The Effect of Hydrogen Embrittlement on Fracture Toughness of Cryogenic Steels
Abstract
1. Introduction
- (1)
- The influence of temperature on the fracture toughness of ferritic (BCC) and austenitic (FCC) materials was quantitatively assessed through CTOD, δ, tests conducted at varying cryogenic temperatures;
- (2)
- The degradation in fracture toughness due to HE was examined following electrochemical hydrogen charging, with an emphasis on the correlation between hydrogen behavior (HE due to diffusion) and fracture resistance.
- (3)
- The temperature range over which HE occurred, based on the characteristics of the ferritic (BCC) and austenitic (FCC) materials, was experimentally determined, and the threshold temperature at which the resistance to HE was maintained is identified.
2. Materials and Test Methods
2.1. Material Properties
2.2. Tensile Test Method
2.3. Fracture Toughness Test Method
2.4. Hydrogen Charging Method
3. Results and Discussion
3.1. Quantitative Analysis of Hydrogen Content
3.2. Effect of Temperature on Strength and Fracture Toughness
3.3. Effect of Hydrogen on Fracture Toughness
3.4. Limit Temperature for Hydrogen Embrittlement Free Behavior
4. Conclusions
- (1)
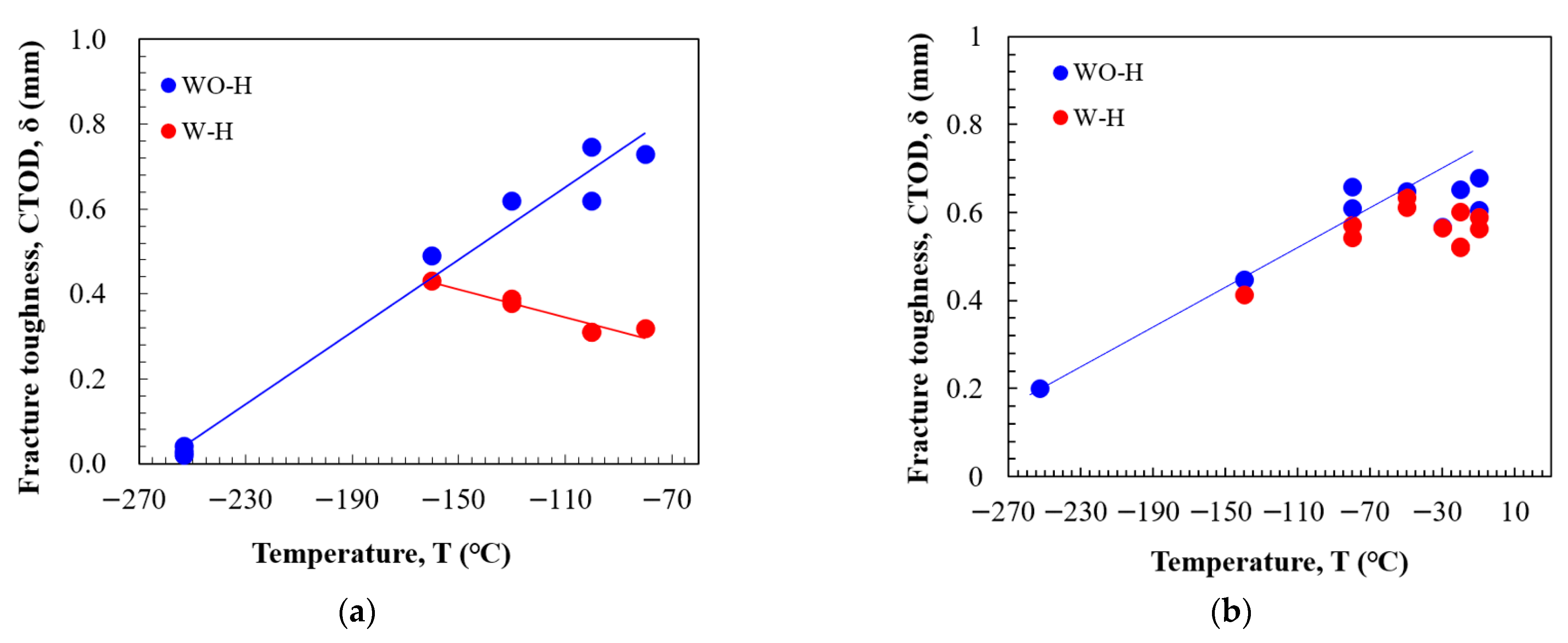
- Temperature dependence: Both 9% Ni and STS 316L steels showed a gradual decrease in CTOD values with decreasing temperature under hydrogen-free conditions, consistent with typical reductions in toughness owing to increased atomic binding and reduced ductility at cryogenic temperatures. Nevertheless, ductile fracture behavior was maintained at all temperatures.
