Thymus satureoides Oil as Green Corrosion Inhibitor for 316L Stainless Steel in 3% NaCl: Experimental and Theoretical Studies
Abstract
1. Introduction
2. Materials and Methods
2.1. Extraction of the Thymus satureoides Essential oil
2.2. Electrodes and Electrolyte
2.3. Electrochemical Measurements
2.4. Surface Analysis
2.5. Computational Details
3. Results and Discussions
3.1. Chemical Composition of the Essential Oil
3.2. Open Circuit Potential
3.3. Potentiodynamic Polarization
3.4. Electrochemical Impedance Measurements
3.5. Influence of Temperature on the Effectiveness of the Inhibitor
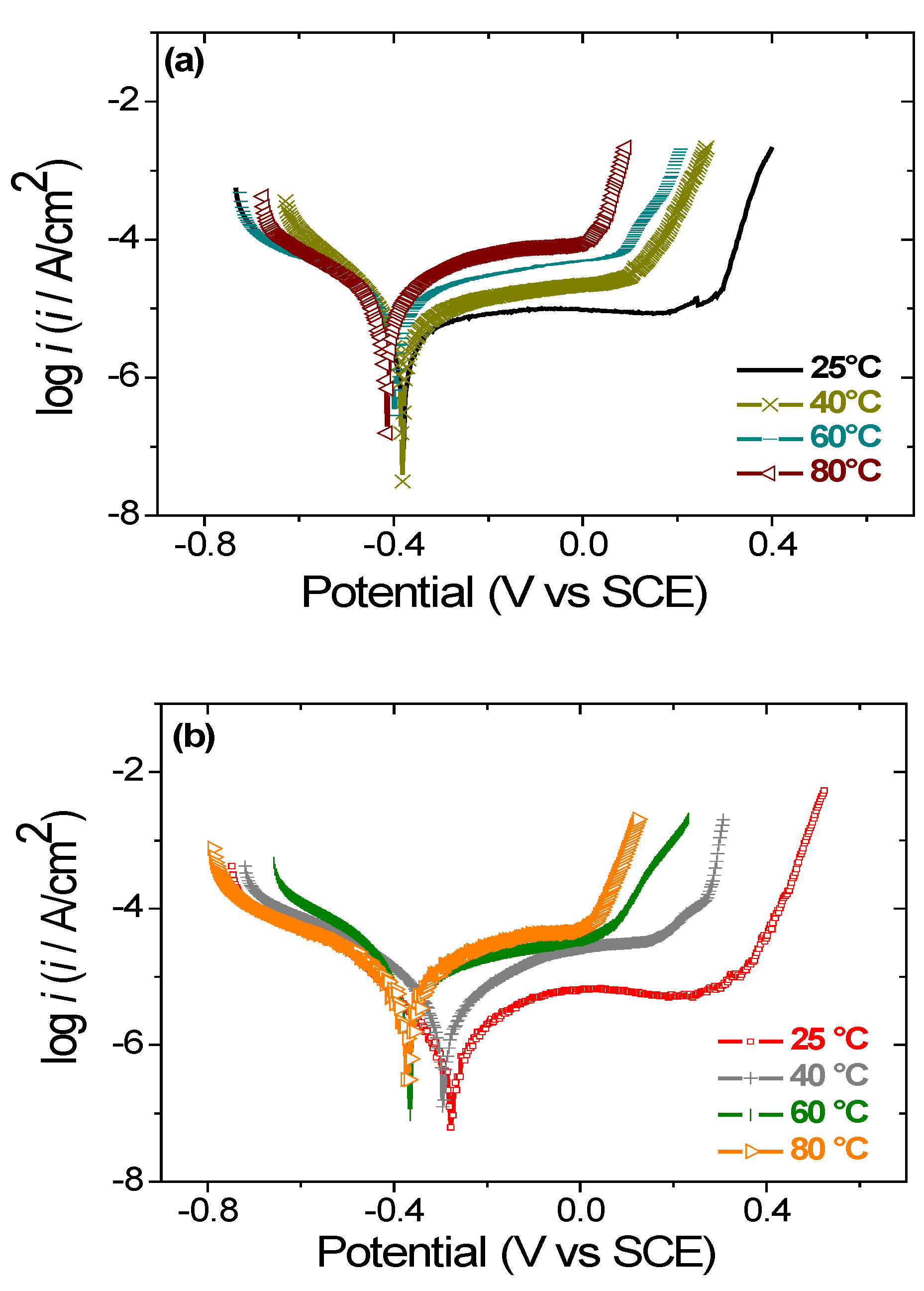
3.5.1. Potentiodynamic Polarization
3.5.2. Determination of the Activation Energy (Adsorption Isotherms)
3.6. AFM and SEM
3.7. DFT Study
4. Conclusions
- This study shows that the essential oil extracted from Thymus satureoides endemic to Morocco provides good protection for 316L in a 3% NaCl solution under severe conditions such as a seawater cooling system. Thymus satureoides oil is an effective anodic corrosion inhibitor of 316L stainless steel in a solution of 3% NaCl. The electrochemical measurements show that the efficiency of the inhibitor increases with the concentration and that the corrosion current is reduced by 82% when the concentration reaches a value of 1600 ppm.
