Effect of True Strains in Isothermal abc Pressing on Mechanical Properties of Ti49.8Ni50.2 Alloy
Abstract
1. Introduction
2. Materials and Methods
3. Results
3.1. Martensite Transformation Temperatures and Phase States
3.2. Microstructure
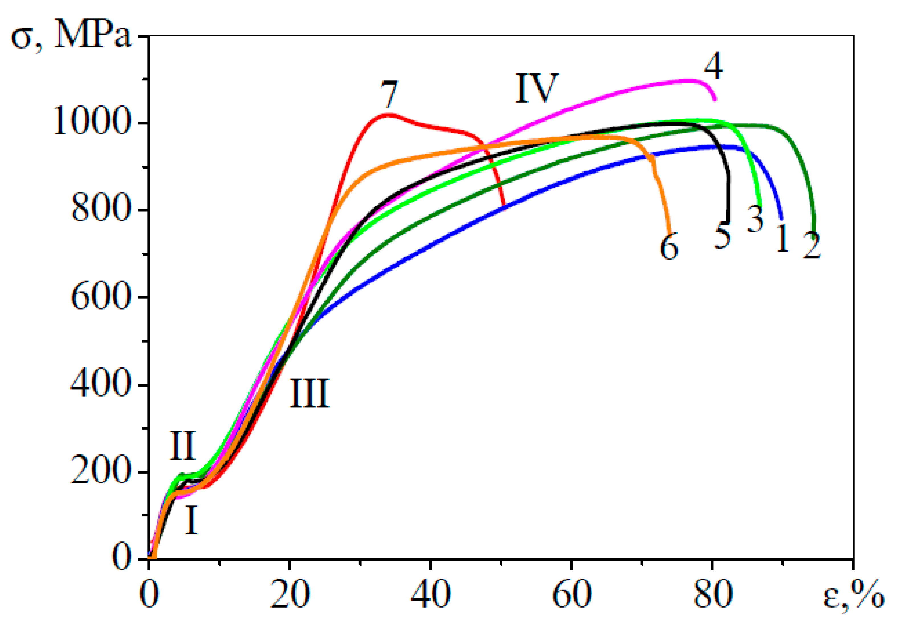
3.3. Mechanical Properties
4. Discussion
5. Conclusions
- As the true strain e is increased, the grain–subgrain structure is gradually refined. At e = 8.44, being maximal in our study, the material assumes a microstructure with an average grain size dav ≈ 1 µm in which the main fraction is submicrocrystalline and the volume fraction of fine-grained and nanocrystalline elements is small (about 20% in total).
 - Refining the grain–subgrain structure of the material to the average size dav ≈ 1 µm increases its yield stress σy and strain hardening coefficient θ = dσ/dε at linear stage III of its tensile stress–strain curve, and the dependence of these characteristics on the grain–subgrain size is well described by the Hall–Petch relation.
 - Refining the grain–subgrain structure to the average size dav ≈ 1 µm does not change the temperatures of martensite transformations, martensite shear stress σm, and ultimate strength σUTS. It is supposed that this is due to the existence of a critical average grain–subgrain size whose value (dav)cr ≈ 0.5 µm has not been attained at the strains used in abc pressing.
