Next Article in Journal
The Reduction of Static Friction of Rubber Contact under Sea Water Droplet Lubrication
Next Article in Special Issue
Tribological Properties of Porous PEEK Composites Containing Ionic Liquid under Dry Friction Condition
Previous Article in Journal
Specific Features of Aerodynamic Journal Bearings with Elastically Supported Pads
 
 
Font Type:
Arial Georgia Verdana
Font Size:
Aa Aa Aa
Line Spacing:
Column Width:
Background:
Article

Chemical/Structural Modification of Canola Oil and Canola Biodiesel: Kinetic Studies and Biodegradability of the Alkoxides

Catalysis and Chemical Reaction Engineering Laboratories, Department of Chemical and Biological Engineering, University of Saskatchewan, Saskatoon SK S7N 5A9, Canada
*
Author to whom correspondence should be addressed.
Lubricants 2017, 5(2), 11; https://doi.org/10.3390/lubricants5020011
Submission received: 14 March 2017 / Revised: 12 April 2017 / Accepted: 25 April 2017 / Published: 28 April 2017
(This article belongs to the Special Issue Green Chemistry in Lubrication)

Abstract

:
Canola oil and canola biodiesel derived alkoxides are prepared in the present investigation through a series of structural modifications. Epoxidation of canola oil and canola biodiesel were carried out by hydrogen peroxide using IR-120 as an acidic catalyst. The alkoxylation of epoxidized feedstocks was promoted using 2-propanol and tert-Butyl alcohol in the presence of montmorillonite catalyst and optimum reaction conditions were obtained for complete epoxide conversion to alkoxylated products as follows: reaction temperature of 90 °C, epoxide to alcohol molar ratio of 1:6, and reaction time between 6 and 8 h. The products were identified with one- and two-dimensional Nuclear Magnetic Resonance (NMR) techniques, and the kinetic and thermodynamic parameters of the alkoxylation reactions were also investigated. The thermo-oxidative stability, rheology, biodegradability and lubricity properties of the prepared alkoxides were determined using American Society for Testing and Materials (ASTM) and American Oil Chemists Society (AOCS) standard methods. Structural modification of the feedstocks enhanced the significant properties for lubrication and exhibited their potential application as gear and engine oils.

Graphical Abstract

1. Introduction

Structural modification of plant seed oils at unsaturation (double bonds) institutes a favorable method to obtain commercial value-added products from renewable raw materials. Oxidation of the double bonds is a common reaction, where the double bond is transformed into an oxirane ring (epoxide) in the presence of suitable oxidizing agent and catalyst [1]. In addition to epoxidation of alkanes, various mono-, di- and tri- substituted olefins were also epoxidized for different applications [2,3]. Epoxidized vegetables are highly reactive intermediates that readily create new functional groups. Alcoholysis is a reaction which involves the breaking of chemical bond by the addition of alcohol. Similarly, alkoxy alcohol (R–O–H) is formed, when alkoxy (R–O, R is alkyl group) group is bonded to H. Hydroxylation, alcoholysis (the breaking of chemical bond by the addition of alcohol) or ring-opening of epoxides via nucleophilic addition results in a huge number of value-added products, such as alkoxy alcohols (R–O–H, where R is alkyl group), N-hydroxyalkyl amides, mercapto alcohols, hydroxyl nitriles, diols, hydroxy esters, amino alcohols and others [4]. Epoxy vegetable oils can be used as higher temperature lubricant basestocks, and the derivatives obtained from ring-opening can be utilized as low-temperature lubricant basestocks [5,6]. The scope of these reactions are open to organic acids or aliphatic alcohols; organic acids are limited to strong nucleophiles and demand severe reaction conditions [7]. Alcohols are moderately weak nucleophiles and therefore their straight and selective addition to epoxides is still an exciting challenge [8]. The nucleophilic addition of alcohol to epoxides takes place via a two-step reaction. Firstly, the epoxide is protonated, then, the activated (protonated) epoxide undergoes nucleophile attack by the nucleophile in a classical SN2 mechanism. Ring-opening occurs, due to the cleavage of one of the carbon–oxygen bonds, and this can be initiated either by electrophiles, nucleophiles or catalyzed by either acids or bases [8].
Further, functionalization of epoxides by ring-opening provides interesting multi-functional compounds useful with enhanced low-temperature fluidity, improved viscosity, and high stability as biolubricant basestocks [1,9]. Kamalakar et al. utilized rubber and sal fatty acids as feedstocks to develop 2-EH, neopentylglycol, trimethylolpropane, and pentaerythritol esters to use them as hydraulic oils and high viscous basestocks [10,11]. Kulkarni et al. reported on the synthesis of lubricant basestocks with enhanced thermo-oxidative stability and low-temperature properties by alcoholysis of mustard oil using 2-EH as a ring-opening reagent [12]. Most of these studies revealed that the properties of the basestocks completely depend on the nature of the constituent fatty acids, their carbon number, and their positions. Due to the concerns for food versus fuel, several studies used non-edible oils. However, in Canada due to the high annual production of canola oil, more amount of canola oil is used for industrial applications (Bio-diesel, cosmetics, detergents etc.) than for edible purpose [13]. Therefore, canola oil (CO) and canola biodiesel (CB) are used as renewable feedstocks to develop alkoxides, canola oil is rich in oleic acid as major constituent followed by linoleic and linolenic fatty acids [14].
The present study is focused on the alkoxylation of epoxidized canola oil (ECO)/epoxidized canola biodiesel (ECB) using secondary and tertiary alcohols in the presence of Montmorillonite (K10) as strong Brønsted acidic silicates based heterogeneous catalyst. Alkoxylation derivatives of the ECO with 2-propanol and tert-butyl alcohol (TBA) are named as propylated canola oil biolubricant (PCOB and butylated canola oil biolubricant (BCOB); likewise, biodiesel derivatives were known as propylated canola biodiesel biolubricant (PCBB) and butylated canola biodiesel biolubricant (BCBB). This study also investigated the effect of alkoxylation reagents on ring-opening reaction conditions and their properties, kinetic and thermodynamic parameters of the alkoxylation. Biodegradability, rheological behavior, low-temperature properties, thermo-oxidative stability and lubricity properties of the end products were measured to find the suitable real life application for the prepared alkoxides.

