Nanostructure of Superlubricating Tribofilm Based on Friction-Induced a-C:H Films under Various Working Conditions: A Review of Solid Lubrication
Abstract
1. Introduction
2. Atmospheric Environment
2.1. Nanostructure of Transfer Film
2.2. Effects on Surface Structure
3. Dry Inert Environment
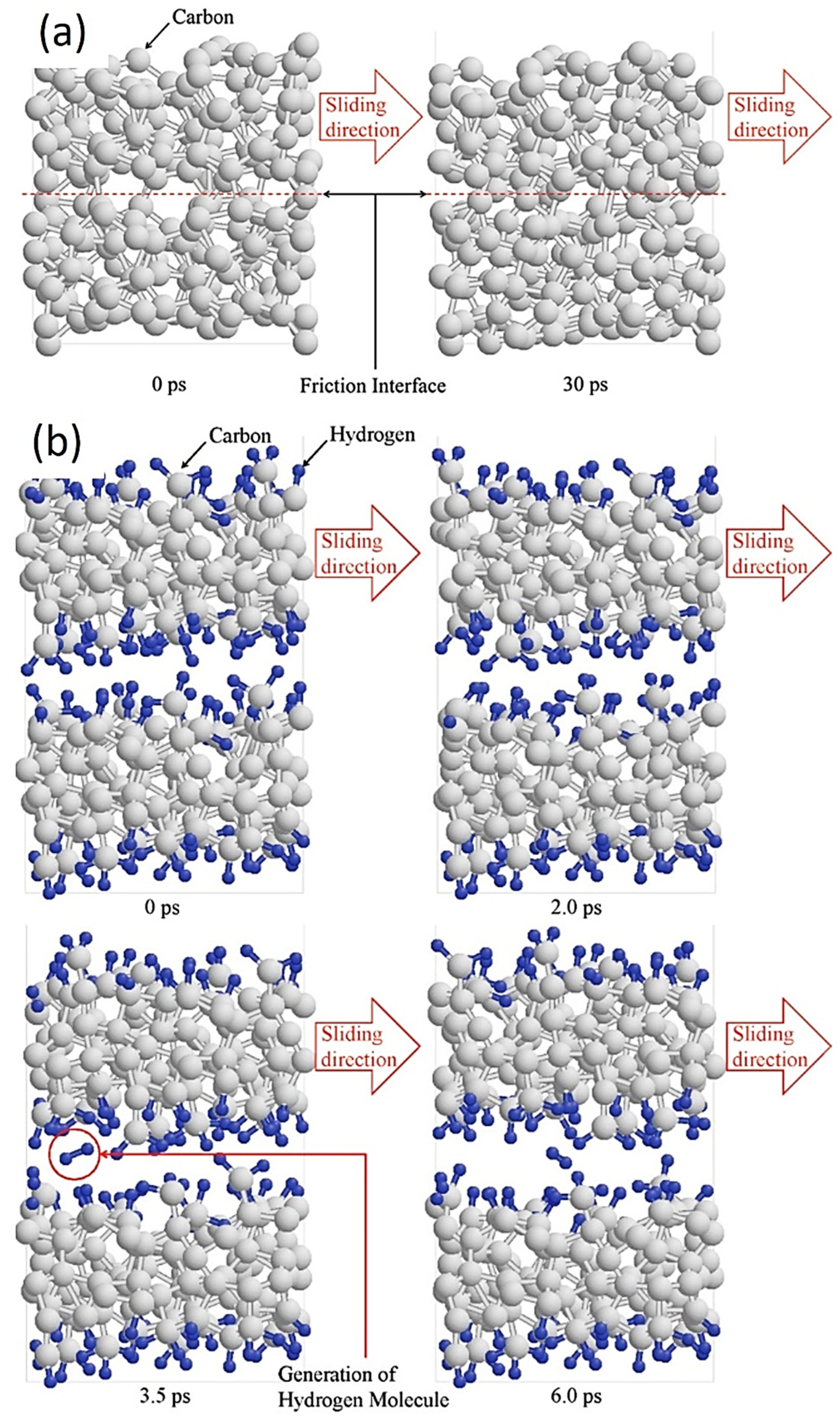
3.1. Nanostructure of Transfer Film
3.2. Effects on Surface Structure
4. Harsh Environment
4.1. Combustible Gas Environment
4.1.1. Nanostructure of Transfer Film
4.1.2. Effects on Surface Structure
4.2. Ultra-High Vacuum Environment
4.2.1. Nanostructure of Transfer Film
4.2.2. Effects on Surface Structure
5. Humid Environment
5.1. Nanostructure of Transfer Film
5.2. Effects on Surface Structure
6. Lubrication Mechanism
6.1. Computational Simulation of the Formation of the Transfer Film
6.2. Material Composition of Tribo-Couples
6.3. Comparative Summary of the Formation of the Transfer Film
- (a)
- Atmospheric environment
- (b)
- Dry inert environment
- (c)
- Harsh environment
- (c-i)
- Under the combustible gas environment
- (c-ii)
- Under an ultra-high vacuum environment
- (d)
- Humid environment
7. Conclusions and Perspectives
Author Contributions
Funding
Data Availability Statement
Conflicts of Interest
References
- Erdemir, U.A.; Eryilmaz, O.L.; Nilufer, I.B.; Fenske, G.R. Synthesis of superlow-friction carbon films from highly hydrogenated methane plasmas. Surf. Coat. Technol. 2000, 133–134, 448–454. [Google Scholar] [CrossRef]
- Yue, Z.F.; Wang, H.; Fan, X.Q.; Li, H.; Zhang, J.Y.; Zhu, M.H. Regulating the fretting behavior of diamond-like carbon films by changing the composition and structure. Carbon 2023, 212, 118097. [Google Scholar] [CrossRef]
- Johnson, J.A.; Woodford, J.B.; Erdemir, A.; Fenske, G.R. Near-surface characterization of amorphous carbon films by neutron reflectivity. Appl. Phys. Lett. 2003, 83, 452–454. [Google Scholar] [CrossRef]
- Stoyanov, P.; Romero, P.A.; Merz, R.; Kopnarski, M.; Stricker, M.; Stemmer, P.; Dienwiebel, M.; Moseler, M. Nanoscale sliding friction phenomena at the interface of diamond-like carbon and tungsten. Acta Mater. 2014, 67, 395–408. [Google Scholar] [CrossRef]
- Donnet, C. Recent progress on the tribology of doped diamond like and carbon alloy coatings a review. Surf. Coat. Technol. 1998, 100–101, 180–186. [Google Scholar] [CrossRef]
- Johnson, J.A.; Holland, D.; Woodford, J.B.; Zinovev, A.; Gee, I.A.; Eryilmaz, O.L.; Erdemir, A. Top-surface characterization of a near frictionless carbon film. Diam. Relat. Mater. 2007, 16, 209–215. [Google Scholar] [CrossRef]
- Chen, X.; Li, J. Superlubricity of carbon nanostructures. Carbon 2020, 158, 1–23. [Google Scholar] [CrossRef]
- Yu, Q.; Chen, X.; Zhang, C.; Luo, J. Influence Factors on Mechanisms of Superlubricity in DLC Films: A Review. Front. Mech. Eng. 2020, 6, 65. [Google Scholar] [CrossRef]
- Liu, A.C.Y.; Arenal, R.; Miller, D.J. Structural order in near-frictionless hydrogenated diamondlike carbon films probed at three length scales via transmission electron microscopy. Phys. Rev. B 2007, 75, 205402. [Google Scholar] [CrossRef]
- Zhang, Z.; Chen, P.; Duan, X.; Zang, K.; Luo, J.; Duan, X. Robust epitaxial growth of two-dimensional heterostructures, multiheterostructures, and superlattices. Science 2017, 357, 788–792. [Google Scholar] [CrossRef]
- Saravanan, P.; Selyanchyn, R.; Tanaka, H.; Fujikawa, S.; Lyth, S.M.; Sugimura, J. Ultra-low Friction between Polymers and Graphene Oxide Multilayers in Nitrogen Atmosphere, Mediated by Stable Transfer Film Formation. Carbon 2017, 122, 395–403. [Google Scholar] [CrossRef]
- Eryilmaz, O.L.; Erdemir, A. Surface analytical investigation of nearly-frictionless carbon films after tests in dry and humid nitrogen. Surf. Coat. Technol. 2007, 201, 7401–7407. [Google Scholar] [CrossRef]
- Heimberg, J.A.; Wahl, K.J.; Singer, I.L.; Erdemir, A. Superlow friction behavior of diamond-like carbon coatings: Time and speed effects. Appl. Phys. Lett. 2001, 78, 2449–2451. [Google Scholar] [CrossRef]
- Turcheniuk, K.; Trecazzi, C.; Deeleepojananan, C.; Mochalin, V.N. Salt-assisted ultrasonic deaggregation of nanodiamond. ACS Appl. Mater. Interfaces 2016, 8, 25461–25468. [Google Scholar] [CrossRef]
