Abstract
The scrap-based electric arc furnace process is expected to capture a significant share of the steel market in the future due to its potential for reducing environmental impacts through steel recycling. However, managing impurities, particularly phosphorus, remains a challenge. This study aims to develop a machine learning model to estimate steel phosphorus content at the end of the process based on input parameters. Data were collected over one year from a steel plant, focusing on parameters such as the chemical composition and weight of the scrap, the volume of oxygen injected, injected lime, and process duration. After preprocessing the data, several machine learning models were evaluated, with the artificial neural network (ANN) emerging as the most effective. The Adam optimizer and non-linear sigmoid activation function were employed. The best ANN model included four hidden layers and 448 neurons. The model was trained for 500 epochs with a batch size of 50. The model achieves a mean square error (MSE) of 0.000016, a root mean square error (RMSE) of 0.0049998, a coefficient of determination (R2) of 99.96%, and a correlation coefficient (r) of 99.98%. Notably, the model was tested on over 200 unseen data points and achieved a 100% hit rate for predicting phosphorus content within ±0.001 wt% (±10 ppm). These results demonstrate that the optimized ANN model offers accurate predictions for the steel final phosphorus content.
1. Introduction
Steelmaking is currently a major contributor to CO2 emissions, but it is committed to advancing a sustainable metallurgical industry, as reflected in its adoption of scrap-based electric arc furnaces (EAFs). This process involves melting scrap steel by generating an electric arc between electrodes and the liquid steel bath [1]. It effectively recycles steel scrap, reducing CO2 emissions by 90% and energy consumption by 70% compared to the traditional blast furnace–basic oxygen furnace (BF-BOF) route. Additionally, it significantly lowers the consumption of natural resources like iron ore, coal, and limestone [2,3].
Despite the environmental benefits of EAFs, they face complex scientific and technical challenges, particularly in managing impurities such as phosphorus (P) in steel [4,5]. An uncontrolled quantity of P in steel negatively impacts the mechanical properties of steel, leading to increased temper and intergranular embrittlement and cracking [6,7]. To meet quality standards, it is crucial to reduce P levels from typically above 0.025 wt% in scrap to less than 0.015 wt% in the final product. For certain applications, the target phosphorus content may need to be as low as 0.005 wt% [8]. The varied composition of scrap feedstock in comparison to ore-based production further complicates this reduction process, and steelmaking needs to align its operation continuously with the complicated composition of modern steel products [9,10,11].
Numerous studies have investigated P removal from steel, focusing on P equilibrium distribution and phosphate capacity at laboratory or intermediate scales [12,13,14,15,16,17,18,19,20,21,22,23,24,25,26]. Additionally, plant trials in EAFs have examined P behavior during direct reduced iron (DRI) and hot briquetted iron (HBI) processes [27,28,29]. While experimental methods are valuable, they are often time-consuming, costly, and difficult to apply on an industrial scale. Furthermore, P measurements in controlled lab conditions do not easily translate to large-scale environments where fluid flow and kinetic conditions differ significantly. Consequently, modeling and simulation provide viable alternatives to purely experimental methods, primarily divided into phenomenological (mechanistic) models based on physical phenomena, such as computational fluid dynamics (CFD) [30,31], and data-driven statistical models [32].
Mechanistic models have greatly enhanced our understanding of the EAF process, but they come with limitations. For example, CFD models include reliance on equilibrium models for metal–slag–gas interactions, which sacrifice accuracy for speed, and statistical turbulence modeling that may introduce errors in unsteady flow conditions. Additionally, the use of empirical constants for mass transfer coefficients limits generalizability, while inadequate validation of foamy slag models and the oversimplification of local conditions reduce overall accuracy. The assumption of arc plasma as a black body for heat transfer may also be an oversimplification, and the computational demands of comprehensive models make them impractical for online applications [30,32]. Consequently, while phenomenological models show promise, they still face challenges, particularly in capturing the wide range of scales and phenomena in such a complex EAF process.
In light of the limitations of traditional physical models, researchers have increasingly turned to statistical and data-driven approaches for predicting the final P content in steel [33,34,35,36,37,38,39,40,41,42,43,44,45,46,47,48]. The machine learning (ML) methods offer a faster, cheaper, and safer alternative to plant trials [32] and adapt well to variations in scrap composition and operating conditions, often outperforming mechanistic models in terms of accuracy [32,46].
While only a few studies have focused on predicting and optimizing the EAF process [34,45,47,49,50,51], particularly regarding endpoint P content [34,44,47], most research has concentrated on the BOF process [33,35,36,37,38,39,41,42,43,45,46,52]. As EAFs gain prominence and scrap recycling becomes crucial, accurate P prediction is vital. Existing ML models show promise, but their effectiveness varies due to data availability and quality, input parameter selection, and model robustness [45,53]. Notably, Yuan et al. [34] developed a least squares support vector machine (LS-SVM) model that achieved an 87% hit rate for predicting P levels with ±0.003 wt% errors in EAF steel. Chen et al. [44] developed a back propagation neural network–decision tree (BPNN-DT) model with six hidden layers, 18 input parameters, and 50 neurons to predict the final P content of steel in EAF. The proposed hybrid model combines k-means clustering, BPNN, and a DT algorithm for prediction. The model achieves a phosphorous prediction accuracy of 83.0% for ±0.004 wt% error range. Zou et al. [47] used a BPNN model with 14 hidden layers, attaining a hit rate of 87.8% for ±0.004 wt% errors and 75.6% for ±0.003 wt% errors in phosphorous prediction. In industrial contexts, 20% of wrong predictions might still result in inefficiency, waste, or poor-quality products, which could affect the overall performance of the system. Increasing the hit rate improves the model’s accuracy, leading to more precise decision-making, reduced mistakes, and enhanced operational efficiency, and builds confidence in using the model for process optimization.
This study aims to develop an ML model to predict the ultimate phosphorus content of steel with higher accuracy, using key input parameters from a scrap-based EAF process. While previous studies have focused on similar predictions, this work is the first to develop a model specifically for EAF processes operating exclusively with scrap, and it is also the first to consider the composition of the scrap. The approach includes preprocessing original production data from a steelmaking plant to remove outliers and performing a correlation analysis between input parameters and the phosphorous content. An ANN model is compared with random forest (RF), SVM with a radial basis function (RBF) kernel, and models from the literature using various evaluation metrics to assess the predictive performance.
2. Analysis of Scrap-Based EAF
2.1. Description of EAF Process
An EAF operates in batch tap-to-tap cycles, consisting of the following steps: initial charging (3 min), primary melting (20 min), additional charging (3 min), secondary melting (14 min), refining (10 min), deslagging and tapping (3 min), and furnace tilting (7 min). Modern operations aim to complete the entire tap-to-tap cycle in under 60 min [54]. A schematic of EAF steelmaking is shown in Figure 1.
Figure 1.
Schematic of an electric arc furnace steelmaking process.
Charging the Furnace. The furnace is charged from the top and many companies combine lime and carbon addition in the scrap basket and use additional injections as needed [55]. The number of scrap buckets used is based on furnace volume and scrap density, with modern designs aiming to minimize recharging to reduce downtime and energy loss. Typically, companies aim for two to three scrap buckets per cycle [54].
Melting Scrap. Melting scrap in an EAF primarily relies on electrical energy supplied by graphite electrodes. Initially, an intermediate voltage is used until the electrodes penetrate the scrap, after which a higher voltage stabilizes the arc for efficient heat transfer and forms a liquid metal pool. Chemical energy, provided by oxy-fuel burners and oxygen lances, further aids the melting process through flame radiation, convection, and exothermic reactions. The process continues with repeated charging until all scrap is melted [56].
Refining. Once the bath temperature stabilizes, chemical analysis directs refining operations such as oxygen blowing and alloy additions. Oxygen injection begins before stabilization, initiating some reactions early. Adjustments are made to manage excess elements like phosphorous, carbon, silicon, and chromium by transferring them to the slag phase. However, the EAF’s impurity removal capacity is limited due to the lower basicity and mass of the slag. Initial slagging is crucial for removing phosphorous before reversion occurs. The final bath composition is carefully managed to meet steel specifications, with alloy additions made in the ladle to adjust the composition as needed [42,54,56,57].
Deslagging. The slag collecting the undesired species like phosphorous is removed during the deslagging step by tilting the furnace backward and allowing the slag to exit through a designated door. This removal process reduces the risk of phosphorous reversion when the temperature is increased for further refining, such as during desulfurization or carbon injection, and during slag foaming to reduce iron oxide to metallic iron [54,58].
Tapping. Tapping molten metal from a furnace is a crucial operation, and any failure in this process necessitates a complete shutdown. Operations can only resume once tapping is successfully completed. Key factors to manage during tapping are the rate and duration. It is also important to note that the furnace is never entirely emptied; a small amount of molten metal remains inside when the tapping hole is sealed [59].
2.2. Phosphorous Removal
The phosphorous removal process can be divided into two main stages [60]. Initially, P in iron-based melts is oxidized by FetO, which is primarily generated from the reaction of scrap with injected oxygen, forming P2O5 according to the following reaction, as shown in Equation (1):
where [ ] and ( ) denote the species in the metal and slag phases, respectively.
