Grain Initiation and Grain Refinement: An Overview
Abstract
1. Introduction
2. Early-Stage Solidification (ESS) and Grain Initiation
3. Heterogeneous Nucleation and Grain Initiation on a Single Substrate
3.1. Classical Nucleation Theory
3.2. A 3-Layer Nucleation Mechanism of Heterogeneous Nucleation
3.3. Free Growth of a Nucleated Solid Particle
4. Grain Initiation Behaviour of a Population of Solid Particles
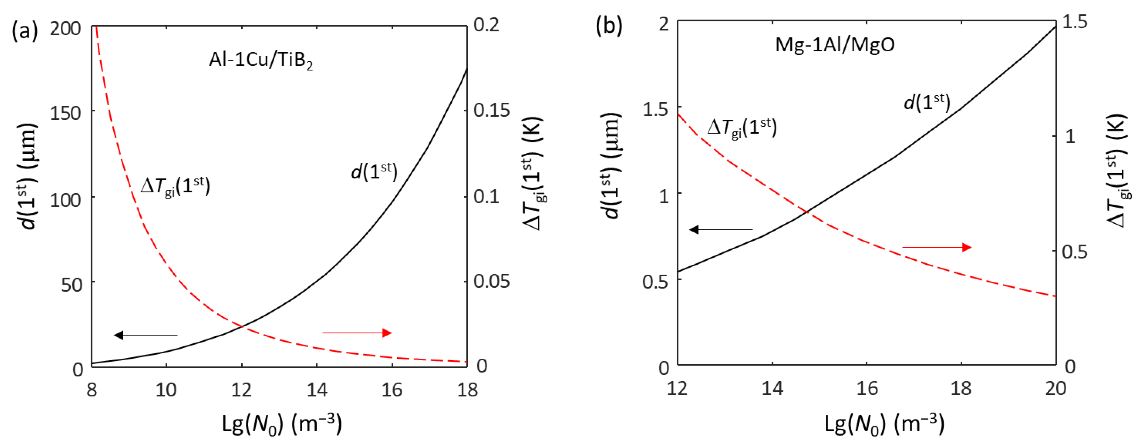
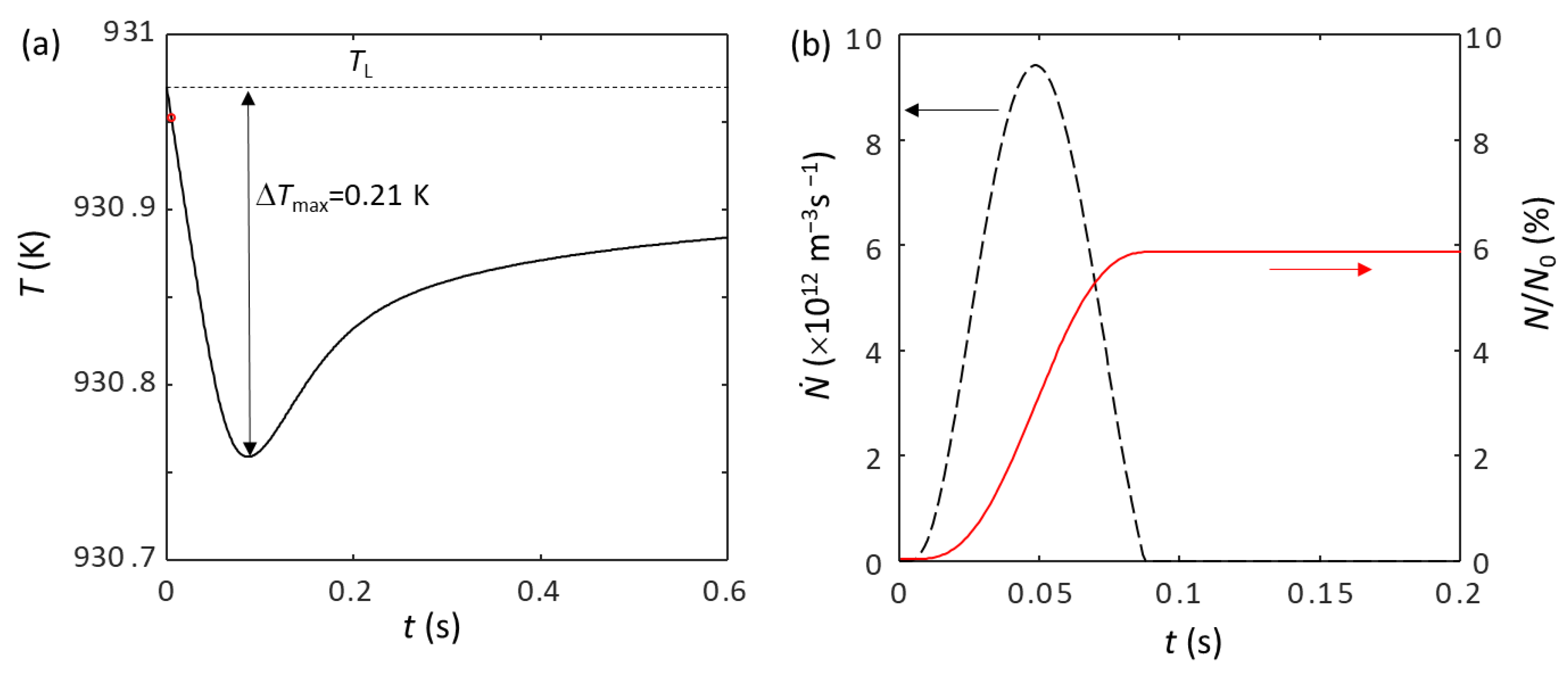
4.1. Progressive Grain Initiation (PGI)
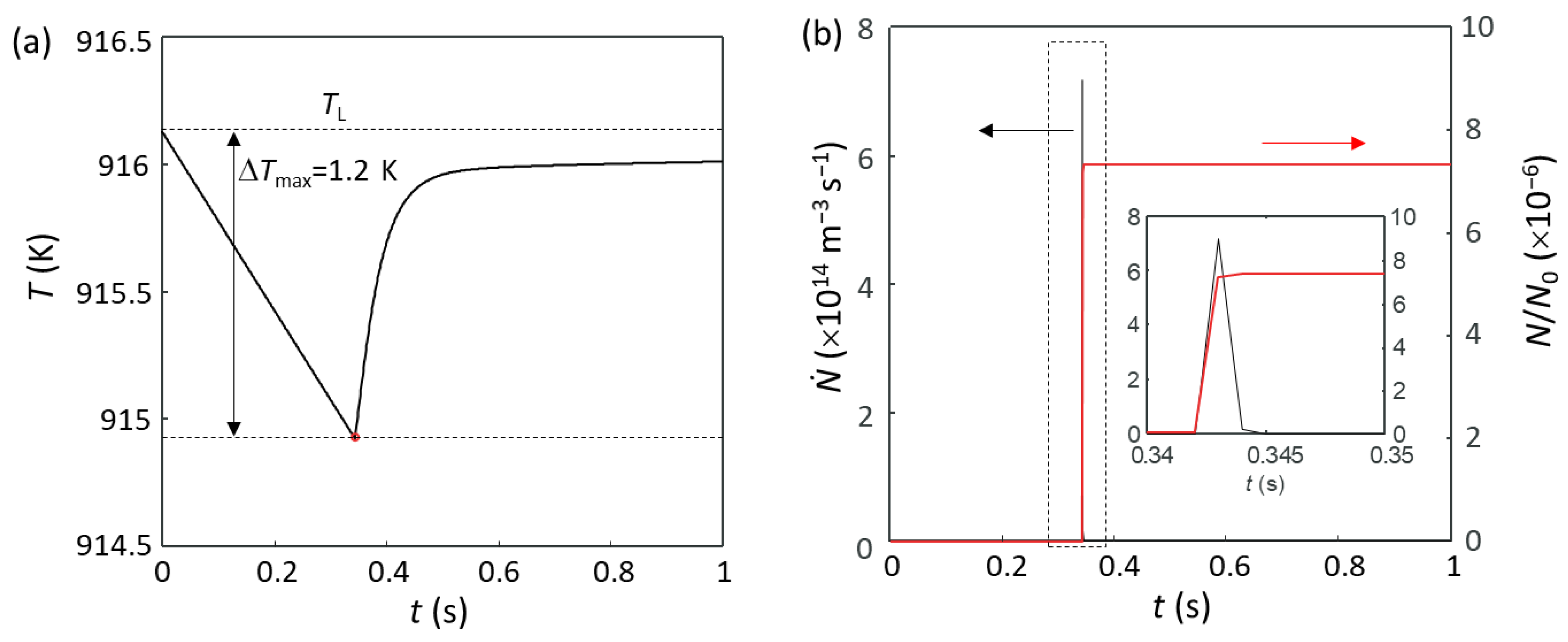
4.2. Explosive Grain Initiation (EGI)
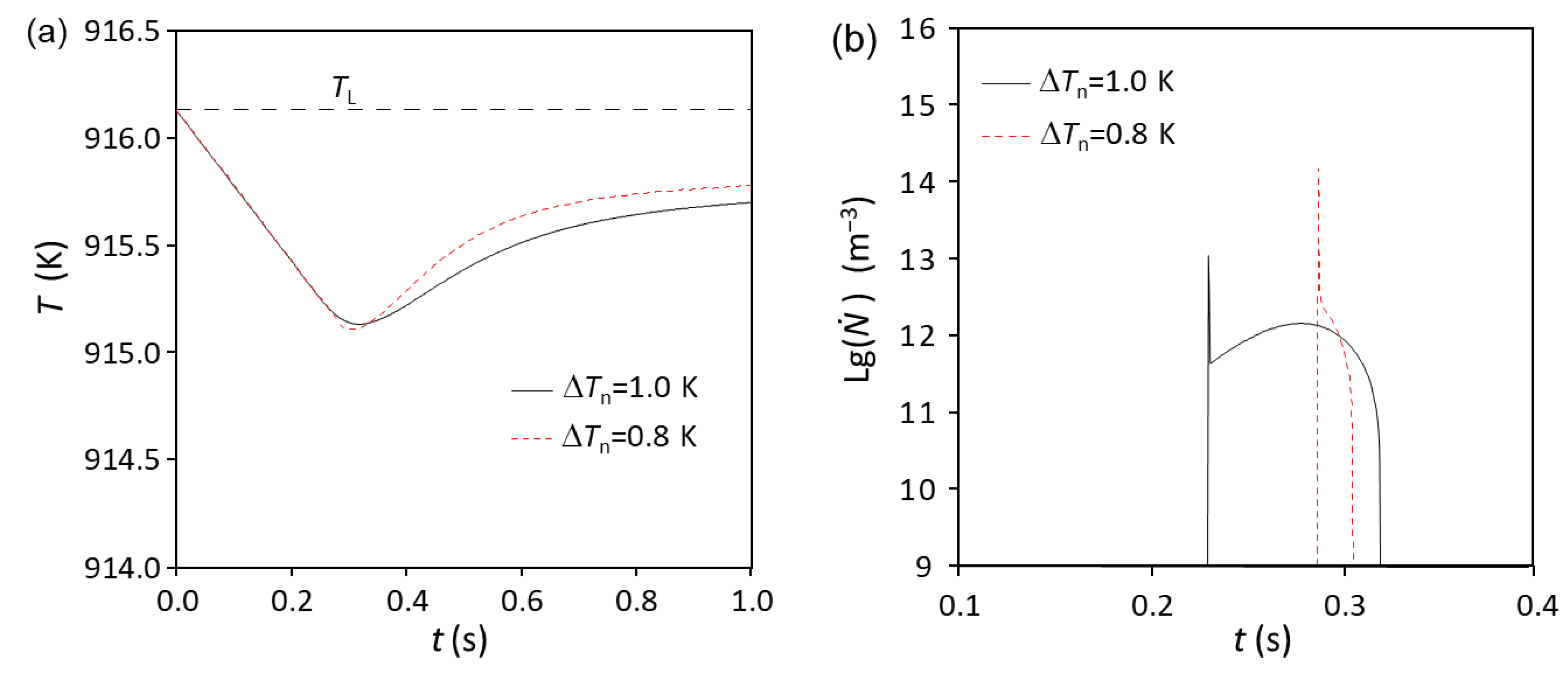
4.3. Hybrid Grain Initiation (HGI)
4.4. Grain Initiation Maps
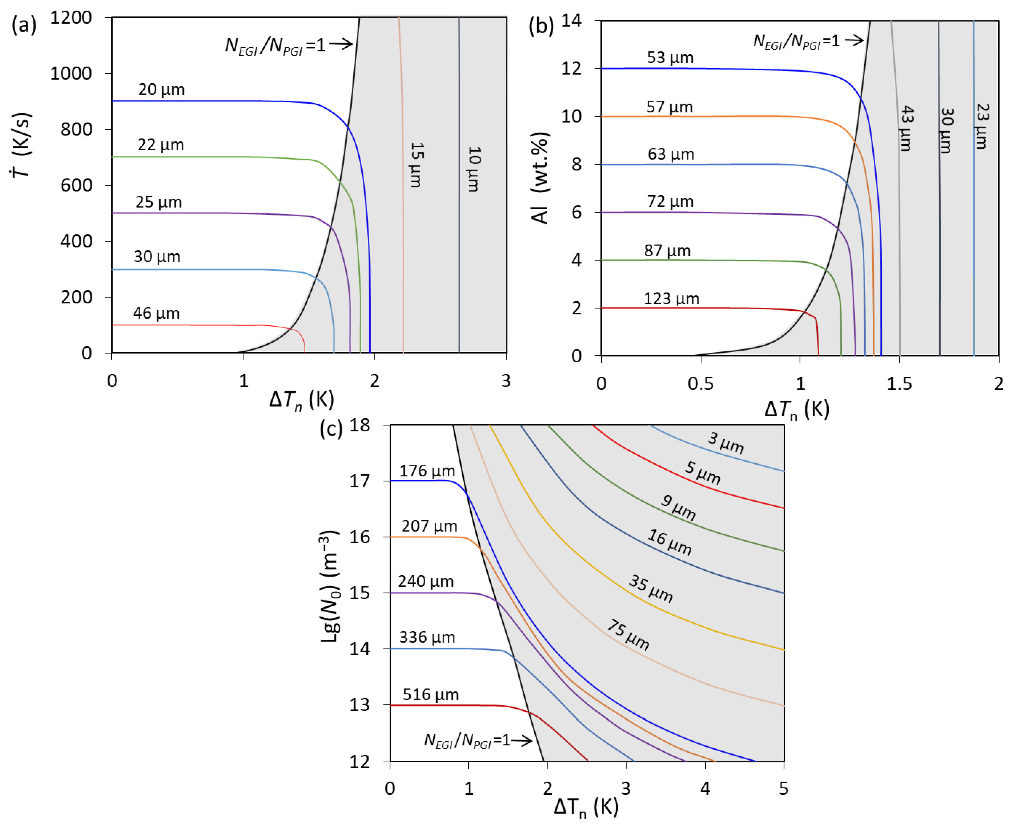
4.5. Grain refinement maps
- For a given alloy (fixed C0) containing potent nucleant particles (small ΔTn and thus more likely PGI) with a specified casting process (fixed Ṫ), the addition of more potent nucleant particles (smaller ΔTn) will not lead to further grain refinement (Figure 15a,b). This means that the nucleant particles for chemical inoculation need to be just more potent than the native particles to dominate the heterogeneous nucleation and grain initiation processes, but not more potent than that.
5. Grain Initiation Behaviour in Systems with Different Types of Nucleant Particles
6. Implications for Grain Refinement
6.1. TiB2-Based Grain Refiners Have Reached Their Limit for Grain Refinement
6.2. Native MgO Particles Offer a Great Opportunity for Grain Refinement of Mg-Alloy
6.3. Addition of More Potent Particles Than Native MgO Will Not Lead to Grain Refinement
6.4. Impeding Nucleation Delivers More Significant Grain Refinement
- Native oxide particles in Al alloys, including Al2O3, MgAl2O4 and MgO, are all moderately potent (probably more potent than the bare TiB2), the grain-refiner particles need to be more potent than the native oxide particles. This is why TiB2/Al3Ti-2DC particles are more effective for grain refinement of Al alloys than the bare TiB2 particles.
- TiB2 particles themselves are more likely to be less potent than the native oxides. This is why the bare TiB2 particles are not effective for grain-refining Al alloys.
