1. Introduction
Biomaterials are employed in medical applications to supplant or facilitate the healing process of soft or hard tissue, either internally or externally within the human body. These materials are engineered to be compatible with living tissues, interact with biological systems, and promote biocompatibility and cellular viability. Additionally, due to their low rejection rates, they are well suited for use in medical procedures [
1]. Over the years, numerous studies and investigations have been conducted to evaluate and substantiate the properties and applications of Ti6Al4V as a biomaterial [
2,
3,
4,
5,
6,
7,
8,
9], given its reputation for excellent mechanical strength and biocompatibility. However, challenges remain regarding its ability to promote cellular adhesion and integration with biological tissues [
10,
11,
12], as well as the potential long-term health issues caused by vanadium ion release [
13,
14].
Coatings have long been employed to protect and enhance the functionality of materials. With the evolution of technology, innovative coating techniques have emerged to improve material characteristics, such as magnetron-assisted sputtering. This technique enables the deposit of thin films of elements or compounds onto substrates of various materials using a magnetic field and plasma discharges [
15]. In medical applications, surface coatings can significantly enhance biocompatibility by forming protective layers that reduce immune responses and prevent the release of toxic substances. Additionally, they improve resistance to corrosion, wear, and lubrication capacity and provide antimicrobial properties [
16].
Among the various coating materials, carbon-based coatings are particularly attractive for medical applications due to their low chemical reactivity, high stability, and exceptional mechanical properties. Evaluations of the biocompatibility of carbon coatings have included cellular adhesion, viability, and biomineralization [
17], as well as corrosion behavior assessments using blood donor tests [
18]. While these coatings have shown promising results in enhancing biocompatibility, another element of interest in biomedical applications is rhenium (Re). Rhenium possesses a broad range of oxidation states and exceptional chemical and mechanical properties, such as high wear resistance and a high valence electron density. It is also commonly used as an alloying element with metals like tungsten and molybdenum to improve hardness, tensile strength, and corrosion resistance [
19,
20,
21]. However, despite the potential of rhenium, there has been a limited exploration of rhenium–carbon composite materials as coatings on commonly used metals in the biomedical industry, such as Ti6Al4V.
The aim of this study is to assess the performance of rhenium–carbon coatings on Ti6Al4V substrates, deposited via magnetron sputtering with a molybdenum anchoring layer. This investigation seeks to address the critical limitations associated with Ti6Al4V as a biomaterial, particularly the issues of cellular adhesion, integration with biological tissues, and vanadium ion release, which have been inadequately explored in previous studies. By introducing a novel rhenium–carbon composite coating, we aim to improve the biocompatibility of Ti6Al4V.
The preliminary results indicate the successful formation of rhenium carbides and oxides, though challenges such as poor adhesion and significant delamination are evident in SEM imaging. These findings suggest that surface preparation and the coating process require further refinement to improve adhesion. Additionally, corrosion resistance tests revealed a detrimental effect on the Ti6Al4V substrate, raising concerns about the long-term stability of the coating in biological environments. Biocompatibility assessments showed a reduction in cell viability, particularly in coatings with higher surface roughness, further emphasizing the need for optimization. These results underline the dual necessity of enhancing surface adhesion and fine-tuning surface roughness to achieve an ideal balance between mechanical stability and biocompatibility.
In the pages that follow, the production and characterization of rhenium and carbon-based coatings on Ti6Al4V substrates are discussed and the biocompatible properties of the coatings are analyzed with the aim of preventing the direct exposure of vanadium to the body and examining its behavior in a biological environment. This work advances the state of the art by exploring the potential of rhenium–carbon composite coatings, addressing the critical gaps in corrosion resistance, and the biocompatibility of Ti6Al4V in biomedical applications.
3. Results
3.3. Corrosion Resistance
Corrosion resistance was evaluated using potentiodynamic polarization (
Figure 5). The uncoated Ti6Al4V substrate exhibited a lower corrosion current density compared to both Re-C-coated samples (C1 and C2), as can be seen in
Table 6. This suggests that the coatings, despite their intended protective function, actually increased the susceptibility of the substrate to the corrosion process this is in agreement with studies with tantalum-based carbides [
25], in which the coated substrate presents reduced corrosion resistance.