- (2)
- Hydrogen embrittlement behavior: For 9% Ni steel under hydrogen-charged conditions, a significant reduction in fracture toughness was observed at subzero temperatures (−80 °C to −130 °C), where hydrogen mobility is sufficient to promote embrittlement. In contrast, the effect of hydrogen on STS316L specimens was minimal. Owing to the very shallow penetration of hydrogen, only a slight influence was observed, and its effect on fracture toughness was minimal. Therefore, within the experimental methodology and scope of this study, the influence of hydrogen on the fracture toughness of STS316L was determined to be minimal. This reduction was particularly pronounced in the 9% Ni steel because of its BCC crystal structure, which allowed for more efficient hydrogen diffusion.
- (3)
- Transition temperature for HE-free behavior: For 9% Ni steel, hydrogen influenced fracture toughness at temperatures above −160 °C, but its effect was negligible below this temperature. Thus, −160 °C and lower can be regarded as a practical temperature range in which the influence of hydrogen embrittlement can be disregarded. In the case of STS316L, hydrogen penetration was minimal, resulting in only slight differences in fracture toughness up to −80 °C; below this temperature, the effect of hydrogen was essentially absent.
- (4)
- Fracture morphology and SEM observations: SEM analysis corroborated the mechanical findings, showing predominantly ductile features at higher temperatures and increasing brittleness with decreasing temperature. The 9% Ni steel without hydrogen charging exhibited brittle morphology over nearly the entire fracture surface. In contrast, STS316L without hydrogen charging displayed limited brittle features localized at the notch tip, while the overall fracture surface remained ductile.
Author Contributions
Funding
Data Availability Statement
Conflicts of Interest
Abbreviations
| CTOD | Crack tip opening displacement |
| TDS | Thermal desorption spectroscopy |
| HE | Hydrogen embrittlement |
| UTS | Ultimate tensile strength |
| FCC | Face-centered cubic |
| BCC | Body-centered cubic |
| R | Stress ratio |
| a | Initial crack length |
| ρ | Notch radius |
| d | Ligament length (the specimen width minus the notch length) |
| a0 | Crack length |
| W | Specimen width |
| S | Span between outer loading points in a three-point bend test |
| F | Applied force |
| B | Specimen thickness |
| BN | Specimen net thickness between side grooves |
| ν | Poisson’s ratio |
| E | Young’s modulus |
| Vp | Crack-mouth opening displacement |
| Rp0.2 | 0.2% offset yield strength perpendicular to crack plane at the test temperature |
| Rm | Ultimate tensile strength perpendicular to crack plane at the test temperature |
| δ | CTOD value |
References
- Gangloff, R.P.; Somerday, B.P. Gaseous Hydrogen Embrittlement of Materials in Energy Technologies; Woodhead Publishing: Cambridge, UK, 2012. [Google Scholar]
- Olden, V.; Thaulow, C.; Johnsen, R.; Østby, E.; Berstad, T. Influence of hydrogen from cathodic protection on the fracture susceptibility of 25%Cr duplex stainless steel—Constant load SENT testing and FE-modelling using hydrogen influenced cohesive zone elements. Eng. Fract. Mech. 2009, 76, 827–844. [Google Scholar] [CrossRef]
- Wang, M.; Akiyama, E.; Tsuzaki, K. Effect of hydrogen on the fracture behavior of high strength steel during slow strain rate test. Corros. Sci 2007, 49, 4081–4097. [Google Scholar] [CrossRef]
- Lynch, S.P. Hydrogen embrittlement (HE) phenomena and mechanisms. In Stress Corrosion Cracking; Woodhead Publishing: Cambridge, UK, 2011; pp. 90–130. [Google Scholar]
- Robertson, I.M.; Sofronis, P.; Nagao, A.; Martin, M.L.; Wang, S.; Gross, D.W.; Nygren, K.E. Hydrogen Embrittlement Understood. Metall. Mater. Trans. A 2015, 46, 2323–2341. [Google Scholar] [CrossRef]
- Chen, Y.-S.; Huang, C.; Liu, P.-Y.; Yen, H.-W.; Niu, R.; Burr, P.; Moore, K.L.; Martínez-Pañeda, E.; Atrens, A.; Julie, M.; et al. Hydrogen Trapping and Embrittlement in Metals—A Review. arXiv 2024, arXiv:2404.07736. [Google Scholar] [CrossRef]
- Takai, K.; Watanuki, R. Effects of strain rate and temperature on hydrogen embrittlement of TRIP and DP steels. Corros. Sci. 2003, 45, 206–219. [Google Scholar]
- Dietzel, W. The use of crack-tip opening displacement for testing of the hydrogen embrittlement of high-strength steels. Materials Sci. 2004, 40, 749–755. [Google Scholar] [CrossRef]
- Wasim, M.; Djukic, M. Hydrogen embrittlement of low carbon structural steel at macro-, micro- and nano-levels. Int. J. Hydrogen Energy. 2020, 45, 2145–2156. [Google Scholar] [CrossRef]
- Barrera, O.; Bombac, D.; Chen, Y.; Daff, T.D.; Galindo-Nava, E.; Gong, P.; Haley, D.; Horton, R.; Katzarov, I.; Kermode, J.R.; et al. Understanding and mitigating hydrogen embrittlement of steels: A review of experimental, modelling and design progress from atomistic to continuum. J. Mater. Sci. 2018, 53, 6251–6290. [Google Scholar] [CrossRef]
- ASTM E8/E8M-21; Standard Test Methods for Tension Testing of Metallic Materials. ASTM International: West Conshohocken, PA, USA, 2021.