Next, the injected flux (CaO) stabilizes the extracted phosphorus (P2O5) in the slag, resulting in the formation of calcium phosphate (3CaO·P2O5) through the following reaction, as shown in Equation (2):
The phosphorus removal reaction can also be represented in its ionic form, as shown in Equation (3) [25]:
where [P] and [O] represent phosphorus and oxygen, respectively, and O2− and represent the oxide and phosphate ions, respectively.
Two concepts, phosphorus partition coefficient () and phosphate capacity (), have been developed to quantify the phosphorus removal process [25]. The parameter can be described as follows:
where (%P) and [%P] represent the phosphorus concentrations in the slag and steel, respectively. The parameter ranges from 5.0 to 15.0. Generally, phosphorus content is only reduced by about 20 to 50% during EAF treatment. However, given the low phosphorus content of scrap compared to hot metal (produced from iron ore treatment in the BF), this degree of removal is considered satisfactory [54].
The parameter between the slag and liquid steel is commonly used to evaluate the phosphorus removal capability of the slag due to its ease of measurement in both laboratory studies and commercial production [12,13,14,15,16,17,18,19,20,21,22,23,24,25,26,60,61]. Nevertheless, it is crucial to note that this ratio can only be used as a comparative measure between different slag compositions if the partial oxygen pressure () is equivalent in the compared systems [62].
Wagner proposed the concept of phosphate capacity () to describe the slag’s phosphorus removal potential using a slag–gas equilibrium reaction. incorporates the influence of , making it an essential measure for the comparative evaluation of various slag systems. The slag–gas reaction and are represented by Equations (5) and (6), respectively [62]:
where % is the weight percentage of dissolved in the slag, and are the partial pressures of oxygen and phosphorus, respectively, at the slag–gas interface in equilibrium. In cases where the concentration of is notably low, it is acceptable to replace the activity with the corresponding concentrations of (%) multiplied by a critical constant parameter , representing the activity coefficient at infinite dilution. K(2) is the equilibrium constant for reaction (5).
shows a direct correlation with as shown in Equation (7):
where is the equilibrium constant for phosphorus dissolution in iron () [62].
2.3. Factors Influencing Phosphorus Removal
Several factors influence the effectiveness of phosphorus removal in the EAF. Key parameters affecting phosphorus elimination include the slag’s basicity, temperature, and FeO content. From a thermodynamic point of view, low temperatures, high FeO content, and increased basicity generally favor the phosphorus removal process [19,20,21,22,63,64].
Basicity. The basicity of slag is usually expressed as the weight ratio of basic oxides (e.g., CaO) to acidic oxides (e.g., SiO2). It is a critical factor in metallurgy, influencing the slag’s ability to absorb impurities like phosphorus, as well as its melting point and viscosity [65,66]. Increasing the basicity of the slag, typically by raising the concentration of basic oxides such as CaO, enhances phosphorus removal efficiency by stabilizing P2O5 as 4CaO·P2O5 at steelmaking temperatures. However, overly high basicity can be counterproductive. Excessive basicity raises the slag’s melting point, preventing complete melting of CaO particles and increasing slag viscosity. This increased viscosity reduces the phosphorus diffusion in the slag, slowing the phosphorus removal reaction at the interface between the molten steel and slag and thus diminishing removal efficiency [25,38,63].
FeO Content. The effectiveness of phosphorus removal in CaO-based slags is also influenced by the presence of iron(II) oxide (FeO), which can act as an acidic or basic oxide depending on the slag composition and oxygen potential. Research has shown that the phosphorus removal capacity, or phosphate capacity, of CaO-SiO2-MgO-FeO slags increases with FeO content. Lee and Fruehan [20] observed an increase in the phosphate capacity with FeO content between 3 and 10 wt% at high temperatures. Hamano and Tsukihashi [19] found a maximum phosphate capacity at about 50 wt% FeO which then decreases when further increasing the FeO content to 60 wt%. Li et al. [21] noted that the phosphate capacity peaks at 25–35 wt% FeO and then decreases, which is attributed to the dilution of CaO, reducing its activity and increasing the activity of P2O5 [63]. Thus, optimizing FeO content is crucial for effective phosphorus removal in CaO-based slags.
Temperature. Temperature impacts phosphorus removal in two contrasting ways. High temperatures can negatively affect the process because phosphorus removal is highly exothermic. Conversely, elevated temperatures promote the melting of lime, which enhances the basicity of the slag. This improved basicity aids in the distribution of phosphorus into the slag phase and increases the Lp, thereby enhancing removal efficiency. On the other hand, temperature favors the kinetics of the phosphorus removal process [38,48].
3. Prediction of Endpoint Phosphorus Content in Steel
3.1. Machine Learning Algorithms
A wide range of ML models have been employed in steel dephosphorization for process prediction and optimization, such as different NNs, SVM, RF, gradient boosting regression (GBR), least squares SVM with principal component regression (LS-SVM-PCR), k-means-NN with decision tree (k-means-BPNN-DT), ridge regression, convolutional neural network (CNN), extreme learning machine (ELM), partial least squares (PLS), support vector regression (SVR), graph convolutional network (GCN), and general regression NN (GRNN), with various datasets ranging from small to large, and incorporating different numbers of input parameters to improve accuracy and efficiency in modeling steel production processes [34,36,37,41,43,44,46,47,48,51,52,63,67].
In this study, three specific regression models are employed: RF, SVM-RBF, and ANN. In general, SVM and RF are simpler than ANN and require less training time, which is why they were tested first. However, due to the need for higher prediction accuracy, we ultimately developed an ANN model, as the accuracy of the former models was insufficient. A detailed presentation of these techniques will be provided in the following section. The libraries used for developing the ANN, RF, and SVM models, along with their respective versions, are provided in the Appendix A.
3.1.1. Random Forest
Random forest was employed in this work for its prediction accuracy and its robustness in preventing overfitting. The model was implemented using the scikit-learn library version 1.5.2 with key hyperparameters, such as the number of trees and the criteria for splitting nodes (e.g., minimum node size). Tuning these hyperparameters can optimize performance; however, the RF model generally performs well with default settings provided in software packages [68].
3.1.2. Support Vector Machine
Support vector machines are renowned for their strong generalization capabilities and high prediction accuracy [69]. Key hyperparameters include the kernel type, gamma (γ), and regularization parameter (C), optimized to balance model complexity and prediction accuracy. The radial basis function (RBF) kernel was utilized in this work, the default choice, which is effective for modeling non-linear relationships [70,71].
3.1.3. Artificial Neural Network
Artificial neural networks are a robust ML framework known for their ability to model complex non-linear relationships, which is the case in metallurgical processes. A basic neural network consists of three main components: an input layer that receives data, an output layer that makes predictions, and one or more hidden layers that process information through interconnected neurons. Each neuron in the hidden layers operates with weights and biases, as described by Equation (8):
where and b represent the weights and bias values, respectively, while denotes the inputs and [.] denotes the activation function. Figure 2 illustrates an example ANN architecture and a basic neuron.
Figure 2.
Example of an artificial neural network architecture along with a basic neuron.
During training, the network learns and adjusts the weights to optimize performance. The use of activation functions enables ANNs to learn complex patterns, making them capable of universal approximation—mapping any input to any output regardless of data complexity [72].
Establishment of Artificial Neural Network Models
Figure 3 illustrates the steps in developing an ANN model for this study. The process begins with data collection and preprocessing, including tasks such as data cleaning, correlation analysis, and normalization. The data are then split into training, validation, and test sets. Finally, the model is trained by selecting an appropriate architecture and fine-tuning key hyperparameters, such as the number of layers, neurons per layer, and the activation function.
Figure 3.
Flow chart for the development of the artificial neural network model based on historical plant data.
Three categories of datasets are used: training, validation, and test sets. The training set provides information on the target function to train the network. The validation set is used in conjunction with early stopping techniques to monitor and prevent overfitting by tracking validation errors during training. After training, the test set is employed to evaluate the model’s performance. Typically, 60% of the data are allocated for training, 20% for validation, and 20% for testing the model. The validation set is used strictly for monitoring model performance and tuning hyperparameters during training, while the test set is reserved for the final evaluation to ensure unbiased results.
The number of hidden layers and nodes within these layers is crucial for determining the performance of an ANN model. In this study, three different ANN architectures were tested, each varying in the number of hidden layers and nodes. All architectures employed the sigmoid activation function, a non-linear function by default, as shown in Equation (9). These models were implemented using the TensorFlow library version 2.18.0. The mean squared error (MSE) was used as the loss function for training, as detailed in Equation (10):
where ŷ represents the predicted value, and y denotes the actual value.
To optimize hyperparameters in an ANN model, three approaches have been proposed: grid search, random search, and manual trial and error [73,74]. In this work, the choice of ANN hyperparameters has been moderately searched to adapt to a low-data regime. In combination with our previous work [50], we tested configurations ranging from two to seven hidden layers and 24 to 464 neurons to identify the settings that yielded the lowest validation loss, measured by MSE. While each optimization technique has its advantages and limitations, trial and error can serve as a viable alternative to more advanced adaptive (sequential) hyperparameter optimization algorithms [74]. This method offers quick feedback and is straightforward to implement, requiring no prior expertise in complex optimization methods.