The primary factor contributing to this lack of protection appears to be poor adhesion, as evidenced by the delamination phenomenon in
Figure 3. The delamination can be attributed to the substrate surface preparation. The sample prepared with 2000 grit SiC paper produced a rougher surface (
Table 1), and in turn, more defects acted as corrosion initiators not only on the substrate itself but also on the coating surface. This leads to electrolyte penetration causing pitting corrosion phenomena and posterior delamination. Potentiodynamic polarization tests revealed that the corrosion resistance of the Ti6Al4V substrates was adversely affected by the Re-C coatings, as the coated samples exhibited increased corrosion current densities and more negative corrosion potentials compared to the uncoated substrates. The results indicated that the Re-C coatings did not provide adequate protection against corrosion in Hank’s solution, potentially due to the observed delamination and poor adhesion.
The polarization curves indicate that the Re-C coatings negatively impacted the corrosion resistance of the Ti6Al4V substrate. Both coatings exhibited an increase in corrosion current densities, with an average value calculated from three measurements and corrosion potentials (
Ecorr) that were more negative compared to the uncoated substrate. Specifically, the Ti6Al4V substrate had an
Ecorr of 144.6 mV and a Jcorr of 1.82 × 10
−6 A/cm
2 ± 0.20 × 10
−6 A/cm
2, while the coated samples C1 and C2 displayed more negative
Ecorr values of −170.7 mV and −148.3 mV, with Jcorr values of 5.09 × 10
−6 A/cm
2 ± 0.45 × 10
−6 A/cm
2 and 3.65 × 10
−6 A/cm
2 ± 0.30 × 10
−6 A/cm
2, respectively. This shift in
Ecorr towards more negative values reflects an increased susceptibility to corrosion, likely due to the compromised structure of the coating. The corrosion rates were also significantly higher for the coated samples: 1.7657 mpy for C1 and 1.2655 mpy for C2, compared to 0.6339 mpy for the uncoated substrate [
31,
32,
33].
Although both coatings displayed passivation regions with steeper slopes, indicative of a protective passive oxide layer formation, this layer was not stable. Degradation occurred at approximately 400 mV, after which the corrosion behavior reverted to that of the exposed substrate due to coating delamination and surface defects.
The positive Ecorr value observed for the uncoated Ti6Al4V substrate signifies its relatively noble behavior and lower chemical reactivity in Hank’s solution. In contrast, the coated samples exhibited more negative Ecorr values, suggesting that the Re-C coatings facilitated higher electrochemical activity and corrosion rates. The coatings’ initial passivation likely arose from the formation of a thin, protective oxide layer, which temporarily shielded the surface from further attacks. However, as delamination progressed, the passive layer degraded, exposing the underlying substrate to direct electrolyte contact, leading to accelerated corrosion.
These findings highlight significant challenges associated with the use of Re-C coatings on Ti6Al4V substrates, particularly with respect to adhesion and uniformity. The SEM analyses indicate that the current surface preparation and coating deposition processes are insufficient for producing durable coatings. Furthermore, the negative impact of the coatings on corrosion resistance underscores the need for improved adhesion, a uniform coverage, and potentially different coating materials or deposition techniques to protect the underlying substrate.