- The formation of Al3Ti-2DC on the TiB2 (0 0 0 1) surface makes the TiB2/Al3Ti-2DC particles extremely potent (with a misfit of 0.09%) for heterogeneous nucleation of α-Al [17].
- Properly produced Al-Ti-B grain refiners contain TiB2 particles with the Al3Ti-2DC coating and appropriate size distribution and number density.
7. Summary
Author Contributions
Funding
Institutional Review Board Statement
Informed Consent Statement
Data Availability Statement
Conflicts of Interest
References
- McCartney, D.G. Grain refining of Al and its alloys using inoculants. Int. Mater. Rev. 1989, 34, 247–260. [Google Scholar] [CrossRef]
- Easton, M.; StJohn, D. Grain refinement of aluminum alloys: Part I. the nucleant and solute paradigms-a review of the literature. Metall. Mater. Trans. A 1999, 30, 1613–1623. [Google Scholar] [CrossRef]
- Murty, B.; Kori, S.A.; Chakraborty, M. Grain refinement of aluminium and its alloys by heterogeneous nucleation and alloying. Int. Mater. Rev. 2002, 47, 3–29. [Google Scholar] [CrossRef]
- Greer, A.L. Overview: Application of heterogeneous nucleation in grain-refining of metals. J. Chem. Phys. 2016, 145, 211704. [Google Scholar] [CrossRef] [PubMed]
- Easton, M.; Qian, M.; Prasad, A.; StJohn, D. Recent advances in grain refinement of light metals and alloys. Curr. Opin. Solid State Mater. Sci. 2016, 20, 13–24. [Google Scholar] [CrossRef]
- Gibbs, J.W. On the equilibrium of heterogeneous substances. Am. J. Sci. 1879, 16, 441–458. [Google Scholar] [CrossRef]
- Volmer, M.; Weber, A.Z. Nucleus formation in supersaturated systems. Z. Phys. Chem. 1926, 119, 277–301. [Google Scholar] [CrossRef]
- Becker, R.; Döring, W. Kinetic treatment of nucleation in supersaturated vapors. Ann. Phys. 1935, 24, 719–752. [Google Scholar] [CrossRef]
- Zeldovich, J.B. On the theory of new phase formation: Cavitation. Acta Physicochim. USSR 1943, 18, 1–22. [Google Scholar]
- Turnbull, D. Kinetics of heterogeneous nucleation. J. Chem. Phys. 1950, 18, 198–203. [Google Scholar] [CrossRef]
- Turnbull, D. Kinetics of solidification of supercooled liquid mercury droplets. J. Chem. Phys. 1952, 20, 411–424. [Google Scholar] [CrossRef]