- Yin, X.; Zhang, J.; Luo, T.; Cao, B.; Xu, J.; Chen, X.; Luo, J. Tribochemical mechanism of superlubricity in graphene quantum dots modified DLC films under high contact pressure. Carbon 2021, 173, 329–338. [Google Scholar] [CrossRef]
- Yin, X.; Wu, F.; Chen, X.; Xu, J.; Wu, P.; Li, J.; Zhang, C.; Luo, J. Graphene-induced reconstruction of the sliding interface assisting the improved lubricity of various tribo-couples. Mater. Des. 2020, 191, 108661. [Google Scholar] [CrossRef]
- Berman, D.; Erdemir, A.; Sumant, A.V. Approaches for achieving superlubricity in two-dimensional materials. ACS Nano 2018, 12, 2122–2137. [Google Scholar] [CrossRef] [PubMed]
- Chen, X.; Yin, X.; Qi, W.; Zhang, C.; Choi, J.; Wu, S.; Wang, R.; Luo, J. Atomic-scale insights into the interfacial instability of superlubricity in hydrogenated amorphous carbon films. Sci. Adv. 2020, 6, eaay1272. [Google Scholar] [CrossRef] [PubMed]
- Chen, X.; Zhang, C.; Kato, T.; Yang, X.; Wu, S.; Wang, R.; Nosaka, M.; Luo, J. Evolution of tribo-induced interfacial nanostructures governing superlubricity in a-C:H and a-C:H:Si films. Nat. Commun. 2017, 8, 1675. [Google Scholar] [CrossRef] [PubMed]
- Merkle, A.P.; Erdemir, A.; Eryilmaz, O.L.; Johnson, J.A.; Marks, L.D. In situ TEM studies of tribo-induced bonding modifications in near-frictionless carbon films. Carbon 2010, 48, 587–591. [Google Scholar] [CrossRef]
- Joly-Pottuz, L.; Matta, C.; de Barros Bouchet, M.I.; Vacher, B.; Martin, J.M.; Sagawa, T. Superlow friction of ta-C lubricated by glycerol: An electron energy loss spectroscopy study. J. Appl. Phys. 2007, 102, 064912. [Google Scholar] [CrossRef]
- Xu, J.; Luo, T.; Chen, X.; Zhang, C.; Luo, J. Nanostructured tribolayer-dependent lubricity of graphene and modified graphene nanoflakes on sliding steel surfaces in humid air. Tribol. Int. 2020, 145, 106203. [Google Scholar] [CrossRef]
- Fouts, J.A.; Shiller, P.J.; Mistry, K.K.; Evans, R.D.; Doll, G.L. Additive effects on the tribological performance of WC/a-C:H and TiC/a-C:H coatings in boundary lubrication. Wear 2017, 372–373, 104–115. [Google Scholar] [CrossRef]
- Benamor, A.; Kota, S.; Chiker, N.; Haddad, A.; Hadji, Y.; Natu, V.; Abdi, S.; Yahi, M.; Benamar, M.E.A.; Sahraoui, T.; et al. Friction and wear properties of MoAlB against Al2O3 and 100Cr6 steel counterparts. J. Eur. Ceram. Soc. 2019, 39, 868–877. [Google Scholar] [CrossRef]
- Wang, Q.; Zhou, F.; Zhu, L.; Zhang, M.; Kong, J. Mechanical and tribological evaluation of CrSiCN, CrBCN and CrSiBCN coatings. Tribol. Int. 2019, 130, 146–154. [Google Scholar] [CrossRef]
- Yin, X.; Jin, J.; Chen, X.; Rosenkranz, A.; Luo, J. Ultra-Wear-Resistant MXene-Based Composite Coating via in Situ Formed Nanostructured Tribofilm. ACS Appl. Mater. Interfaces 2019, 11, 32569–32576. [Google Scholar] [CrossRef]
- Echeverrigaray, F.G.; SR, S.d.M.; Leidens, L.M.; ME, H.M.d.C.; Alvarez, F.; Burgo, T.A.L.; Michels, A.F.; Figueroa, C.A. Towards superlubricity in nanostructured surfaces: The role of van der Waals forces. Phys. Chem. Chem. Phys. 2018, 20, 21949–21959. [Google Scholar] [CrossRef] [PubMed]
- Liu, X.; Yang, J.; Hao, J.; Zheng, J.; Gong, Q.; Liu, W. A near-frictionless and extremely elastic hydrogenated amorphous carbon film with self-assembled dual nanostructure. Adv. Mater. 2012, 24, 4614–4617. [Google Scholar] [CrossRef] [PubMed]
- Restuccia, P.; Righi, M.C. Tribochemistry of graphene on iron and its possible role in lubrication of steel. Carbon 2016, 106, 118–124. [Google Scholar] [CrossRef]
- Chen, X.; Yin, X.; Jin, J. A Study on the Wettability of Ion-Implanted Stainless and Bearing Steels. Metals 2019, 9, 208. [Google Scholar] [CrossRef]
- Wu, P.; Li, X.; Zhang, C.; Chen, X.; Lin, S.; Sun, H.; Lin, C.T.; Zhu, H.; Luo, J. Self-Assembled Graphene Film as Low Friction Solid Lubricant in Macroscale Contact. ACS Appl. Mater. Interfaces 2017, 9, 21554–21562. [Google Scholar] [CrossRef]
- Murashima, M.; Hojo, K.; Ito, S.; Umehara, N.; Tokoroyama, T.; Takahashi, T.; Imaeda, M. Nanotextured Mold Surface with DLC Coating for Reduction in Residual Ceramic Particles. Langmuir 2021, 37, 3563–3574. [Google Scholar] [CrossRef]