3.4. Biocompatibility
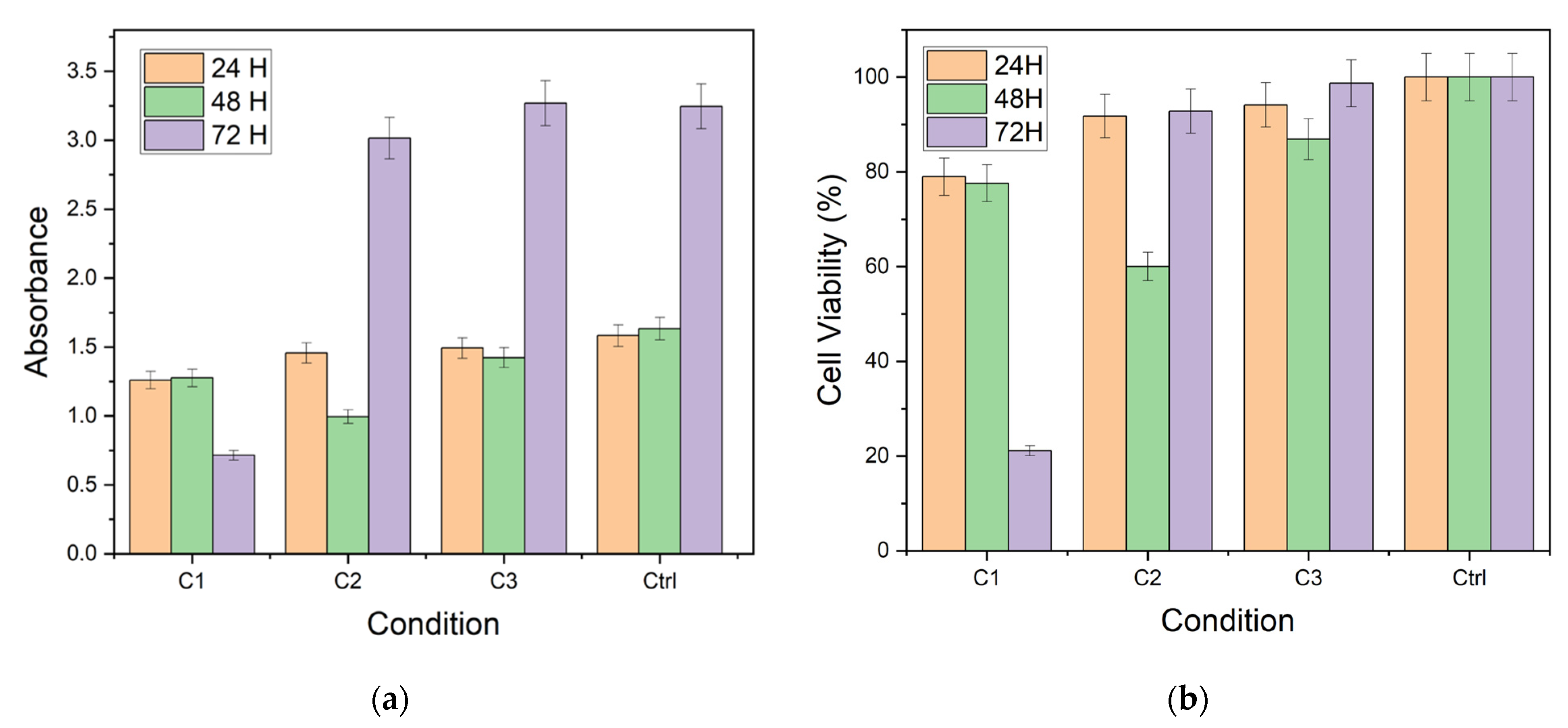
Figure 6 presents the results of cell viability (a) and absorbance (b) values obtained by the MTT assay on the coated specimens. A significant decrease in absorbance is observed for cells exposed to C1 and C2 compared to those exposed to C3 (the uncoated Ti6Al4V substrate) and Ctrl (a control group with PK15 cells). Cell viability was calculated by normalizing the absorbance of each sample to the control group. It is evident that cell viability remained above 90% for cells exposed to the uncoated substrate (C3) at all evaluated time points. However, for the coated samples (C1 and C2), a marked decrease in cell viability was observed.
The biocompatibility assessments revealed a reduction in cell viability and metabolic activity, particularly on rougher surfaces. This suggest that surface roughness plays a key role in modulating cellular responses, where smoother coatings may offer improved biocompatibility by promoting better cell adhesion and proliferation [
24,
25]. However, the observed cytotoxicity indicates that further optimization of the coating process is necessary to enhance biocompatibility and ensure safe application in biomedical contexts.
The MTT assay results also showed a clear correlation between surface roughness and cell viability. Coatings deposited on C1 substrates (higher roughness) displayed significantly lower cell viability compared to C2 substrates (lower roughness). This trend suggests that surface roughness plays a critical role in cellular responses, with rougher surfaces potentially hindering cell adhesion and proliferation.