- Thermodynamic analyses give evidence that the adsorption of the Thymus satureoides oil on stainless steel 316L in 3% NaCl solution is an endothermic physicosorption process.
- Physical analyzes by AFM and SEM show a decrease in the roughness of 316L stainless steel samples after corrosion in a saline solution containing 1600 ppm of Thymus oil compared to a solution without an inhibitor. AFM and SEM studies showed a roughness decrease for the 1600 ppm inhibitor.
- Theoretical studies show that carvacrol methyl ether and borneol can be the best inhibitors among all components of Thymus satureoides oil, some additional studies may be undertaken separately to analyze their intrinsic properties as stainless steel corrosion inhibitors.
Supplementary Materials
Author Contributions
Funding
Data Availability Statement
Acknowledgments
Conflicts of Interest
References
- Sedriks, J. Corrosion of Stainless Steels, 2nd ed.; JohnWiley&Sons: Hoboken, NJ, USA, 1996; ISBN 978-0-471-00792-0. [Google Scholar]
- Fossati, A.; Borgioli, F.; Galvanetto, E.; Bacci, T. Corrosion Resistance Properties of Glow-Discharge Nitrided AISI 316L Austenitic Stainless Steel in NaCl Solutions. Corros. Sci. 2006, 48, 1513–1527. [Google Scholar] [CrossRef]
- Eddy, N.O. Inhibitive and Adsorption Properties of Ethanol Extract of Colocasia Esculenta Leaves for the Corrosion of Mild Steel in H2SO4. Int. J. Phys. Sci. 2009, 4, 165–171. [Google Scholar]
- Scully, J.C. Corrosion Protection. Principes Fondamentaux; Elsevier Masson: Amsterdam, The Netherlands, 1997; ISBN 2-225-84777-0. [Google Scholar]
- Bouyanzer, A.; Hammouti, B. A Study of Anti-corrosive Effects of Artemisia Oil on Steel. Pigment Resin Technol. 2004, 33, 287–292. [Google Scholar] [CrossRef]
- Bensabah, F.; Houbairi, S.; Essahli, M.; Lamiri, A.; Naja, J. Chemical Composition and Inhibitory Effect of the Essential Oil from Mentha Spicata Irrigated by Wastewater on the Corrosion of Aluminum in 1 Molar Hydrochloric Acid: Port. Electrochim. Acta 2013, 31, 195–206. [Google Scholar] [CrossRef]
- Bensabah, F.; Houbairi, S.; Essahli, M.; Lamiri, A.; Naja, J. Chemical Composition and Inhibitory Effect of the Essential Oil from Mentha Spicata Irrigated by Wastewater on the Alkaline Corrosion of Aluminum. J. Adv. Chem. 2014, 11, 1367–1377. [Google Scholar] [CrossRef]
- Espinoza-Vázquez, A.; Rodríguez-Gómez, F.J.; Mata, R.; Madariaga-Mazón, A.; Ángeles-Beltrán, D. Perezone as Corrosion Inhibitor for AISI 1018 Steel Immersed in NaCl Saturated with CO2. J. Solid State Electrochem. 2017, 21, 1687–1697. [Google Scholar] [CrossRef]
- Chetouani, A.; Hammouti, B.; Benkaddour, M. Corrosion Inhibition of Iron in Hydrochloric Acid Solution by Jojoba Oil. Pigment Resin Technol. 2004, 33, 26–31. [Google Scholar] [CrossRef]
- Mo, S.; Li, L.J.; Luo, H.Q.; Li, N.B. An Example of Green Copper Corrosion Inhibitors Derived from Flavor and Medicine: Vanillin and Isoniazid. J. Mol. Liq. 2017, 242, 822–830. [Google Scholar] [CrossRef]
- Rahal, C.; Masmoudi, M.; Abdelhedi, R.; Sabot, R.; Jeannin, M.; Bouaziz, M.; Refait, P. Olive Leaf Extract as Natural Corrosion Inhibitor for Pure Copper in 0.5 M NaCl Solution: A Study by Voltammetry around OCP. J. Electroanal. Chem. 2016, 769, 53–61. [Google Scholar] [CrossRef]
