Functional Morphology of the Antennae and Sensilla of Coeloides qinlingensis Dang et Yang (Hymenoptera: Braconidae)
Abstract
Simple Summary
Abstract
1. Introduction
2. Materials and Methods
2.1. Insects
2.2. Scanning Electron Microscopy
2.3. Sensilla Classification and Terminology
2.4. Data Analysis
3. Results
3.1. Antennal Map of C. qinlingensis
3.2. Sensilla Type and Its Morphology
3.2.1. Sensilla Trichodea (St)
3.2.2. Sensilla Chaetica (Sch)
3.2.3. Sensilla Basiconica (Sb)
3.2.4. Sensilla Placodea (Sp)
3.2.5. Sensilla Auricillica (Sa)
3.2.6. Dome-Shaped Sensilla (Ds)
3.2.7. Sensilla Coeloconica (Sco)
3.2.8. Cuticular Pore (Cp)
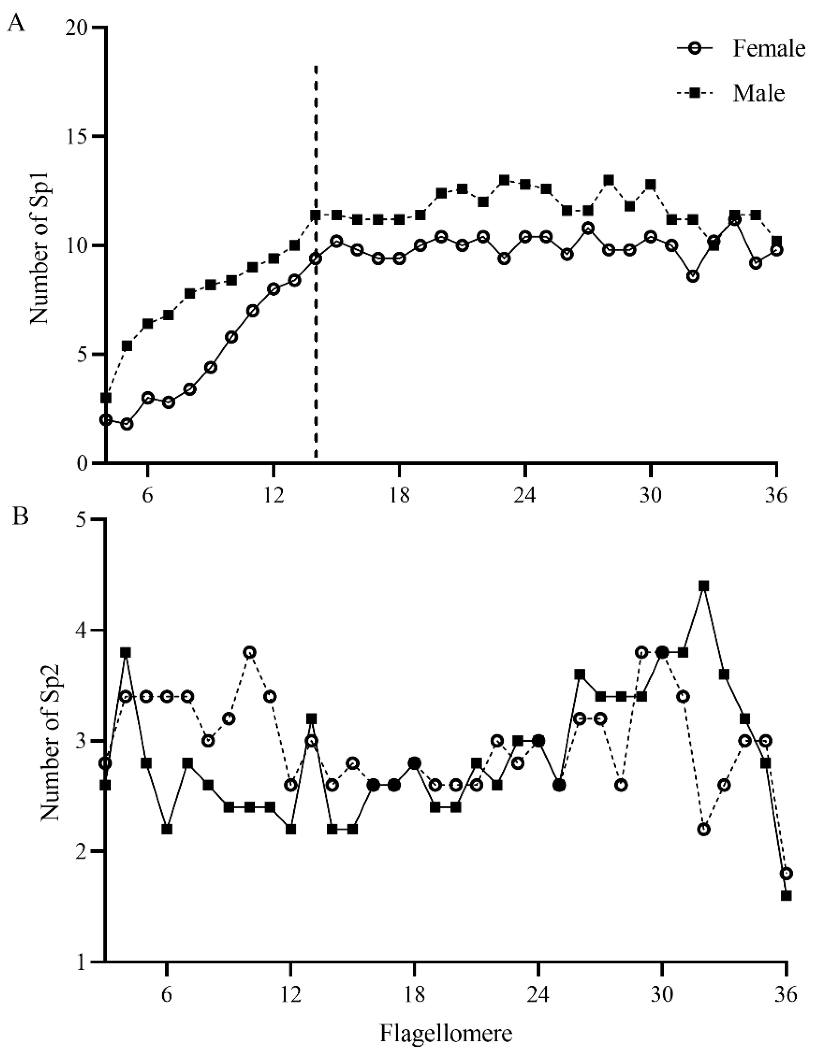
3.3. Number and Distribution of Sensilla on Both Sexes
4. Discussion
4.1. General Distribution of Antennal Sensilla
4.2. Morphology and Mechanoreception of Sensilla
4.3. Morphology and Chemoreception Functions of Sensilla
4.4. Morphology and Thermo-Hygroreception of Sensilla
4.5. Cuticular Pores on the Flagellomeres and Their Function
4.6. Sexual Variability in the Antennae and Key Sensillar Equipment
5. Conclusions
Author Contributions
Funding
Institutional Review Board Statement
Informed Consent Statement
Data Availability Statement
Acknowledgments
Conflicts of Interest
References
- Yang, Z.Q. Parasitic Wasps on Bark Beetles in China; Science Press: Beijing, China, 1996. [Google Scholar]
- Yu, L.; Huang, J.; Zong, S.; Huang, H.; Luo, Y. Detecting shoot beetle damage on Yunnan pine using landsat time-series data. Forests 2018, 9, 39. [Google Scholar] [CrossRef]
- Dang, X.D.; Yang, Z.Q. A new species of the genus Coeloides from Shaanxi, China. Entomotaxonomia 1989, 11, 115–116. [Google Scholar]
- Mu, Q. Primary Survery on the Parasitic Natural Enemy of Tomicus spp. in Southwest China. Master’s Thesis, Yunnan University, Kunming, China, 2004. [Google Scholar]
- Kenis, M.; Wermelinger, B.; Grégoire, J.C. Research on parasitoids and predators of scolytidae—A review. In Bark and Wood Boring Insects in Living Trees in Europe, a Synthesis; Lieutier, F., Day, K.R., Battisti, A., Grégoire, J.-C., Evans, H.F., Eds.; Springer Netherlands: Dordrecht, The Netherlands, 2004; pp. 237–290. [Google Scholar]
- Zacharuk, R.Y. Antennae and sensilla. In Comprehensive Insect Physiology, Biochemistry and Pharmacology; Kerkut, G.A., Gilbert, L.I., Eds.; Pergamon: New York, NY, USA; Oxford, UK, 1985; Volume 6, pp. 1–69. [Google Scholar]
- van Baaren, J.; Boivin, G.; Bourdais, D.; Roux, O. Antennal sensilla of hymenopteran parasitic wasps: Variations linked to host exploitation behavior. In Modern Research and Educational Topics in Microscopy; Mendez-Vilas, A., Diaz, J., Eds.; Formatex: Badajoz, Spain, 2007; Volume 1, pp. 345–352. [Google Scholar]
- Canale, A.; Raspi, A. Host location and oviposition behaviour in Opius concolor (Hymenoptera: Braconidae). Entomol. Prob. 2000, 31, 25–32. [Google Scholar]