During training, the Adam optimizer was used to adaptively adjust learning rates for each parameter, enabling faster convergence and improved robustness to variations in the training data. The choice of Adam optimizer is default as it is accepted by the ML community to be the best optimizer for simple ML problems, as in our case, compared to traditional methods like stochastic gradient descent (SGD), which uses a fixed learning rate.
3.2. Data Treatment
The present study focuses on a 40-ton EAF equipped with three graphite electrodes and charged with two scrap bins. Initially, scrap from the first bin is melted in the superheated furnace, followed by the addition of scrap from the second bin. Chemical analysis of the steel is conducted at two critical stages: before deslagging and just before transferring the liquid metal to the ladle furnace (LF) at 1650 °C. The second analysis is crucial because, with the slag removed, phosphorus may revert into the steel, making final phosphorus content a key parameter for process control.
The steelmaking process produces a large volume of data, but these raw data often contain missing values, outliers, and inconsistencies, which can significantly impact model performance if used directly. Thus, preprocessing is essential to refine and prepare the data for ML. The methodology varies based on the quality and nature of the raw data. The following section will provide an overview of the data preprocessing stages used in the present study.
3.2.1. Data Collection
In this study, over 1700 heat datasets were collected from a steel plant over one year. These datasets include a range of variables, such as the chemical composition of scrap and various process parameters. In this EAF, the mass and composition of each scrap type are monitored, and often, no additional carbon is added. The overall composition of each steel was constructed based on the collected data in this work. Table 1 outlines the parameters used to develop the ANN models, including their symbols and the rationale for their selection. Twelve parameters were chosen based on principles of metallurgy, thermodynamics, and current industrial practices [19,20,21,22,63,64,75,76,77,78,79]. These parameters include the weight and composition of the scrap (C, Mn, Cr, Si, and S), the quantities of injected oxygen and lime, energy consumption, deslagging and tapping temperatures, and process duration.
Table 1.
Input parameters used to develop the machine learning models.
3.2.2. Data Cleaning
In this work, data cleaning was performed after data collection to address issues such as missing or aberrant values. Understanding the distribution of the data, including central tendency, dispersion, and potential outliers, is crucial for making informed decisions. Box plots are used to graphically represent these characteristics in the case of processes where strong variability is observed, and the raw data were analyzed using the box plot concept, as shown in Figure 4. This method, as described by Dovoedo and Chakraborti [80], is employed to identify outliers. This method relies on four key statistics: the first quartile (Q1), the median (Q2), the third quartile (Q3), and the interquartile range (IQR), which is the difference between Q3 and Q1. Outliers are defined as values falling below Q1 − 1.5 IQR or above Q3 + 1.5 IQR. In this study, outliers were removed based on these criteria. Figure 5 illustrates the data distribution in this work. For clarity in visualization, the data are presented on a scale from 0 to 1 in the box plot diagram, as the parameters have different scales and units.
Figure 4.
Key features of a box plot diagram for identifying outliers and understanding data distribution.
Figure 5.
Descriptive statistics for the various parameters, including minimum and maximum values, mean, standard deviation, and identification of outliers for each parameter. Scr. Weight: scrap weight; Tap. T: tapping temperature; Dslg. T: deslagging temperature; Ener: energy consumption.
Following preprocessing and outlier elimination, approximately 1005 data points were retained. The number of data points is normal given the cost of preprocessing and collection. Additionally, collected over one year of plant operation, the data accurately reflect real-world conditions, making them representative of the problem at hand. The descriptive statistics for all input and output variables of the prediction models are presented in Table 2.
Table 2.
Statistics describing the input and output variables for prediction.
3.2.3. Correlation Analysis and Normalization
Correlation Analysis
Correlation analysis is used to understand the relationships between independent variables and the target variable, such as the final phosphorus content in steel. This analysis clarifies the strength of associations between features and phosphorus outcomes, which is particularly valuable for ML models with simpler structures, such as RF and SVM. These models benefit from correlation insights to assess feature importance and guide feature selection, improving model interpretability, reducing training time, and enhancing learning accuracy [81]. However, for more complex models like ANNs, Moosavi-Khoonsari et al. [50] found that correlation analysis can be redundant and may even lead to decreased accuracy as ANNs can automatically learn and capture intricate, non-linear relationships. Nevertheless, exploring correlations can still offer valuable insights into feature dynamics and relationships, enhancing our understanding of the data and model behavior.
The Pearson correlation coefficients (r) and p-values were utilized for correlation analysis in this study. The r-value and t-statistic (t), used to compute p-values, are described in Equations (11) and (12), respectively. The r-values for the identified variables are depicted in Figure 6, which illustrates the linear relationships between these variables and the final phosphorus content in steel. The visualization ranks variables by the strength of their correlations, highlighting both positive and negative relationships. Values close to 1 or −1 indicate strong linear relationships, while those near 0 suggest weaker ones. Positive r-values indicate that as one variable increases, the other also increases, while negative r-values reflect an inverse relationship.
Figure 6.
Pearson correlation coefficients (r) between final phosphorus content of steel (the target variable) and input parameters in electric arc furnace. Durat.: process duration; Scr. Weight: scrap weight; Tap. T: tapping temperature; Dslg. T: deslagging temperature; Ener: energy consumption.
Specifically, the analysis reveals that oxygen (O2), sulfur (S), process duration (Durat), manganese (Mn) content of scrap, injected lime (CaO), energy consumption, deslagging temperature, and the carbon (C) and silicon (Si) contents of scrap exhibit a negative correlation with phosphorus content. Among these, the negative correlation is strongest for oxygen and weakest for carbon and silicon contents. Increasing these variables generally leads to a reduction in the phosphorus content of steel. Conversely, chromium (Cr) content of scrap, scrap weight, and tapping temperature show a positive correlation with phosphorus content, with Cr having the strongest and tapping temperature the weakest positive correlation. Increases in these variables generally result in higher final phosphorus content of steel.
Let represent the mean of the variable x; represent the mean of the variable y; xi denote the ith value of variable x; and yi denote the ith value of variable y.
Here, r represents the correlation coefficient; n denotes the sample size; and n − 2 indicates the degree of freedom.
The p-values were analyzed to evaluate whether the correlations between the final phosphorus content in steel and the input parameters, as listed in Table 3, were statistically significant. A p-value less than 0.01 indicates that the correlation is very significant, suggesting a strong likelihood that the observed relationship is not due to chance. A p-value less than 0.05 signifies that the correlation is significant, though less robust than those with p-values below 0.01. Conversely, a p-value greater than 0.05 implies that the correlation is not statistically significant, indicating that the relationship may be due to random variation [82]. Based on the p-values, the relationships between the input parameters and the final phosphorus content in steel can be categorized into three levels of significance. The most statistically significant correlations, with p-values less than 0.01, include injected oxygen (p = 3 × 10−9), Cr content in scrap (p = 1.39 × 10−7), S content in scrap (p = 5 × 10−4), and the process duration (p = 8.89 × 10−3). These parameters exhibit strong relationships with phosphorus content, indicating highly significant correlations. In the intermediate category, with p-values between 0.01 and 0.05, are scrap weight (p = 2.44 × 10−2), Mn content in scrap (p = 2.22 × 10−2), and injected lime (p = 4.73 × 10−2), suggesting these variables have notable but less pronounced effects. Finally, parameters with p-values greater than 0.05, including energy consumption (p = 9.23 × 10−2), deslagging temperature (p = 9.35 × 10−2), C content in scrap (p = 3.49 × 10−1), Si content in scrap (p = 3.56 × 10−1), and tapping temperature (p = 9.38 × 10−1), show weaker and statistically insignificant correlations with the final phosphorus content of steel.
Table 3.
Calculated results of p-value between final phosphorous content of steel and input variables.
There is a direct correlation between the injected O2 and the final phosphorus content in steel. The injection of O2 promotes the oxidation of scrap, increasing the FeO content in the slag. As detailed in Section 2.3, the presence of FeO and CaO enhances the phosphorus removal process [19,20,21,22,63,64]. Increasing the amount of added CaO decreases phosphorus content in steel by raising the slag’s basicity. Conversely, an increase in chromium (Cr) leads to an increase in the final P content of the steel. Karbowniczek et al. [75] also demonstrated that increasing the chromium content in metal and the Cr2O3 content in slag results in a decrease in phosphorus removal capacity, irrespective of other parameters. Chromium in scrap oxidizes to Cr2O3 in the slag, which diminishes the dephosphorization capacity because Cr2O3 is an acidic component that reduces slag basicity. Additionally, chromium stabilizes phosphorus in the metal phase, as indicated by the first-order interaction coefficient ( [79], [76]). Moreover, Cr2O3 promotes the formation of spinel solid particles, which reduces the proportion of liquid slag and increases its viscosity. This, in turn, lowers the dephosphorization capacity by decreasing the amount of liquid slag available for phosphorus removal and potentially slowing the kinetics of dephosphorization. Yang et al. [77] also reported that Cr2O3 levels exceeding 0.5 wt% in slag lead to increased viscosity. An increase in sulfur (S) content in scrap results in a decrease in phosphorus content in steel. This effect can be attributed to the increased activity coefficient of phosphorus in the presence of sulfur in the metal ([76], [79]). Prolonging the process duration also aids dephosphorization by increasing the time for phosphorus partitioning to the slag via the steel–slag interface. The oxidation of manganese (Mn) from the scrap leads to a high MnO content in the slag. MnO increases slag basicity, decreases viscosity, and lowers the liquidus temperature [78]. Consequently, it is expected to enhance the dephosphorization process, as observed in this study. An increase in scrap weight raises the phosphorus content in steel, as scrap serves as a source of phosphorus in the process.
