular to the melt pool boundaries. This observation suggests that during the rapid solidification inherent to the LPBF process, the direction of grain growth is markedly influenced by the temperature gradient at the melt pool boundaries, leading to preferential crystal growth along the heat flow direction, which is perpendicular to the melt pool boundaries. Further investigation through inverse pole figures revealed that the Al-3.0Ce-0.8Ca-1.9Mn alloy possessed a subtle fiber texture. The application of a 67° interlayer rotation strategy in the LPBF process effectively mitigated the fiber textures in the X and Y directions during sequential layer deposition, thus diminishing in-plane anisotropy. Nonetheless, the fiber texture in the build direction remained intact, unaffected by the interlayer rotation angle, and was sustained throughout the solidification process. This persistent texture is evidenced by the alignment of the build direction with the <101> crystallographic orientation of the α-Al phase, as depicted in Figure 7b. The distinctive rapid melting and solidification attributes of the LPBF method facilitated notable grain refinement in the Al-3.0Ce-0.8Ca-1.9Mn alloy, yielding an average grain size of 12 μm, which is characteristic of an ultrafine-grained structure, as shown in Figure 7c. In terms of grain boundary characteristics, the alloy was mainly composed of two types of grain boundaries: high-angle grain boundaries (HAGBs) and low-angle grain boundaries (LAGBs). HAGBs are predominant, constituting the core framework of the grain boundary network. It is noteworthy that LAGBs were chiefly located in the central region of the melt pool, with their orientation features aligned perpendicular to the melt pool boundaries, as illustrated in Figure 7d.
Figure 7. The EBSD results of the Al-3.0Ce-0.8Ca-1.9Mn alloy: (a) the grain orientation distribution map; (b) the inverse pole figure; (c) the histogram of grain size distribution; and (d) the map of high-angle and low-angle grain boundaries, where black lines represent high-angle grain boundaries (HAGBs, ≥10°) and red lines denote low-angle grain boundaries (LAGBs, 2°–10°).
Figure 8 presents the high-angle annular dark-field (HAADF) image of the Al-3.0Ce-0.8Ca-1.9Mn alloy alongside the corresponding energy-dispersive X-ray spectroscopy (EDS) analysis results. The HAADF image revealed a characteristic eutectic microstructure, consisting of alternating dark matrix regions and bright strip-like secondary phases. Furthermore, a significant number of spherical particles were observed along the interfaces of the secondary phases and within the matrix. The eutectic region exhibited a relatively coarse microstructure, which was primarily attributed to the reduced solidification rate at the melt pool boundaries and the in situ heat treatment effect during subsequent processing [25]. EDS analysis demonstrated a substantial overlap in the distribution of Ca and Ce, indicating that the eutectic region was predominantly composed of Al-Ce-Ca ternary eutectic compounds. In contrast, Mn was primarily dissolved in the α-Al matrix, with minimal segregation observed, forming Mn-rich regions. These Mn-rich regions, in conjunction with Al, gave rise to the formation of relatively large and densely distributed AlMn particles.
Figure 8. The HAADF image and the corresponding EDS results of the Al-3.0Ce-0.8Ca-1.9Mn alloy.
To further elucidate the composition of the Al-Ce-Ca ternary eutectic compounds, TEM analysis was performed, as illustrated in Figure 9. Utilizing high-resolution imaging and the corresponding Fourier transform patterns, the lattice spacings and interplanar angles were meticulously measured and cross-referenced with the standard PDF database. The matrix region (highlighted in red in Figure 9b) was identified as face-centered cubic (fcc) α-Al, aligned along the [0–11] zone axis. The ternary eutectic compound (highlighted in yellow in Figure 9b) was characterized as an orthorhombic body-centered lattice Al11(Ce, Ca)3 phase, oriented along the [13–51] zone axis. The incorporation of Ca primarily involved the substitution of Ce atoms within the Al11Ce3 phase, leading to the formation of the Al11(Ce, Ca)3 binary intermetallic solution. This substitution mechanism significantly enhanced the volume fraction of the eutectic phase, thereby contributing to the overall microstructural evolution of the alloy. The analysis of selected area electron diffraction (SAED) spots further confirmed that the crystal structure of the Al-Mn particles corresponded to the Al6Mn phase, with an average size of approximately 100 nm (as shown in Figure 9c,d).
Figure 9. The TEM characterization results of the Al-Ce-Ca binary intermetallic solution and Al-Mn particles: (a) bright-field image of Al-Ce-Ca binary intermetallic solution; (b) high-resolution image and Fourier transform images; (c) bright-field image of Al-Mn particles; (d) the magnified image of Al-Mn particles and their corresponding diffraction patterns.