- Isidoro, N.; Romani, R.; Bin, F. Antennal multiporous sensilla: Their gustatory features for host recognition in female parasitic wasps (Insecta, Hymenoptera: Platygastroidea). Microsc. Res. Tech. 2001, 55, 350–358. [Google Scholar] [CrossRef] [PubMed]
- Battaglia, D.; Isidoro, N.; Romani, R.; Bin, F.; Pennacchio, F. Mating behaviour of Aphidius ervi (Hymenoptera: Braconidae): The role of antennae. Eur. J. Entomol. 2002, 99, 451–456. [Google Scholar] [CrossRef]
- Wang, X.Y.; Yang, Z.Q. Behavioral mechanisms of parasitic wasps for searching concealed insect hosts. Acta Ecol. Sin. 2008, 28, 1257–1269. [Google Scholar] [CrossRef]
- Ruther, J.; Homann, M.; Steidle, J.L.M. Female-derived sex pheromone mediates courtship behaviour in the parasitoid Lariophagus distinguendus. Entomol. Exp. Appl. 2000, 96, 265–274. [Google Scholar] [CrossRef]
- Ochieng, S.A.; Park, K.C.; Zhu, J.W.; Baker, T.C. Functional morphology of antennal chemoreceptors of the parasitoid Microplitis croceipes (Hymenoptera: Braconidae). Arthropod Struct. Dev. 2000, 29, 231–240. [Google Scholar] [CrossRef]
- Richerson, J.V.; Borden, J.H.; Hollingdale, J. Morphology of a unique sensillum placodeum on the antennae of Coeloides brunneri (Hymenoptera: Braconidae). Can. J. Zool. 1972, 50, 909–913. [Google Scholar] [CrossRef]
- Renthal, R.; Velasquez, D.; Olmos, D.; Hampton, J.; Wergin, W.P. Structure and distribution of antennal sensilla of the red imported fire ant. Micron 2003, 34, 405–413. [Google Scholar] [CrossRef]
- Gao, Y.; Luo, L.-Z.; Hammond, A. Antennal morphology, structure and sensilla distribution in Microplitis pallidipes (Hymenoptera: Braconidae). Micron 2007, 38, 684–693. [Google Scholar] [CrossRef] [PubMed]
- Ahmed, T.; Zhang, T.-T.; Wang, Z.-Y.; He, K.-L.; Bai, S.-X. Morphology and ultrastructure of antennal sensilla of Macrocentrus cingulum Brischke (Hymenoptera: Braconidae) and their probable functions. Micron 2013, 50, 35–43. [Google Scholar] [CrossRef] [PubMed]
- Yang, P.; Li, Z.-B.; Yang, D.-R.; Peng, Y.-Q.; Kjellberg, F. Comparison of the antennal sensilla of females of four fig-wasps associated with Ficus auriculata. Acta Oecol. 2018, 90, 99–108. [Google Scholar] [CrossRef]
- Onagbola, E.O.; Fadamiro, H.Y. Scanning electron microscopy studies of antennal sensilla of Pteromalus cerealellae (Hymenoptera: Pteromalidae). Micron 2008, 39, 526–535. [Google Scholar] [CrossRef]
- Chapman, R.F.; Simpson, S.J.; Douglas, A.E. The Insects: Structure and Function, 5th ed.; Cambridge University Press: Cambridge, UK, 2013. [Google Scholar]
- Alves, T.J.S.A.; Wanderley-Teixeira, V.; Teixeira, A.A.C.; Silva-Torres, C.S.A.; Malaquias, J.B.; Pereira, B.F.; Cunha, F.M. Parasitoid-host interaction: Sensory structures involved in the parasitism behavior of Bracon vulgaris (Hymenoptera: Braconidae). Anim. Biol. 2014, 64, 365–381. [Google Scholar] [CrossRef]