- Kelton, K.F.; Greer, A.L. Nucleation in Condensed Matter: Applications in Materials and Biology; Pergamon: Oxford, UK, 2010. [Google Scholar]
- Ali, Y.; Qiu, D.; Jiang, B.; Pan, F.; Zhang, M.-X. Current research progress in grain refinement of cast magnesium alloys: A review article. J. Alloys Compd. 2015, 619, 639–651. [Google Scholar] [CrossRef]
- Zhang, M.-X.; Kelly, P.M.; Easton, M.A.; Taylor, J.A. Crystallographic study of grain refinement in aluminum alloys using the edge-to-edge matching model. Acta Mater. 2005, 53, 1427–1438. [Google Scholar] [CrossRef]
- Fu, H.; Qiu, D.; Zhang, M.; Wang, H.; Kelly, P.; Taylor, J. The development of a new grain refiner for magnesium alloys using the edge-to-edge model. J. Alloys Compd. 2008, 456, 390–394. [Google Scholar] [CrossRef]
- Jiang, B.; Qiu, D.; Zhang, M.X.; Ding, P.D.; Gao, L. A new approach to grain refinement of an Mg-Li-Al cast alloy. J Alloys Compd. 2010, 492, 95–98. [Google Scholar] [CrossRef]
- Fan, Z.; Wang, Y.; Zhang, Y.; Qin, T.; Zhou, X.R.; Thompson, G.E.; Pennycook, T.; Hashimotob, T. Grain refining mechanism in the Al/Al-Ti-B system. Acta Mater. 2015, 84, 292–304. [Google Scholar] [CrossRef]
- Fan, Z.; Gao, F.; Wang, Y.; Men, H.; Zhou, L. Effect of solutes on grain refinement. Prog. Mater. Sci. 2022, 123, 100809. [Google Scholar] [CrossRef]
- The Future Liquid Metal Engineering Hub: Report (2015–2021). Available online: https://www.lime.ac.uk/blog/2021-annual-report-published (accessed on 4 October 2022).
- Fan, Z.; Gao, F.; Jiang, B.; Que, Z. Impeding nucleation for more significant grain refinement. Sci. Rep. 2020, 10, 9448. [Google Scholar] [CrossRef]
- Men, H.; Fan, Z. Prenucleation induced by crystalline substrates. Metall. Mater. Trans. A 2018, 49, 2766–2777. [Google Scholar] [CrossRef]
- Jiang, B.; Men, H.; Fan, Z. Atomic ordering in the liquid adjacent to an atomically rough solid surface. Comput. Mater. Sci. 2018, 153, 73–81. [Google Scholar] [CrossRef]
- Fang, C.M.; Men, H.; Fan, Z. Effect of substrate chemistry on prenucleation. Metall. Mater. Trans. A 2018, 49, 6231–6242. [Google Scholar] [CrossRef]
- Fang, C.M.; Fan, Z. Prenucleation at the interface between MgO and liquid magnesium: An ab initio molecular dynamics study. Metall. Mater. Trans. A 2020, 51, 788–797. [Google Scholar] [CrossRef]