4.2. Mechanical Properties

Figure 10a and Table 4 present the mechanical property curves and related data of the Al-3Ce-0.8Ca-1.9Mn alloy under room temperature and elevated temperature conditions. The experimental results demonstrate that at room temperature, the alloy exhibited excellent mechanical properties, with a tensile strength exceeding 400 MPa and an elongation at fracture close to 13%, achieving a good balance between strength and plasticity. As the tensile temperature increased, both the yield strength and tensile strength of the alloy showed a decreasing trend. At 300 °C, although the ultimate tensile strength of the alloy decreased by nearly 42%, its mechanical properties remained at approximately 250 MPa, indicating the potential of the Al-3Ce-0.8Ca-1.9Mn alloy as a candidate material for high-temperature structural components. Notably, in contrast to the trend of the strength properties, the elongation at fracture of the alloy generally increased with rising temperature, suggesting enhanced plastic deformation capability at elevated temperatures.
Figure 10. The mechanical properties (a) and fracture morphology characteristics (b) of the Al-3Ce-0.8Ca-1.9Mn alloy at room temperature and elevated temperatures.
Table 4. The mechanical properties of the Al-3Ce-0.8Ca-1.9Mn alloy.
The fracture morphology characteristics after tensile testing are shown in Figure 10b. At room temperature, the fracture surface exhibited typical cleavage fracture features, with continuous river-like cleavage steps observed. At room temperature, the plastic deformation of alloys primarily relies on the slip mechanism. As a crack propagates, the atomic bonds on the slip plane are progressively disrupted, resulting in the formation of slip lines or slip bands. With the intensification of deformation, these slip lines gradually curve, forming what is known as “river patterns.” If the deformation continues, a flat extended zone is ultimately formed. When the tensile testing temperature is increased to 250 °C, the depth of the cleavage steps significantly increases, but the fracture mode remains intergranular along columnar grains. Upon further increasing the tensile testing temperature to 300 °C, numerous dimples of varying sizes appear on the fracture surface, indicating a transition from brittle to ductile fracture as the temperature rises. At moderate temperatures and lower strain rates, the material retains good plasticity, and the deformation is primarily governed by intragranular dislocation slip. Dislocations move and accumulate on slip planes, and when the stress exceeds the material’s cohesive strength, microvoids form at second-phase particles, inclusions, or grain boundaries. These microvoids grow and coalesce progressively with continued deformation, ultimately leading to the formation of a fracture surface composed of numerous dimples (voids). As the tensile temperature increases to 350 °C, the mechanism of plastic deformation in metals undergoes a transition, shifting to grain boundary sliding and diffusion-controlled creep. Under high-temperature conditions, the accelerated diffusion of atoms at grain boundaries leads to the formation of a continuous dimple structure. Simultaneously, elevated temperatures promote the nucleation, growth, and coalescence of microvoids within the grain interiors, ultimately resulting in ductile fracture. Consequently, the typical fracture morphology of metals at high temperatures is characterized by uniformly distributed dimples, and the density and depth of the dimples on the fracture surface are significantly increased compared with those at 300 °C. In summary, temperature exerts a significant influence on the plastic deformation and fracture mechanisms of metals. As the tensile testing temperature increases from room temperature to elevated levels, the deformation mechanism transitions from dislocation slip to grain boundary sliding and diffusion-controlled creep. For the Al-3.0Ce-0.8Ca-1.9Mn alloy, the fracture mode exhibited a distinct evolution with increasing temperature: it shifted from cleavage fracture at room temperature to a mixed cleavage-ductile fracture, and ultimately transformed into a fully ductile fracture at high temperatures. This transition in fracture mode not only reflects a substantial enhancement in the material’s plastic deformation capability, but also strongly substantiates the alloy’s significant potential for high-temperature applications.