- Polidori, C.; Nieves-Aldrey, J.L. Diverse filters to sense: Great variability of antennal morphology and sensillar equipment in gall-wasps (Hymenoptera: Cynipidae). PLoS ONE 2014, 9, e101843. [Google Scholar] [CrossRef] [PubMed]
- Bleeker, M.A.K.; Smid, H.M.; Van Aelst, A.C.; Van Loon, J.J.A.; Vet, L.E.M. Antennal sensilla of two parasitoid wasps: A comparative scanning electron microscopy study. Microsc. Res. Tech. 2004, 63, 266–273. [Google Scholar] [CrossRef] [PubMed]
- Roux, O.; van Baaren, J.; Gers, C.; Arvanitakis, L.; Legal, L. Antennal structure and oviposition behavior of the Plutella xylostella specialist parasitoid: Cotesia plutellae. Microsc. Res. Tech. 2005, 68, 36–44. [Google Scholar] [CrossRef] [PubMed]
- Norton, W.N.; Vinson, S.B. Antennal sensilla of three parasitic Hymenoptera. Int. J. Insect Morphol. Embryol. 1974, 3, 305–316. [Google Scholar] [CrossRef]
- Barlin, M.R.; Vinson, B.S. Multiporous plate sensilla in antennae of the Chalcidoidea (Hymenoptera). Int. J. Insect Morphol. Embryol. 1981, 10, 29–42. [Google Scholar] [CrossRef]
- Meyhöfer, R.; Casas, J.; Dorn, S. Mechano- and chemoreceptors and their possible role in host location behavior of Sympiesis sericeicornis (Hymenoptera: Eulophidae). Ann. Entomol. Soc. Am. 1997, 90, 208–219. [Google Scholar] [CrossRef]
- Barlin, M.R.; Vinson, S.B.; Piper, G.L. Ultrastructure of the antennal sensilla of the cockroach-egg parasitoid, Tetrastichus hagenowii (Hymenoptera: Eulophidae). J. Morphol. 1981, 168, 97–108. [Google Scholar] [CrossRef] [PubMed]
- Li, X.; Lu, D.; Liu, X.; Zhang, Q.; Zhou, X. Ultrastructural characterization of olfactory sensilla and immunolocalization of odorant binding and chemosensory proteins from an ectoparasitoid Scleroderma guani (Hymenoptera: Bethylidae). Int. J. Biol. Sci. 2011, 7, 848–868. [Google Scholar] [CrossRef] [PubMed]
- Jorge, A.; Polidori, C.; Nieves-Aldrey, J.L. Antennal sensilla in male gall-wasps (Hymenoptera: Cynipidae) and insights on the evolution of sexual dimorphism in cynipoid sensory equipment. Zool. Anz. 2019, 283, 213–230. [Google Scholar] [CrossRef]
- Wu, W.; Shen, S.; Wang, C.; Fan, X.; Zhang, Z.; Zhang, S. Sensilla on organs of female and male Aphidius gifuensis (Hymenoptera: Aphidiidae). Microsc. Res. Tech. 2018, 81, 1513–1519. [Google Scholar] [CrossRef]
- Altner, H.; Prillinger, L. Ultrastructure of invertebrate chemo-, thermo-, and hygroreceptors and its functional significance. Int. Rev. Cytol. 1980, 67, 69–139. [Google Scholar] [CrossRef]
- Das, P.; Chen, L.; Sharma, K.R.; Fadamiro, H.Y. Abundance of antennal chemosensilla in two parasitoid wasps with different degree of host specificity may explain sexual and species differences in their response to host-related volatiles. Microsc. Res. Tech. 2011, 74, 900–909. [Google Scholar] [CrossRef]