- Deyab, M.A. Egyptian Licorice Extract as a Green Corrosion Inhibitor for Copper in Hydrochloric Acid Solution. J. Ind. Eng. Chem. 2015, 22, 384–389. [Google Scholar] [CrossRef]
- El-Haddad, M.N. Chitosan as a Green Inhibitor for Copper Corrosion in Acidic Medium. Int. J. Biol. Macromol. 2013, 55, 142–149. [Google Scholar] [CrossRef]
- Tan, B.; Lan, W.; Zhang, S.; Deng, H.; Qiang, Y.; Fu, A.; Ran, Y.; Xiong, J.; Marzouki, R.; Li, W. Passiflora Edulia Sims Leaves Extract as Renewable and Degradable Inhibitor for Copper in Sulfuric Acid Solution. Colloids Surf. A: Physicochem. Eng. Asp. 2022, 645, 128892. [Google Scholar] [CrossRef]
- Tan, B.; Zhang, S.; Cao, X.; Fu, A.; Guo, L.; Marzouki, R.; Li, W. Insight into the Anti-Corrosion Performance of Two Food Flavors as Eco-Friendly and Ultra-High Performance Inhibitors for Copper in Sulfuric Acid Medium. J. Colloid Interface Sci. 2022, 609, 838–851. [Google Scholar] [CrossRef]
- Verma, C.; Ebenso, E.E.; Bahadur, I.; Quraishi, M.A. An Overview on Plant Extracts as Environmental Sustainable and Green Corrosion Inhibitors for Metals and Alloys in Aggressive Corrosive Media. J. Mol. Liq. 2018, 266, 577–590. [Google Scholar] [CrossRef]
- Shahid, M. Corrosion Protection with Eco-Friendly Inhibitors. Adv. Nat. Sci. Nanosci. Nanotechnol. 2011, 2, 043001. [Google Scholar] [CrossRef]
- Tan, B.; He, J.; Zhang, S.; Xu, C.; Chen, S.; Liu, H.; Li, W. Insight into Anti-Corrosion Nature of Betel Leaves Water Extracts as the Novel and Eco-FGriendly Inhibitors. J. Colloid Interface Sci. 2021, 585, 287–301. [Google Scholar] [CrossRef]
- Aslam, R.; Mobin, M.; Zehra, S.; Aslam, J. A Comprehensive Review of Corrosion Inhibitors Employed to Mitigate Stainless Steel Corrosion in Different Environments. J. Mol. Liq. 2022, 364, 119992. [Google Scholar] [CrossRef]
- Xin, S.S.; Li, M.C. Electrochemical Corrosion Characteristics of Type 316L Stainless Steel in Hot Concentrated Seawater. Corros. Sci. 2014, 81, 96–101. [Google Scholar] [CrossRef]
- Frisch, M.J.; Trucks, G.; Schlegel, H.; Scuseria, G.; Robb, M.; Cheeseman, J.; Scalmani, G.; Barone, V.; Mennucci, B.; Petersson, A.; et al. Gaussian, Inc., Wallingford CT, 2009. Gaussian 09, Revision A.02. Phys. Rev. B: Condens. Matter Mater. Phys 1988, 37, 785. [Google Scholar]
- McLean, A.D.; Chandler, G.S. Contracted Gaussian-Basis Sets for Molecular Calculations. 1. 2nd Row Atoms, Z = 11 − 18. J. Chem. Phys. 1980, 72, 5639–5648. [Google Scholar] [CrossRef]
- Krishnan, R.; Binkley, J.S.; Seeger, R.; Pople, J.A. Self-consistent Molecular Orbital Methods. XX. A Basis Set for Correlated Wave Functions. J. Chem. Phys. 1980, 72, 650–654. [Google Scholar] [CrossRef]
- Becke, A.D. A New Mixing of Hartree-Fock and Local Density-functional Theories. J. Chem. Phys. 1993, 98, 1372. [Google Scholar] [CrossRef]
- Lee, C.; Yang, W.; Parr, R.G. Development of the Colle-Salvetti Correlation-Energy Formula into a Functional of the Electron Density. Phys. Rev. B 1988, 37, 785–789. [Google Scholar] [CrossRef] [PubMed]
- Boese, A.D.; Martin, J.M.L. Development of Density Functionals for Thermochemical Kinetics. J. Chem. Phys. 2004, 121, 3405–3416. [Google Scholar] [CrossRef] [PubMed]
- Zhao, Y.; Truhlar, D.G. The M06 Suite of Density Functionals for Main Group Thermochemistry, Thermochemical Kinetics, Noncovalent Interactions, Excited States, and Transition Elements: Two New Functionals and Systematic Testing of Four M06-Class Functionals and 12 Other Functionals. Theor. Chem. Acc. 2008, 120, 215–241. [Google Scholar] [CrossRef]