- Xiang, Z.Y.; Zhang, J.; Xie, S.; Mo, J.; Zhu, S.; Zhai, C. Friction-induced vibration and noise characteristics, and interface tribological behavior during high-speed train braking: The effect of the residual height of the brake pad friction block. Wear 2023, 516, 204619. [Google Scholar] [CrossRef]
- Zhang, H.B.; Wu, X.H.; Wang, W.Z. Effect of fluid pressure on adhesive wear of spherical contact. Tribol. Int. 2023, 187, 108723. [Google Scholar] [CrossRef]
- Zhu, X.; Wang, X.; Liu, Y.; Luo, Y.; Liu, Y.; Zhang, H.; Zhao, X. Effect of the Graphitization Mechanism on the Friction and Wear Behavior of DLC Films Based on Molecular Dynamics Simulations. Langmuir 2023, 39, 1905–1913. [Google Scholar] [CrossRef] [PubMed]
- Li, Z.; Ma, G.Z.; Xing, Z.G.; Yong, Q.S.; Zhao, H.C.; Huang, Y.F.; Guo, W.L.; Zhang, Z.A.; Wang, H.D. The effects of Cr and B doping on the mechanical properties and tribological behavior of multi-layered hydrogenated diamond-like carbon films. Surf. Coat. Technol. 2022, 431, 127977. [Google Scholar] [CrossRef]
- Wang, D.-S.; Chang, S.-Y.; Huang, Y.-C.; Wu, J.-B.; Lai, H.-J.; Leu, M.-S. Nanoscopic observations of stress-induced formation of graphitic nanocrystallites at amorphous carbon surfaces. Carbon 2014, 74, 302–311. [Google Scholar] [CrossRef]
- Cao, Z.; Zhao, W.; Liang, A.; Zhang, J. A General Engineering Applicable Superlubricity: Hydrogenated Amorphous Carbon Film Containing Nano Diamond Particles. Adv. Mater. Interfaces 2017, 4, 1601224. [Google Scholar] [CrossRef]
- Harada, D.; Tunmee, S.; Euaruksakul, C.; Rittihong, U.; Nakajima, H.; Aono, Y.; Hirata, Y.; Ohtake, N.; Akasaka, H. Investigation of the structure and tribological properties of laser-irradiated hydrogenated amorphous carbon films. Diam. Relat. Mater. 2023, 131, 109573. [Google Scholar] [CrossRef]
- Xiang, D.; Tan, X.; Sui, X.; He, J.; Chen, C.; Hao, J.; Liao, Z.; Liu, W. Comparative study on microstructure, bio-tribological behavior and cytocompatibility of Cr-doped amorphous carbon films for Co–Cr–Mo artificial lumbar disc. Tribol. Int. 2021, 155, 106760. [Google Scholar] [CrossRef]
- Gong, Z.; Bai, C.; Qiang, L.; Gao, K.; Zhang, J.; Zhang, B. Onion-like carbon films endow macro-scale superlubricity. Diam. Relat. Mater. 2018, 87, 172–176. [Google Scholar] [CrossRef]
- Manimunda, P.; Al-Azizi, A.; Kim, S.H.; Chromik, R.R. Shear-Induced Structural Changes and Origin of Ultralow Friction of Hydrogenated Diamond-like Carbon (DLC) in Dry Environment. ACS Appl. Mater. Interfaces 2017, 9, 16704–16714. [Google Scholar] [CrossRef]
- Wang, Y.; Gao, K.; Zhang, B.; Wang, Q.; Zhang, J. Structure effects of sp2-rich carbon films under super-low friction contact. Carbon 2018, 137, 49–56. [Google Scholar] [CrossRef]
- Wang, J.; Cao, X.; Lu, Z.; Zhang, G.; Xue, Q. The improved mechanical and tribological properties of amorphous carbon film by doping boron carbide. Ceram. Int. 2020, 46, 9878–9884. [Google Scholar] [CrossRef]
- Zhang, Y.; He, X.; Liu, M.; Zhang, K.; Singh, D.J.; Fan, X.; Wen, M.; Zheng, W. Enabling macroscopic superlubricity in TaC/a-C nanocomposite film by atomic-level Au. Scr. Mater. 2023, 228, 115329. [Google Scholar] [CrossRef]
- Nosaka, M.; Morisaki, Y.; Fujiwara, T.; Tokai, H.; Kawaguchi, M.; Kato, T. The Run-in Process for Stable Friction Fade-Out and Tribofilm Analyses by SEM and Nano-Indenter. Tribol. Online 2017, 12, 274–280. [Google Scholar] [CrossRef]
- Erdemir, A.; Eryilmaz, O. Achieving superlubricity in DLC films by controlling bulk, surface, and tribochemistry. Friction 2014, 2, 140–155. [Google Scholar] [CrossRef]
- Chen, L.; Wu, J.; Lu, Z.; Shang, L.; Zhang, G.; Xue, Q. Probing tribological performances of hydrogenated amorphous carbon film applied in methane by structural modification with boron. Wear 2021, 470–471, 203610. [Google Scholar] [CrossRef]
- Chen, L.; Wei, X.; Zhang, G.; Shang, L.; Lu, Z.; Nie, X.; Xue, Q. Probing the tribological performances of hydrogenated amorphous carbon film in methane atmosphere based on Hertzian elastic contact model. Tribol. Int. 2021, 155, 106790. [Google Scholar] [CrossRef]
- Erdemir, A.; Martin, J.M. Superior wear resistance of diamond and DLC coatings. Curr. Opin. Solid State Mater. Sci. 2018, 22, 243–254. [Google Scholar] [CrossRef]