 
Author Contributions
Funding
Conflicts of Interest
References
- Duerig, T.; Pelton, A.; Stoeckel, D. An overview of nitinol medical applications. Mater. Sci. Eng. A 1999, 273–275, 149–160. [Google Scholar] [CrossRef]
 - Saadat, S.; Salichs, J.; Noori, M.; Hou, Z.; Davoodi, H.; Bar-on, I.; Suzuki, Y.; Masuda, A. An overview of vibration and seismic applications of NiTi shape memory alloy. Smart Mater. Struct. 2002, 11, 218–229. [Google Scholar] [CrossRef]
 - Predki, W.; Knopik, A.; Bauer, B. Engineering applications of NiTi shape memory alloys. Mater. Sci. Eng. A 2008, 481, 598–601. [Google Scholar] [CrossRef]
 - Wadood, A. Brief Overview on Nitinol as Biomaterial. Adv. Mater. Sci. Eng. 2016, 4173138. [Google Scholar] [CrossRef]
 - Valiyev, R.Z.; Aleksandrov, I.A. Bulk Nanostructure Metal Materials: Obtaining, Structure and Properties; Akademkniga: Moscow, Russian, 2007; p. 398. [Google Scholar]
 - Khmelevskaya, I.Y.; Prokoshkin, S.D.; Trubitsyna, I.B.; Belousov, M.N.; Dobatkin, S.V.; Tatyanin, E.V.; Korotitskiy, A.V.; Brailovski, V.; Stolyarov, V.V.; Prokofiev, E.A. Structure and properties of Ti–Ni-based alloys after equal-channel angular pressing and high-pressure torsion. Mater. Sci. Eng. A 2008, 481–482, 119–122. [Google Scholar] [CrossRef]
 - Shahmir, H.; Nili-Ahmadabadi, M.; Mansouri-Arani, M.; Langdon, T.G. The processing of NiTi shape memory alloys by equal-channel angular pressing at room temperature. Mater. Sci. Eng. A 2013, 576, 178–184. [Google Scholar] [CrossRef]
 - Shri, D.N.A.; Tsuchiya, K.; Yamamoto, A. Surface characterization of TiNi deformed by high-pressure torsion. Appl. Surf. Sci. 2014, 289, 338–344. [Google Scholar] [CrossRef]
 - Gunderov, D.; Lukyanov, A.; Prokofiev, E.; Kilmametov, A.; Pushin, V.; Valiev, R. Mechanical properties and martensitic transformations in nanocrystalline Ti49.4Ni50.6 alloy produced by high-pressure torsion. Mater. Sci. Eng. A 2009, 503, 75–77. [Google Scholar] [CrossRef]
 - Shamsolhodaei, A.; Zarei-Hanzaki, A.; Moghaddam, M. Structural and functional properties of a semi equiatomic NiTi shape memory alloy processed by multi-axial forging. Mater. Sci. Eng. A 2017, 700, 1–9. [Google Scholar] [CrossRef]
 - Lotkov, A.I.; Grishkov, V.N.; Dudarev, Y.F.; Girsova, N.V.; Tabachenko, A.N. Formation of ultrafine grain structure, martensitic transformations and unelastic properties of titanium nickelide after abc-pressing. Vopr. Materialoved. 2008, 1, 161–165. [Google Scholar]
 - Lotkov, A.I.; Grishkov, V.N.; Dudarev, E.F.; Koval, Y.N.; Girsova, N.V.; Kashin, O.A.; Tabachenko, A.N.; Firstov, G.S.; Timkin, V.N.; Zhapova, D.Y. Ultrafine Structure and Martensitic Transformation in Titanium Nickelide after Warm abc Pressing. Inorg. Mater. Appl. Res. 2011, 2, 548–555. [Google Scholar] [CrossRef]
 - Lotkov, A.I.; Grishkov, V.N.; Baturin, A.A.; Dudarev, E.F.; Zhapova, D.Yu.; Timkin, V.N. The effect of warm deformation by abc-pressing method on mechanical properties of titanium nickelide. Lett. Mater. 2015, 5, 170–174. [Google Scholar] [CrossRef]
 - Lotkov, A.; Grishkov, V.; Zhapova, D.; Timkin, V.; Baturin, A.; Kashin, O. Superelasticity and shape memory effect after warm abc-pressing of TiNi-based alloy. Mater. Today Proc. 2017, 4, 4814–4818. [Google Scholar] [CrossRef]
 - Lotkov, A.I.; Kashin, O.A.; Grishkov, V.N.; Krukovskii, K.V. The influence of degree of deformation under isothermal abc pressing on evolution of structure and temperature of phase transformations of alloy based on titanium nickelide. Inorg. Mater. Appl. Res. 2015, 6, 96–104. [Google Scholar] [CrossRef]
 - Zhapova, D.Yu.; Lotkov, A.I.; Grishkov, V.N.; Timkin, V.N.; Rodionov, I.S.; Kolevatov, A.S.; Belosludtseva, A.A. Inelastic properties of titanium nickelide after warm abc-pressing. Izv. Vyssh. Uchebn. Zaved. Fiz. 2016, 59, 60–63. [Google Scholar]
 - Kreitcberg, A.; Brailovski, V.; Prokoshkin, S.; Gunderov, D.; Khomutov, M.; Inaekyan, K. Effect of the grain/subgrain size on the strain-rate sensitivity and deformability of Ti–50 at %Ni alloy. Mater. Sci. Eng. A 2015, 622, 21–29. [Google Scholar] [CrossRef]
 - Prokoshkin, S.D.; Khmelevskaya, I.Y.; Dobatkin, S.V.; Trubitsyna, I.B.; Tat’yanin, E.V.; Stolyarov, V.V.; Prokof’iev, E.A. Structure evolution upon severe plastic deformation of TiNi-based shape-memory alloys. Phys. Metals Metallogr. 2004, 97, 619–625. [Google Scholar]
 - Prokofyev, V.A. Structure and properties of ultra-low grain TiNi alloy obtained by intensive plastic deformation. Vestnik UGATU 2006, 8, 169–174. [Google Scholar]
 - Yurchenko, L.I.; Dyupin, A.P.; Gunderov, D.V.; Valiev, R.Z.; Kuranova, N.N.; Pushin, V.G.; Uksusnikov, A.N. Mechanical Properties and Structure of High-Strength Nanostructured Nickel-Titanium Alloys Subjected to ECAP and Rolling. Faz. Perekh. Uporyad. Sost. Novye Mater. Available online: http://www.ptosnm.ru (accessed on 4 October 2006).
