A Novel Non-Equiatomic (W35Ta35Mo15Nb15)95Ni5 Refractory High Entropy Alloy with High Density Fabricated by Powder Metallurgical Process
Abstract
1. Introduction
2. Materials and Methods
2.1. Synthesis of RHEA
2.2. Characterization
3. Results and Discussion
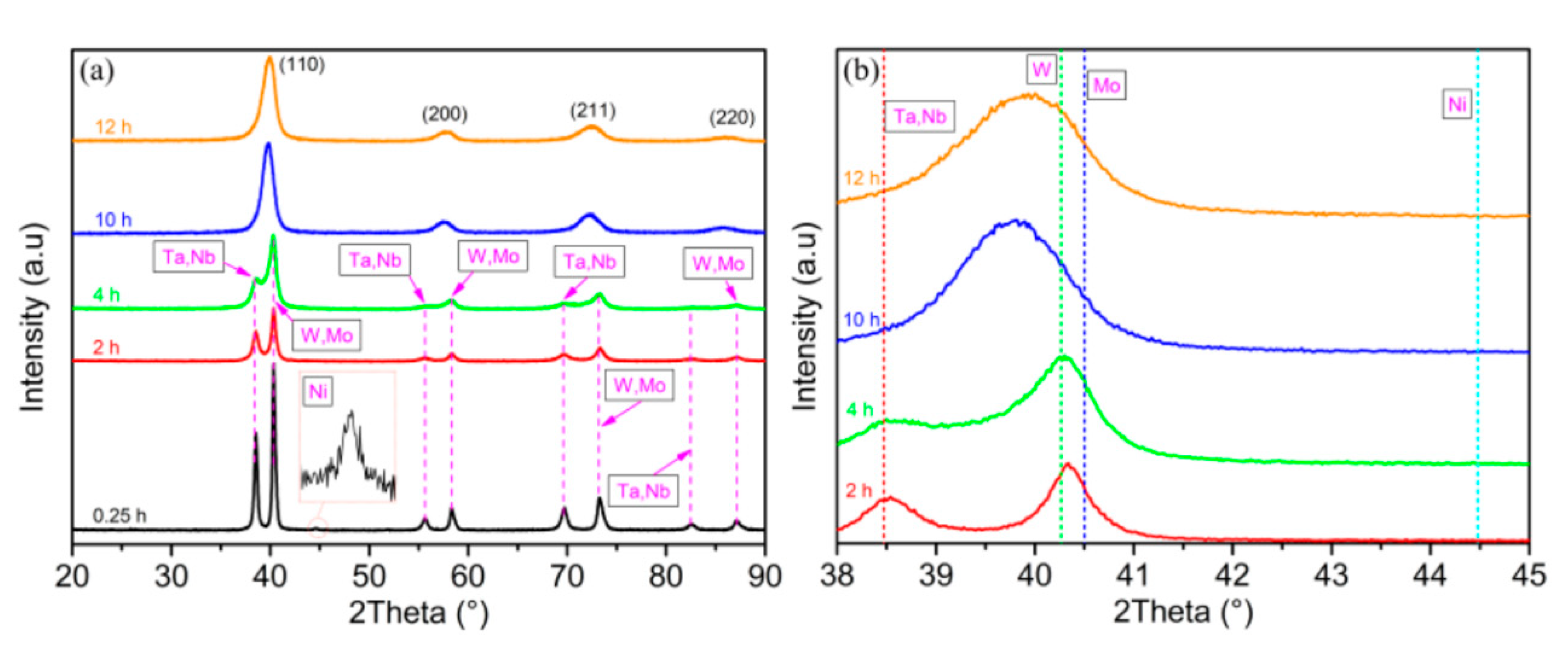
3.1. Alloying Process
3.2. Phase and Microstructure of the Bulk RHEA
3.3. Mechanical Properties
4. Conclusions
Author Contributions
Funding
Conflicts of Interest
References
- Leek, H.; Chas, I.; Ryuh, J.; Hong, S.H. Effect of two-stage sintering process on microstructure and mechanical properties of ODS tungsten heavy alloy. Mater. Sci. Eng. A 2007, 458, 323–329. [Google Scholar]
- Zhang, Y.; Yang, X.; Liaw, P.K. Alloy Design and Properties Optimization of High-Entropy Alloys. JOM 2012, 64, 830–838. [Google Scholar] [CrossRef]
- Senkovo, N.; Miracled, B.; Chaputk, J. Development and exploration of refractory high entropy alloys—A review. J. Mater. Res. 2018, 33, 3092–3128. [Google Scholar] [CrossRef]
- Li, Z.; Pradeep, K.G.; Deng, Y.; Raabe, D.; Tasan, C.C. Metastable high-entropy dual phase alloys overcome the strength-ductility trade-off. Nature 2016, 534, 227–230. [Google Scholar] [CrossRef] [PubMed]
- Li, B.S.; Wang, Y.P.; Ren, M.X.; Yang, C.; Fu, H.Z. Effects of Mn, Ti and V on the microstructure and properties of AlCrFeCoNiCu high entropy alloy. Mater. Sci. Eng. A 2008, 498, 482–486. [Google Scholar] [CrossRef]
- Wang, G.; Liu, Q.; Yang, J.; Li, X.; Sui, X.; Gu, Y.; Liu, Y. Synthesis and thermal stability of a nanocrystalline MoNbTaTiV refractory high-entropy alloy via mechanical alloying. Int. J. Refract. Met. Hard Mater. 2019, 84, 104988. [Google Scholar] [CrossRef]
- Long, Y.; Liang, X.; Su, K.; Peng, H.; Li, X. A fine-grained NbMoTaWVCr refractory high-entropy alloy with ultra-high strength: Microstructural evolution and mechanical properties. J. Alloy Compd. 2019, 780, 607–617. [Google Scholar] [CrossRef]
- Liu, Y.; Lu, Y.; Zhang, Y.; Miao, W. Study of nickel’s effect on the synthesis of TiC during mechanical alloying. Powder Metall. Technol. 2007, 25, 96–98. (In Chinese) [Google Scholar]
- Kang, B.; Lee, J.; Ryu, H.J.; Hong, S.H. Ultra-high strength WNbMoTaV high-entropy alloys with fine grain structure fabricated by powder metallurgical process. Mater. Sci. Eng. A 2018, 712, 616–624. [Google Scholar] [CrossRef]
- Senkov, O.N.; Wilks, G.B.; Scott, J.M.; Miracle, D.B. Mechanical properties of Nb25Mo25Ta25W25 and V20Nb20Mo20Ta20W20 refractory high entropy alloys. Intermetallics 2011, 19, 698–706. [Google Scholar] [CrossRef]