Data Normalization
In ML models, various parameters with distinct values and units are utilized. To facilitate the learning process and ensure rapid model convergence while mitigating bias from differing scales, it is crucial to standardize the data. The Min–Max normalization method is used for this purpose, scaling values to the range [0, 1]. The normalization process is mathematically expressed in Equation (13):
where zi is the normalized value, xi is the original value, max(x) denotes the maximum value of the data, and min(x) denotes the minimum value of the data.
3.3. Model Evaluation
The efficiency of the ML models was evaluated using several statistical metrics, including MSE, RMSE, coefficient of determination (R2), and r. The mathematical formulas for calculating MSE, RMSE, and R2 are provided in Equations (14)–(16).
where N is the number of the entire dataset; is the ith actual value of y; is the ith predicted value of ŷ; and is the average of the actual values.
For regression models, the correlation coefficient r can also be used to evaluate the relationship between predicted values and actual values (refer to Equation (11)). However, it is often supplemented with other metrics such as R2, MSE, or RMSE for a more comprehensive evaluation.
4. Results and Discussion
4.1. Hyperparameter Optimization of ANN
As mentioned in the Section “Establishment of Artificial Neural Network Models”, the hyperparameters were optimized using the approach proposed by Begstra et al. [74,83] to develop an optimal ANN model. The goal was to design architectures tailored to the specific problem at hand. Various combinations were tested, with different numbers of hidden layers, neurons, and iterations, while considering the required learning time. Table 4 provides a summary of the ANN structures tested. After an extensive series of trials and evaluations, a configuration that was both simple and effective was identified. The Adam optimizer was used to manage the learning rate, facilitating faster model convergence.
Table 4.
Hyperparameters used in the developed ANN models.
The first tested ANN model (ANN (1)) featured two hidden layers, with sixteen neurons in the first layer and eight neurons in the second layer, and was trained for 50,000 iterations, as shown in Figure 7a. The figure displays two curves: the training loss (in blue) and the validation loss (in orange), plotted against the total number of iterations. Both curves exhibit a similar pattern of gradual decline, suggesting a reduction in loss over time. After 50,000 iterations, the model achieved an MSE value of 0.0148.
Figure 7.
Learning curves for the ANN models during training and validation: (a) ANN (1) with layer configuration 16-8, (b) ANN (2) with layer configuration 144-256-64, (c) ANN (3) with layer configuration 128-128-128-64, and (d) ANN (3) evaluated with a data split of 80% for training and 20% for testing.
A second architectural configuration (ANN (2)) was tested, featuring a more complex model with additional hidden layers and neurons compared to the previous one. This configuration included 144 neurons in the first hidden layer, 256 in the second, and 64 in the third, with a total of 5000 iterations. As shown in Figure 7b, the number of iterations was insufficient, as the convergence curves did not stabilize. The minimum MSE achieved with this configuration was 0.0097.
The third architectural configuration (ANN (3)) was tested to improve the model’s precision and overall accuracy. This iteration introduced an additional hidden layer, resulting in a total of four hidden layers, making the model moderately more complex than the previous two. In this configuration, the number of neurons per layer was reduced, with 128 neurons in the first three hidden layers and 64 in the fourth layer, and the model was trained for 25,000 iterations. As shown in Figure 7c, the MSE approached zero after approximately 6000 iterations, with a minimum MSE of 0.00003.
As a concluding phase in the process of optimizing the ANN model, the model ANN (3), which has the following architectural parameters, 128-128-128-64, was selected. A minor alteration to the dataset was implemented by combining the validation set with the training set, thus enabling the model to be retrained with a more extensive dataset. The initial division of the total dataset into three subsets was as follows: 60% for training, 20% for validation, and 20% for testing. In the final stage of the optimization process, the dataset was divided into two subsets: 80% for training and 20% for testing. This approach ensures that the model demonstrates generalization capabilities that extend well beyond the parameters of the training data. At last, the model was evaluated based on its performance when tested with the test set. The results of the model convergence are presented in Figure 7d. It is evident that the model converges at a faster rate than previous models, reaching a minimum MSE value after just 5000 iterations. For the model trained on a CPU (Intel(R) Core(TM) i7-4710HQ CPU @ 2.50 GHz) and GPU (Intel(R) HD Graphics 4600 with a memory capacity of 12.0 GB), the training process took approximately 90 min.
4.2. Comparison of the ANN Models with Other Models
To evaluate the generalization performance and prediction accuracy of the models developed in this study, various metrics were used. Table 5 summarizes the results of the performance evaluation for all the tested models, including ANN models with varying hyperparameters, the RF model, and the SVM-RBF model.
Table 5.
Metrics for the developed machine learning models.
Based on the r and p-values, six parameters with weak correlations were eliminated. The updated results for the modified RF model, which was evaluated using a dataset split into 80% for training (with 5-fold cross-validation) and 20% for testing, are as follows: the best R2 score during cross-validation is 0.1236, while the R2 scores on the validation and test sets are 0.12 and 0.11, respectively. The training score is notably higher at 0.56, indicating that despite the parameter adjustments, the model still exhibits a limited ability to generalize to unseen data, with potential overfitting observed.
For comparison, the RF model with 12 input parameters was also evaluated across different datasets, which were divided into three parts: 60% for training, 20% for validation, and 20% for testing. The R2 value on the validation set was 0.10, while the R2 value on the test set was 0.07. In contrast, the training score (R2) was 0.87. These metrics suggest that the model’s generalization performance improved only slightly, with an R2 value of 0.11 for the six input parameters compared to 0.07 for the twelve input parameters.
The MSE and RMSE for the SVM-RBF model are 0.03 and 0.17, respectively. The R2 values for training, validation, and testing are 0.17, 0.09, and 0.08, respectively. The low R2 values indicate that the SVM model with an RBF kernel does not capture the relationship between the input variables and the target variable well. This suggests that the model is not performing effectively. An R2 value of 0.08 for the test set means that the model explains only 8% of the variance in the test data, confirming that the model does not generalize well to new data. These results suggest that neither the RF nor the SVM-RBF models effectively captured the correlation between the input variables and the target, indicating that these models may not be well suited for this problem.
The ANN (1) model achieved an MSE of 0.0148, RMSE of 0.1216, R2 of 0.61, and r of 0.778. The ANN (2) model showed improvement with an MSE of 0.0097, RMSE of 0.0985, R2 of 0.75, and r of 0.866. The ANN (3) model, with its architecture modifications, demonstrated outstanding results: MSE of 0.00003, RMSE of 0.0055, R2 of 0.9993, and r of 0.9996. These results indicate that this architecture is highly effective for explaining the relationship between input variables of the EAF and the endpoint phosphorous content of steel. Finally, the optimized ANN (3) model, which involved dataset adjustments but retained the same architecture, achieved the following metrics: MSE of 0.000016, RMSE of 0.00499, R2 of 0.9996, and r of 0.9998.
To validate the ANN models, regression plots were used, as shown in Figure 8, to illustrate the relationship between the ANN model’s outputs and the actual values. As seen, the precision of phosphorus measurement is ±0.001 wt%, with 15 distinct phosphorus concentration values across all samples. A comparison of the scatterplots for the three ANN models shows that ANN (3)’s data distribution is significantly closer to the dashed line, with a high degree of overlap, compared to the other models.
Figure 8.
Comparison between predicted P values obtained by the ANN models and actual measured values: (a) ANN (1): 16-8; (b) ANN (2): 144-256-64; (c) ANN (3): 128-128-128-64; and (d) ANN (3) evaluated with a data split of 80% for training and 20% for testing.
Table 6 compares the performance metrics of the ANN models developed in this work with those of previous models in the literature, summarizing various studies that focus on different modeling approaches for predicting endpoint phosphorus content in steel during EAF and BOF processes. It details the models employed, input parameters, dataset sizes, and evaluation metrics. The ANN (3) model, which used 12 input parameters, analyzed a dataset of 1763 data points (with 1005 utilized), achieving an R2 of 0.9996 and an r of 0.9998. In contrast, the ANN (2) model, which was also applied to the same dataset, yielded an R2 of 0.75 and r of 0.866. Various models developed by Zhang et al. [46] revealed moderate performance, with the highest r being 0.608 for RF and the lowest at 0.382 for ridge regression. Both BPNN models by Zhou et al. [52] showed R2 values of 0.7596 and 0.8456, indicating decent predictive capabilities. The unhybrid ANN and hybrid physics-based ANN developed by Wang et al. [48] showed NRMSE values of 0.1796 and 0.1775, respectively. Chang et al. [43] developed various models and the R2 values ranged from 0.280 for FCN to 0.729 for the multi-channel GCN. He and Zhang [41] achieved an r-value of 0.79 for PCA-BPNN. Laha et al. [40] also developed various models for a reverberatory furnace, achieving an R2 of 82% for the SVR model.