 - Dudarev, E.F.; Bakach, G.P.; Kolobov, Y.R.; Ivanov, K.V.; Lotkov, A.I.; Grishkov, V.N.; Valiyev, R.Z.; Ivanov, M.B. Localization of martensitic deformation on meso- and macroscale levels in large grain and sub-micro grain alloys with shape memory. Fiz. Mezomekh. 2004, 7, 127–130. [Google Scholar]
 - Churakova, A.A.; Gunderov, D.V.; Lukyanov, A.V.; Lebedev, Y.A. Effect of thermal cycling in the range of phase transformation B2–B19′ on the microstructure and mechanical properties of UFG alloy Ti49.8Ni50.2. Lett. Mater. 2013, 3, 166–168. [Google Scholar] [CrossRef][Green Version]
 - Valiev, R.; Gunderov, D.; Prokofiev, E.; Pushin, V.; Zhu, Y. Nanostructuring of TiNi alloy by SPD processing for advanced properties. Mater. Trans. 2008, 49, 97–101. [Google Scholar] [CrossRef]
 - Waitz, T.; Kazykhanov, V.; Karnthaler, H.P. Martensitic phase transformations in nanocrystalline NiTi studied by TEM. Acta Mater. 2004, 52, 137–147. [Google Scholar] [CrossRef]
 - Pushin, V.G.; Lotkov, A.I.; Kolobov, Y.R.; Valiev, R.Z.; Dudarev, E.F.; Kuranova, N.N.; Dyupin, A.P.; Gunderov, D.V.; Bakach, G.P. Оn the nature of anomalously high plasticity of high-strength titanium nickelide alloys with shape-memory effects: I. Initial structure and mechanical properties. Phys. Metals Metallogr. 2008, 106, 520–530. [Google Scholar] [CrossRef]
 - Dudarev, E.F.; Valiev, R.Z.; Kolobov, Y.R.; Lotkov, A.I.; Pushin, V.G.; Bakach, G.P.; Gunderov, D.V.; Dyupin, A.P.; Kuranova, N.N. On the nature of anomalously high plasticity in high-strength titanium nickelide alloys with shape-memory effects: II. Mechanisms of plastic deformation upon isothermal loading. Phys. Metals Metallogr. 2009, 107, 298–311. [Google Scholar] [CrossRef]
 - Amirkhanova, N.A.; Valiev, R.Z.; Adasheva, S.L.; Prokofiev, E.A. The investigation of corrosion and electrochemical properties of Ni-Ti alloys in large and ultra-fine grained states. Vestnik UGATU 2006, 7, 143–146. [Google Scholar]
 - Kuranova, N.N.; Gunderov, D.V.; Ukusnikov, A.N.; Luk’yanov, A.V.; Yurchenko, L.I.; Prokof’ev, E.A.; Pushin, V.G.; Valiev, R.Z. Effect of heat treatment on the structural and phase transformations and mechanical properties of TiNi alloys subjected to severe plastic deformation. Phys. Metals Metallogr. 2009, 108, 556–568. [Google Scholar] [CrossRef]
 - Tong, Y.X.; Chen, F.; Guo, B.; Tian, B.; Li, L.; Zheng, Y.F.; Gunderov, D.V.; Valiev, R.Z. Superelasticity and its stability of an ultrafine-grained Ti49.2Ni50.8 shape memory alloy processed by equal channel angular pressing. Mater. Sci. Eng. A 2013, 587, 61–64. [Google Scholar] [CrossRef]
 - Tong, Y.X.; Hu, K.P.; Chen, F.; Tian, B.; Li, L.; Zheng, Y.F. Multiple-stage transformation behavior of Ti49.2Ni50.8 alloy with different initial microstructure processed by equal channel angular pressing. Intermetallics 2017, 85, 163–169. [Google Scholar] [CrossRef]