The cytotoxicity of the coatings was assessed according to ISO 10993-5:2009 standards by comparing cell viability to the control group. The coatings reduced cell viability to less than 70% of the control, classifying them as cytotoxic. This cytotoxicity may stem from inadequate coating adhesion and the delamination of the coatings as discussed before, which potentially exposes cells to harmful elements or compounds at the coating–substrate interface.
The results of this study demonstrate that rhenium and carbon coatings significantly affect the cell viability and metabolic activity of PK15 cells, as evaluated through the MTT assay. Surface roughness emerged as a key factor influencing cellular response. Coatings with higher roughness (C1) showed a notable decrease in both cell viability and absorbance over time. While cell viability in this condition remained high at 24 h, approaching 90%, a significant decline was observed at 72 h, with viability dropping below 20%. This progressive decline suggests that rougher surfaces may induce additional mechanical stress or release cytotoxic particles, which could negatively impact cellular health. This trend was also reflected in the absorbance measurements, with a considerable reduction observed at 72 h, indicating diminished metabolic activity.
In contrast, coatings with lower surface roughness (C2) demonstrated comparatively higher cell viability and absorbance. By 72 h, cell viability in this condition remained around 60%, suggesting that smoother surfaces mitigate adverse effects on the cells. The consistently higher absorbance values for C2 indicate reduced cytotoxicity and enhanced compatibility with PK15 cells. These results highlight the critical role that surface roughness plays in determining the biocompatibility of rhenium and carbon coatings.
The uncoated substrate (C3) and the control group of cells (Ctrl) served as essential comparative references. In both conditions, cell viability and absorbance remained high and stable across all evaluated time points. For C3, cell viability exceeded 90%, and absorbance remained consistent with the control group, indicating that the absence of a coating did not adversely affect cell viability. These findings reinforce the conclusion that surface roughness and treatment are major determinants of cellular behavior in response to coated surfaces.
In terms of implications, these findings are crucial for the development of biomedical coatings, especially in applications where the cell-material interaction is critical. The evidence suggests that coatings with lower roughness offer improved biocompatibility by reducing cytotoxic effects and promoting cell viability. This study provides a solid foundation for the future optimization of rhenium and carbon coatings, emphasizing the need to develop smoother and more biocompatible surfaces [
34].
Future research should explore the specific mechanisms driving the cytotoxicity associated with the rough coatings. Studies evaluating the potential release of ions or particles from rough surfaces could provide deeper insights into the factors contributing to reduced cell viability. Additionally, expanding these evaluations to other cell types and biological contexts will help validate the findings and support the development of versatile and safer coatings for various clinical applications.
Author Contributions
Conceptualization, G.O.-H., W.A. and Y.P.-T.; methodology, G.O.-H.; validation, G.O.-H., Y.P.-T., A.P.C.-F. and W.A.; formal analysis, G.O.-H., S.V.M.-D., J.V.R.-M. and A.P.C.-F.; investigation, G.O.-H., S.V.M.-D. and J.V.R.-M.; resources, W.A. and Y.P.-T.; data curation, G.O.-H.; writing—original draft preparation, G.O.-H. and S.V.M.-D.; writing—review and editing, G.O.-H., W.A., A.P.C.-F. and Y.P.-T.; visualization, G.O.-H.; supervision, Y.P.-T.; project administration, Y.P.-T.; funding acquisition, W.A. and Y.P.-T. All authors have read and agreed to the published version of the manuscript.
Funding
This research was funded by MINCIENCIAS, under the convocatoria fortalecimiento de vocaciones y formación en CTeI para la reactivación económica en el arco de la postpandemia 2020 and under the contract number 80740-575-2021. The APC was funded by Universidad Pedagógica y Tecnológica de Colombia and Universidad ECCI.
Data Availability Statement
The datasets generated and/or analyzed during the current study are not publicly available but are available from the corresponding author upon reasonable request.
Conflicts of Interest
The authors declare no conflicts of interest. The funders had no role in the design of the study; in the collection, analyses, or interpretation of data; in the writing of the manuscript; or in the decision to publish the results.