- Shields, V.D.C. High resolution ultrastructural investigation of insect sensory organs using field emission scanning electron microscopy. In Proceedings of the Microscopy: Science, Technology, Applications and Education, Badajoz, Spain; 2011; pp. 321–328. [Google Scholar]
- Huang, Z.-Y.; Zhang, Y.-J.; Liu, J.-Y.; Yang, Z.-D.; Lu, W.; Zheng, X.-L. Ultrastructure of female antennal sensilla of an endoparasitoid wasp, Quadrastichus mendeli Kim & La Salle (Hymenoptera: Eulophidae: Tetrastichinae). Microsc. Microanal. 2018, 24, 431–441. [Google Scholar] [CrossRef]
- Yuvaraj, J.K.; Andersson, M.N.; Anderbrant, O.; Löfstedt, C. Diversity of olfactory structures: A comparative study of antennal sensilla in Trichoptera and Lepidoptera. Micron 2018, 111, 9–18. [Google Scholar] [CrossRef]
- Nowińska, A.; Brożek, J. Morphological study of the antennal sensilla in Gerromorpha (Insecta: Hemiptera: Heteroptera). Zoomorphology 2017, 136, 327–347. [Google Scholar] [CrossRef]
- Ren, L.-L.; Wu, Y.; Shi, J.; Zhang, L.; Luo, Y.-Q. Antenna morphology and sensilla ultrastructure of Tetrigus lewisi Candèze (Coleoptera: Elateridae). Micron 2014, 60, 29–38. [Google Scholar] [CrossRef] [PubMed]
- Faucheux, M.J. Wall-pore sensilla auricillica on the labial palps of Limnephilus marmoratus Curtis 1834 (Trichoptera: Limnephilidae). Ann. Soc. Entomol. Fr. 2012, 48, 229–231. [Google Scholar] [CrossRef]
- Danci, A.; Inducil, C.; Takács, S.; Schaefer, P.W.; Gries, G. Mechanism of mate detection in parasitoid wasps: Sound and vibratory cues change with the developmental progress of future mates inside host pupal cases. Physiol. Entomol. 2014, 39, 292–303. [Google Scholar] [CrossRef]
- Romani, R.; Isidoro, N.; Bin, F. Antennal structures used in communication by egg parasitoids. In Egg Parasitoids in Agroecosystems with Emphasis on Trichogramma; Consoli, L.F., Parra, P.J.R., Zucchi, A.R., Eds.; Springer Netherlands: Dordrecht, The Netherlands, 2010; pp. 57–96. [Google Scholar]
- Basibuyuk, H.H.; Quicke, D.L.J. Gross morphology of multiporous plate sensilla in the Hymenoptera (Insecta). Zool. Scripta 1999, 28, 51–67. [Google Scholar] [CrossRef]
- Li, Z.B.; Yang, P.; Peng, Y.Q.; Yang, D.R. Ultrastructure and distribution of sensilla on the antennae of female fig wasp Eupristina sp. (Hymenoptera: Agaonidae). Acta Zool. 2014, 95, 73–83. [Google Scholar] [CrossRef]
- Merivee, E.; Must, A.; Nurme, K.; Di Giulio, A.; Muzzi, M.; Williams, I.; Mänd, M. Neural code for ambient heat detection in elaterid beetles. Front. Behav. Neurosci. 2020, 14, 1. [Google Scholar] [CrossRef] [PubMed]
- Obonyo, M.; Schulthess, F.; Chimtawi, M.; Mascarel, G.; Ahuya, P.O.; LeRu, B.; van den Berg, J.; Silvain, J.-F.; Calatayud, P.-A. Sensilla on antennae, ovipositor and tarsi of the larval parasitoids, Cotesia sesamiae (Cameron 1906) and Cotesia flavipes Cameron 1891 (Hymenoptera: Braconidae): A comparative scanning electron microscopy study. Ann. Soc. entomol. Fr. 2011, 47, 119–127. [Google Scholar] [CrossRef]
