Volatile Resistive Switching Characteristics of Pt/HfO2/TaOx/TiN Short-Term Memory Device
Abstract
:1. Introduction
2. Materials and Methods
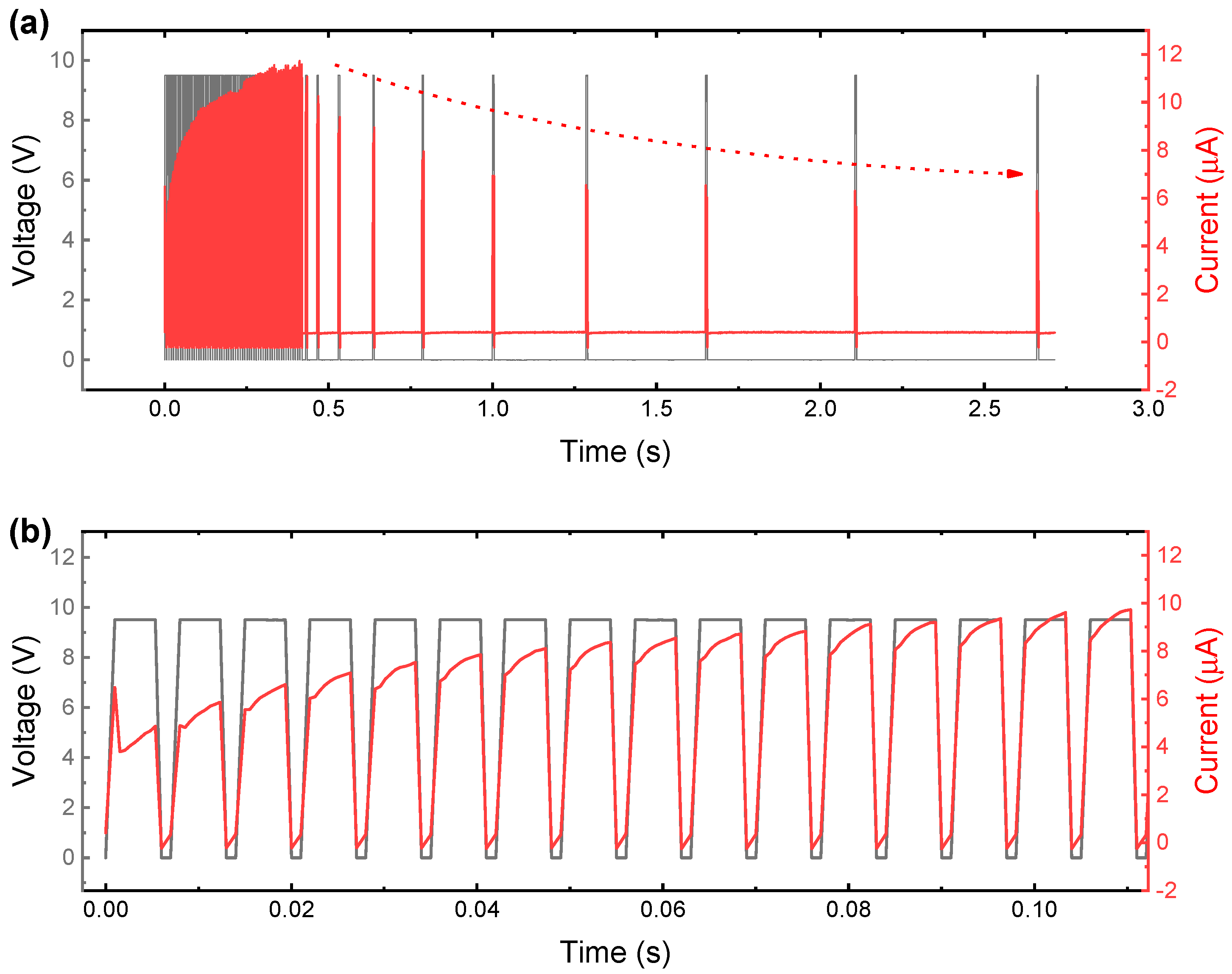
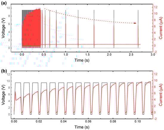
3. Results and Discussion
4. Conclusions
Supplementary Materials
Author Contributions
Funding
Institutional Review Board Statement
Informed Consent Statement
Data Availability Statement
Conflicts of Interest
References
- Waser, R.; Dittmann, R.; Staikov, G.; Szot, K. Redox-Based Resistive Switching Memories—Nanoionic Mechanisms, Prospects, and Challenges. Adv. Mater. 2009, 21, 2632–2663. [Google Scholar] [CrossRef]
- Fong, S.W.; Neumann, C.M.; Wong, H.S.P. Phase-Change Memory—Towards a Storage-Class Memory. IEEE Trans. Electron. Mater. 2017, 64, 4374–4385. [Google Scholar] [CrossRef]
- Zhao, W.S.; Zhang, Y.; Devolder, Y.; Klein, J.O.; Ravelosona, D.; Chappert, C.; Mazoyer, P. Failure and reliability analysis of STT-MRAM. Microelectron. Rel. 2012, 52, 1848–1852. [Google Scholar] [CrossRef]
- Lee, M.J.; Lee, C.B.; Lee, D.; Lee, S.R.; Chang, M.; Hur, J.H.; Kim, Y.B.; Kim, C.J.; Seo, D.H.; Seo, S.; et al. A fast, high endurance and scalable non-volatile memory device made from asymmetric Ta2O5−x/TaO2−x bilayer structures. Nat. Mat. 2011, 10, 625–630. [Google Scholar] [CrossRef]
- Wu, M.C.; Lin, Y.-W.; Jang, W.-Y.; Lin, C.-H.; Tseng, T.-Y. Low-power and highly reliable multilevel operation in ZrO2 1T1R RRAM. IEEE Electron. Device Lett. 2011, 32, 1026–1028. [Google Scholar] [CrossRef]
- Wang, Y.; Liu, Q.; Long, S.; Wang, W.; Wang, Q.; Zhang, M.; Zhang, S.; Li, Y.; Zuo, Q.; Yang, J.; et al. Investigation of resistive switching in Cu-doped HfO2 thin film for multilevel non-volatile memory applications. Nanotechnology 2010, 21, 045202. [Google Scholar] [CrossRef]
- Ryu, H.; Choi, J.; Kim, S. Voltage Amplitude-Controlled Synaptic Plasticity from Complementary Resistive Switching in Alloying HfOx with AlOx-Based RRAM. Metals 2020, 10, 1410. [Google Scholar] [CrossRef]
- Su, T.-H.; Lee, K.-J.; Wang, L.-W.; Chang, Y.-C.; Wang, Y.-H. Resistive Switching Behavior of Magnesium Zirconia Nickel Nanorods. Materials 2020, 13, 2755. [Google Scholar] [CrossRef]
- Yang, J.; Ryu, H.; Kim, S. Resistive and synaptic properties modulation by electroforming polarity in CMOS-compatible Cu/HfO2/Si device. Chaos Solitons Fractals 2021, 145, 110783. [Google Scholar] [CrossRef]
- Mahata, C.; Kim, S. Modified resistive switching performance by increasing Al concentration in HfO2 on transparent indium tin oxide electrode. Ceram. Inter. 2021, 47, 1199–1207. [Google Scholar] [CrossRef]
- Ryu, H.; Kim, S. Irregular Resistive Switching Behaviors of Al2O3-Based Resistor with Cu Electrode. Metals 2021, 11, 653. [Google Scholar] [CrossRef]