Table 6.
Comparative summary of the newly proposed model and previous models.
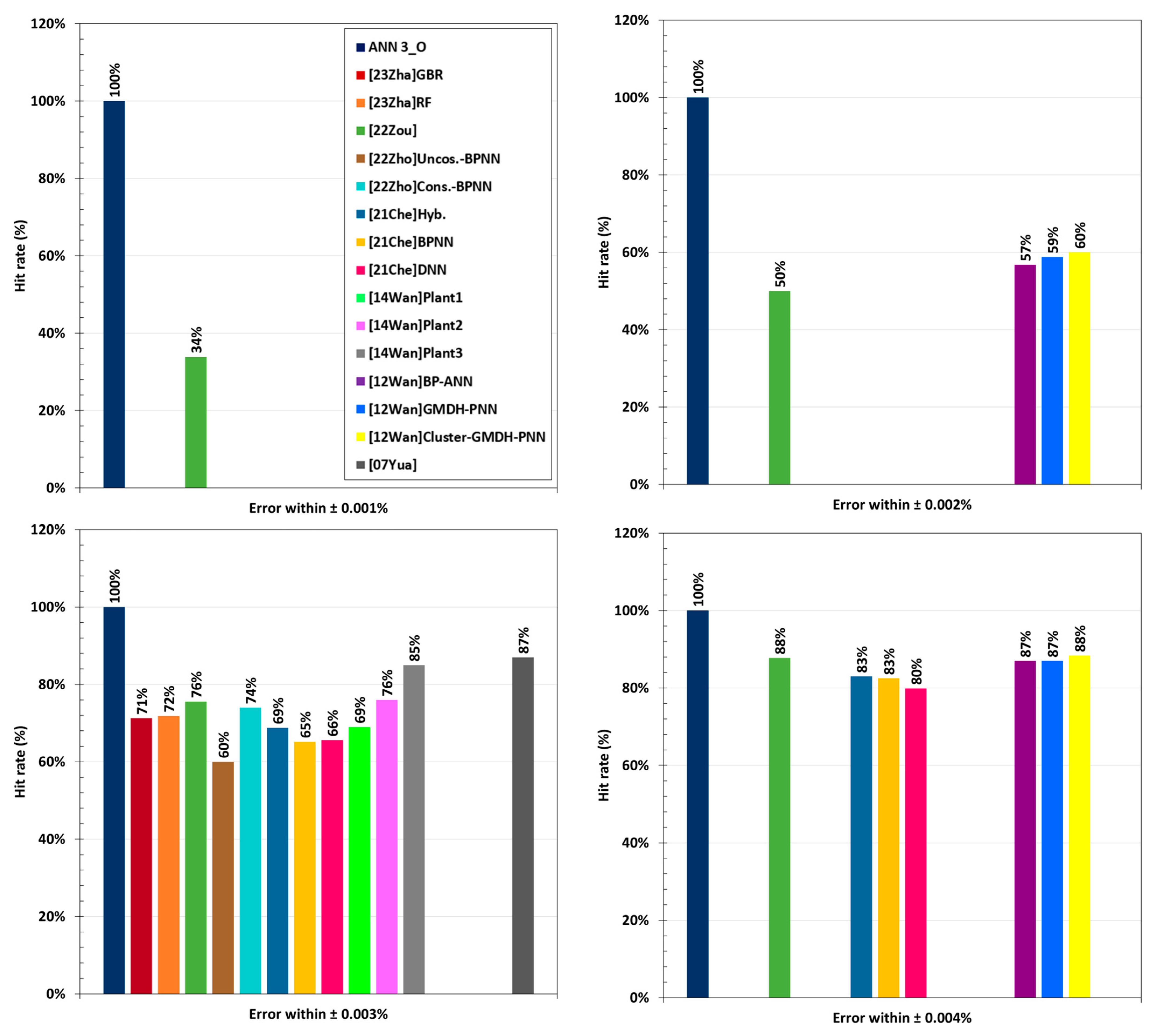
The hit rate measures the percentage of predictions within a specified error margin for the final phosphorus content in steel. It evaluates the model’s generalization ability using unseen data, which helps indicate the risk of overfitting. Figure 9 illustrates the hit rates of the three ANN models developed in this work compared with those of models from the literature. The calculated minimum range for phosphorus variation is ±0.001%, which is reasonable given the precision of the phosphorus measurements. For ANN (2), hit rates were 45% within ±0.001 wt% (10 ppm P), 72% within ±0.002 wt% (20 ppm P), 87% within ±0.003 wt% (30 ppm P), and 95% within ±0.004 wt% (40 ppm P). However, both ANN (3) and the optimized ANN (3) with an 80%–20% split achieved a hit rate of 100% across all error thresholds.
Figure 9.
Hit rates of the optimized model ANN 3_O (80%–20% split) along with those of previously developed models [34,44,46,47,52,67].
Both ANN (2) and ANN (3) outperform earlier models [34,44,46,47,52], with ANN (3) showing particular accuracy in predicting the final phosphorus content in steel. The predictive accuracy of different NN architectures and their derivatives varies based on the input parameters and model design [41,43,44,46,47,48,50,52]. It might be that including scrap composition in our model appears to have enhanced prediction accuracy, as evidenced by a relatively strong correlation between scrap composition and final phosphorus content in steel (see Figure 5). Additionally, compared to previous work, neither a DNN with seven hidden layers and 416 neurons nor an ANN with two hidden layers and 24 neurons [50] could match the accuracy of the ANN (3) model with four hidden layers and 448 neurons. Additionally, ANN (2), despite its more complex nature, performs less well than ANN (3). This could be due to the fact that having four hidden layers in ANN (3) instead of three, as in ANN (2), enables the model to capture more complex patterns in the data. Furthermore, the ANN model with more neurons (464 in ANN (2)) may be more prone to overfitting, whereas ANN (3), with fewer neurons (448), could be less complex and better able to generalize. When searching a grid of neurons (y-axis) and hidden layers (x-axis), ranging from two to seven hidden layers and 24 to 464 neurons, as tested in both this work and previous work [50], we find that the combination of four hidden layers and 448 neurons provides the best fit for this specific dataset, leading to improved performance. This observation underscores the importance of carefully selecting input parameters, data processing methods, and designing the architecture of NN models.
By creating a user-friendly interface, the ANN (3) model can be effectively used for practical implementation, allowing plant engineers and operators to utilize it in situ for optimization purposes. The effect of different process parameters and initial input data on the endpoint phosphorous content can be predicted. Additionally, the proposed model architecture can be adapted to different scrap-based EAF operations with some adjustments.
The proposed model has the potential for scalability, particularly as a generic pre-trained model for scrap-based EAF steelmaking. This model can be tested against larger datasets and continuously improved and optimized to adapt to the dynamic conditions of steelmaking. Such adaptability is intrinsic to any robust machine learning model, ensuring its relevance as operational parameters evolve. Further development and customization of the model for specific furnaces or plants is encouraged; however, its current use remains subject to intellectual property constraints, which require verification and approval from industrial partners.
The current model can be incorporated into existing metallurgical workflows by developing an accessible interface for plant users and engineers. This interface would allow them to predict the impact of initial conditions and operational parameters on steel phosphorus content and quality. With the anticipated decline in scrap quality, having a model that considers variations in scrap composition and predicts its effects on phosphorus content and steel quality is critical for operational decision-making. The model can guide scrap selection and blending and also assist in evaluating and adjusting various operational parameters to compensate for shifts in scrap composition, making it a valuable tool for maintaining efficiency and product quality in the evolving landscape of steelmaking.
5. Conclusions
In the present work, various machine learning models were used to predict the phosphorus content in a low-alloy steel at the end of a scrap-based electric arc furnace (EAF) process. The tested models included a support vector machine (SVM) with a radial basis function (RBF) kernel, a random forest (RF), and artificial neural networks (ANNs). The main findings of this research are summarized below.
- Strong correlations with the endpoint phosphorus content of steel were found for Cr and S contents in scrap, injected oxygen, and process duration (p-value < 0.01). Intermediate correlations were observed for scrap weight, Mn content in scrap, and injected lime (0.01 < p-value < 0.05). Weaker correlations were noted for energy consumption, deslagging temperature, C and Si contents in scrap, and tapping temperature (p-value > 0.05).
- Machine learning models, such as SVM-RBF and RF, did not yield satisfactory results in terms of phosphorus prediction accuracy. Several ANN models with different architectures were tested, and the best model consisted of four hidden layers and 448 neurons. This model was trained for 500 epochs with batches of 50 samples, and implemented using the TensorFlow library. Hyperparameters were carefully tuned to maximize performance, employing the Adam optimizer for adaptive learning rate adjustments and the sigmoid activation function to introduce non-linearity in each neuron.