- Rusanov, A.; Nevshupa, R.; Fontaine, J.; Martin, J.-M.; Le Mogne, T.; Elinson, V.; Lyamin, A.; Roman, E. Probing the tribochemical degradation of hydrogenated amorphous carbon using mechanically stimulated gas emission spectroscopy. Carbon 2015, 81, 788–799. [Google Scholar] [CrossRef]
- Wang, Y.; Yamada, N.; Xu, J.; Zhang, J.; Chen, Q.; Ootani, Y.; Higuchi, Y.; Ozawa, N.; De Barros Bouchet, M.-I.; Martin, J.M.; et al. Triboemission of hydrocarbon molecules from diamond-like carbon friction interface induces atomic-scale wear. Sci. Adv. 2019, 5, eaax9301. [Google Scholar] [CrossRef] [PubMed]
- Yi, S.; Chen, X.; Li, J.; Liu, Y.; Ding, S.; Luo, J. Macroscale superlubricity of Si-doped diamond-like carbon film enabled by graphene oxide as additives. Carbon 2021, 176, 358–366. [Google Scholar] [CrossRef]
- Yin, X.; Chen, H.; Jiang, L.; Liang, C.; Pang, H.; Liu, D.; Zhang, B. Effects of polyacrylic acid molecular weights on V2C-MXene nanocoatings for obtaining ultralow friction and ultralow wear in an ambient working environment. Phys. Chem. Chem. Phys. 2022, 24, 27406–27412. [Google Scholar] [CrossRef] [PubMed]
- Khan, A.M.; He, X.; Wu, H.; Desanker, M.; Erdemir, A.; Chung, Y.-W.; Wang, Q.J. Acid Treatment of Diamond-Like Carbon Surfaces for Enhanced Adsorption of Friction Modifiers and Friction Performance. Tribol. Lett. 2018, 66, 128. [Google Scholar] [CrossRef]
- Kalin, M.; Polajnar, M. The Effect of Wetting and Surface Energy on the Friction and Slip in Oil-Lubricated Contacts. Tribol. Lett. 2013, 52, 185–194. [Google Scholar] [CrossRef]
- Bellón Vallinot, I.; de la Guerra Ochoa, E.; Echávarri Otero, J.; Chacón Tanarro, E.; Fernández Martínez, I.; Santiago Varela, J.A. Individual and combined effects of introducing DLC coating and textured surfaces in lubricated contacts. Tribol. Int. 2020, 151, 106440. [Google Scholar] [CrossRef]
- Sun, H.; Yang, L.; Wu, H.; Zhao, L.; Ji, B. Pd nanoparticles lubricant additive catalyze the construction of carbon-based tribofilm to reduce graphitization-induced wear of DLC films under boundary lubrication. Appl. Surf. Sci. 2023, 641, 158545. [Google Scholar] [CrossRef]
- Ruiz-Lopez, M.F.; Francisco, J.S.; Martins-Costa, M.T.C.; Anglada, J.M. Molecular reactions at aqueous interfaces. Nat. Rev. Chem. 2020, 4, 459–475. [Google Scholar] [CrossRef]
- Long, Y.; He, P.; Shao, Z.; Li, Z.; Kim, H.; Yao, A.M.; Peng, Y.; Xu, R.; Ahn, C.H.; Lee, S.-W.; et al. Moisture-induced autonomous surface potential oscillations for energy harvesting. Nat. Commun. 2021, 12, 5287. [Google Scholar] [CrossRef]
- Dangnan, F.; Espejo, C.; Liskiewicz, T.; Gester, M.; Neville, A. Water barrier performance of additively manufactured polymers coated with diamond-like carbon films. Diam. Relat. Mater. 2021, 119, 108541. [Google Scholar] [CrossRef]
- Ighalo, J.O.; Yap, P.-S.; Iwuozor, K.O.; Aniagor, C.O.; Liu, T.; Dulta, K.; Iwuchukwu, F.U.; Rangabhashiyam, S. Adsorption of persistent organic pollutants (POPs) from the aqueous environment by nano-adsorbents: A review. Environ. Res. 2022, 212, 113123. [Google Scholar] [CrossRef]
- Awad, A.M.; Jalab, R.; Benamor, A.; Nasser, M.S.; Ba-Abbad, M.M.; El-Naas, M.; Mohammad, A.W. Adsorption of organic pollutants by nanomaterial-based adsorbents: An overview. J. Mol. Liq. 2020, 301, 112335. [Google Scholar] [CrossRef]
- Topolovec-Miklozic, K.; Lockwood, F.; Spikes, H. Behaviour of boundary lubricating additives on DLC coatings. Wear 2008, 265, 1893–1901. [Google Scholar] [CrossRef]
- Erdemir, A.; Eryilmaz, O.L.; Nilufer, I.B.; Fenske, G.R. Effect of source gas chemistry on tribological performance of diamond-like carbon films. Diam. Relat. Mater. 2000, 9, 632–637. [Google Scholar] [CrossRef]
- Erdemir, A.; Eryilmaz, O.L.; Fenske, G. Synthesis of diamondlike carbon films with superlow friction and wear properties. J. Vac. Sci. Technol. A 2000, 18, 1987–1992. [Google Scholar] [CrossRef]
- Al-Azizi, A.A.; Eryilmaz, O.; Erdemir, A.; Kim, S.H. Surface structure of hydrogenated diamond-like carbon: Origin of run-in behavior prior to superlubricious interfacial shear. Langmuir 2015, 31, 1711–1721. [Google Scholar] [CrossRef]
- Konicek, A.R.; Grierson, D.S.; Gilbert, P.U.; Sawyer, W.G.; Sumant, A.V.; Carpick, R.W. Origin of ultralow friction and wear in ultrananocrystalline diamond. Phys. Rev. Lett. 2008, 100, 235502. [Google Scholar] [CrossRef] [PubMed]