2. Experimental

2.1. Materials

Edible grade canola oil was purchased from Loblaw’s Inc. (Montreal, QC, Canada) and canola biodiesel was procured from Miligan Biofuels Inc. (Foam Lake, SK, Canada). Montmorillonite (K10) catalyst, tert-butyl alcohol were obtained from Alfa Aesar (Ward Hill, MA, USA). Glacial acetic acid (reagent grade), hydrogen peroxide (H2O2) (30% v/v, GR grade), amberlite IR-120H (Sigma-Aldrich, St. Louis, MO, USA), 2-propanol (Sigma-Aldrich), ethyl acetate (ACS grade), potassium iodide (KI), starch, sodium thiosulfate pentahydrate (Na2S2O3·5H2O), HBr and Wij’s solution were purchased from VWR (San Diego, CA, USA), all the reagents were used as received.

2.2. Analytical Characterization Techniques

All the analysis were carried out as per standard methods; cloud point and pour point (ASTM D97-11 and ASTM D2500-11), kinematic viscosity were measured as per ASTM standard methods. Iodine value (% unsaturation) by AOCS Cd 1-25, epoxy content (oxirane oxygen) by AOCS Cd 9-57 standard methods. Lubricity of the end products was evaluated by ASTM D6079-04 method using HFRR apparatus. Product confirmation and characterization were carried out by NMR spectroscopy. One-dimensional (1H) and two-dimensional HSQC and HMBC NMR spectra were recorded on Bruker Avance 500 MHz to accurately assign the NMR signals. J-coupling pattern in 1H NMR spectra are described as: s = singlet, d = doublet, t = triplet, q = quartet, m = multiple protons. Detailed analysis procedures and the respective equipment used were reported in earlier studies [15,16].
Thermo-oxidative thermograms of the alkoxides were determined by dynamic thermogravimetric analysis (TGA) (TA instruments, Q500 Model, New Castle, DE, USA) at 10 °C/min as a ramping rate. Thermal stability was evaluated by its onset temperature in a nitrogen atmosphere (60 mL/min), oxidative onset temperature was determined in air (60 mL/min). During both the analysis, nitrogen was used as a purging gas at 40 mL/min, end products were heated from room temperature to 500 °C and obtained thermograms were evaluated for onset temperature, maximum decomposition temperature and decomposition profile of the basestocks.
Rheological measurements were carried out in a controlled stress rheometer (TA Instruments Rheometer, AR-G2 Model), with 0.1 mm true gap using acrylic plate ST (Solvent Trap)-40 mm to overcome the slip effect. The shear steady flow, viscosity curves were obtained ranging the shear rate from 10 to 1000 s1 and different temperature conditions (40, 60, 80 and 100 °C) were applied to investigate the viscosity index (VI) and temperature vs viscosity relation. The behavior of the prepared alkoxides was also investigated to find out its flow characteristics at different temperatures. Bio-degradability of the alkoxides were predicted using Bio-kinetic model according to ASTM D7373-12 method.

2.3. Experimental Setup and Procedure

Epoxidation of canola oil and canola biodiesel was carried out in a two-neck 100 mL round bottom flask and the ratio of the epoxidation reactants was considered as per the earlier report [16]. Oxirane ring-opening (alkoxylation) studies for ECO/ECB were carried out in an identical experimental setup. Ring-opening reactions were carried out at 1:6 molar ratio (epoxide to alcohol) using 2-propanol and TBA at 90 °C, 10 wt % catalyst loading was maintained with respective to the weight of the epoxide at a stirring speed of 600 rpm. Preliminary runs were carried out to find out the exact temperature and alcohol moles for complete conversion of epoxide to form respective alkoxides and reactions are monitored by oxirane value by withdrawing samples at regular time intervals. From the experimental observations, it was found that alkoxylation with TBA requires more amount of alcohol or reaction time for complete alkoxylation. Further, in order to study the kinetics, alkoxylation reactions were carried out at various temperatures for ECO and ECB in the presence of 2-propanol and tert-Butyl alcohol (TBA) using identical reaction conditions as mentioned above. After the reaction, epoxides (ECO, ECB) and alkoxylated derivatives were dissolved in ethyl acetate, washed with brine solution, neutralized and dried under vacuum to obtain the end products of 2-propanol derived canola oil biolubricant (PCOB), tert-butanol derived canola oil biolubricant (BCOB), 2-propanol derived canola biodiesel biolubricant, tert-butanol derived canola biodiesel biolubricant.

3. Results and Discussion

3.1. Product Confirmation by 1H-NMR Spectroscopy

Epoxides and alkoxides were confirmed by 1H-NMR spectral analysis, 1H-NMR spectroscopy of the epoxides (ECO, ECB) and alkoxylated products are presented in Figures S1 and S2 (Supplementary Materials). In Figures S1a and S2a, the proton chemical shifts at δ 2.9 to δ 3.2 ppm and δ 2.9 to δ 3.1 ppm is the characteristic of epoxy protons indicated the formation of the epoxide from CO and CB respectively. Similarly, from the spectra (Figure S1b,c; Figure S2b,c) it can be seen that the absence of epoxy protons at the aforementioned chemical shifts (δ 2.9 to δ 3.2 ppm and δ 2.9 to δ 3.1 ppm) for ECO, ECB indicated that during alkoxylation epoxy protons participated in the nucleophilic attack. Further, it can also be confirmed the nucleophilic attack on epoxy groups by the appearance of a singlet at δ 3.65 ppm (s, OH of TBA) and multiple peaks at δ 0.88–0.9 ppm (m, CH3 of TBA) (Figures S1c and S2c) alkoxylation with TBA for ECO and ECB. Correspondingly, due to alkoxylation of ECO and ECB with 2-propanol, new singlet appears at δ 3.58 ppm (s, OH of 2-propanol), multiple peaks at δ 1.24–1.4 ppm (m, CH3 of 2-propanol) (Figures S1b and S2b). Other characteristic shifts of the alkoxylated derivatives are as follows for oil derived alkoxides; δ 4.12–4.19 ppm (m, –CH protons of glycerol), δ 4.29–4.34 ppm (q, –CH2 protons of glycerol), δ 1.45–1.67 ppm (m, α-CH2 protons of fatty acids), δ 0.88–0.98 ppm (m, terminal –CH3 protons of fatty acids). Further, for the methyl ester derivatives absence of the glycerol protons was noticed, all the characteristic peaks agreed well with the earlier studies [15,16]. Further, the amount of protons at each chemical shift is addressed as a Supplementary Materials in Table S1.