- Isidoro, N.; Bin, F.; Romani, R. Diversity and function of male antennal glands in Cynipoidea (Hymenoptera). Zool. Scripta 1999, 28, 165–174. [Google Scholar] [CrossRef]
- Shirley, X.A.; Woolley, J.B.; Hopper, K.R.; Isidoro, N.; Romani, R. Evolution of glandular structures on the scape of males in the genus Aphelinus Dalman (Hymenoptera, Aphelinidae). J. Hymenoptera Res. 2019, 72, 27–43. [Google Scholar] [CrossRef]
- Bin, F.; Wäckers, F.; Romani, R.; Isidoro, N. Tyloids in Pimpla turionellae (L.) are release structures of male antennal glands involved in courtship behaviour (Hymenoptera: Ichneumonidae). Int. J. Insect Morphol. Embryol. 1999, 28, 61–68. [Google Scholar] [CrossRef]
- Quicke, D.L.J. The Braconid and Ichneumonid Parasitoid Wasps: Biology, Systematics, Evolution and Ecology; Wiley-Blackwell: Hoboken, NJ, USA, 2015. [Google Scholar]
- da Silva, I.M.; Pereira, K.d.S.; Spranghers, T.; Zanuncio, J.C.; Serrão, J.E. Antennal sensilla and sexual dimorphism of the parasitoid Trichospilus pupivorus (Hymenoptera: Eulophidae). Microsc. Microanal. 2016, 22, 913–921. [Google Scholar] [CrossRef] [PubMed]













| Antennal Segment | Sex | Length | Width |
|---|---|---|---|
| Scape * | Female | 277.55 ± 30.75 | 136.35 ± 17.38 |
| Male | 280.51 ± 22.24 | 149.46 ± 11.26 | |
| Pedicel | Female | 92.45 ± 10.15 | 107.95 ± 11.47 |
| Male | 95.53 ± 7.49 | 114.31 ± 8.56 | |
| Flagellomere | Female | 115.75 ± 10.87 b | 68.35 ± 8.61 |
| Male | 123.79 ± 14.66 a | 74.42 ± 5.66 | |
| Total | Female | 4406.43 ± 317.18 b | |
| Male | 4817.69 ± 139.98 a |
| Sensilla | Tip | Shape | Wall | Porosity | Socket | Length (μm) | Diameter (μm) | Distribution |
|---|---|---|---|---|---|---|---|---|
| St | Sharp | Slightly curved | Grooved | Aporous | Flexible | 25.25–89.03 | 2.55–6.86 | All |
| Sch1 | Sharp | Straight | Grooved | Aporous | Flexible | 28.60–45.23 | 1.55–3.50 | All |
| Sch2 | Sharp | Straight | Smooth | Aporous | Flexible | 7.32–15.19 | 1.17–2.55 | Sc, Pe |
| Sb | Blunt | Straight | Grooved | Uniporous | Flexible | 23.56–35.35 | 2.07–4.10 | Fl |
| Sp1 | Blunt | Straight | Smooth | Multiporous | Inflexible | 108.99–127.25 | 3.87–6.91 | F3–F36 |
| Sp2 | Blunt | Straight | Smooth | Multiporous | Inflexible | 83.15–119.51 | 3.80–7.68 | F3–F36 |
| Ds | Blunt | Straight | Grooved | Multiporous | Inflexible | 2.60–4.96 | 3.74–8.63 | F1–F4 |
| Sa | Blunt | ear-shaped | Coarse | Uniporous | Flexible | 0.40–1.73 | 0.33–0.87 | Odd F15–F33 |
| Sco | Blunt | Straight | Grooved | Aporous | Flexible | 2.76–4.81 | 2.50–4.22 | Even F15–F33 |
| Cp | Small hole | 0.41–0.90 | Fl |
| Sensilla Type | Sex | Scape | Pedicel | Flagellum | Total |