4.3. Strengthening and Toughening Mechanisms of Al-3Ce-0.8Ca-1.9Mn Alloy

The exceptional strength of the Al-3Ce-0.8Ca-1.9Mn alloy fabricated via LPBF is derived from the synergistic interplay of grain refinement strengthening, precipitation strengthening, and hetero-deformation induced (HDI) strengthening. Grain refinement is primarily governed by three key mechanisms. First, the rapid cooling rate inherent to the LPBF process significantly amplifies the undercooling of the alloy, thereby increasing the density of random nucleation sites for α-Al grains. Second, the equilibrium partition coefficients (k0) of the solute elements (Ce, Ca, and Mn) are all less than unity, inducing constitutional undercooling at the solidification front, which facilitates the random nucleation of crystals [26]. Finally, the preferential precipitation of Al6Mn nanoparticles at the melt pool boundaries acts as effective nucleation centers for α-Al grains, further refining the grain structure. In accordance with the Hall–Petch relationship, the introduction of high-density grain boundaries through grain refinement impedes dislocation motion, thereby enhancing the alloy’s mechanical strength.
TEM analysis confirmed the presence of Al6Mn precipitates within the LPBF fabricated samples. The shear modulus mismatch between these precipitates and the matrix generated localized strain fields, which act as barriers to dislocation movement, thereby augmenting the yield strength. Furthermore, the alloy was composed of an α-Al matrix and Al-Ce-Ca ternary eutectic compounds. The disparity in deformation resistance between these phases resulted in the preferential plastic deformation of the α-Al matrix, while the Al-Ce-Ca ternary eutectic compounds remained in an elastic deformation state. This mechanical response heterogeneity induces strain gradients within the α-Al matrix, giving rise to geometrically necessary dislocations (GNDs). The interaction between GNDs and mobile dislocations culminates in a pronounced hetero-deformation induced (HDI) strengthening effect [27,28].
Collectively, these mechanisms not only enhance the strength of the Al-3Ce-0.8Ca-1.9Mn alloy, but also contribute to its overall toughness, making it a promising candidate for advanced structural applications.

5. Conclusions

  • In LPBF processing, the incorporation of Ca element significantly reduces the eutectic precipitation temperature of Al-Ce alloys, effectively suppressing the hot cracking tendency of the alloy, thereby laying a crucial foundation for achieving high-quality forming.
  • The microstructure of the Al-3Ce-0.8Ca-1.9Mn alloy is predominantly characterized by an α-Al matrix and Al-Ce-Ca ternary eutectic compounds, complemented by a homogeneous dispersion of nanoscale spherical Al6Mn precipitates within the matrix.
  • The Al-3Ce-0.8Ca-1.9Mn alloy demonstrates an exceptional synergy of strength and ductility across both room temperature and elevated temperature regimes. Notably, the room temperature yield strength, ultimate tensile strength, and elongation to fracture attained values of 321 ± 15 MPa, 429 ± 8 MPa, and 10.9 ± 2.3%, respectively.
  • The superior mechanical performance of the Al-3Ce-0.8Ca-1.9Mn alloy is predominantly ascribed to the synergistic interplay of hetero-deformation induced strengthening derived from the eutectic structure, grain boundary strengthening conferred by the ultrafine-grained microstructure, and precipitation strengthening imparted by nanoscale Al6Mn precipitates.

Author Contributions

Conceptualization, X.W. (Xiaoxiao Wei) and M.W.; Methodology, X.W. (Xiaoxiao Wei), S.Z., X.W. (Xiaofei Wang), and Y.T.; Software, S.Z., X.W. (Xiaofei Wang) and W.Z.; Validation, X.W. (Xiaoxiao Wei) and Y.T.; Formal analysis, X.W. (Xiaoxiao Wei), S.Z., Y.T., and W.Z.; Investigation, W.Z.; Resources, Y.T. and M.W.; Writing—original draft preparation, X.W. (Xiaoxiao Wei); Writing—review and editing, M.W.; Visualization, X.W. (Xiaoxiao Wei) and Y.T.; Supervision, M.W.; Project administration, X.W. (Xiaofei Wang); Funding acquisition, X.W. (Xiaoxiao Wei). All authors have read and agreed to the published version of the manuscript.

Funding

This work was supported by the Lanzhou Science and Technology Program (Grant No. 2024-3-46).

Data Availability Statement

The data presented in this study are available on request from the corresponding author due to privacy and legal.

Conflicts of Interest

Authors Xiaoxiao Wei, Suhui Zhang, Xiaofei Wang and Yulin Teng were employed by the State Grid Gansu Electric Power Company. The remaining authors declare that the research was conducted in the absence of any commercial or financial relationships that could be construed as a potential conflict of interest.