- Fang, C.M.; Fan, Z. Prenucleation at the liquid-Al/α-Al2O3 and the liquid-Al/MgO interfaces. Comp. Mater. Sci. 2020, 171, 109258. [Google Scholar] [CrossRef]
- Fang, C.M.; Fan, Z. Atomic ordering at the liquid-Al/MgAl2O4 interfaces from ab initio molecular dynamics simulations. Metall. Mater. Trans. A 2020, 51, 6318–6326. [Google Scholar] [CrossRef]
- Fang, C.; Yasmin, S.; Fan, Z. Interfacial interaction and prenucleation at liquid-Al/γ-Al2O3 {1 1 1} interfaces. J. Phys. Comm. 2021, 5, 015007. [Google Scholar] [CrossRef]
- Men, H.; Fang, C.; Fan, Z. Prenucleation at the liquid/substrate interface: An overview. Metals 2022, 12, 1704. [Google Scholar] [CrossRef]
- Fan, Z. An epitaxial model for heterogeneous nucleation on potent substrates. Metall. Mater. Trans. A 2013, 44, 1409–1418. [Google Scholar] [CrossRef]
- Fan, Z.; Men, H. A molecular dynamics study of heterogeneous nucleation in generic liquid/substrate systems with positive lattice misfit. Mater. Res. Express 2020, 7, 126501. [Google Scholar] [CrossRef]
- Fan, Z.; Men, H.; Wang, Y.; Que, Z. A new atomistic mechanism for heterogeneous nucleation in the systems with negative lattice misfit: Creating a 2D template for crystal growth. Metals 2021, 11, 478. [Google Scholar] [CrossRef]
- Fan, Z.; Men, H. An overview on atomistic mechanisms of heterogeneous nucleation. Metals 2022, 12, 1547. [Google Scholar] [CrossRef]
- Fan, Z.; Men, H. Heterogeneous nucleation and grain initiation on a single substrate. Metals 2022, 12, 1454. [Google Scholar] [CrossRef]
- Fan, Z. Heterogeneous nucleation, grain initiation and grain refinement of Mg-Alloys. In Proceedings of the 11th International Conference on Magnesium Alloys and Their Applications, Beaumont Estate, Old Windsor, UK, 24–27 July 2018; pp. 7–17. [Google Scholar]
- Fan, Z.; Lu, S.Z. A simple model for spherical growth in alloy solidification. IOP Conf. Ser. Mater. Sci. Eng. 2016, 117, 012016. [Google Scholar] [CrossRef]
- Yonemura, M.; Osuki, T.; Terasaki, H.; Komizo, Y.; Sato, M.; Kitano, A. In-situ observation for weld solidification in stainless steels using time-resolved X-ray diffraction. Mater. Trans. 2006, 47, 310–316. [Google Scholar] [CrossRef]