- ISO 12135/ISO 15653; Metallic Materials—Unified Method of Test for the Determination of Quasistatic Fracture Toughness. International Organization for Standardization: Geneva, Switzerland, 2018.
- Mohanty, S.; Majumdar, S.; Natesan, K. A Review of Stress Corrosion Cracking/Fatigue Modeling for Light Water Reactor Cooling System Components; Nuclear Engineering Division Argonne National Laboratory: Argonne, IL, USA, 2012; p. 60439. [Google Scholar]
- ISO 16573-1:2020; Steel—Measurement Method for the Evaluation of Hydrogen Embrittlement Resistance of High Strength Steels—Part 1: Constant Load Test. International Organization for Standardization: Geneva, Switzerland, 2020.
- Omura, T.; Nakamura, J.; Hirata, H.; Jotoku, K.; Ueyama, M.; Osuki, T.; Terunuma, M. Effect of Surface Hydrogen Concentration on Hydrogen Embrittlement Properties of Stainless Steels and Ni Based Alloys. ISIJ Int. 2016, 56, 405. [Google Scholar] [CrossRef]
- Kanezaki, T.; Narazaki, C.; Mine, Y.; Matsuoka, S.; Murakami, Y. Effects of hydrogen on fatigue crack growth behavior of austenitic stainless steels. Int. J. Hydrogen Energy 2008, 33, 2604–2619. [Google Scholar] [CrossRef]
- Soliman, A.B.; Abdel-Samad, H.S.; Rehim, S.S.A.; Hassan, H.H. Surface functionality and electrochemical investigations of a graphitic electrode as a candidate for alkaline energy conversion and storage devices. Sci. Rep. 2016, 6, 22056. [Google Scholar] [CrossRef]
- Li, Q.; Ghadiani, H.; Jalilvand, V.; Alam, T.; Farhat, Z.; Islam, M.A. Hydrogen Impact: A Review on Diffusibility, Embrittlement Mechanisms, and Characterization. Materials 2024, 17, 965. [Google Scholar] [CrossRef]
- Dwivedi, S.K.; Vishwakarma, M. Hydrogen embrittlement in different materials: A review. Int. J. Hydrogen Energy 2018, 43, 21603–21616. [Google Scholar] [CrossRef]
- Myers, S.M.; Baskes, M.I.; Birnbaum, H.K.; Corbett, J.W.; DeLeo, G.G.; Estreicher, S.K.; Haller, E.E.; Jena, P.; Johnson, N.M.; Kirchheim, R.; et al. Hydrogen interactions with defects in crystalline solids. Rev. Mod. Phys. 1992, 64, 559–617. [Google Scholar] [CrossRef]
- Birnbaum, H.K.; Sofronis, P. Hydrogen-enhanced localized plasticity—A mechanism for hydrogen-related fracture. Mater. Sci. Eng. A 1994, 176, 191–202. [Google Scholar] [CrossRef]
- Shih, D.S.; Robertson, I.M.; Birnbaum, H.K. Hydrogen embrittlement of α titanium: In situ TEM studies. Acta Metall. 1988, 36, 111–124. [Google Scholar] [CrossRef]
- Beachem, C.D. A new model for hydrogen-assisted cracking (hydrogen ‘embrittlement’). Metall. Trans. B 1972, 3, 441–455. [Google Scholar] [CrossRef]
- Bhadeshia, H.K.D.H. Prevention of Hydrogen Embrittlement in Steels. ISIJ Int. 2016, 56, 24–36. [Google Scholar] [CrossRef]
- Lee, J.Y.; Lee, S.M. Hydrogen Trapping Phenomena in Metals with BCC and FCC Crystal Structures by the Desorption Thermal Analysis Technique. Surf. Coat. Technol. 1986, 28, 301–314. [Google Scholar] [CrossRef]