- Zhang, X.; Schneider, R.; Müller, E.; Mee, M.; Meier, S.; Gumbsch, P.; Gerthsen, D. Electron microscopic evidence for a tribologically induced phase transformation as the origin of wear in diamond. J. Appl. Phys. 2014, 115, 063508. [Google Scholar] [CrossRef]
- Prins, R. Eley–Rideal, the Other Mechanism. Top. Catal. 2018, 61, 714–721. [Google Scholar] [CrossRef]
- Lin, N.; Lan, H.-Q.; Xu, Y.-G.; Cui, Y.; Barber, G. Coupled Effects between Solid Particles and Gas Velocities on Erosion of Elbows in Natural Gas Pipelines. Procedia Eng. 2015, 102, 893–903. [Google Scholar] [CrossRef]
- Liu, Y.; Jiang, Y.; Sun, J.; Wang, L.; Liu, Y.; Chen, L.; Zhang, B.; Qian, L. Durable superlubricity of hydrogenated diamond-like carbon film against different friction pairs depending on their interfacial interaction. Appl. Surf. Sci. 2021, 560, 150023. [Google Scholar] [CrossRef]
- Erdemir, A.; Ramirez, G.; Eryilmaz, O.L.; Narayanan, B.; Liao, Y.; Kamath, G.; Sankaranarayanan, S.K. Carbon-based tribofilms from lubricating oils. Nature 2016, 536, 67–71. [Google Scholar] [CrossRef] [PubMed]
- De Barros Bouchet, M.I.; Martin, J.M.; Avila, J.; Kano, M.; Yoshida, K.; Tsuruda, T.; Bai, S.; Higuchi, Y.; Ozawa, N.; Kubo, M.; et al. Diamond-like carbon coating under oleic acid lubrication: Evidence for graphene oxide formation in superlow friction. Sci. Rep. 2017, 7, 46394. [Google Scholar] [CrossRef]
- Kuwahara, T.; Romero, P.A.; Makowski, S.; Weihnacht, V.; Moras, G.; Moseler, M. Mechano-chemical decomposition of organic friction modifiers with multiple reactive centres induces superlubricity of ta-C. Nat. Commun. 2019, 10, 151. [Google Scholar] [CrossRef]
- Liu, Y.; Chen, L.; Jiang, B.; Liu, Y.; Zhang, B.; Xiao, C.; Zhang, J.; Qian, L. Origin of low friction in hydrogenated diamond-like carbon films due to graphene nanoscroll formation depending on sliding mode: Unidirection and reciprocation. Carbon 2021, 173, 696–704. [Google Scholar] [CrossRef]
- Luo, C.; Jiang, Y.; Liu, Y.; Wang, Y.; Sun, J.; Qian, L.; Chen, L. Role of Interfacial Bonding in Tribochemical Wear. Front. Chem. 2022, 10, 852371. [Google Scholar] [CrossRef] [PubMed]
- Shi, P.; Sun, J.; Liu, Y.; Zhang, B.; Zhang, J.; Chen, L.; Qian, L. Running-in behavior of a H-DLC/Al2O3 pair at the nanoscale. Friction 2020, 9, 1464–1473. [Google Scholar] [CrossRef]
- De Barros Bouchet, M.I.; Matta, C.; Vacher, B.; Le-Mogne, T.; Martin, J.M.; von Lautz, J.; Ma, T.; Pastewka, L.; Otschik, J.; Gumbsch, P.; et al. Energy filtering transmission electron microscopy and atomistic simulations of tribo-induced hybridization change of nanocrystalline diamond coating. Carbon 2015, 87, 317–329. [Google Scholar] [CrossRef]
- Obeisun, O.A.; Finegan, D.P.; Engebretsen, E.; Robinson, J.B.; Taiwo, O.O.; Hinds, G.; Shearing, P.R.; Brett, D.J.L. Ex-situ characterisation of water droplet dynamics on the surface of a fuel cell gas diffusion layer through wettability analysis and thermal characterisation. Int. J. Hydrog. Energy 2017, 42, 4404–4414. [Google Scholar] [CrossRef]
- Wijshoff, H. Drop dynamics in the inkjet printing process. Curr. Opin. Colloid Interface Sci. 2018, 36, 20–27. [Google Scholar] [CrossRef]
- Launay, G.; Sadullah, M.S.; McHale, G.; Ledesma-Aguilar, R.; Kusumaatmaja, H.; Wells, G.G. Self-propelled droplet transport on shaped-liquid surfaces. Sci. Rep. 2020, 10, 14987. [Google Scholar] [CrossRef]
- Villegas, M.; Zhang, Y.; Abu Jarad, N.; Soleymani, L.; Didar, T.F. Liquid-Infused Surfaces: A Review of Theory, Design, and Applications. ACS Nano 2019, 13, 8517–8536. [Google Scholar] [CrossRef] [PubMed]
- Ersoy, N.E.; Eslamian, M. Phenomenological study and comparison of droplet impact dynamics on a dry surface, thin liquid film, liquid film and shallow pool. Exp. Therm. Fluid Sci. 2020, 112, 109977. [Google Scholar] [CrossRef]
- Chen, Z.T.; Nguyen, T.H.; Rumrill, S.M.; Lau, K.K.S. One-Step Bottom-Up Growth of Highly Liquid Repellent Worm-Like Surfaces on Planar Substrates. Adv. Mater. Interfaces 2022, 9, 2101961. [Google Scholar] [CrossRef]
- Kunze, T.; Gemming, S.; Posselt, M.; Seifert, G. Tribological Aspects of Carbon-Based Nanocoatings–Theory and Simulation. Z. Für Phys. Chem. 2011, 225, 379–387. [Google Scholar] [CrossRef]