- Yonemura, M.; Osuki, T.; Terasaki, H.; Komizo, Y.; Sato, M.; Toyokawa, H. Two-dimensional time-resolved X-ray diffraction study of directional solidification in steels. Mater. Trans. 2006, 47, 2292–2298. [Google Scholar] [CrossRef][Green Version]
- Yonemura, M.; Osuki, T.; Terasaki, H.; Komizo, Y.; Sato, M.; Toyokawa, H.; Nozaki, A. Two-dimensional time-resolved x-ray diffraction study of dual phase rapid solidification in steels. J. Appl. Phys. 2010, 107, 013523. [Google Scholar] [CrossRef]
- Wang, Y.; Wang, S.; Que, Z.; Fang, C.; Hashimoto, T.; Zhou, X.; Ramasse, Q.M.; Fan, Z. Manipulating nucleation potency of substrates by interfacial segregation: An overview. Metals 2022, 12, 1636. [Google Scholar] [CrossRef]
- Wang, Y.; Fang, C.; Zhou, L.; Hashimoto, T.; Zhou, X.; Ramasse, Q.; Fan, Z. Mechanism for Zr poisoning of Al-Ti-B based grain refiners. Acta Mater. 2019, 164, 428–439. [Google Scholar] [CrossRef]
- Greer, A.L.; Bunn, A.M.; Tronche, A.; Evans, P.V.; Bristow, D.J. Modelling of inoculation of metallic melts: Application to grain refinement of Al by Al-Ti-B. Acta Mater. 2000, 48, 2823–2835. [Google Scholar] [CrossRef]
- Cantor, B. Heterogeneous nucleation and adsorption. Philos. Trans. R. Soc. Lond. Ser. A Math. Phys. Eng. Sci. 2003, 361, 409–417. [Google Scholar] [CrossRef]
- Young, T. III. An essay on the cohesion of fluids. Philos. Trans. R. Soc. Lond. 1805, 95, 65–87. [Google Scholar] [CrossRef]
- Kim, W.; Cantor, B. Solidification behaviour of Pb droplets embedded in a Cu matrix. Acta Metall. Mater. 1992, 40, 3339–3347. [Google Scholar] [CrossRef]
- Kim, W.; Cantor, B. Heterogeneous nucleation of Al2Cu in Al-Cu eutectic liquid droplets embedded in an al matrix. Acta Metall. Mater. 1994, 42, 3045–3053. [Google Scholar] [CrossRef]
- Turnbull, D.; Vonnegut, B. Nucleation catalysis. Ind. Eng. Chem. 1952, 44, 1292–1298. [Google Scholar] [CrossRef]
- Quested, T.; Greer, A. The effect of the size distribution of inoculant particles on as-cast grain size in aluminium alloys. Acta Mater. 2004, 52, 3859–3868. [Google Scholar] [CrossRef]