- The optimized ANN model achieved higher performance compared to similar models reported in the literature, with a root mean square error (RMSE) of 0.004999, a mean squared error (MSE) of 0.000016, a correlation coefficient (r) of 0.9998, and a coefficient of determination (R2) of 0.9996. Additionally, it demonstrated a very good hit rate of 100% for predicting endpoint phosphorus content within ±0.001 wt% in steel (when tested on over 200 unseen data points). These results confirm that, even with a limited dataset (1005), an optimized ANN architecture combined with proper input data selection, such as scrap composition, can deliver accurate and reliable predictions of the phosphorus content in steel during the EAF process.
Author Contributions
Conceptualization, R.A. and E.M.-K.; Methodology, R.A. and S.E.K.; Software, R.A.; Validation, R.A., S.E.K. and E.M.-K.; Formal analysis, R.A.; Resources, E.M.-K. and M.J.; Data curation, R.A.; Writing—original draft, R.A., E.M.-K.; Writing—review & editing, M.J., S.E.K. and E.M.-K.; Visualization, R.A., E.M.-K.; Supervision, M.J., S.E.K. and E.M.-K.; Project administration, E.M.-K.; Funding acquisition, M.J. and E.M.-K. All authors have read and agreed to the published version of the manuscript.
Funding
This research was funded by Finkl Steel-Sorel and Mitacs Accelerate Program (IT28458).
Data Availability Statement
The original contributions presented in the study are included in the article, further inquiries can be directed to the corresponding author.
Acknowledgments
In addition, the authors highly appreciate Finkl Steel-Sorel for providing the plant data and technical discussion throughout the project. The authors also thank CIFAR for their kind contribution and support of the project.
Conflicts of Interest
The authors declare that this study received funding from Finkl Steel-Sorel. The funder was not involved in the study design, collection, analysis, interpretation of data, the writing of this article or the decision to submit it for publication.
Appendix A
The libraries utilized, along with their respective versions, for developing the ANN models are listed below:
Core Libraries
numPy 2.0.2
pandas 2.2.3
scipy 1.14.1
scikit-learn 1.5.2
Visualization
matplotlib 3.9.2
contourpy 1.3.0
cycler 0.12.1
fonttools 4.54.1
kiwisolver 1.4.7
pillow 11.0.0
Pygments 2.18.0
rich 13.9.4
Machine Learning/Deep Learning
tensorflow 2.18.0
tensorflow_intel 2.18.0
keras 3.6.0
tensorboard 2.18.0
tensorboard-data-server 0.7.2
tensorflow-io-gcs-filesystem 0.31.0
opt_einsum 3.4.0
gast 0.6.0
grpcio 1.67.1
h5py 3.12.1
AI/Language Models
openai 1.51.2
Data Manipulation and Parsing
openpyxl 3.1.5
et_xmlfile 2.0.0
python-dateutil 2.9.0.post0
pytz 2024.2
attrs 24.2.0
packaging 24.1
markdown-it-py 3.0.0
mdurl 0.1.2
Web and Networking
requests 2.32.3
httpcore 1.0.6
httpx 0.27.2
urllib3 2.2.3
websocket-client 1.8.0
websockets 13.1
sniffio 1.3.1
wsproto 1.2.0
Serialization and Protocol Buffers
protobuf 5.28.3
flatbuffers 24.3.25
Automation and GUI Tools
PyAutoGUI 0.9.54
PyGetWindow 0.0.9
PyMsgBox 1.0.9
PyRect 0.2.0
PyScreeze 1.0.1
Pyperclip 1.9.0
Pytweening 1.2.0
MouseInfo 0.1.3
PyInstaller and Related
Pyinstaller 6.11.1
pyinstaller-hooks-contrib 2024.10
Database Connectivity
mysql-connector-python 9.1.0
PyQt
PyQt5 5.15.11
PyQt5-Qt5 5.15.2
PyQt5_sip 12.15.0
Miscellaneous Utilities
tqdm 4.66.5
colorama 0.4.6
namex 0.0.8
distro 1.9.0
termcolor 2.5.0
Werkzeug 3.1.2
wrapt 1.16.0
Typing and Validation
pydantic 2.9.2
pydantic_core 2.23.4
typing_extensions 4.12.2
annotated-types 0.7.0
Selenium and Browsers
selenium 4.25.0
undetected-chromedriver 3.5.5
Async Libraries
anyio 4.6.2.post1
trio 0.27.0
trio-websocket 0.11.1
outcome 1.3.0.post0
Additional Libraries
absl-py 2.1.0
altgraph 0.17.4
astunparse 1.6.3
certify 2024.8.30
cffi 1.17.1
charset-normalizer 3.4.0
exceptiongroup 1.2.2
h11 0.14.0
joblib 1.4.2
Markdown 3.7
ml-dtypes 0.4.1
optree 0.13.0
pefile 2023.2.7
six 1.16.0
sortedcontainers 2.4.0
tzdata 2024.2
idna 3.10
pycparser 2.22
pywin32-ctypes 0.2.3
jiter 0.6.1
References
- Abadi, M.M.; Tang, H.; Rashidi, M.M. A Review of Simulation and Numerical Modeling of Electric Arc Furnace (EAF) and its Processes. Heliyon 2024, 10, e32157. [Google Scholar] [CrossRef]
- Kildahl, H.; Wang, L.; Tong, L.; Ding, Y. Cost effective decarbonisation of blast furnace–basic oxygen furnace steel production through thermochemical sector coupling. J. Clean. Prod. 2023, 389, 135963. [Google Scholar] [CrossRef]
- WorldSteelAssociation. Maximising Scrap Use Helps Reduce CO2 Emissions. Raw Materials 2024. Available online: https://worldsteel.org/steel-topics/raw-materials/ (accessed on 1 September 2024).
- Heo, J.H.; Park, J.H. Effect of Slag Composition on Dephosphorization and Foamability in the Electric Arc Furnace Steelmaking Process: Improvement of Plant Operation. Metall. Mater. Trans. B 2021, 52, 3613–3623. [Google Scholar] [CrossRef]
- Lin, W.; Jiao, S.; Zhou, K.; Sun, J.; Feng, X.; Liu, Q. A review of multi-phase slag refining for dephosphorization in the steelmaking process. Front. Mater. 2020, 7, 602522. [Google Scholar] [CrossRef]
- Rodrigues, C.; Bandeira, R.; Duarte, B.; Tremiliosi-Filho, G.; Jorge, A.M., Jr. Effect of phosphorus content on the mechanical, microstructure and corrosion properties of supermartensitic stainless steel. Mater. Sci. Eng. A 2016, 650, 75–83. [Google Scholar] [CrossRef]
- Holappa, L.; Nava, A.C. Secondary steelmaking. In Treatise on Process Metallurgy; Elsevier: Amsterdam, The Netherlands, 2024; pp. 267–301. [Google Scholar]
- Menard, P. Finkl Steel Sorel, Saint-Joseph-de-Sorel, QC, Canada. Personal Communication, 2023.