- Ma, T.-B.; Hu, Y.-Z.; Xu, L.; Wang, L.-F.; Wang, H. Shear-induced lamellar ordering and interfacial sliding in amorphous carbon films: A superlow friction regime. Chem. Phys. Lett. 2011, 514, 325–329. [Google Scholar] [CrossRef]
- Kunze, T.; Posselt, M.; Gemming, S.; Seifert, G.; Konicek, A.R.; Carpick, R.W.; Pastewka, L.; Moseler, M. Wear, Plasticity, and Rehybridization in Tetrahedral Amorphous Carbon. Tribol. Lett. 2013, 53, 119–126. [Google Scholar] [CrossRef]
- Argibay, N.; Babuska, T.F.; Curry, J.F.; Dugger, M.T.; Lu, P.; Adams, D.P.; Nation, B.L.; Doyle, B.L.; Pham, M.; Pimentel, A.; et al. In-situ tribochemical formation of self-lubricating diamond-like carbon films. Carbon 2018, 138, 61–68. [Google Scholar] [CrossRef]
- Hayashi, K.; Tezuka, K.; Ozawa, N.; Shimazaki, T.; Adachi, K.; Kubo, M. Tribochemical reaction dynamics simulation of hydrogen on a diamond-like carbon surface based on tight-binding quantum chemical molecular dynamics. J. Phys. Chem. C 2011, 115, 22981–22986. [Google Scholar] [CrossRef]
- Schall, J.D.; Gao, G.; Harrison, J.A. Effects of Adhesion and Transfer Film Formation on the Tribology of Self-Mated DLC Contacts. J. Phys. Chem. C 2010, 114, 5321–5330. [Google Scholar] [CrossRef]
- Li, L.; Song, W.; Ovcharenko, A.; Xu, M.; Zhang, G. Effects of atomic structure on the frictional properties of amorphous carbon coatings. Surf. Coat. Technol. 2015, 263, 8–14. [Google Scholar] [CrossRef]
- Bai, S.; Onodera, T.; Nagumo, R.; Miura, R.; Suzuki, A.; Tsuboi, H.; Hatakeyama, N.; Takaba, H.; Kubo, M.; Miyamoto, A. Friction Reduction Mechanism of Hydrogen- and Fluorine-Terminated Diamond-Like Carbon Films Investigated by Molecular Dynamics and Quantum Chemical Calculation. J. Phys. Chem. C 2012, 116, 12559–12565. [Google Scholar] [CrossRef]
- Wolloch, M.; Levita, G.; Restuccia, P.; Righi, M.C. Interfacial Charge Density and Its Connection to Adhesion and Frictional Forces. Phys. Rev. Lett. 2018, 121, 026804. [Google Scholar] [CrossRef] [PubMed]
- Cui, L.; Lu, Z.; Wang, L. Toward Low Friction in High Vacuum for Hydrogenated Diamondlike Carbon by Tailoring Sliding Interface. ACS Appl. Mater. Interfaces 2013, 5, 5889–5893. [Google Scholar] [CrossRef] [PubMed]
- Wu, D.; Ren, S.; Pu, J.; Lu, Z.; Zhang, G.; Wang, L. A comparative study of tribological characteristics of hydrogenated DLC film sliding against ceramic mating materials for helium applications. Appl. Surf. Sci. 2018, 441, 884–894. [Google Scholar] [CrossRef]
- Liu, Y.; Yu, B.; Cao, Z.; Shi, P.; Zhou, N.; Zhang, B.; Zhang, J.; Qian, L. Probing superlubricity stability of hydrogenated diamond-like carbon film by varying sliding velocity. Appl. Surf. Sci. 2018, 439, 976–982. [Google Scholar] [CrossRef]
- Wang, L.; Cui, L.; Lu, Z.; Zhou, H. Understanding the unusual friction behavior of hydrogen-free diamond-like carbon films in oxygen atmosphere by first-principles calculations. Carbon 2016, 100, 556–563. [Google Scholar] [CrossRef]
- Huu, T.L.; Zaïdi, H.; Paulmier, D. Lubricating properties of diamond-like coating. Wear 1995, 181–183, 766–770. [Google Scholar] [CrossRef]
- Ma, T.B.; Wang, L.F.; Hu, Y.Z.; Li, X.; Wang, H. A shear localization mechanism for lubricity of amorphous carbon materials. Sci. Rep. 2014, 4, 3662. [Google Scholar] [CrossRef]
- Hayashi, K.; Sato, S.; Bai, S.; Higuchi, Y.; Ozawa, N.; Shimazaki, T.; Adachi, K.; Martin, J.-M.; Kubo, M. Fate of methanol molecule sandwiched between hydrogen-terminated diamond-like carbon films by tribochemical reactions: Tight-binding quantum chemical molecular dynamics study. Faraday Discuss. 2012, 156, 137–146. [Google Scholar] [CrossRef] [PubMed]
- Hirayama, T.; Eguchi, Y.; Saeki, K.; Matsuoka, T.; Kikegawa, T. Structural analysis of a-C:H and a-C:H:Si films under high-pressure and high-temperature by synchrotron X-ray diffraction. Diam. Relat. Mater. 2016, 70, 83–90. [Google Scholar] [CrossRef]
- Liu, X.; Zhang, H.; Liu, C.; Zhang, L.; Wang, Q.; Hu, H.; Zheng, J. Influence of bias patterns on the tribological properties of highly hydrogenated PVD a-C:H films. Surf. Coat. Technol. 2022, 442, 128234. [Google Scholar] [CrossRef]