- Cullity, B.D.; Stock, S.R. Elements of X-ray Diffraction, 3rd ed.; Prentice Hall: Upper Saddle River, NJ, USA, 2001. [Google Scholar]
- Chen, Y.L.; Hu, Y.H.; Hsieh, C.A.; Yeh, J.W.; Chen, S.K. Competition between elements during mechanical alloying in an octonary multi-principal-element alloy system. J. Alloy Compd. 2009, 481, 768–775. [Google Scholar] [CrossRef]
- Ji, W.; Wang, W.; Wang, H.; Zhang, J.; Wang, Y.; Zhang, F.; Fu, Z. Alloying behavior and novel properties of CoCrFeNiMn high-entropy alloy fabricated by mechanical alloying and spark plasma sintering. Intermetallics 2015, 56, 24–27. [Google Scholar] [CrossRef]
- Zak, A.K.; Majid, W.A.; Abrishami, M.E.; Yousefi, R. X-ray analysis of ZnO nanoparticles by WilliamsoneHall and sizeestrain plot methods. Solid State Sci. 2011, 13, 251–256. [Google Scholar]
- Williamson, G.K.; Hall, G.K. X-ray line broadening from filed aluminium and wolfram. Acta Metall. 1953, 1, 22–31. [Google Scholar] [CrossRef]
- Williamson, G.K.; Smallman, R.E. Dislocation densities in some annealed and cold-worked metals from measurements on the X-ray debye-scherrer spectrum. Philos. Mag. 1956, 1, 34–46. [Google Scholar] [CrossRef]
- Schliephake, D.; Medvede, A.E.; Imran, M.K.; Obert, S.; Fabijanic, D.; Heilmaier, M.; Molotinkov, A.; Wu, X.H. Precipitation behaviour and mechanical properties of a novel Al0.5MoTaTi complex concentrated alloy. Scr. Mater. 2019, 173, 16–20. [Google Scholar] [CrossRef]
- Yeh, J.W.; Chen, S.K.; Lin, S.J.; Gan, J.Y.; Chin, T.S.; Shun, T.T.; Tsau, C.H.; Chan, G.S.Y. Nanostructured high-entropy alloys with multiple principle elements: Novel alloy design concepts and outcomes. Adv. Eng. Mater. 2004, 6, 299–303. [Google Scholar] [CrossRef]
- Yang, X.; Zhang, Y. Prediction of high-entropy stabilized solid-solution in multi-component alloys. Mater. Chem. Phys. 2012, 132, 233–238. [Google Scholar] [CrossRef]
- Guo, S.; Ng, C.; Lu, J.; Liu, C.T. Effect of valence electron concentration on stability of fcc or bcc phase in high entropy alloys. J. Appl. Phys. 2011, 109, 645–647. [Google Scholar] [CrossRef]
- Lv, S.; Zu, Y.; Chen, G.; Fu, X.; Zhou, W. An ultra-high strength CrMoNbWTi-C high entropy alloy co-strengthened by dispersed refractory IM and UHTC phases. J. Alloy Compd. 2018, 788, 1256–1264. [Google Scholar] [CrossRef]
- Long, Y.; Zhang, H.; Wang, T.; Huang, X.; Li, Y.; Wu, J.; Chen, H. High-strength Ti–6Al–4V with ultrafine-grained structure fabricated by high energy ball milling and spark plasma sintering. Mater. Sci. Eng. A 2013, 585, 408–414. [Google Scholar] [CrossRef]