References
- Yang, B.; Cui, T.; Guo, L.; Dong, L.; Wu, J.; Xing, Y.; Xu, Y.; Chen, J.; Wang, Y.; Cui, Z.; et al. Advanced Smart Biomaterials for Regenerative Medicine and Drug Delivery Based on Phosphoramidite Chemistry: From Oligonucleotides to Precision Polymers. Biomacromolecules 2024, 25, 2701–2714. [Google Scholar] [CrossRef] [PubMed]
- Prieto, D.F.; Caballero, J.L.; Aperador, W.A.; Martínez, J.H. Upgrade and Modification of a Machine for Micro-Abrasion Wear Testing in Simulated Biological Environments with Oscillatory Motion. Ing. Investig. 2023, 43, e95685. [Google Scholar] [CrossRef]
- Grüger, L.; Jensch, F.; Dittrich, F.; Härtel, S. On the Creation of a Material Bond between L-PBF-Manufactured AZ91 and Ti-6Al-4V Components in the Context of Medical Applications. Materials 2024, 17, 4667. [Google Scholar] [CrossRef] [PubMed]
- Laskowska, D.; Bałasz, B.; Zawadka, W. Microstructure and Mechanical Properties of As-Built Ti-6Al-4V and Ti-6Al-7Nb Alloys Produced by Selective Laser Melting Technology. Materials 2024, 17, 4604. [Google Scholar] [CrossRef]
- Nikolova, M.P.; Tzvetkov, I.; Dimitrova, T.V.; Ivanova, V.L.; Handzhiyski, Y.; Andreeva, A.; Valkov, S.; Ormanova, M.; Apostolova, M.D. Effect of Co-Sputtered Copper and Titanium Oxide Coatings on Bacterial Resistance and Cytocompatibility of Osteoblast Cells. Nanomaterials 2024, 14, 1148. [Google Scholar] [CrossRef]
- Kuang, F.; Pan, Y.; Sun, J.; Liu, Y.; Lei, C.; Lu, X. Investigating Phase Transformation, Densification and Diffusion Mechanism of TiH2 Powder to Achieve a High Ductile Ti6Al4V Alloy. J. Mater. Process. Technol. 2024, 329, 118459. [Google Scholar] [CrossRef]
- Behjat, A.; Sanaei, S.; Mosallanejad, M.H.; Atapour, M.; Sheikholeslam, M.; Saboori, A.; Iuliano, L. A Novel Titanium Alloy for Load-Bearing Biomedical Implants: Evaluating the Antibacterial and Biocompatibility of Ti536 Produced via Electron Beam Powder Bed Fusion Additive Manufacturing Process. Biomater. Adv. 2024, 163, 213928. [Google Scholar] [CrossRef]
- Orozco-Hernández, G.; Durán, P.G.; Aperador, W. Tribocorrosion Evaluation of Nb2O5, TiO2, and Nb2O5 + TiO2 Coatings for Medical Applications. Lubricants 2021, 9, 49. [Google Scholar] [CrossRef]
- Melo-Fonseca, F.; Guimarães, B.; Gasik, M.; Silva, F.S.; Miranda, G. Experimental Analysis and Predictive Modelling of Ti6Al4V Laser Surface Texturing for Biomedical Applications. Surf. Interfaces 2022, 35, 102466. [Google Scholar] [CrossRef]
- Chao, G.; Zukin, S.; Fortuna, P.R.J.; Boettner, B.; Church, G.M. Progress and Limitations in Engineering Cellular Adhesion for Research and Therapeutics. Trends Cell Biol. 2024, 34, 277–287. [Google Scholar] [CrossRef]
- DeStefano, S.; Hartigan, D.R.; Josyula, A.; Faust, M.; Fertil, D.; Lokwani, R.; Ngo, T.B.; Sadtler, K. Conserved and Tissue-Specific Immune Responses to Biologic Scaffold Implantation. Acta Biomater. 2024, 184, 68–80. [Google Scholar] [CrossRef] [PubMed]