- Boeira, C.D.; Cemin, F.; Leidens, L.M.; Weber, J.S.; Michels, A.F.; Aguzzoli, C.; Serra, R.; Evaristo, M.; Fernandes, F.; Alvarez, F.; et al. Adhesion of Amorphous Carbon Nanofilms on Ferrous Alloy Substrates Using a Nanoscale Silicon Interlayer: Implications for Solid-State Lubrication. ACS Appl. Nano Mater. 2022, 5, 3763–3772. [Google Scholar] [CrossRef]
- Mano, H.; Ohana, T. Evaluation of Anti-Adhesion Characteristics of Diamond-Like Carbon Film by Combining Friction and Wear Test with Step Loading and Weibull Analysis. Materials 2021, 14, 2746. [Google Scholar] [CrossRef]
- Tillmann, W.; Lopes Dias, N.F.; Stangier, D.; Maus-Friedrichs, W.; Gustus, R.; Thomann, C.A.; Moldenhauer, H.; Debus, J. Improved adhesion of a-C and a-C:H films with a CrC interlayer on 16MnCr5 by HiPIMS-pretreatment. Surf. Coat. Technol. 2019, 375, 877–887. [Google Scholar] [CrossRef]
- Xu, M.; Cai, X.; Chen, Q.; Kwok, S.C.H.; Chu, P.K. Comparative study of mechanical properties of a-C:H films produced on tungsten pre-implanted stainless steel substrate by plasma immersion ion implantation and deposition. Diam. Relat. Mater. 2007, 16, 1304–1311. [Google Scholar] [CrossRef]
- Zaharia, T.; Kudlacek, P.; Creatore, M.; Groenen, R.; Persoone, P.; van de Sanden, M.C.M. Improved adhesion and tribological properties of fast-deposited hard graphite-like hydrogenated amorphous carbon films. Diam. Relat. Mater. 2011, 20, 1266–1272. [Google Scholar] [CrossRef]
- Xie, J.; Komvopoulos, K. Friction, nanostructure, and residual stress of single-layer and multi-layer amorphous carbon films deposited by radio-frequency sputtering. J. Mater. Res. 2016, 31, 1857–1864. [Google Scholar] [CrossRef]
- Liu, F.-X.; Wang, Z.-L. Thickness dependence of the structure of diamond-like carbon films by Raman spectroscopy. Surf. Coat. Technol. 2009, 203, 1829–1832. [Google Scholar] [CrossRef]
- Zheng, X.-H.; Wang, T.; Wang, G.-Q.; Zhang, W.-K.; Yang, F.-E. Effects of Mo Single-Layer Thickness on Microstructure and Tribological Behavior of WSx/Mo/a-C/Mo Multilayer Films. Adv. Eng. Mater. 2021, 23, 2001413. [Google Scholar] [CrossRef]
- Hong, C.; Tu, J.; Gu, C.; Zheng, X.; Liu, D.; Li, R.; Mao, S.X. The Effect of Stress Relaxation on the Microstructure and Hardness Evolution of Pure Amorphous-Carbon and C/Ti Multilayer Films. Adv. Eng. Mater. 2010, 12, 920–925. [Google Scholar] [CrossRef]
- Rashid, N.M.A.; Ritikos, R.; Othman, M.; Khanis, N.H.; Gani, S.M.A.; Muhamad, M.R.; Rahman, S.A. Amorphous silicon carbon films prepared by hybrid plasma enhanced chemical vapor/sputtering deposition system: Effects of r.f. power. Thin Solid Film. 2013, 529, 459–463. [Google Scholar] [CrossRef]
- Cheng, H.-Y.; Wu, W.-Y.; Ting, J.-M. Microstructure and optical properties of chromium containing amorphous hydrogenated carbon thin films (a-C:H/Cr). Thin Solid Film. 2009, 517, 4724–4727. [Google Scholar] [CrossRef]
- Awang, R.; Tong, G.B.; Ab. Gani, S.M.; Ritikos, R.; Rahman, S.A. The Effects of Deposition Pressure on the Optical and Structural Properties of d.c. PECVD Hydrogenated Amorphous Carbon Films. Mater. Sci. Forum 2006, 517, 81–84. [Google Scholar] [CrossRef]
- Anishchik, V.M.; Uglov, V.V.; Kuleshov, A.K.; Filipp, A.R.; Rusalsky, D.P.; Astashynskaya, M.V.; Samtsov, M.P.; Kuznetsova, T.A.; Thiery, F.; Pauleau, Y. Electron field emission and surface morphology of a-C and a-C:H thin films. Thin Solid Film. 2005, 482, 248–252. [Google Scholar] [CrossRef]
- Sheeja, D.; Tay, B.K.; Sze, J.Y.; Yu, L.J.; Lau, S.P. A comparative study between pure and Al-containing amorphous carbon films prepared by FCVA technique together with high substrate pulse biasing. Diam. Relat. Mater. 2003, 12, 2032–2036. [Google Scholar] [CrossRef]
- de Moraes, M.A.B.; Durrant, S.F.; Rouxinol, F.P. Electron emission enhanced chemical vapor deposition (EEECVD) for the fabrication of diverse silicon-containing films. Thin Solid Film. 2001, 398–399, 591–596. [Google Scholar]
- Xiao, Y.; Tan, X.; Jiang, L.; Xiao, T.; Xiang, P.; Yan, W. The effect of radio frequency power on the structural and optical properties of a-C:H films prepared by PECVD. J. Mater. Res. 2017, 32, 1231–1238. [Google Scholar] [CrossRef]
- Turri, R.G.; Santos, R.M.; Rangel, E.C.; da Cruz, N.C.; Bortoleto, J.R.R.; Dias da Silva, J.H.; Antonio, C.A.; Durrant, S.F. Optical, mechanical and surface properties of amorphous carbonaceous thin films obtained by plasma enhanced chemical vapor deposition and plasma immersion ion implantation and deposition. Appl. Surf. Sci. 2013, 280, 474–481. [Google Scholar] [CrossRef]