3.2. Pour Point

Finding the low-temperature properties such as pour point (PP) and cloud point (CP) enables a suitable application of the prepared alkoxides. At low temperature, plant seed oils have tendency to form macro crystalline structures through uniform stacking of the triglyceride backbone and they restrict the free flow due to the loss of kinetic energy of the individual molecules during self-stacking [17]. Therefore, branching on the epoxidized fatty acid chains via ring opening reaction can disturb this stacking process, thereby low temperature properties can be enhanced. Thus, the same approach has been adopted in this study, the ester branching is attached at the mid- and end- sites on the fatty acid chains. The CP and PP of the prepared ECO and ECB alkoxides derivatives are reported in Table 1, PPs of the alkoxides are found to be in the range of 2 to −21 °C. Higher PP alkoxides are desirable for higher temperature and radiation resistance applications [18,19]. PP of the BCBB is found to be favorable (−21 °C) and also meet the standard lubricant requirements of ISO VG32, VG 46, VG 68, VG 100 (−6 °C), SAE20W40 (−21 °C) and AG100 (−18 °C) specifications [20]. PP of the PCBB satisfies (−7 °C) the ISO VG32, VG 46, VG 68, VG 100 (−6 °C) lubricant requirement. The relative excellent PP of the alkoxides derivatives is attributed to hydrogen bonding of the hydroxyl group present in the alkoxylation products [21]. From this study, it was also noticed that alkoxylation with secondary alcohol (2-propanol, −21 °C) is more favorable to lower PP than tertiary alcohol (TBA, −7 °C). It was also observed that low-temperature properties of ECB derivatives were enhanced more than those of ECO derivatives. Due to structural modification (branching), PPs of the alkoxylated derivatives are enhanced (lower PP’s are noticed). During this study it was assumed that the presence of a branching group at the center of fatty acid chain creates a stearic barrier around the individual molecules there by crystallization can be inhibited, which results the lower pour and cloud points. Similar observations were also reported by other studies, lower PP alkoxides are applied for machine tool and hydraulic systems [22].

3.3. Kinematic Viscosity and Viscosity Index

Kinematic viscosity (KV) and viscosity index (VI) of prepared alkoxides indicates the effect of temperature on the viscosity of alkoxides. A low VI intends a prominent change of viscosity with temperature. In other words, the alkoxide becomes very thin at high temperatures and very thick at low temperatures. On the other hand, high VI signifies relatively minor change in viscosity over a wide temperature range. Ideal alkoxide should maintain the constant viscosity during temperature changes. Kinematic viscosity (KV) of the formulated alkoxides derivatives are reported in Table 1, ECO derived alkoxides have a higher viscosity as compared to ECB due to the presence of triacylglycerol in ECO derivatives. The KV of the formulated derivatives is found to be in the range of 18 to 1822 cSt at 40 °C and 4.2 to 102 cSt at 100 °C. Viscosities of the ECB derivatives are found to be lower than its derivatives due to the difference in molecular size. Viscosity attenuation was observed with an increase in chain length of the alkoxylated products due to branching, which tends to introduce spericity in the molecule, causing a decreasing trend in the viscosity [23]. Likewise, viscosity index (VI) of the formulated derivatives are found to be in the range of 115 to 150 and these VI values are on par with ISO VG 32, 46; paraffin VG 95, 460; SAE20W40 and AG 100 grade lubricants in the market [20]. ECB derived alkoxides exhibited higher VI values, which signifies that there is a minor change in viscosity over a wide temperature range. Further, mono-hydroxylated chemical structures was obtained for the end products in this study, which can be applied for various liquid lubricant applications depending on their physico-chemical properties. On the other hand, polyolesters or chemically more hydroxylated structured derivatives from vegetable oils were more useful in various polymer applications [22,23]. Depending on the PP and VI values of the formulated products, ECO/ECB derivatives match with the SAE20W40 and AG 100 lubricants. Therefore, the prepared ECO/ECB alkoxy derivatives can be a potential replacement for SAE20W40 and AG 100 lubricants in the market [20].