- Van Ende, M.-A.; Guo, M.; Zinngrebe, E.; Blanpain, B.; Jung, I.-H. Evolution of non-metallic inclusions in secondary steelmaking: Learning from inclusion size distributions. ISIJ Int. 2013, 53, 1974–1982. [Google Scholar] [CrossRef]
- Fan, Z.; Gao, F.; Zhou, L.; Lu, S.Z. A new concept for growth restriction during solidification. Acta Mater. 2018, 152, 248–257. [Google Scholar] [CrossRef]
- Men, H.; Jiang, B.; Fan, Z. Mechanisms of grain refinement by intensive shearing of AZ91 alloy melt. Acta Mater. 2010, 58, 6526–6534. [Google Scholar] [CrossRef]
- Wang, Y.; Fan, Z.; Zhou, X.; Thompson, G. Characterisation of magnesium oxide and its interface with α-Mg in Mg–Al-based alloys. Philos. Mag. Lett. 2011, 91, 516–529. [Google Scholar] [CrossRef]
- Wang, S.; Wang, Y.; Ramasse, Q.; Fan, Z. The nature of native MgO in Mg and its alloys. Metall. Mater. Trans. A 2020, 51, 2957–2974. [Google Scholar] [CrossRef]
- Peng, G.S.; Wang, Y.; Fan, Z. Competitive heterogeneous nucleation between Zr and MgO particles in commercial purity magnesium. Metall. Mater. Trans. A 2018, 49, 2182–2192. [Google Scholar] [CrossRef]
- Gao, F.; Fan, Z. Competition for nucleation and grain initiation during solidification. Metals 2022, 12, 1512. [Google Scholar] [CrossRef]
- Cui, X.; Wu, Y.; Gao, T.; Liu, X. Preparation of a novel Al–3B–5Sr master alloy and its modification and refinement performance on A356 alloy. J. Alloys Compd. 2014, 615, 906–911. [Google Scholar] [CrossRef]
- Wang, T.; Chen, Z.; Fu, H.; Xu, J.; Fu, Y.; Li, T. Grain refining potency of Al–B master alloy on pure aluminum. Scr. Mater. 2011, 64, 1121–1124. [Google Scholar] [CrossRef]
- Bolzoni, L.; Babu, N.H. Towards industrial Al-Nb-B master alloys for grain refining Al-Si alloys. J. Mater. Res. Technol. 2019, 8, 5631–5638. [Google Scholar] [CrossRef]
- Zhao, C.; Li, Y.; Xu, J.; Luo, Q.; Jiang, Y.; Xiao, Q.; Li, Q. Enhanced grain refinement of Al-Si alloys by novel Al-V-B refiners. J. Mater. Sci. Technol. 2021, 94, 104–112. [Google Scholar] [CrossRef]
- Chang, W.; Shen, Y.; Su, Y.; Zhao, L.; Zhang, Y.; Chen, X.; Sun, M.; Dai, J.; Zhai, Q. Grain refinement of AZ91 magnesium alloy induced by Al-V-B master alloy. Metals 2019, 9, 1333. [Google Scholar] [CrossRef]