- Compañero, R.J.; Feldmann, A.; Tilliander, A. Circular steel: How information and actor incentives impact the recyclability of scrap. J. Sustain. Metall. 2021, 7, 1654–1670. [Google Scholar] [CrossRef]
- Anameric, B.; Rohaus, D.; Riebeiro, T.R. Ironmaking. In SME Mineral Processing & Extractive Metallurgy Handbook; Dunne, R.C., Kawatra, S.K., Young, C.A., Eds.; Society for Mining, Metallurgy, and Exploration (SME): Englewood, CO, USA, 2019; pp. 1781–1796. [Google Scholar]
- Ripke, S.J.; Poveromo, J.; Battle, T.P.; Al, E. Iron ore beneficiation. In SME Mineral Processing & Extractive Metallurgy Handbook; Dunne, R.C., Kawatra, S.K., Young, C.A., Eds.; Society for Mining, Metallurgy, and Exploration (SME): Englewood, CO, USA, 2019; pp. 1755–1779. [Google Scholar]
- Suito, H.; Inoue, R.; Takada, M. Phosphorus distribution between liquid iron and MgO saturated slags of the system CaO-MgO-FeOx-SiO2. Tetsu-to-Hagané 1981, 67, 2645–2654. [Google Scholar] [CrossRef]
- Suito, H.; Inoue, R. Effect of calcium fluoride on phosphorus distribution between MgO-saturated slags of the system CaO-MgO-FeOx-SiO2 and liquid iron. Tetsu-to-Hagané 1982, 68, 1541–1550. [Google Scholar] [CrossRef] [PubMed]
- Suito, H.; Inoue, R. Effects of Na2O and BaO additions on phosphorus distribution between CaO-MgO-FetO-SiO2-slags and liquid iron. Trans. Iron Steel Inst. Jpn. 1984, 24, 47–53. [Google Scholar] [CrossRef]
- Nakamura, S.; Tsukihashi, F.; Sano, N. Phosphorus partition between CaOsatd.-BaO-SiO2-FetO slags and liquid iron at 1873 K. ISIJ Int. 1993, 33, 53–58. [Google Scholar] [CrossRef]
- Ostrovski, O.I.; Utochkin, Y.I.; Pavlov, A.V.; Akberdin, R.A. Phosphate Capacity of the CaO-CaF2 System Containing Chromium Oxide. ISIJ Int. 1994, 34, 849–851. [Google Scholar] [CrossRef]
- Im, J.; Morita, K.; Sano, N. Phosphorus distribution ratios between CaO-SiO2-FetO slags and carbon-saturated iron at 1573 K. ISIJ Int. 1996, 36, 517–521. [Google Scholar] [CrossRef]
- Katsuki, J.-i.; Yashima, Y.; Yamauchi, T.; Hasegawa, M. Removal of P and Cr by oxidation refining of Fe-36% Ni melt. ISIJ Int. 1996, 36, S73–S76. [Google Scholar] [CrossRef] [PubMed]
- Hamano, T.; Tsukihashi, F. The Effect of B2O3 on Dephosphorization of Molten Steel by FeOx-CaO-MgOsatd.-SiO2 Slags at 1873K. ISIJ Int. 2005, 45, 159–165. [Google Scholar] [CrossRef][Green Version]
- Lee, C.; Fruehan, R. Phosphorus equilibrium between hot metal and slag. Ironmak. Steelmak. 2005, 32, 503–508. [Google Scholar] [CrossRef]
- Li, G.; Hamano, T.; Tsukihashi, F. The effect of Na2O and Al2O3 on dephosphorization of molten steel by high basicity MgO saturated CaO-FeOx-SiO2 slag. ISIJ Int. 2005, 45, 12–18. [Google Scholar] [CrossRef]
- Basu, S.; Lahiri, A.K.; Seetharaman, S. Phosphorus partition between liquid steel and CaO-SiO2-P2O5-MgO slag containing low FeO. Metall. Mater. Trans. B 2007, 38, 357–366. [Google Scholar] [CrossRef]
- Cho, M.K.; Park, J.H.; Min, D.J. Phosphate Capacity of CaO–SiO2–MnO–FeO Slag Saturated with MgO. ISIJ Int. 2010, 50, 324–326. [Google Scholar] [CrossRef]
- Li, F.; Li, X.; Yang, S.; Zhang, Y. Distribution ratios of phosphorus between CaO-FeO-SiO2-Al2O3/Na2O/TiO2 slags and carbon-saturated iron. Metall. Mater. Trans. B 2017, 48, 2367–2378. [Google Scholar] [CrossRef]
- Drain, P.B.; Monaghan, B.J.; Longbottom, R.J.; Chapman, M.W.; Zhang, G.; Chew, S.J. Phosphorus partition and phosphate capacity of basic oxygen steelmaking slags. ISIJ Int. 2018, 58, 1965–1971. [Google Scholar] [CrossRef]
- Heo, J.H.; Park, J.H. Effect of direct reduced iron (DRI) on dephosphorization of molten steel by electric arc furnace slag. Metall. Mater. Trans. B 2018, 49, 3381–3389. [Google Scholar] [CrossRef]
- Frueham, R.J. AISI/DOE Technology Roadmap Program: Behavior of Phosphorus in DRI/HBI During Electric Furnace Steelmaking; American Iron and Steel Institute (US): Pittsburgh, PA, USA, 2001. [Google Scholar]
- Lee, M.; Trotter, D.; Mazzei, O. The production of low phosphorus and nitrogen steels in an EAF using HBI. Scand. J. Metall. 2008, 30, 286–291. [Google Scholar] [CrossRef]
- Hassan, A.; Kotelnikov, G.; Semin, A.; Megahed, G. Phosphorous behavior in Electric Arc Furnace steelmaking with the melting of high phosphorous content direct reduced iron. In Proceedings of the METAL 2015-24th International Conference on Metallurgy and Materials, Conference Proceedings, Brno, Czech Republic, 3–5 June 2015. [Google Scholar]
- Odenthal, H.J.; Kemminger, A.; Krause, F.; Sankowski, L.; Uebber, N.; Vogl, N. Review on modeling and simulation of the electric arc furnace (EAF). Steel Res. Int. 2018, 89, 1700098. [Google Scholar] [CrossRef]
- Ek, M.; Shu, Q.; van Boggelen, J.; Sichen, D. New approach towards dynamic modelling of dephosphorisation in converter process. Ironmak. Steelmak. 2012, 39, 77–84. [Google Scholar] [CrossRef]
- Hay, T.; Visuri, V.-V.; Aula, M.; Echterhof, T. A review of mathematical process models for the electric arc furnace process. Steel Res. Int. 2021, 92, 2000395. [Google Scholar] [CrossRef]
- Tao, J.; Qian, W. Intelligent Method For BOF Endpoint [P]&[Mn] Estimation. In Proceedings of the 2006 6th World Congress on Intelligent Control and Automation, Dalian, China, 21–23 June 2003. [Google Scholar]
- Yuan, P.; Mao, Z.-Z.; Wang, F.-L. Endpoint prediction of EAF based on multiple support vector machines. J. Iron Steel Res. Int. 2007, 14, 20–24. [Google Scholar] [CrossRef]
- Zhaoyi, L.; Zhi, X.; Hongji, M. Prediction model of end-point phosphorous in converter based on cluster analysis and gray theory. In Proceedings of the 2008 7th World Congress on Intelligent Control and Automation, Chongqing, China, 25–27 June 2008. [Google Scholar]
- Wang, H.-B.; Xu, A.-J.; Ai, L.-X.; Tian, N.-Y. Prediction of endpoint phosphorus content of molten steel in BOF using weighted K-means and GMDH neural network. J. Iron Steel Res. Int. 2012, 19, 11–16. [Google Scholar] [CrossRef]
- Wang, R.; Zhang, B.; Hu, C.; Liu, C.; Jiang, M. Modeling Study of Metallurgical Slag Foaming via Dimensional Analysis. Metall. Mater. Trans. B 2021, 52, 1805–1817. [Google Scholar] [CrossRef]
- Qiu, D.; Fu, Y.-Y.; Zhang, N.; Zhao, C.-X. Research on relationship model of dephosphorization efficiency and slag basicity based on support vector machine. In Proceedings of the 2013 International Conference on Mechanical and Automation Engineering, Jiujang, China, 21–23 July 2013. [Google Scholar]
- Liu, H.; Wang, B.; Xiong, X. Basic oxygen furnace steelmaking end-point prediction based on computer vision and general regression neural network. Optik 2014, 125, 5241–5248. [Google Scholar] [CrossRef]
- Laha, D.; Ren, Y.; Suganthan, P.N. Modeling of steelmaking process with effective machine learning techniques. Expert Syst. Appl. 2015, 42, 4687–4696. [Google Scholar] [CrossRef]
- He, F.; Zhang, L. Prediction model of end-point phosphorus content in BOF steelmaking process based on PCA and BP neural network. J. Process Control 2018, 66, 51–58. [Google Scholar] [CrossRef]
- Elkoumy, M.M.; Fathy, A.M.; Megahed, G.M.; El-Mahallawi, I.; Ahmed, H.; El-Anwar, M. Empirical Model for Predicting Process Parameters during Electric Arc Furnace Refining Stage Based on Real Measurements. Steel Res. Int. 2019, 90, 1900208. [Google Scholar] [CrossRef]
- Chang, S.; Zhao, C.; Li, Y.; Zhou, M.; Fu, C.; Qiao, H. Multi-channel graph convolutional network based end-point element composition prediction of converter steelmaking. IFAC-PapersOnLine 2021, 54, 152–157. [Google Scholar] [CrossRef]
- Chen, C.; Wang, N.; Chen, M. Optimization of dephosphorization parameter in consteel electric arc furnace using rule set model. Steel Res. Int. 2021, 92, 2000719. [Google Scholar] [CrossRef]
- Klimas, M.; Grabowski, D. Application of shallow neural networks in electric arc furnace modeling. IEEE Trans. Ind. Appl. 2022, 58, 6814–6823. [Google Scholar] [CrossRef]
- Zhang, R.; Yang, J.; Wu, S.; Sun, H.; Yang, W. Comparison of the Prediction of BOF End-Point Phosphorus Content Among Machine Learning Models and Metallurgical Mechanism Model. Steel Res. Int. 2023, 94, 2200682. [Google Scholar] [CrossRef]