3.4. Rheological Behavior

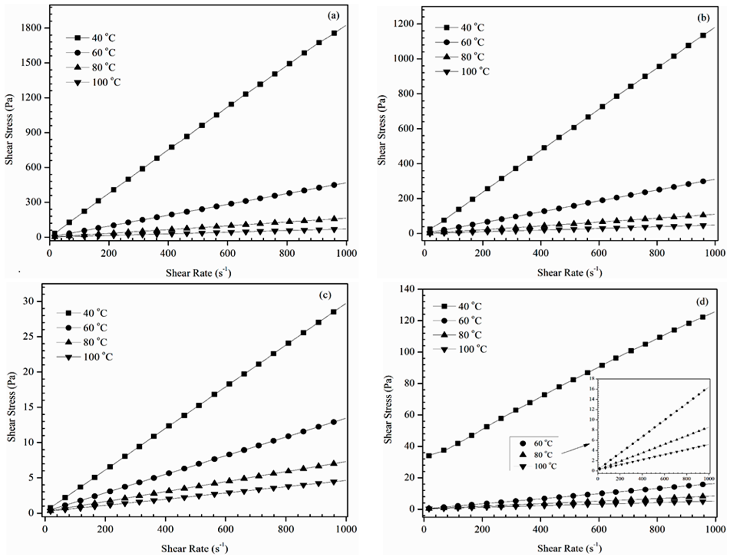
Shear stress versus shear rate flow curves of the prepared ECO/ECB alkoxy derivatives at 40, 60, 80 and 100 °C are shown in Figure 1. These results revealed a linear relationship between shear stress and shear rate, in spite of the change in temperature; which signifies that all formulated alkoxy derivatives showed a typical Newtonian fluid behavior. It was also noticed that the average shear stress value decrease by increasing temperature and shear rate. Likewise, Figure 2 shows shear rate versus viscosity measurements for all the alkoxy derivatives. In spite of temperature variations, alkoxylation of ECB with 2-propanol and TBA showed (Figure 2c,d) constant viscosity with shear rate, which also supports the Newtonian behavior. Among all the four formulated alkoxy derivatives, alkoxylation of ECB with 2-propanol and TBA showed (Figure 2c,d) a shear thinning behavior at low shear rates (up to 100 s−1) at all the tested temperatures. However, beyond the shear rate of 100 s−1, it showed Newtonian behavior. This could be attributed to the alignment of anisotropic long carbon chains under shear which are present in the ECO and ECB [24].
Similarly, Figure 2 illustrates the change in viscosity as a function of temperature varying at 40, 60, 80 and 100 °C for the prepared alkoxy derivatives. Analyzing the influence of temperature on the viscosity of the alkoxy derivatives revealed an exponentially decreasing trend (Figure 2; Table 2), which is due to higher thermal moment among molecules. Similar results were reported by Borugadda and Goud during their study and an agreement was found with the other studies [24,25]. Therefore, based on the aforementioned rheological characteristics of the formulated derivatives, it could be predicted that the prepared alkoxides provide smooth performance during their usage without any operational difficulties.

3.5. Wear Scar Diameter (WSD)

The crucial property of the lubricants is to hold the stationary lubricating film at the metal contact zone; thereby static lubricant film can prevent the wear of metal surface. From the previous reports, it was noticed that renewable oils and their fatty acid esters are well-known to supply excellent lubricity due to their ester functionality [18]. Initially, WSD of the standard diesel fuel (SDF) sample was found to be 600 µm, after addition of 10% of formulated basestocks (PCOB, BCOB, PCBB, and BCBB) lubricity of the alkoxy derivatives were reduced significantly (Figure 3; Table 1). Thus, the addition of small amounts of prepared alkoxides enhanced the lubricity of SDF highly and reduced the WSD by more than 446 µm for all the formulated derivatives. The highest values of WSD was found for the PCOB and BCOB (142 and 154 µm) due to the intramolecular hydrogen bonding and stearic hindrances present in them, which enhances the viscosity and thus lowers the solubility in the SDF sample and led to more WSD.
Furthermore, lower WSD was found for PCBB and BCBB (112 and 127 µm), this difference owes to the lower number of aliphatic carbon atoms present in ECB alkoxy derivatives compared with ECO alkoxy derivatives, which makes less viscous and less non-polar and, hence, increases the solubility in SDF sample and results in less WSD. Also, the improved lubricity property of ECB alkoxy derivatives also justified by the presence of ester functionalities at 9, 10 positions on the fatty acid, which are free of hydrogen bonding and help the alkoxides adhere to the metal surface, develops the anti-frictional film and reduce friction [26]. The observed difference in WSD values can also be explained and supported by the chemical composition of fatty acids and polar nature of the alkoxides. Alkoxylation increases the chain length via branching, and the ester shows improved lubricity performance. Another finding also reported that these alkoxides can exhibit satisfactory lubricant properties via strong chemical and physical adsorption of the metal with the contact surface. This can be attributed to the presence of polar functional groups of the triacylglycerol molecules which forms a non-polar molecular layer that separates the metal surface from friction [18].

3.6. Thermal and Oxidative Stability by TGA

The ability of a prepared alkoxide to resist thermal and oxidative degradation is another significant factor for biolubricant application. The presence of bis-allylic protons in plant oils are susceptible to radical attach followed by oxidative degradation to form polar oxy compounds. This degradation leads to an increase in alkoxides viscosity and acidity [25,26]. Therefore, the prepared alkoxides were screened for thermo-oxidative stability by TGA. The onset temperature is defined as the temperature at which the weight loss begins up on heating the alkoxides at a constant heating rate. A high onset temperature would indicate high thermal and oxidation stability of the alkoxides, weight loss of the each alkoxide was calculated by considering the thermal degradation profile. TGA was used to understand the thermo-oxidative stability and degradation profile of the prepared alkoxides. From Table 3 and Table 4 to Figure 4 and Figure 5 show that the thermal and oxidative degradation of all the prepared alkoxides takes place in a single continuous step. Onset temperatures (in N2) of the alkoxides revealed that they are stable up to 300–325 °C. Alkoxylation (BCOB, BCBB) with a tertiary alcohol (TBA) are found to be highly thermally stable (Table 3) than secondary alcohol derivatives, weight loss profile showed the same outcomes. Similarly, oxidative stability of the alkoxides are determined as for quality-indicative parameter in an oxygen atmosphere to predict the actual service life at higher temperatures and pressures. Oxidative onset temperatures disclosed that ECB and ECO alkoxide derivatives are stable up to 248–255 °C and 310–325 °C respectively (Table 4). Compared to ECB alkoxy derivatives, ECO alkoxy derivatives are highly stable in an oxygen atmosphere (Table 4). Above all, ECO alkoxy derivatives exhibited higher thermo-oxidative stability due to the presence of glycerol in the ECO (Table 3 and Table 4). However, all the alkoxides prepared in this study can be used potentially up to their onset temperatures (Table 3 and Table 4) in the respective atmospheres.