- Liao, H.; Zhan, M.; Li, C.; Ma, Z.; Du, J. Grain refinement of Mg-Al alloys inoculated by MgAl2O4 powder. J. Magnes. Alloy. 2021, 9, 1211–1219. [Google Scholar] [CrossRef]
- Zhang, J.; Zhou, G.; Jiang, B.; Luo, A.; Zhao, X.; Tang, A.; Pan, F. A novel Mg-CaMgSn master alloy for grain refinement in Mg-Al-based alloys. Metals 2021, 11, 1722. [Google Scholar] [CrossRef]
- Fan, W.; Bai, Y.; Zuo, G.; Hao, H. The control of NbB2 particles in Al-NbB2 master alloy and its effect on grain refinement of AZ91 magnesium alloy. Mater. Sci. Eng. A 2022, 854, 143808. [Google Scholar] [CrossRef]
- Fan, W.; Bai, Y.; Li, J.; Li, G.; Hao, H. Grain refinement of Mg-Al alloys by a new Al-4.1V-1.7B refiner containing sole VB2 particles. J. Mater. Eng. Perform. 2022, 1–12. [Google Scholar] [CrossRef]
- Zhou, L.; Gao, F.; Peng, G.; Alba-Baena, N. Effect of potent TiB2 addition levels and impurities on the grain refinement of Al. J. Alloys Compd. 2016, 689, 401–407. [Google Scholar] [CrossRef]
- Gao, F.; Fan, Z. Effect of nucleant particle agglomeration on grain size. Metall. Mater. Trans. A 2022, 53, 810–822. [Google Scholar] [CrossRef]
- Sin, S.L.; Elsayed, A.; Ravindran, C. Inclusions in magnesium and its alloys: A review. Int. Mater. Rev. 2013, 58, 419–436. [Google Scholar] [CrossRef]
- Bakke, P.; Karlsen, D.O. Inclusion assessment in magnesium and magnesium base alloys. SAE Trans. 1997, 106, 314–326. [Google Scholar] [CrossRef]
- Fan, Z.; Wang, Y.; Xia, M.; Arumuganathar, S. Enhanced heterogeneous nucleation in AZ91D alloy by intensive melt shearing. Acta Mater. 2009, 57, 4891–4901. [Google Scholar] [CrossRef]
- StJohn, D.H.; Easton, M.; Qian, M.; Taylor, J.A. Grain refinement of magnesium alloys: A review of recent research, theoretical developments, and their application. Metall. Mater. Trans. A 2012, 44, 2935–2949. [Google Scholar] [CrossRef]
- Karakulak, E. A review: Past, present and future of grain refining of magnesium castings. J. Magnes. Alloy. 2019, 7, 355–369. [Google Scholar] [CrossRef]
- Tzamtzis, S.; Zhang, H.; Babu, N.H.; Fan, Z. Microstructural refinement of AZ91D die-cast alloy by intensive shearing. Mater. Sci. Eng. A 2010, 527, 2929–2934. [Google Scholar] [CrossRef]