- Castro, F.J.; Meyer, G. Thermal desorption spectroscopy (TDS) method for hydrogen desorption characterization (I): Theoretical aspects. J. Alloys Compd. 2002, 330–332, 59–63. [Google Scholar] [CrossRef]
- Hirata, K.; Iikubo, S.; Koyama, M.; Tsuzaki, K.; Ohtani, H. First-Principles Study on Hydrogen Diffusivity in BCC, FCC, and HCP Iron. Metall. Mater. Trans. 2018, 49, 5015–5022. [Google Scholar] [CrossRef]
- Michler, T.; Schweizer, F.; Wackermann, K. Review on the Influence of Temperature upon Hydrogen Effects in Structural Alloys. Metals 2021, 11, 423. [Google Scholar] [CrossRef]
- Ogata, T. Hydrogen Embrittlement Evaluation in Tensile Properties of Stainless Steels at Cryogenic Temperatures. In Proceedings of the AIP Conference Proceedings, Adelaide, Australia, 30 November–5 December 2008; Volume 986, pp. 124–131. [Google Scholar] [CrossRef]














| Steel | C | Si | Mn | P | S | Ni |
|---|---|---|---|---|---|---|
| 9% Ni | 0.05 | 0.23 | 0.64 | 0.003 | 0.0006 | 9.24 |
| STS 316L | 0.015 | 0.51 | 1.87 | 0.36 | 0.03 | 10.68 |
| Material | Yield Stress, (MPa) | Tensile Stress (MPa) | Elongation (%) | Charpy Impact Test, 25 °C, (J) |
|---|---|---|---|---|
| 9% Ni | 652 | 704 | 24 | 349, 340, 335 |
| STS 316L | 229 | 610 | 71 | 432, 415, 395 |
| Temperature | Materials | Yield Strength, Rp0.2 (MPa) | Tensile Strength, Rm (MPa) | Strength Ratio, Rp0.2/Rm |
|---|---|---|---|---|
| −10 °C | STS 316L | 287 | 706 | 0.40 |
| −20 °C | STS 316L | 301 | 749 | 0.40 |
| −30 °C | STS 316L | 315 | 791 | 0.39 |
| −50 °C | STS 316L | 341 | 854 | 0.39 |
| −80 °C | 9% Ni * | 751 | 826 | 0.91 |
| STS 316L | 385 | 1002 | 0.38 | |
| −100 °C | STS 316L | 443 | 1059 | 0.41 |
| −130 °C | 9% Ni * | 852 | 919 | 0.93 |
| −140 °C | STS 316L | 469 | 1255 | 0.37 |
| −160 °C | 9% Ni | 925 | 1046 | 0.88 |
| −253 °C | 9% Ni | 991 | 1858 | 0.65 |
| STS 316L | 631 | 1771 | 0.35 |
| Items | 9% Ni | STS 316L |
|---|---|---|
| Test method | Cathodic electrolytic method | Cathodic electrolytic method |
| Test current density | 50 A/m2 | 100 A/m2 |
| Test hydrogen electrolyte | 3% NaCl + 0.3% NH4SCN | 3% NaCl + 0.3% NH4SCN |
| Test time | 48 h | 72 h |
| Test temperature | 19 °C (Room temperature) | 80 °C |
| Specimens | Test Temp. | a0, (mm) | a0/W | Material Properties (MPa) | CTOD, δ (mm) | |||
|---|---|---|---|---|---|---|---|---|
| E | Indiv. | Avg. | ||||||
| 9% Ni | −80 °C | 12.51 | 0.63 | 751 | 826 | 206,000 | 0.73 | 0.73 |
| −100 °C | 11.54 | 0.58 | 767 | 862 | 206,000 | 0.75 | 0.69 | |
| 12.38 | 0.62 | 767 | 862 | 206,000 | 0.62 | |||
| −130 °C | 12.51 | 0.63 | 852 | 919 | 206,000 | 0.62 | 0.62 | |
| −160 °C | 12.52 | 0.63 | 925 | 1046 | 206,000 | 0.49 | 0.49 | |
| −253 °C | 21.99 | 0.55 | 991 | 1528 | 206,000 | 0.04 | 0.03 | |
| 22.32 | 0.56 | 991 | 1528 | 206,000 | 0.03 | |||
| 22.63 | 0.57 | 991 | 1528 | 206,000 | 0.02 | |||
| STS 316L | −10 °C | 11.21 | 0.56 | 229 | 610 | 228,500 | 0.60 | 0.64 |
| 11.20 | 0.56 | 229 | 610 | 228,500 | 0.68 | |||