3.7. Kinetic and Thermodynamic Studies

In the present investigation, the kinetic studies were carried out for the alkoxylation reaction at 60, 70, 80 and 90 °C; the other experimental conditions were according to the optimal conditions described in experimental section. Figure 6 shows the effects of reaction temperature and time on conversion of epoxide into the alkoxy derivative and it was found that the reaction rate increased with the rise in temperature. Alkoxylation of ECB showed 70% (2-propanol, Figure 6a), 60% (TBA, Figure 6b) of the epoxy conversion during the first 90 min of reaction, after that the final conversion was similar for all reactions with TBA, 2-propanol (Figure 6a,b). But, during the alkoxylation of ECO, at low temperatures (60 and 70 °C), reaction was slow and conversion almost remained constant for ECO with TBA (Figure 6d). Therefore, in order to find the conversion at lower temperatures for longer reaction times, alkoxylation with TBA was continued for 20 h and conversion was found to be 38.3% at 60 °C and 98.5% at 70 °C. Similarly, alkoxylation of ECO with 2-propanol at lower temperatures showed identical conversion progress with respect to TBA. However, for both alkoxylation reagents, 90 °C was found to be favorable for 100% epoxide conversion. Therefore, due to unfavorable outcomes of alkoxylation of ECO with 2-propanol and TBA, the kinetics were calculated only for the alkoxylation of ECB with 2-propanol and TBA.
The alkoxylation reaction between oxirane groups of ECB and alkoxylation reagents 2-propanol, TBA takes place in a single step (see Equation (1)) and was considered to be rate limiting to form an alkoxide. Therefore, the rate (kinetic equation) of alkoxylation reaction can be given by Equation (2).
E C B   +   RR   k 1 CB
d C ECB d t   =   k 1   [ C ECB ]   [ C RR ]
where CECB denotes the concentration of epoxidized canola biodiesel; CRR denotes the concentration of alkoxylation reagents.
During the test runs, 1:6 molar ratio of epoxide to alcohol ratio was found to be effective for best conversion. Therefore, CRR,0 = 6CECB,0, where CRR,0 and CECB,0 denotes initial concentrations of 2-propanol, TBA and ECB respectively. Also, CRR = CECB,0 (6 − XECB), CECB = CECB,0 (1 − XECB); therefore using aforementioned correlations, Equation (2) can be rewritten as:
d [ C ECB , 0   ( 1   -   X ECB ) ] d t   =   k 1   [ C ECB , 0   ( 1   -   X ECB ) ]   [ C ECB , 0   ( 6   -   X ECB ) ]
where, XECB is epoxide conversion, CECB,0 is initial concentration of ECB.
d ( 1   -   X ECB ) d t   =   k 1   C ECB , 0   ( 1   -   X ECB )   ( 6   -   X ECB )
d ( X ECB ) ( 1   -   X ECB )   ( 6   -   X ECB )   =   k 1   C ECB , 0   d t
Further, after integration Equation (5) is reduced to:
ln ( 6   -   X ECB )   -   ln ( 1   -   X ECB )   =   5   C ECB , 0   t +   C
where C is a constant.
The rate constant (k) value for each temperature was determined as the slope of plot between ln(6 − XECB) − ln(1 − XECB) vs. reaction time and the graphical representation of Equation (6) is shown in Figure 7 at various reaction temperatures (60, 70, 80 and 90 °C). The results of the regression analysis of the data are plotted in Figure 8. The kinetic constants (k) and R2 values are shown in Table 5 and Table 6. From these Tables, it was noticed that the rate constants linearly increased with increase in reaction temperature, which signifies that the higher temperature boosts the conversion rate. The results clearly show that the reaction rate constants depend strongly on temperature. The higher values of R2 coefficient show that the data are a good fit to the kinetic model.
The activation energy (Ea) was calculated from the Arrhenius equation (Equation (7)). The rate constant with reaction temperature was applied to the Arrhenius equation to compute the activation energy.
k =   A   exp ( - E a / R T )
where k is the rate constant, A is the frequency factor, R is the universal gas constant and T is the absolute temperature. In order to find out Ea from the slope of the curve Equation (7) could be linearized as shown in Figure 8 The value of Ea was found to be 11.9 and 10.7 KJ mol−1, respectively, for 2-propanol and TBA.
The enthalpy of activation, ΔH, was calculated using the following equation:
Δ H = E R T
The average energy of activation, ΔS, was calculated using Eyring equation and the free energy of activation, ΔF, was obtained from the following relationship:
Δ F = Δ H T Δ S
The thermodynamic properties of the ring-opening of ECB with 2-propanol and TBA were calculated using aforementioned relationships and are shown in Table 5 and Table 6.
The positive values of ΔH and ΔG signify that the alkoxylation reactions are endergonic, non-spontaneous and endothermic in nature. The negative value of ΔS indicates that the transition state has a higher degree of ordered geometry/alignment than the reactants in the ground state [27]. The increased conversion was noticed during the rise in temperature signifying that heat input is required to bring the reactants to the transition state in order to form the products [28].

3.8. Biodegradability of the Alkoxides

The bio-kinetic model was employed as per ASTM D 7373-12 to measure the effective composition to biodegradation (ECB) of the prepared alkoxides. The estimated biodegradation profile of duplicate tests carried out for canola oil derived alkoxides are found to be 94.67 ± 1.35, 89.27 ± 1.58 respectively for canola oil and biodiesel derived alkoxides. From the biodegradability test, it was found that the prepared alkoxides are biodegradable and showed good reproducibility among the duplicate test runs. During the study, it was also noticed that oil derived alkoxides are exhibiting higher degradability due to the presence of glycerol, than methyl ester derived alkoxides.

4. Conclusions

The findings from this study revealed that the series of structural modifications (epoxidation and alkoxylation) to CO and CB can formulate value added products which can be a possible replacement for conventional automobile lubricants. Low-temperature properties, viscosity, and viscosity index measurements strongly support that, the formulated alkoxides could be a potential replacement as AG100 and SAE20W40 along with ISO VG32, 46, 68 and 100 lubricants. Kinetics of this study has shown that the alkoxylation of the ECO is slow (at 60 °C) and reaction requires longer reaction times for complete conversion (at 70 and 80 °C). However, for ECB alkoxylation takes place at lower temperatures (at 60 °C), it may be attributed to the absence of bulkier glycerol molecules. Frictional properties and rheological measures also showed that the formulated basestocks can reduce the friction and provide smooth performance during their use without any additives. Biodegradability study also disclosed that the prepared alkoxides are biodegradable.