References

  1. Michi, R.A.; Plotkowski, A.; Shyam, A.; Deho, R.R.; Babu, S.S. Towards high-temperature applications of aluminium alloys enabled by additive manufacturing. Int. Mater. Rev. 2022, 67, 3298–3345. [Google Scholar] [CrossRef]
  2. Poplawsky, J.D.; Milligan, B.K.; Allard, L.F.; Shin, D.; Shower, P.; Chisholm, M.F.; Shyam, A. The synergistic role of Mn and Zr/Ti in producing θ′/L12 co-precipitates in Al-Cu alloys. Acta Mater. 2020, 194, 577–586. [Google Scholar] [CrossRef]
  3. Chen, J.H.; Costan, E.; van Huis, M.A.; Xu, Q.; Zandbergen, H.W. Atomic Pillar-Based Nanoprecipitates Strengthen AlMgSi Alloys. Science 2006, 312, 416–419. [Google Scholar] [CrossRef] [PubMed]
  4. Gao, Y.; Liu, G.; Sun, J. Recent Progress in High-Temperature Resistant Aluminum-Based Alloys: Microstructural Design and Precipitation Strategy. Acta Metall. Sin. 2021, 57, 129–149. [Google Scholar]
  5. Wu, C.; Wen, J.; Zhang, J.; Song, B.; Shi, Y. Additive manufacturing of heat-resistant aluminum alloys: A review. Int. J. Extrem. Manuf. 2024, 6, 062013. [Google Scholar] [CrossRef]
  6. Cui, L.; Liu, K.; Chen, X.-G. Recent advances in cost-effective aluminum alloys with enhanced mechanical performance for high-temperature applications: A review. Mater. Des. 2025, 253, 113869. [Google Scholar] [CrossRef]
  7. Sims, Z.C.; Rios, O.R.; Weiss, D.; Turchi, P.E.A.; Perron, A.; Lee, J.R.I.; Li, T.T.; Hammons, J.A.; Bagge-Hansen, M.; Willey, T.M.; et al. High performance aluminum-cerium alloys for high-temperature applications. Mater. Horiz. 2017, 4, 1070–1078. [Google Scholar] [CrossRef]
  8. Liu, Y.; Michi, R.A.; Dunand, D.C. Cast near-eutectic Al-12.5 wt.% Ce alloy with high coarsening and creep resistance. Mater. Sci. Eng. A 2019, 767, 138440. [Google Scholar] [CrossRef]
  9. Martin, J.H.; Yahata, B.D.; Hundley, J.M.; Mayer, J.A.; Schaedler, T.A.; Pollock, T.M. 3D printing of high-strength aluminium alloys. Nature 2017, 549, 365–369. [Google Scholar] [CrossRef]
  10. Aboulkhair, N.T.; Simonelli, M.; Parry, L.; Ashcroft, I.; Tuck, C.; Hague, R. 3D printing of Aluminium alloys: Additive Manufacturing of Aluminium alloys using selective laser melting. Prog. Mater. Sci. 2019, 106, 100578. [Google Scholar] [CrossRef]
  11. Korkmaz, M.E.; Gupta, M.K.; Robak, G.; Moj, K.; Krolczyk, G.M.; Kuntoğlu, M. Development of lattice structure with selective laser melting process: A state of the art on properties, future trends and challenges. J. Manuf. Process. 2022, 81, 1040–1063. [Google Scholar] [CrossRef]
  12. Zhu, Z.; Hu, Z.; Seet, H.L.; Liu, T.; Liao, W.; Ramamurty, U.; Nai, S.M.L. Recent progress on the additive manufacturing of aluminum alloys and aluminum matrix composites: Microstructure, properties, and applications. Int. J. Mach. Tools Manuf. 2023, 190, 104047. [Google Scholar] [CrossRef]
  13. Sisco, K.; Plotkowski, A.; Yang, Y.; Leonard, D.; Stump, B.; Nandwana, P.; Dehoff, R.R.; Babu, S.S. Microstructure and properties of additively manufactured Al-Ce-Mg alloys. Sci. Rep. 2021, 11, 6953. [Google Scholar] [CrossRef]
  14. Yang, X.; Li, R.; Yuan, T.; Ke, L.; Bai, J.; Yang, K. A comprehensive overview of additive manufacturing aluminum alloys: Classifications, structures, properties and defects elimination. Mater. Sci. Eng. A 2025, 919, 147464. [Google Scholar] [CrossRef]
  15. Bahl, S.; Wu, T.; Michi, R.A.; An, K.; Yu, D.; Allard, L.F.; Rakhmonov, J.U.; Poplawsky, J.D.; Fancher, C.M.; Dunand, D.C.; et al. An additively manufactured near-eutectic Al-Ce-Ni-Mn-Zr alloy with high creep resistance. Acta Mater. 2024, 268, 119787. [Google Scholar] [CrossRef]