- Chen, C.; Li, L.; Zhang, M.; Xu, M.; Zhang, W. Study on Laser Transmission Welding Technology of TC4 Titanium Alloy and High-Borosilicate Glass. Materials 2024, 17, 4371. [Google Scholar] [CrossRef] [PubMed]
- Bautista-Ruiz, J.; Elhadad, A.; Aperador, W. Fabrication of Silver-Doped Titanium Vanadium Nitride (TiVN) Coatings for Biomedical Applications. Mater. Chem. Phys. 2024, 326, 129856. [Google Scholar] [CrossRef]
- Hussain, S.; Sabiruddin, K.; Patidar, P.; Solanki, K.; Baig, M.S. In Vitro Bioactivity and Biocompatibility Behaviour of Atmospheric Plasma Sprayed Indian Clam Seashell Derived Hydroxyapatite Coating on Ti-Alloy. J. Alloys Compd. 2024, 976, 173132. [Google Scholar] [CrossRef]
- Costa, B.C.; Tokuhara, C.K.; Rocha, L.A.; Oliveira, R.C.; Lisboa-Filho, P.N.; Pessoa, J.C. Vanadium ionic species forom degradation of Ti-6Al-4V metallic implants: In vitro cytotoxicity and speciation evaluation. Mater. Sci. Eng. C 2019, 96, 730–739. [Google Scholar] [CrossRef]
- Badhe, R.V.; Akinfosile, O.; Bijukumar, D.; Barba, M.; Mathew, M.T. Systemic toxicity eliciting metal ion levels from metallic implants and orthopedic devices—A mini review. Toxicol. Lett. 2021, 350, 213–224. [Google Scholar] [CrossRef] [PubMed]
- Richter, N.A.; Yang, B.; Barnard, J.P.; Niu, T.; Sheng, X.; Shaw, D.; Watanabe, M.; Rane, G.; Krause, U.; Dürrenfeld, P.; et al. Significant texture and wear resistance improvement of TiN coatings using pulsed DC magnetron sputtering. Appl. Surf. Sci. 2023, 635, 157709. [Google Scholar] [CrossRef]
- Cai, Z.; Du, P.; Li, K.; Chen, L.; Xie, G. A Review of the Development of Titanium-Based and Magnesium-Based Metallic Glasses in the Field of Biomedical Materials. Materials 2024, 17, 4587. [Google Scholar] [CrossRef]
- Arroyave, M.; Ruiz, C.; Echeverri, P.; Jaoul, C.; Grisales, M.; Bejarano, G. Microstructure, Chemical Composition and Mechanical Properties of Rhenium Nitride Hard Coating Deposited by Reactive Magnetron Sputtering. Int. J. Refract. Met. Hard Mater. 2022, 106, 106026. [Google Scholar] [CrossRef]
- Arroyave, M.; Bejarano, G.; David, J.; Hernández, J. Growth and Characterization of Rhenium Nitride Coatings Produced by Reactive Magnetron Sputtering. Thin Solid Films 2021, 738, 138809. [Google Scholar] [CrossRef]
- Grisales, M.A.; Giraldo, F.; Echavarría, A.M.; Bolivar, F.J.; Bejarano, G.G. A Novel ReN/TiAlN Multilayer Coating on M2 Steel by Magnetron Sputtering: Development and Electrochemical Behavior. Surf. Coat. Technol. 2022, 433, 128883. [Google Scholar] [CrossRef]
- ASTM G5-14; Standard Reference Test Method for Making Potentiostatic and Potentiodynamic Anodic Polarization Measurements. ASTM International: West Conshohocken, PA, USA, 2014.
- ISO 10993-5; International Standard for Biological Evaluation of Medical Devices—Part 5. Test for In Vitro Cytotoxicity. International Organization for Standardization: Geneva, Switzerland, 2009. Available online: https://www.iso.org/obp/ui/en/#iso:std:iso:10993:-5:ed-3:v1:en (accessed on 1st August 2024).