- Wei, Q.; Shen, Q.; Zhang, J.; Chen, B.; Luo, G.; Zhang, L. Microstructure and mechanical property of a novel ReMoTaW high-entropy alloy with high density. Int. J. Refract. Met. Hard Mater. 2018, 77, 8–11. [Google Scholar] [CrossRef]
- Guo, Z.; Zhang, A.; Han, J.; Meng, J. Effect of Si additions on microstructure and mechanical properties of refractory NbTaWMo high-entropy alloys. J. Mater. Sci. 2019, 54, 5844–5851. [Google Scholar] [CrossRef]











| Alloy | Process | Phase | σ0.2(MPa) | σmax(MPa) | εf(%) | Refs. |
|---|---|---|---|---|---|---|
| (W35Ta35Mo15Nb15)95Ni5 | MA+SPS (1700 °C) | bcc | ~2128 | ~2562 | 8.16 | This study |
| WTaMoNb | Arc melting | bcc | 1058 | 1211 | 1.5 | [10] |
| WTaMoNbV | Arc melting | bcc | 1246 | 1270 | 1.7 | [10] |
| WTaMoRe | Arc melting | bcc | - | 1451 | 5.69 | [23] |
| WTaMoNb | SPS | bcc | 1217 | 1499 | 3.8 | [24] |
| WTaMoNbSi0.25 | SPS | bcc | 1826 | 2548 | 10.5 | [24] |
| WTaMoNbSi0.5 | SPS | bcc | 1883 | 2454 | 5.8 | [24] |
Publisher’s Note: MDPI stays neutral with regard to jurisdictional claims in published maps and institutional affiliations. |
© 2020 by the authors. Licensee MDPI, Basel, Switzerland. This article is an open access article distributed under the terms and conditions of the Creative Commons Attribution (CC BY) license (http://creativecommons.org/licenses/by/4.0/).
Share and Cite
Duan, B.; Yu, Y.; Liu, X.; Wang, D.; Wu, Z. A Novel Non-Equiatomic (W35Ta35Mo15Nb15)95Ni5 Refractory High Entropy Alloy with High Density Fabricated by Powder Metallurgical Process. Metals 2020, 10, 1436. https://doi.org/10.3390/met10111436
Duan B, Yu Y, Liu X, Wang D, Wu Z. A Novel Non-Equiatomic (W35Ta35Mo15Nb15)95Ni5 Refractory High Entropy Alloy with High Density Fabricated by Powder Metallurgical Process. Metals. 2020; 10(11):1436. https://doi.org/10.3390/met10111436
Chicago/Turabian StyleDuan, Bohua, Yingrui Yu, Xinli Liu, Dezhi Wang, and Zhuangzhi Wu. 2020. "A Novel Non-Equiatomic (W35Ta35Mo15Nb15)95Ni5 Refractory High Entropy Alloy with High Density Fabricated by Powder Metallurgical Process" Metals 10, no. 11: 1436. https://doi.org/10.3390/met10111436
APA StyleDuan, B., Yu, Y., Liu, X., Wang, D., & Wu, Z. (2020). A Novel Non-Equiatomic (W35Ta35Mo15Nb15)95Ni5 Refractory High Entropy Alloy with High Density Fabricated by Powder Metallurgical Process. Metals, 10(11), 1436. https://doi.org/10.3390/met10111436