  16. Su, Z.; Zeng, Z.; Zhang, S.; Meng, X.; Xu, S. Trace Ca alloying enhance simultaneously strength and ductility of squeeze-cast Al-5Cu-0.5Mn-based alloys. J. Mater. Sci. Technol. 2024, 191, 89–105. [Google Scholar] [CrossRef]
  17. Akopyan, T.K.; Sviridova, T.A.; Belov, N.A.; Letyagin, N.V.; Korotitskiy, A.V. Intermetallic compounds in equilibrium with aluminum in Al-Ca-Cu ternary alloying system. Trans. Nonferrous Met. Soc. China 2024, 34, 1380–1392. [Google Scholar] [CrossRef]
  18. Belov, N.; Akopyan, T.; Tsydenov, K.; Sviridova, T.; Cherkasov, S.; Kovalev, A. Effect of Ca addition on structure, phase composition and hardness of Al-6%Cu-2%Mn sheet alloy. J. Alloys Compd. 2024, 1009, 176955. [Google Scholar] [CrossRef]
  19. Akopyan, T.K.; Belov, N.A.; Letyagin, N.V.; Sviridov, T.A.; Cherkasov, S.O. New quaternary eutectic Al-Cu-Ca-Si system for designing precipitation hardening alloys. J. Alloys Compd. 2024, 993, 174695. [Google Scholar] [CrossRef]
  20. Du, H.; Zhang, S.; Zhang, B.; Tao, X.; Yao, Z.; Belov, N.; van der Zwaag, S.; Liu, Z. Ca-modified Al-Mg-Sc alloy with high strength at elevated temperatures due to a hierarchical microstructure. J. Mater. Sci. 2021, 56, 16145–16157. [Google Scholar] [CrossRef]
  21. Shurkin, P.K.; Letyagin, N.V.; Yakushkova, A.I.; Samoshina, M.E.; Ozherelkov, D.Y.; Akopyan, T.K. Remarkable thermal stability of the Al-Ca-Ni-Mn alloy manufactured by laser-powder bed fusion. Mater. Lett. 2021, 285, 129074. [Google Scholar] [CrossRef]
  22. Yang, K.V.; Rometsch, P.; Davies, C.H.J.; Huang, A.; Wu, X. Effect of heat treatment on the microstructure and anisotropy in mechanical properties of A357 alloy produced by selective laser melting. Mater. Des. 2018, 154, 275–290. [Google Scholar] [CrossRef]
  23. Spierings, A.B.; Dawson, K.; Uggowitzer, P.J.; Wegener, K. Influence of SLM scan-speed on microstructure, precipitation of Al3Sc particles and mechanical properties in Sc- and Zr-modified Al-Mg alloys. Mater. Des. 2018, 140, 134–143. [Google Scholar] [CrossRef]
  24. Liu, J.; Kou, S. Effect of diffusion on susceptibility to cracking during solidification. Acta Mater. 2015, 100, 359–368. [Google Scholar] [CrossRef]
  25. Bahl, S.; Plotkowski, A.; Sisco, K.; Leonard, D.N.; Allard, L.F.; Michi, R.A.; Poplawsky, J.D.; Dehoff, R.; Shyam, A. Elevated temperature ductility dip in an additively manufactured Al-Cu-Ce alloy. Acta Mater. 2021, 220, 117285. [Google Scholar] [CrossRef]
  26. Bi, J.; Lei, Z.; Chen, Y.; Chen, X.; Tian, Z.; Liang, J.; Zhang, X.; Qin, X. Microstructure and mechanical properties of a novel Sc and Zr modified 7075 aluminum alloy prepared by selective laser melting. Mater. Sci. Eng. A 2019, 768, 138478. [Google Scholar] [CrossRef]
  27. Wu, X.; Yang, M.; Li, R.; Jiang, P.; Yuan, F.; Wang, Y.; Zhu, Y.; Wei, Y. Plastic accommodation during tensile deformation of gradient structure. Sci. China Mater. 2021, 64, 1534–1544. [Google Scholar] [CrossRef]
  28. Tiwary, C.S.; Pandey, P.; Sarkar, S.; Das, R.; Samal, S.; Biswase, K.; Chattopadhyay, K. Five decades of research on the development of eutectic as engineering materials. Prog. Mater. Sci. 2022, 123, 100793. [Google Scholar] [CrossRef]
Disclaimer/Publisher’s Note: The statements, opinions and data contained in all publications are solely those of the individual author(s) and contributor(s) and not of MDPI and/or the editor(s). MDPI and/or the editor(s) disclaim responsibility for any injury to people or property resulting from any ideas, methods, instructions or products referred to in the content.

Article Metrics

Citations

Article Access Statistics

Multiple requests from the same IP address are counted as one view.