 - Zhang, X.; Song, J.; Huang, C.; Xia, B.; Chen, B.; Sun, X.; Xie, C. Microstructures evolution and phase transformation behaviors of Ni-rich TiNi shape memory alloys after equal channel angular extrusion. J. Alloys Compd. 2011, 509, 3006–3012. [Google Scholar] [CrossRef]
 - Pushin, V.G. Nickel-Titanium Shape Memory Alloys. Part 1. Structure, Phase Transformations and Properties; UrB RAS: Yekaterinburg, Russia, 2006; p. 438. [Google Scholar]
 - Shi, X.B.; Hu, Z.C.; Hu, X.W.; Zhang, J.S.; Cui, L.S. Effect of plastic deformation on stress-induced martensitic transformation of nanocrystalline NiTi alloy. Mater. Charact. 2017, 128, 184–188. [Google Scholar] [CrossRef]
 - Shi, X.; Yu, M.; Guo, F.; Liu, Z.; Jiang, D.; Han, X.; Cui, L. Effect of deformation on the stability of stress-induced martensite in nanocrystalline NiTi shape memory alloy. Mater. Lett. 2014, 131, 233–235. [Google Scholar] [CrossRef]
 - Rybin, V.V. Large Plastic Deformation and Fracture of Metals; Metallurgia: Moscow, Russian, 1986; p. 224. [Google Scholar]
 - Petch, N.J. The Cleavage Strength of Polycrystals. Iron Steel Inst. 1953, 174, 25–28. [Google Scholar]
 - Nokhrin, A.V.; Chuvildeev, V.N.; Kopylov, V.I.; Lopatin, Y.G.; Pirozhnikova, O.E.; Sakharov, N.V.; Piskunov, A.V.; Kozlova, N.A. Hall–Petch relation for nano- and microcrystalline metals produced by severe plastic deformation. Vestn. Lobachevsky State Univ. Nizhni Novgorod 2010, 5, 142–146. [Google Scholar]
 - Estrin, Y.; Vinogradov, A. Extreme grain refinement by severe plastic deformation: A wealth of challenging science. Acta Mater. 2013, 61, 782–817. [Google Scholar] [CrossRef]
 - Malygin, G.A. Plasticity and strength of micro- and nanocrystalline materials. Phys. Solid State 2007, 49, 1013–1033. [Google Scholar] [CrossRef]
 







© 2020 by the authors. Licensee MDPI, Basel, Switzerland. This article is an open access article distributed under the terms and conditions of the Creative Commons Attribution (CC BY) license (http://creativecommons.org/licenses/by/4.0/).
Share and Cite
Kashin, O.; Krukovskii, K.; Lotkov, A.; Grishkov, V. Effect of True Strains in Isothermal abc Pressing on Mechanical Properties of Ti49.8Ni50.2 Alloy. Metals 2020, 10, 1313. https://doi.org/10.3390/met10101313
Kashin O, Krukovskii K, Lotkov A, Grishkov V. Effect of True Strains in Isothermal abc Pressing on Mechanical Properties of Ti49.8Ni50.2 Alloy. Metals. 2020; 10(10):1313. https://doi.org/10.3390/met10101313
Chicago/Turabian StyleKashin, Oleg, Konstantin Krukovskii, Aleksandr Lotkov, and Victor Grishkov. 2020. "Effect of True Strains in Isothermal abc Pressing on Mechanical Properties of Ti49.8Ni50.2 Alloy" Metals 10, no. 10: 1313. https://doi.org/10.3390/met10101313
APA StyleKashin, O., Krukovskii, K., Lotkov, A., & Grishkov, V. (2020). Effect of True Strains in Isothermal abc Pressing on Mechanical Properties of Ti49.8Ni50.2 Alloy. Metals, 10(10), 1313. https://doi.org/10.3390/met10101313
        