- Du, N.; Wei, X.; Li, X.; Chen, Z.; Lu, S.; Ding, J.; Feng, C.; Chen, K.; Qiao, J.; Zhang, D.; et al. Friction reactions induced by selective hydrogenation of textured surface under lubricant conditions. Friction 2023, 12, 174–184. [Google Scholar] [CrossRef]
- Cui, L.; Bi, C.; Peng, X.; Fan, Y. Probing the role of sp2-C in high-temperature tribology of a-C films by a comparative study of ta-C film and a-C film. Diam. Relat. Mater. 2023, 137, 110127. [Google Scholar] [CrossRef]
- Xiong, W.; Feng, X.; Xiao, Y.; Huang, T.; Li, X.; Huang, Z.; Ye, S.; Li, Y.; Ren, X.; Wang, X.; et al. Fluorine-free prepared two-dimensional molybdenum boride (MBene) as a promising anode for lithium-ion batteries with superior electrochemical performance. Chem. Eng. J. 2022, 446, 137466. [Google Scholar] [CrossRef]
- Ishikawa, T.; Choi, J. The effect of microstructure on the tribological properties of a-C:H films. Diam. Relat. Mater. 2018, 89, 94–100. [Google Scholar] [CrossRef]
- Du, N.; Feng, C.; Chen, K.; Qiao, J.; Zhang, D.; Li, X. Friction dependence on the textured structure of an amorphous carbon surface: A reactive molecular dynamics study. Appl. Surf. Sci. 2023, 610, 155584. [Google Scholar] [CrossRef]
- Chen, X.; Kato, T.; Kawaguchi, M.; Nosaka, M.; Choi, J. Structural and environmental dependence of superlow friction in ion vapour-deposited a-C : H : Si films for solid lubrication application. J. Phys. D Appl. Phys. 2013, 46, 255304. [Google Scholar] [CrossRef]









| Environment | Sample | Stable μ | Wear Rate (mm3/Nm) | Reference |
|---|---|---|---|---|
| Atmosphere | a-C | 0.016 | [37] | |
| a-C:H | 0.005 | [27,38,39] | ||
| a-C:Cr | [40] | |||
| OLC | 0.01 | 6.41 × 10−18 | [41] | |
| FL-C:H | <0.02 | [41] | ||
| Dry inert | a-C:H | 0.001~0.003 | 4.6 × 10−10 | [42] |
| GLC | 0.005 | [43] | ||
| FLC | 0.009 | [43] | ||
| B4C/a-C | 0.035 | [44] | ||
| TaC/a-C | 0.002 | 8.80 × 10−10 | [45] | |
| GQDs/a-C:H | 0.01 | [15,16] | ||
| Combustible gas-H2 | a-C:H | 0.0001 | [46,47] | |
| –CH4 | a-C:H | 0.0093 | 8.0 × 10−8 | [48,49,50] |
| Ultra-high vacuum | a-C:H | 0.003–0.02 | 4.6 × 10−10 | [51,52] |
| Moisture | GO/a-C:H:Si | 0.002 | [53] |
Disclaimer/Publisher’s Note: The statements, opinions and data contained in all publications are solely those of the individual author(s) and contributor(s) and not of MDPI and/or the editor(s). MDPI and/or the editor(s) disclaim responsibility for any injury to people or property resulting from any ideas, methods, instructions or products referred to in the content. |
© 2024 by the authors. Licensee MDPI, Basel, Switzerland. This article is an open access article distributed under the terms and conditions of the Creative Commons Attribution (CC BY) license (https://creativecommons.org/licenses/by/4.0/).
Share and Cite
Yin, X.; Mu, L.; Jia, Z.; Pang, H.; Chai, C.; Liu, H.; Liang, C.; Zhang, B.; Liu, D. Nanostructure of Superlubricating Tribofilm Based on Friction-Induced a-C:H Films under Various Working Conditions: A Review of Solid Lubrication. Lubricants 2024, 12, 40. https://doi.org/10.3390/lubricants12020040
Yin X, Mu L, Jia Z, Pang H, Chai C, Liu H, Liang C, Zhang B, Liu D. Nanostructure of Superlubricating Tribofilm Based on Friction-Induced a-C:H Films under Various Working Conditions: A Review of Solid Lubrication. Lubricants. 2024; 12(2):40. https://doi.org/10.3390/lubricants12020040
Chicago/Turabian StyleYin, Xuan, Linyuan Mu, Zihang Jia, Haosheng Pang, Chunpeng Chai, Huan Liu, Chang Liang, Bing Zhang, and Dameng Liu. 2024. "Nanostructure of Superlubricating Tribofilm Based on Friction-Induced a-C:H Films under Various Working Conditions: A Review of Solid Lubrication" Lubricants 12, no. 2: 40. https://doi.org/10.3390/lubricants12020040
APA StyleYin, X., Mu, L., Jia, Z., Pang, H., Chai, C., Liu, H., Liang, C., Zhang, B., & Liu, D. (2024). Nanostructure of Superlubricating Tribofilm Based on Friction-Induced a-C:H Films under Various Working Conditions: A Review of Solid Lubrication. Lubricants, 12(2), 40. https://doi.org/10.3390/lubricants12020040