| −20 °C | 12.04 | 0.60 | 229 | 610 | 228,500 | 0.65 | 0.65 | |
| −30 °C | 11.07 | 0.55 | 341 | 854 | 228,500 | 0.56 | 0.56 | |
| −50 °C | 10.88 | 0.54 | 341 | 854 | 228,500 | 0.65 | 0.65 | |
| −80 °C | 11.04 | 0.55 | 443 | 1059 | 228,500 | 0.67 | 0.64 | |
| 10.62 | 0.53 | 443 | 1059 | 228,500 | 0.61 | |||
| −140 °C | 10.77 | 0.54 | 484 | 1269 | 228,500 | 0.45 | 0.45 | |
| Specimens | Test Temp. | a0, (mm) | a0/W | Material Properties (MPa) | CTOD, δ (mm) | |||
|---|---|---|---|---|---|---|---|---|
| E | Indiv. | Avg. | ||||||
| 9% Ni | −80 °C | 12.73 | 0.64 | 751 | 826 | 206,000 | 0.32 | 0.32 |
| −100 °C | 12.02 | 0.60 | 767 | 862 | 206,000 | 0.31 | 0.31 | |
| 12.55 | 0.63 | 767 | 862 | 206,000 | 0.31 | |||
| −130 °C | 12.09 | 0.60 | 852 | 919 | 206,000 | 0.38 | 0.39 | |
| 12.61 | 0.63 | 852 | 919 | 206,000 | 0.39 | |||
| −160 °C | 12.30 | 0.65 | 925 | 1046 | 206,000 | 0.43 | 0.43 | |
| STS 316L | −10 °C | 13.82 | 0.69 | 229 | 610 | 228,500 | 0.56 | 0.57 |
| 10.82 | 0.54 | 229 | 610 | 228,500 | 0.59 | |||
| −20 °C | 11.07 | 0.55 | 229 | 610 | 228,500 | 0.60 | 0.55 | |
| 13.08 | 0.65 | 229 | 610 | 228,500 | 0.52 | |||
| 10.42 | 0.52 | 229 | 610 | 228,500 | 0.52 | |||
| −30 °C | 11.22 | 0.56 | 341 | 854 | 228,500 | 0.56 | 0.56 | |
| −50 °C | 10.79 | 0.54 | 341 | 854 | 228,500 | 0.63 | 0.62 | |
| 11.07 | 0.55 | 341 | 854 | 228,500 | 0.61 | |||
| −80 °C | 11.08 | 0.55 | 443 | 1059 | 228,500 | 0.57 | 0.55 | |
| 10.91 | 0.54 | 443 | 1059 | 228,500 | 0.54 | |||
| −140 °C | 11.40 | 0.57 | 484 | 1269 | 228,500 | 0.41 | 0.41 | |
Disclaimer/Publisher’s Note: The statements, opinions and data contained in all publications are solely those of the individual author(s) and contributor(s) and not of MDPI and/or the editor(s). MDPI and/or the editor(s) disclaim responsibility for any injury to people or property resulting from any ideas, methods, instructions or products referred to in the content. |
© 2025 by the authors. Licensee MDPI, Basel, Switzerland. This article is an open access article distributed under the terms and conditions of the Creative Commons Attribution (CC BY) license (https://creativecommons.org/licenses/by/4.0/).
Share and Cite
Park, J.; An, G.; Park, J.; Seong, D.; Jo, W. The Effect of Hydrogen Embrittlement on Fracture Toughness of Cryogenic Steels. Metals 2025, 15, 1139. https://doi.org/10.3390/met15101139
Park J, An G, Park J, Seong D, Jo W. The Effect of Hydrogen Embrittlement on Fracture Toughness of Cryogenic Steels. Metals. 2025; 15(10):1139. https://doi.org/10.3390/met15101139
Chicago/Turabian StylePark, Junggoo, Gyubaek An, Jeongung Park, Daehee Seong, and Wonjun Jo. 2025. "The Effect of Hydrogen Embrittlement on Fracture Toughness of Cryogenic Steels" Metals 15, no. 10: 1139. https://doi.org/10.3390/met15101139
APA StylePark, J., An, G., Park, J., Seong, D., & Jo, W. (2025). The Effect of Hydrogen Embrittlement on Fracture Toughness of Cryogenic Steels. Metals, 15(10), 1139. https://doi.org/10.3390/met15101139