|---|---|---|---|---|---|
| St | Female | 32.6 ± 7.3 | 35.0 ± 1.6 | 3982.0 ± 91.0 b | 4049.6 ± 95.7 b |
| Male | 42.4 ± 3.6 | 37.0 ± 1.0 | 4772.4 ± 226.0 a | 4851.8 ± 227.2 a | |
| Sch1 | Female | 15.0 ± 3.5 | 7.2 ± 1.6 | 293.2 ± 18.5 b | 315.4 ± 19.2 b |
| Male | 10.8 ± 1.1 | 7.2 ± 1.1 | 357.6 ± 16.9 a | 375.6 ± 17.7 a | |
| Sch2 | Female | 87.8 ± 9.9 | 8.4 ± 2.1 | 96.2 ± 10.2 | |
| Male | 87.2 ± 10.1 | 7.8 ± 1.1 | 95.0 ± 9.2 | ||
| Sb | Female | 178.2 ± 4.3 | 178.2 ± 4.3 | ||
| Male | 200.2 ± 24. 8 | 200.2 ± 24. 8 | |||
| Sp1 | Female | 261.4 ± 24.3 b | 261.4 ± 24.3 b | ||
| Male | 337.4 ± 21.7 a | 337.4 ± 21.7 a | |||
| Sp2 | Female | 107.0 ± 25.0 | 107.0 ± 25.0 | ||
| Male | 93.6 ± 16.4 | 93.6 ± 16.4 | |||
| Ds | Female | 183.8 ± 13.8 b | 183.8 ± 13.8 b | ||
| Male | 274.8 ± 20.9 a | 274.8 ± 20.9 a | |||
| Sa | Female | 9.8 ± 2.1 | 9.8 ± 2.1 | ||
| Male | 10.4 ± 2.6 | 10.4 ± 2.6 | |||
| Cos | Female | 13.8 ± 3.3 | 13.8 ± 3.3 | ||
| Male | 14.2 ± 1.3 | 14.2 ± 1.3 | |||
| Cp | Female | 125.0 ± 23.2 | 125.0 ± 23.2 | ||
| Male | 142.6 ± 21.5 | 142.6 ± 21.5 |
| Sensilla | Sex | Density | Surface Pores (ind./μm2) | Total Surface Area (μm2) |
|---|---|---|---|---|
| Sp1 | Female | 10 ± 1 | 7.43 ± 1.03 b | 1059.53 ± 119.13 b |
| Male | 9 ± 1 | 12.23 ± 1.54 a | 1158.38 ± 114.63 a | |
| Sp2 | Female | 2 ± 1 | 12.85 ± 1.12 b | 1158.38 ± 114.63 b |
| Male | 2 ± 1 | 41.10 ± 2.10 a | 825.50 ± 95.80 a |
Publisher’s Note: MDPI stays neutral with regard to jurisdictional claims in published maps and institutional affiliations. |
© 2022 by the authors. Licensee MDPI, Basel, Switzerland. This article is an open access article distributed under the terms and conditions of the Creative Commons Attribution (CC BY) license (https://creativecommons.org/licenses/by/4.0/).
Share and Cite
Yang, C.-H.; Xie, H.; Liu, Z.-X.; Yang, P.; Zhao, N.; Yang, B.; Li, Z.-B. Functional Morphology of the Antennae and Sensilla of Coeloides qinlingensis Dang et Yang (Hymenoptera: Braconidae). Insects 2022, 13, 907. https://doi.org/10.3390/insects13100907
Yang C-H, Xie H, Liu Z-X, Yang P, Zhao N, Yang B, Li Z-B. Functional Morphology of the Antennae and Sensilla of Coeloides qinlingensis Dang et Yang (Hymenoptera: Braconidae). Insects. 2022; 13(10):907. https://doi.org/10.3390/insects13100907
Chicago/Turabian StyleYang, Cui-Hong, Hua Xie, Zhi-Xiang Liu, Pei Yang, Ning Zhao, Bin Yang, and Zong-Bo Li. 2022. "Functional Morphology of the Antennae and Sensilla of Coeloides qinlingensis Dang et Yang (Hymenoptera: Braconidae)" Insects 13, no. 10: 907. https://doi.org/10.3390/insects13100907
APA StyleYang, C.-H., Xie, H., Liu, Z.-X., Yang, P., Zhao, N., Yang, B., & Li, Z.-B. (2022). Functional Morphology of the Antennae and Sensilla of Coeloides qinlingensis Dang et Yang (Hymenoptera: Braconidae). Insects, 13(10), 907. https://doi.org/10.3390/insects13100907