- Patel, J.B.; Lloyd, P.; Peng, G.; Fan, Z. Development of the new high shear technology for continuous processing of Mg-alloys for ingot casting. In Magnesium Technology; Singh, A., Solanki, K., Manuel, M.V., Neelameggham, N.R., Eds.; Springer: Cham, Switzerland, 2016; pp. 29–33. [Google Scholar]
- Zuo, Y.B.; Jiang, B.; Zhang, Y.; Fan, Z. Grain refinement of DC cast magnesium alloys with intensive melt shearing. IOP Conf. Ser. Mater. Sci. Eng. 2012, 27, 012043. [Google Scholar] [CrossRef]
- Patel, J.B.; Yang, X.; Mendis, C.L.; Fan, Z. Melt conditioning of light metals by application of high shear for improved microstructure and defect control. JOM 2017, 69, 1071–1076. [Google Scholar] [CrossRef]




















| Parameters (Symbol, Unit) | Al-Cu | Mg-Al |
|---|---|---|
| Partition coefficient (k) | 0.13 [49] | 0.37 [20] |
| Liquidus slope (m, K(wt pct)−1) | −2.5 [49] | −6.87 [20] |
| Heat capacity (cpv, Jm−3K−1) | 2.58 × 106 [47] | 2.59 × 106 [20] |
| Enthalpy of fusion (∆HV, Jm−3) | 9.5 × 108 [47] | 6.75 × 108 [20] |
| Diffusion coefficient (D, m2s−1) | 2.52 × 10−9 [47] | 2.7 × 10−9 [20] |
| Gibbs-Thompson coefficient (Γ, Km) | 1.42 × 10−7 [47] | 1.48 × 10−7 [20] |
| Volume (V0, m3) | 1 × 10−6 | 1 × 10−6 |
| Cooling rate (K/s) | 3.5 | 3.5 |
Publisher’s Note: MDPI stays neutral with regard to jurisdictional claims in published maps and institutional affiliations. |
© 2022 by the authors. Licensee MDPI, Basel, Switzerland. This article is an open access article distributed under the terms and conditions of the Creative Commons Attribution (CC BY) license (https://creativecommons.org/licenses/by/4.0/).
Share and Cite
Fan, Z.; Gao, F. Grain Initiation and Grain Refinement: An Overview. Metals 2022, 12, 1728. https://doi.org/10.3390/met12101728
Fan Z, Gao F. Grain Initiation and Grain Refinement: An Overview. Metals. 2022; 12(10):1728. https://doi.org/10.3390/met12101728
Chicago/Turabian StyleFan, Zhongyun, and Feng Gao. 2022. "Grain Initiation and Grain Refinement: An Overview" Metals 12, no. 10: 1728. https://doi.org/10.3390/met12101728
APA StyleFan, Z., & Gao, F. (2022). Grain Initiation and Grain Refinement: An Overview. Metals, 12(10), 1728. https://doi.org/10.3390/met12101728