Supplementary Materials

The following are available online at www.mdpi.com/2075-4442/5/2/11/s1.

Author Contributions

Venu Babu Borugadda and Asish K. R. Somidi conceived and designed the experiments; Venu Babu Borugadda performed the experiments; Venu Babu Borugadda, Asish K. R. Somidi, and Ajay K. Dalai analyzed the data; Venu Babu Borugadda wrote the paper.

Conflicts of Interest

The authors declare no conflict of interest.

Abbreviations

2-EH2-Ethyl 1-Hexanol
BCBBButylated Canola Biodiesel derived Biolubricant basestock
BCOBButylated Canola Oil derived Biolubricant basestock
CBCanola Biodiesel
COCanola Oil
CPCloud Point
ECBEpoxidized Canola Biodiesel
ECOEpoxidized Canola Oil
HMBCHeteronuclear Multi-bond Correlation Spectroscopy
HSQCHeteronuclear Single Quantum Correlation Spectroscopy
KVKinematic Viscosity
OIPOxidative Induction Period
OITOxidative Induction Tim
PCBBPropylated Canola Biodiesel derived Biolubricant basestock
PCOBPropylated Canola Oil derived Biolubricant basestock
PPPour point
SDFStandard Diesel Fue
TBAtert-Butyl alcohol
TGAThermo Gravimetric Analysis
VIViscosity Index
WSDWear Scar Diameter