- Te, A.; Sousa, B.C.; Mishra, B.; Cote, D.L. Subsurface microstructural evolution of high-pressure diecast A365: From cast to cold-sprayed and heat-treated conditions. Metals 2021, 11, 432. [Google Scholar] [CrossRef]
- Kiryukhantsev-Korneev, P.V.; Sytchenko, A.D.; Vorotilo, S.A.; Klechkovskaya, V.V.; Lopatin, V.Y.; Levashov, E.A. Structure, Oxidation Resistance, Mechanical, and Tribological Properties of N- and C-Doped Ta-Zr-Si-B Hard Protective Coatings Obtained by Reactive D.C. Magnetron Sputtering of TaZrSiB Ceramic Cathode. Coatings 2020, 10, 946. [Google Scholar] [CrossRef]
- Panjan, P.; Drnovsek, A.; Gselman, P.; Cekada, M.; Panjan, M. Review of growth defects in thin films prepared by PVD techniques. Coatings 2020, 10, 447. [Google Scholar] [CrossRef]
- Esmaeili, M.M.; Mahmoodi, M.; Mokhtarzade, A. In vitro corrosion and tribological behavior of multiwall carbon nanotube-coated Ti-6Al-4V/tantalum carbide surface for implant applications. J. Mater. Eng. Perform. 2022, 31, 7719–7733. [Google Scholar] [CrossRef]
- Lemus Rincón, M.L. Caracterización de Recubrimientos a Base de Renio y Carbono con Análisis Citotóxico en Células Pk-15 para Posibles Aplicaciones Biomédicas. Undergraduate Thesis, Universidad ECCI, Bogotá, Colombia, 2024. [Google Scholar]
- Zhao, S.; Liu, S.; Xue, Y.; Li, N.; Xu, K.; Qiu, W.; Li, X.; Wang, J.; Wu, Q.; Shi, C. Microstructure and Properties of Monolayer Ta and Multilayer Ta/Ti/Zr/Ta Coatings Deposited on Biomedical Ti-6Al-4V Alloy by Magnetron Sputtering. Coatings 2023, 13, 1234. [Google Scholar] [CrossRef]
- Yeh, C.-E.; Chen, W.-C.; Chen, C.-S.; Hou, W.-T.; Li, S.-J.; Hao, Y.-L.; Sun, Y.-S.; Huang, H.-H. Enhancing the angiogenesis and osteogenesis of low elastic modulus Ti-Nb-Zr-Sn alloy surface through grafting growth factors-containing gelatin nanoparticles. Surf. Interfaces 2024, 46, 104136. [Google Scholar] [CrossRef]
- Majhy, B.; Priyadarshini, P.; Sen, A.K. Effect of surface energy and roughness on cell adhesion and growth–facile surface modification for enhanced cell culture. RSC Adv. 2021, 11, 15467–15476. [Google Scholar] [CrossRef] [PubMed]
- McCafferty, E. Validation of Corrosion Rates Measured By the Tafel Extrapolation Method. Corros. Sci. 2005, 47, 3202–3215. [Google Scholar] [CrossRef]
- Meyer, Y.A.; Menezes, I.; Bonatti, R.S.; Bortolozo, A.D.; Osório, W.R. EIS Investigation of the Corrosion Behavior of Steel Bars Embedded into Modified Concretes with Eggshell Contents. Metals 2022, 12, 417. [Google Scholar] [CrossRef]
- Huang, R.; Hao, Y.; Pan, Y.; Pan, C.; Tang, X.; Huang, L.; Du, C.; Yue, R.; Cui, D. Using a two-step method of surface mechanical attrition treatment and calcium ion implantation to promote the osteogenic activity of mesenchymal stem cells as well as biomineralization on a β-titanium surface. RSC Adv. 2022, 12, 20037–20053. [Google Scholar] [CrossRef] [PubMed]
| Disclaimer/Publisher’s Note: The statements, opinions and data contained in all publications are solely those of the individual author(s) and contributor(s) and not of MDPI and/or the editor(s). MDPI and/or the editor(s) disclaim responsibility for any injury to people or property resulting from any ideas, methods, instructions or products referred to in the content. |
© 2024 by the authors. Licensee MDPI, Basel, Switzerland. This article is an open access article distributed under the terms and conditions of the Creative Commons Attribution (CC BY) license (https://creativecommons.org/licenses/by/4.0/).