- Chand, U.; Huang, K.C.; Huang, C.Y.; Tseng, T.Y. Mechanism of nonlinear switching in HfO2-based crossbar RRAM with inserting large bandgap tunneling barrier layer. IEEE Trans. Electron. Dev. 2015, 62, 3665–3670. [Google Scholar] [CrossRef]
- Ryu, H.; Kim, S. Gradually Tunable Conductance in TiO2/Al2O3 Bilayer Resistors for Synaptic Device. Metals 2021, 11, 440. [Google Scholar] [CrossRef]
- Zhang, Z.; Wang, F.; Hu, K.; She, Y.; Song, S.; Song, Z.; Zhang, K. Improvement of Resistive Switching Performance in Sulfur-Doped HfOx-Based RRAM. Materials 2021, 14, 3330. [Google Scholar] [CrossRef]
- Yen, T.-J.; Chin, A.; Gritsenko, V. Improved Device Distribution in High-Performance SiNx Resistive Random Access Memory via Arsenic Ion Implantation. Nanomaterials 2021, 11, 1401. [Google Scholar] [CrossRef]
- Simanjuntak, F.M.; Ohno, T.; Chandrasekaran, S.; Tseng, T.Y.; Samukawa, S. Neutral oxygen irradiation enhanced forming-less ZnO-based transparent analog memristor devices for neuromorphic computing applications. Nanotechnology 2020, 31, 26LT01. [Google Scholar] [CrossRef]
- Chang, L.Y.; Simanjuntak, F.M.; Hsu, C.L.; Chandrasekaran, S.; Tseng, T.Y. Suboxide interface induced digital-to-analog switching transformation in all Ti-based memristor devices. Appl. Phys. Lett. 2020, 117, 073504. [Google Scholar] [CrossRef]
- Ryu, H.; Kim, S. Self-Rectifying Resistive Switching and Short-Term Memory Characteristics in Pt/HfO2/TaOx/TiN Artificial Synaptic Device. Nanomaterial 2020, 10, 2159. [Google Scholar] [CrossRef]
- Park, J.H.; Jeon, D.S.; Kim, T.G. Ti-doped GaOx Resistive Switching Memory with Self-rectifying Behavior by using NbOx/Pt Bilayers. ACS Appl. Mater. Interfaces 2017, 9, 43336–43342. [Google Scholar] [CrossRef]
- Wang, W.; Wang, R.; Shi, T.; Wie, J.; Cao, R.; Zhao, X.; Wu, Z.; Zhang, X.; Lu, J.; Xi, H.; et al. A Self-Rectification and Quasi-Linear Analogue Memristor for Artificial Neural Networks. IEEE Electron Device Lett. 2019, 40, 1407–1410. [Google Scholar] [CrossRef]
- Yang, J.J.; Strukov, D.B.; Stewart, D.R. Memristive devices for computing. Nat. Nanotechnol. 2013, 8, 13–24. [Google Scholar] [CrossRef]
- Zhu, J.; Zhang, T.; Yang, Y.; Huang, R. A comprehensive review on emerging artificial neuromorphic devices. Appl. Phys. Rev. 2020, 7, 011312. [Google Scholar] [CrossRef]
- Zhong, Y.; Tang, J.; Li, X.; Gao, B.; Qian, H.; Wu, H. Dynamic memristor-based reservoir computing for high-efficiency temporal signal processing. Nat. Commun. 2021, 12, 408. [Google Scholar] [CrossRef]
- Du, C.; Cai, F.; Zidan, M.A.; Ma, W.; Lee, S.H.; Lu, W.D. Reservoir computing using dynamic memristors for temporal information processing. Nat. Commun. 2017, 8, 2204. [Google Scholar] [CrossRef] [PubMed]