References

  1. Omonov, T.S.; Kharraz, E.; Curtis, J.M. The epoxidation of canola oil and its derivatives. RSC Adv. 2016, 6, 92874–92886. [Google Scholar] [CrossRef]
  2. Murphy, A.; Dubois, G.; Stack, T.D.P. Efficient Epoxidation of Electron-Deficient Olefins with a Cationic Manganese Complex. J. Am. Chem. Soc. 2003, 125, 5250–5251. [Google Scholar] [CrossRef] [PubMed]
  3. Limniois, D.; Kokotos, C.G. 2,2,2-Trifluoroacetophenone: An Organocatalyst for an Environmentally Friendly Epoxidation of Alkenes. J. Org. Chem. 2014, 79, 4270–4276. [Google Scholar] [CrossRef] [PubMed]
  4. Madankar, C.S.; Dalai, A.K.; Naik, S.N. Green synthesis of biolubricant base stock from canola oil. Ind. Crops Prod. 2013, 44, 139–144. [Google Scholar] [CrossRef]
  5. Randles, S.J.; Wright, M. Environmentally considerate ester lubricants for automotive and engineering industries. J. Synth. Lubr. 1992, 9, 145–161. [Google Scholar] [CrossRef]
  6. Lathi, P.S.; Mattiasson, B. Green approach for the preparation of biodegradable lubricant base stock from epoxidized vegetable oil. Appl. Catal. 2007, 69, 207–212. [Google Scholar] [CrossRef]
  7. Philippe, C.; Milcent, T.; Crousse, B.; Delpon, D.B. Non Lewis acid catalysed epoxide ring opening with amino acid esters. Org. Biomol. Chem. 2009, 7, 2026–2028. [Google Scholar] [CrossRef] [PubMed]
  8. Von, V. Heterogeneously Catalyzed Reactions with Vegetable Oils: Epoxidation and Nucleophilic Epoxide Ring-Opening with Alcohols; M.Sc-Chemisch Ingenieur Luis Alberto Rios: Aus Medellín, Colombia, 2002; pp. 83–109. [Google Scholar]
  9. Geetanjali, G.; Padmaja, K.V.; Sammaiah, A.; Prasad, R.B.N. Synthesis, Characterization and evaluation of 10-undeconic acid-based epithio derivatives as multifunctional additives. J. Agric. Food Chem. 2014, 62, 11505–11511. [Google Scholar] [CrossRef] [PubMed]
  10. Kamalakar, K.; Rajak, A.K.; Prasad, R.B.N.; Karuna, M.S.L. Rubber seed oil-based biolubricant base stocks: A potential source for hydraulic oils. Ind. Crops Prod. 2013, 51, 249–257. [Google Scholar] [CrossRef]
  11. Kamalakar, K.; Gorantla, N.V.T.; Manoj, S.; Prasad, R.B.N.; Karuna, M.S.L. Novel acyloxy derivatives of branched mono- and polyol esters of sal fat: Multi viscosity grade lubricant base stocks. J. Agric. Food Chem. 2014, 49, 11980–11987. [Google Scholar] [CrossRef] [PubMed]
  12. Kulkarni, R.D.; Deshpande, P.S.; Mahajan, S.U.; Mahulikar, P.P. Epoxidation of mustard oil and ring opening with 2-ethylhexanol for biolubricants with enhanced thermo-oxidative stability and cold flow characteristics. Ind. Crops Prod. 2013, 49, 586–592. [Google Scholar] [CrossRef]
  13. Casseus, L. Canola: A Canadian Success Story. Available online: http://www.statcan.gc.ca/pub/96-325-x/2007000/article/10778-eng.htm (accessed on 10 November 2016).
  14. Xia, Y.; Larock, R.C. Vegetable oil-based polymeric materials: Synthesis, properties, and applications. Green Chem. 2010, 12, 1893–1909. [Google Scholar] [CrossRef]
  15. Sharma, R.V.; Somidi, A.K.R.; Dalai, A.K. Preparation and Properties Evaluation of Biolubricants Derived from Canola Oil and Canola Biodiesel. J. Agric. Food Chem. 2015, 63, 3235–3242. [Google Scholar] [CrossRef] [PubMed]
  16. Somidi, A.K.R.; Das, U.; Dalai, A.K. One-pot synthesis of canola oil based biolubricants catalyzed by MoO3/Al2O3 and process optimization study. Chem. Eng. J. 2016, 293, 259–272. [Google Scholar] [CrossRef]
  17. Borugadda, V.B.; Goud, V.V. Improved thermo-oxidative stability of structurally modified waste cooking oil methyl esters for bio-lubricant application. J. Clean. Prod. 2016, 112, 4515–4524. [Google Scholar] [CrossRef]
  18. Sripada, P.K.; Sharma, R.V.; Dalai, A.K. Comparative study of tribological properties of TMP based biolubricants derived from methyl oleate and canola biodiesel. Ind. Crops Prod. 2013, 50, 95–103. [Google Scholar] [CrossRef]
  19. Borugadda, V.B.; Goud, V.V. Synthesis of waste cooking oil epoxide as a bio-lubricant base stock: Characterization and optimization study. J. Bioprocess Eng. Biorefin. 2014, 3, 1–14. [Google Scholar] [CrossRef]
  20. McNutt, J.; He, Q. Development of biolubricants from vegetable oils via chemical modification. J. Ind. Eng. Chem. 2016, 36, 1–12. [Google Scholar] [CrossRef]
  21. Castro, M.; Perez, J.M.; Erhan, S.Z.; Caputo, F. A study of the oxidation and wear properties of vegetable oils: Soybean oil without additives. J. Am. Oil Chem. Soc. 2006, 83, 47–52. [Google Scholar] [CrossRef]
  22. Sammaiah, A.; Padmaja, K.V.; Prasad, R.B.N. Synthesis and evaluation of novel acyl derivatives from jatropha oil as potential lubricant basestocks. J. Agric. Food Chem. 2014, 62, 4652–4660. [Google Scholar] [CrossRef] [PubMed]
  23. Sharma, B.K.; Adhvaryu, A.; Erhan, S.Z. Synthesis of hydroxy thio-ether derivatives of vegetable oil. J. Agric. Food Chem. 2006, 54, 9866–9872. [Google Scholar] [CrossRef] [PubMed]
  24. Borugadda, V.B.; Goud, V.V. Physicochemical and rheological characterization of waste cooking oil epoxide and their blends. Waste Biomass Valoriz. 2016, 7, 23–30. [Google Scholar] [CrossRef]
  25. Borugadda, V.B.; Goud, V.V. Improved low-temperature properties of chemically modified high free fatty acid castor oil–methyl esters: Blending and optimization study. J. Energy Eng. 2016, 142, 04015020. [Google Scholar] [CrossRef]
  26. Adhvaryu, A.; Erhan, S.Z.; Perez, J.M. Tribological studies of thermally and chemically modified vegetable oils for use as environmentally friendly lubricants. Wear 2004, 257, 359–367. [Google Scholar] [CrossRef]
  27. Deshmane, V.G.; Adewuyi, Y.G. Synthesis and kinetics of biodiesel formation via calcium methoxide base catalyzed transesterification reaction in the absence and presence of ultrasound. Fuel 2013, 107, 474–482. [Google Scholar] [CrossRef]
  28. Sarve, A.N.; Varma, M.N.; Sonawane, S.S. Ultrasound-assisted two-stage biodiesel synthesis from non-edible Schleicheratriguga oil using heterogeneous catalyst: Kinetics and thermodynamic analysis. Ultrason. Sonochem. 2016, 29, 288–298. [Google Scholar] [CrossRef] [PubMed]
Figure 1. Shear rate vs. shear stress relation for (a) Propylated canola oil derived biolubricant basestock; (b) Butylated canola oil biolubricant basestock; (c) Propylated canola biodiesel derived biolubricant basestock; (d) Butylated canola biodiesel derived biolubricant basestock.
Figure 1. Shear rate vs. shear stress relation for (a) Propylated canola oil derived biolubricant basestock; (b) Butylated canola oil biolubricant basestock; (c) Propylated canola biodiesel derived biolubricant basestock; (d) Butylated canola biodiesel derived biolubricant basestock.
Lubricants 05 00011 g001
Figure 2. Shear rate vs. viscosity relation for (a) Propylated canola oil derived biolubricant basestock; (b) Butylated canola oil biolubricant basestock; (c) Propylated canola biodiesel derived biolubricant basestock; (d) Butylated canola biodiesel derived biolubricant basestock.
Figure 2. Shear rate vs. viscosity relation for (a) Propylated canola oil derived biolubricant basestock; (b) Butylated canola oil biolubricant basestock; (c) Propylated canola biodiesel derived biolubricant basestock; (d) Butylated canola biodiesel derived biolubricant basestock.
Lubricants 05 00011 g002
Figure 3. Wear Scar Diameter (WSD) values of the standard diesel fuel (SDF) and products.
Figure 3. Wear Scar Diameter (WSD) values of the standard diesel fuel (SDF) and products.
Lubricants 05 00011 g003
Figure 4. Thermogravimetric and differential thermal analysis thermograms (thermal stability) for (a) Propylated canola oil derived biolubricant basestock; (b) Butylated canola oil biolubricant basestock; (c) Propylated canola biodiesel derived biolubricant basestock; (d) Butylated canola biodiesel derived biolubricant basestock.
Figure 4. Thermogravimetric and differential thermal analysis thermograms (thermal stability) for (a) Propylated canola oil derived biolubricant basestock; (b) Butylated canola oil biolubricant basestock; (c) Propylated canola biodiesel derived biolubricant basestock; (d) Butylated canola biodiesel derived biolubricant basestock.
Lubricants 05 00011 g004
Figure 5. Thermogravimetric and differential thermal analysis thermograms (oxidative stability) for (a) Propylated canola oil derived biolubricant basestock; (b) Butylated canola oil biolubricant basestock; (c) Propylated canola biodiesel derived biolubricant basestock; (d) Butylated canola biodiesel derived biolubricant basestock.
Figure 5. Thermogravimetric and differential thermal analysis thermograms (oxidative stability) for (a) Propylated canola oil derived biolubricant basestock; (b) Butylated canola oil biolubricant basestock; (c) Propylated canola biodiesel derived biolubricant basestock; (d) Butylated canola biodiesel derived biolubricant basestock.
Lubricants 05 00011 g005
Figure 6. Conversion vs reaction time for (a) Propylated canola oil derived biolubricant basestock; (b) Butylated canola oil biolubricant basestock; (c) Propylated canola biodiesel derived biolubricant basestock; (d) Butylated canola biodiesel derived biolubricant basestock.
Figure 6. Conversion vs reaction time for (a) Propylated canola oil derived biolubricant basestock; (b) Butylated canola oil biolubricant basestock; (c) Propylated canola biodiesel derived biolubricant basestock; (d) Butylated canola biodiesel derived biolubricant basestock.
Lubricants 05 00011 g006
Figure 7. Plot of ln(6 − XECB) − ln(1 − XECB) vs. reaction time for (a) Propylated canola biodiesel derived biolubricant basestock and (b) Butylated canola biodiesel derived biolubricant basestock.
Figure 7. Plot of ln(6 − XECB) − ln(1 − XECB) vs. reaction time for (a) Propylated canola biodiesel derived biolubricant basestock and (b) Butylated canola biodiesel derived biolubricant basestock.
Lubricants 05 00011 g007
Figure 8. Arrhenius plot (ln k vs. 1/T) for (a) Propylated canola biodiesel derived biolubricant basestock and (b) Butylated canola biodiesel derived biolubricant basestock.
Figure 8. Arrhenius plot (ln k vs. 1/T) for (a) Propylated canola biodiesel derived biolubricant basestock and (b) Butylated canola biodiesel derived biolubricant basestock.
Lubricants 05 00011 g008
Table 1. Physical properties of prepared biolubricant basestocks.
Table 1. Physical properties of prepared biolubricant basestocks.
PropertyPCOBBCOBPCBBBCBB
Viscosity (40 °C, cSt)1822.22661.2321.4918
Viscosity (100 °C, cSt)102454.794.2
VI135115150142
WSD (µm)142154112127
CP (°C)--1120
PP (°C)82−21−7
Table 2. Temperature and dynamic viscosity relation of the prepared biolubricant basestocks.
Table 2. Temperature and dynamic viscosity relation of the prepared biolubricant basestocks.
Name of the Biolubricant BasestockViscosity (Pa·s)
40 °C60 °C80 °C100 °C
Propylated canola oil1.870.470.160.07
Butylated canola oil1.190.310.110.05
Propylated canola biodiesel0.030.010.0080.005
Butylated canola biodiesel0.240.020.0090.006
Table 3. Thermal stability and degradation profile of the prepared biolubricant basestocks.
Table 3. Thermal stability and degradation profile of the prepared biolubricant basestocks.
Name of the Biolubricant BasestockOnset Temperature (°C)Maximum Decomposition Temperature (°C)Weight Loss (%) in N2
10%50%90%
Propylated canola oil300351285336363
Butylated canola oil315335292335363
Propylated canola biodiesel300392270369419
Butylated canola biodiesel325396290381427
Table 4. Oxidative stability and degradation profile of the prepared biolubricant basestocks.
Table 4. Oxidative stability and degradation profile of the prepared biolubricant basestocks.
Name of the Biolubricant BasestockOxidative Onset Temperature (°C)Maximum Decomposition Temperature (°C)Weight Loss (%) in O2
10%50%90%
Propylated canola oil248296227283321
Butylated canola oil255306252303346
Propylated canola biodiesel310391302390461
Butylated canola biodiesel325407304392478
Table 5. Kinetic parameters for alkoxylation of effective composition to biodegradation (ECB) with 2-propanol.
Table 5. Kinetic parameters for alkoxylation of effective composition to biodegradation (ECB) with 2-propanol.
Temperature (K)k (min−1)R2ΔH (kJ/mol)ΔS (J/mol)ΔF (kJ/mol)
333.152.460.969.15−202.676.64
343.152.810.979.06−202.878.65
353.153.160.968.98−20380.66
363.153.510.968.89−203.382.71
Table 6. Kinetic parameters for alkoxylation of ECB with tert-butyl alcohol.
Table 6. Kinetic parameters for alkoxylation of ECB with tert-butyl alcohol.
Temperature (K)k (min−1)R2ΔH (kJ/mol)ΔS (J/mol)ΔF (kJ/mol)
333.154.690.987.93−200.8574.84
343.155.310.997.85−200.9976.81
353.155.710.977.77−201.578.92
363.156.530.987.68−201.480.81