- Zou, Y.; Yang, L.; Li, B.; Yan, Z.; Li, Z.; Wang, S.; Guo, Y. Prediction Model of End-Point Phosphorus Content in EAF Steelmaking Based on BP Neural Network with Periodical Data Optimization. Metals 2022, 12, 1519. [Google Scholar] [CrossRef]
- Wang, R.; Mohanty, I.; Srivastava, A.; Roy, T.K.; Gupta, P.; Chattopadhyay, K. Hybrid method for endpoint prediction in a basic oxygen furnace. Metals 2022, 12, 801. [Google Scholar] [CrossRef]
- Tomažič, S.; Andonovski, G.; Škrjanc, I.; Logar, V. Data-driven modelling and optimization of energy consumption in EAF. Metals 2022, 12, 816. [Google Scholar] [CrossRef]
- Moosavi-Khoonsari, E.; Azzaz, R.; Hurel, V.; Jahazi, M.; Kahou, S.E. Controlling Minor Element Phosphorus in Green Electric Steelmaking Using Neural Networks. In Proceedings of the REWAS 2025 at TMS 2025 Annual Meeting & Exhibition (accepted), Las Vegas, NV, USA, 23–27 March 2025. [Google Scholar]
- Reinicke, A.; Engbrecht, T.-N.; Schüttensack, L.; Echterhof, T. Application of an Artificial Neural Network for Efficient Computation of Chemical Activities within an EAF Process Model. Metals 2024, 14, 736. [Google Scholar] [CrossRef]
- Zhou, K.-X.; Lin, W.-H.; Sun, J.-K.; Zhang, J.-S.; Zhang, D.-Z.; Feng, X.-M.; Liu, Q. Prediction model of end-point phosphorus content for BOF based on monotone-constrained BP neural network. J. Iron Steel Res. Int. 2022, 29, 751–760. [Google Scholar] [CrossRef]
- Nenchev, B.; Panwisawas, C.; Yang, X.; Fu, J.; Dong, Z.; Tao, Q.; Gebelin, J.-C.; Dunsmore, A.; Dong, H.; Li, M.; et al. Metallurgical data science for steel industry: A case study on basic oxygen furnace. Steel Res. Int. 2022, 93, 2100813. [Google Scholar] [CrossRef]
- Freuhan, J. The Making, Shaping and Treating of Steel 11th Edition—Steelmaking and Refining Volume; The AISE Steel Foundation: Pittsburgh, PA, USA, 1998. [Google Scholar]
- Maia, T.A.; Onofri, V.C. Survey on the electric arc furnace and ladle furnace electric system. Ironmak. Steelmak. 2022, 49, 976–994. [Google Scholar] [CrossRef]
- Singh, R. Applied Welding Engineering: Processes, Codes, and Standards; Butterworth-Heinemann: Oxford, UK, 2020; pp. 33–38. [Google Scholar]
- Rathaba, L.P. Model Fitting for Electric Arc Furnace Refining; University of Pretoria (South Africa): Pretoria, South Africa, 2004. [Google Scholar]
- Busa, N. Optimization of Steelmaking Processes in an Electric ARC Furnace; Purdue University: West Lafayette, IN, USA, 2023. [Google Scholar]
- Kadkhodabeigi, M.; Tveit, H.; Johansen, S.T. Modelling the tapping process in submerged arc furnaces used in high silicon alloys production. ISIJ Int. 2011, 51, 193–202. [Google Scholar] [CrossRef]
- Yang, X.-M.; Li, J.-Y.; Chai, G.-M.; Duan, D.-P.; Zhang, J. Critical evaluation of prediction models for phosphorus partition between CaO-based slags and iron-based melts during dephosphorization processes. Metall. Mater. Trans. B 2016, 47, 2302–2329. [Google Scholar] [CrossRef]
- Nakamura, T.; Ueda, Y.; Yanagase, T. Optical Basicities in Some Oxide-Halide Systems. ECS Proc. Vol. 1987, 1987, 382. [Google Scholar] [CrossRef]
- Nassaralla, C.; Fruehan, R. Phosphate capacity of CaO-AI2O3 slags containing CaF2, BaO, Li2O, or Na2O. Metall. Trans. B 1992, 23, 117–123. [Google Scholar] [CrossRef]
- Liu, Z.; Cheng, S.S.; Wang, L. Factors Influencing Dephosphorization of Low Carbon Steel in Converter. In Materials Science Forum; Trans Tech Publications: Stafa-Zurich, Switzerland, 2021. [Google Scholar]
- Oh, M.K.; Park, J.H. Effect of fluorspar on the interfacial reaction between electric arc furnace slag and magnesia refractory: Competitive corrosion-protection mechanism of magnesiowüstite layer. Ceram. Int. 2021, 47, 20387–20398. [Google Scholar] [CrossRef]
- Vieira, D.; Almeida, R.A.M.d.; Bielefeldt, W.V.; Vilela, A.C.F. Slag evaluation to reduce energy consumption and EAF electrical instability. Mater. Res. 2016, 19, 1127–1131. [Google Scholar] [CrossRef]
- Li, F.; Li, X.; Zhang, Y.; Gao, M. Phosphate Capacities of CaO–FeO–SiO2–Al2O3/Na2O/TiO2 Slags. High Temp. Mater. Process. 2019, 38, 50–59. [Google Scholar] [CrossRef]
- Wang, Z.; Xie, F.; Wang, B.; Liu, Q.; Lu, X.; Hu, L.; Cai, F. The Control and Prediction of End-Point Phosphorus Content during BOF Steelmaking Process. Steel Res. Int. 2014, 85, 599–606. [Google Scholar] [CrossRef]
- Probst, P.; Wright, M.N.; Boulesteix, A.L. Hyperparameters and tuning strategies for random forest. Wiley Interdiscip. Rev. Data Min. Knowl. Discov. 2019, 9, e1301. [Google Scholar] [CrossRef]
- Cervantes, J.; Garcia-Lamont, F.; Rodríguez-Mazahua, L.; Lopez, A. A comprehensive survey on support vector machine classification: Applications, challenges and trends. Neurocomputing 2020, 408, 189–215. [Google Scholar] [CrossRef]
- Roy, A.; Chakraborty, S. Support vector machine in structural reliability analysis: A review. Reliab. Eng. Syst. Saf. 2023, 233, 109126. [Google Scholar] [CrossRef]
- Scikit Learn. RBF SVM Parameters. Available online: https://scikit-learn.org/stable/auto_examples/svm/plot_rbf_parameters.html (accessed on 1 September 2024).
- IBM. What Is a Neural Network? Available online: https://www.ibm.com/topics/neural-networks#:~:text=Every%20neural%20network%20consists%20of,own%20associated%20weight%20and%20threshold (accessed on 1 September 2024).
- Raiaan, M.A.K.; Sakib, S.; Fahad, N.M.; Al Mamun, A.; Rahman, M.A.; Shatabda, S.; Mukta, M.S.H. A systematic review of hyperparameter optimization techniques in Convolutional Neural Networks. Decis. Anal. J. 2024, 11, 100470. [Google Scholar] [CrossRef]
- Bergstra, J.; Bengio, Y. Random search for hyper-parameter optimization. J. Mach. Learn. Res. 2012, 13, 281–305. [Google Scholar]
- Karbowniczek, M.; Kawecka-Cebula, E.; Reichel, J. Investigations of the dephosphorization of liquid iron solution containing chromium and nickel. Metall. Mater. Trans. B 2012, 43, 554–561. [Google Scholar] [CrossRef]
- Sigworth, G.K.; Elliott, J.F. The thermodynamics of liquid dilute iron alloys. Met. Sci. 1974, 8, 298–310. [Google Scholar] [CrossRef]
- Yang, D.; Zhang, F.; Wang, J.; Yan, Z.; Pei, G.; Qiu, G.; Lv, X. Effect of Cr2O3 content on viscosity and phase structure of chromium-containing high-titanium blast furnace slag. J. Mater. Res. Technol. 2020, 9, 14673–14681. [Google Scholar] [CrossRef]
- Ma, S.; Li, K.; Zhang, J.; Jiang, C.; Bi, Z.; Sun, M.; Wang, Z. Effect of MnO content on slag structure and properties under different basicity conditions: A molecular dynamics study. J. Mol. Liq. 2021, 336, 116304. [Google Scholar] [CrossRef]
- Kawa, Y.; Mayani, H. Effect of alloying elements on the activity of phosphorous in molten iron. Tetsu Hagane 1982, 68. [Google Scholar]
- Dovoedo, Y.; Chakraborti, S. Boxplot-based outlier detection for the location-scale family. Commun. Stat. Simul. Comput. 2015, 44, 1492–1513. [Google Scholar] [CrossRef]
- Ratnasingam, S.; Muñoz-Lopez, J. Distance correlation-based feature selection in random forest. Entropy 2023, 25, 1250. [Google Scholar] [CrossRef] [PubMed]
- Dahiru, T. P-value, a true test of statistical significance? A cautionary note. Ann. Ib. Postgrad. Med. 2008, 6, 21–26. [Google Scholar] [CrossRef] [PubMed]
- Samarasinghe, S. Neural Networks for Applied Sciences and Engineering: From Fundamentals to Complex Pattern Recognition; Auerbach Publications: Boca Raton, FL, USA, 2016. [Google Scholar]
Disclaimer/Publisher’s Note: The statements, opinions and data contained in all publications are solely those of the individual author(s) and contributor(s) and not of MDPI and/or the editor(s). MDPI and/or the editor(s) disclaim responsibility for any injury to people or property resulting from any ideas, methods, instructions or products referred to in the content. |
© 2025 by the authors. Licensee MDPI, Basel, Switzerland. This article is an open access article distributed under the terms and conditions of the Creative Commons Attribution (CC BY) license (https://creativecommons.org/licenses/by/4.0/).