- Yang, J.; Cho, H.; Ryu, H.; Ismail, M.; Mahata, C.; Kim, S. Tunable Synaptic Characteristics of a Ti/TiO2/Si Memory Device for Reservoir Computing. ACS Appl. Mater. Interfaces 2021, 13, 33244–33252. [Google Scholar] [CrossRef] [PubMed]
- Sawa, A. Resistive switching in transition metal oxides. Mater. Today 2008, 11, 28–36. [Google Scholar] [CrossRef]
- Yoon, J.H.; Song, S.J.; Yoo, I.H.; Seok, J.Y.; Yoon, K.J.; Kwon, D.E.; Park, T.H.; Hwang, C.S. Highly Uniform, Electroforming-Free, and Self-Rectifying Resistive Memory in the Pt/Ta2O5/HfO2-x/TiN Structure. Adv. Funct. Mater. 2014, 24, 5086–5095. [Google Scholar] [CrossRef]
- Wang, W.; Wang, M.; Ambrosi, E.; Bricalli, A.; LAudato, M.; Sun, Z.; Chen, X.; Ielmini, D. Surface diffusion-limited lifetime of silver and copper nanofilaments in resistive switching devices. Nat. Commun. 2019, 10, 81. [Google Scholar] [CrossRef] [PubMed] [Green Version]
- Cho, H.; Kim, S. Enhancing Short-Term Plasticity by Inserting a Thin TiO2 Layer in WOx-Based Resistive Switching Memory. Coatings 2020, 10, 908. [Google Scholar] [CrossRef]
- Cho, H.; Kim, S. Short-Term Memory Dynamics of TiN/Ti/TiO2/SiOx/Si Resistive Random Access Memory. Nanomaterials 2020, 10, 1821. [Google Scholar] [CrossRef]
- Rahmani, M.K.; Kim, M.-H.; Hussain, F.; Abbas, Y.; Ismail, M.; Hong, K.; Mahata, C.; Choi, C.; Park, B.-G.; Kim, S. Memristive and Synaptic Characteristics of Nitride-Based Heterostructures on Si Substrate. Nanomaterials 2020, 10, 994. [Google Scholar] [CrossRef] [PubMed]





Publisher’s Note: MDPI stays neutral with regard to jurisdictional claims in published maps and institutional affiliations. |
© 2021 by the authors. Licensee MDPI, Basel, Switzerland. This article is an open access article distributed under the terms and conditions of the Creative Commons Attribution (CC BY) license (https://creativecommons.org/licenses/by/4.0/).
Share and Cite
Ryu, H.; Kim, S. Volatile Resistive Switching Characteristics of Pt/HfO2/TaOx/TiN Short-Term Memory Device. Metals 2021, 11, 1207. https://doi.org/10.3390/met11081207
Ryu H, Kim S. Volatile Resistive Switching Characteristics of Pt/HfO2/TaOx/TiN Short-Term Memory Device. Metals. 2021; 11(8):1207. https://doi.org/10.3390/met11081207
Chicago/Turabian StyleRyu, Hojeong, and Sungjun Kim. 2021. "Volatile Resistive Switching Characteristics of Pt/HfO2/TaOx/TiN Short-Term Memory Device" Metals 11, no. 8: 1207. https://doi.org/10.3390/met11081207
APA StyleRyu, H., & Kim, S. (2021). Volatile Resistive Switching Characteristics of Pt/HfO2/TaOx/TiN Short-Term Memory Device. Metals, 11(8), 1207. https://doi.org/10.3390/met11081207