Share and Cite

MDPI and ACS Style

Borugadda, V.B.; Somidi, A.K.R.; Dalai, A.K. Chemical/Structural Modification of Canola Oil and Canola Biodiesel: Kinetic Studies and Biodegradability of the Alkoxides. Lubricants 2017, 5, 11. https://doi.org/10.3390/lubricants5020011

AMA Style

Borugadda VB, Somidi AKR, Dalai AK. Chemical/Structural Modification of Canola Oil and Canola Biodiesel: Kinetic Studies and Biodegradability of the Alkoxides. Lubricants. 2017; 5(2):11. https://doi.org/10.3390/lubricants5020011

Chicago/Turabian Style

Borugadda, Venu Babu, Asish K. R. Somidi, and Ajay K. Dalai. 2017. "Chemical/Structural Modification of Canola Oil and Canola Biodiesel: Kinetic Studies and Biodegradability of the Alkoxides" Lubricants 5, no. 2: 11. https://doi.org/10.3390/lubricants5020011

APA Style

Borugadda, V. B., Somidi, A. K. R., & Dalai, A. K. (2017). Chemical/Structural Modification of Canola Oil and Canola Biodiesel: Kinetic Studies and Biodegradability of the Alkoxides. Lubricants, 5(2), 11. https://doi.org/10.3390/lubricants5020011

Note that from the first issue of 2016, this journal uses article numbers instead of page numbers. See further details here.

Article Metrics

Back to TopTop