- Tomasi, J.; Mennucci, B.; Cammi, R. Quantum Mechanical Continuum Solvation Models. Chem. Rev. 2005, 105, 2999–3094. [Google Scholar] [CrossRef]
- Houbairi, S.; Essahli, M.; Lamiri, A. Inhibition of Copper Corrosion in 2 M HNO3 by the Essential Oil of Thyme Morocco: Port. Electrochim. Acta 2013, 31, 221–233. [Google Scholar] [CrossRef]
- Ehsani, A.; Mahjani, M.G.; Hosseini, M.; Safari, R.; Moshrefi, R.; Mohammad Shiri, H. Evaluation of Thymus Vulgaris Plant Extract as an Eco-Friendly Corrosion Inhibitor for Stainless Steel 304 in Acidic Solution by Means of Electrochemical Impedance Spectroscopy, Electrochemical Noise Analysis and Density Functional Theory. J. Colloid Interface Sci. 2017, 490, 444–451. [Google Scholar] [CrossRef]
- Satapathy, A.K.; Gunasekaran, G.; Sahoo, S.C.; Amit, K.; Rodrigues, P.V. Corrosion Inhibition by Justicia Gendarussa Plant Extract in Hydrochloric Acid Solution. Corros. Sci. 2009, 51, 2848–2856. [Google Scholar] [CrossRef]
- Azzouyahar, E.; Abu-Obaid, A.; Hajji, M.E.; Bazzi, L.; Belkhaouda, M.; Lamiri, A.; Salghi, R.; Jodeh, S.; Essahli, M. Plants Extract as Green Corrosion Inhibitors: The Case of Eugenol from Clove. Der. Pharm. Chem. 2016, 9, 467–475. [Google Scholar]
- Simescu, F.; Idrissi, H. Corrosion Behaviour in Alkaline Medium of Zinc Phosphate Coated Steel Obtained by Cathodic Electrochemical Treatment. Corros. Sci. 2009, 51, 833–840. [Google Scholar] [CrossRef]
- Hu, J.-M.; Liu, L.; Zhang, J.-Q.; Cao, C.-N. Electrodeposition of Silane Films on Aluminum Alloys for Corrosion Protection. Prog. Org. Coat. 2007, 58, 265–271. [Google Scholar] [CrossRef]
- Brug, G.J.; van den Eeden, A.L.G.; Sluyters-Rehbach, M.; Sluyters, J.H. The Analysis of Electrode Impedances Complicated by the Presence of a Constant Phase Element. J. Electroanal. Chem. Interfacial Electrochem. 1984, 176, 275–295. [Google Scholar] [CrossRef]
- Ituen, E.; Akaranta, O.; James, A.; Sun, S. Green and Sustainable Local Biomaterials for Oilfield Chemicals: Griffonia Simplicifolia Extract as Steel Corrosion Inhibitor in Hydrochloric Acid. Sustain. Mater. Technol. 2017, 11, 12–18. [Google Scholar] [CrossRef]
- Khadom, A.A.; Yaro, A.S.; Kadum, A.A.H.; AlTaie, A.S.; Musa, A.Y. The Effect of Temperature and Acid Concentration on Corrosion of Low Carbon Steel in Hydrochloric Acid Media. Am. J. Appl. Sci. 2009, 6, 1403–1409. [Google Scholar] [CrossRef]
- Bouyanzer, A.; Hammouti, B.; Majidi, L. Pennyroyal Oil from Mentha Pulegium as Corrosion Inhibitor for Steel in 1M HCl. Mater. Lett. 2006, 60, 2840–2843. [Google Scholar] [CrossRef]
- Yurt, A.; Balaban, A.; Kandemir, S.U.; Bereket, G.; Erk, B. Investigation on Some Schiff Bases as HCl Corrosion Inhibitors for Carbon Steel. Mater. Chem. Phys. 2004, 85, 420–426. [Google Scholar] [CrossRef]
- Bammou, L.; Chebli, B.; Salghi, R.; Bazzi, L.; Hammouti, B.; Mihit, M.; Idrissi, H. Thermodynamic Properties of Thymus Satureioides Essential Oils as Corrosion Inhibitor of Tinplate in 0.5 M HCl: Chemical Characterization and Electrochemical Study. Green Chem. Lett. Rev. 2010, 3, 173–178. [Google Scholar] [CrossRef]
- EL-Haddad, M.N. Hydroxyethylcellulose Used as an Eco-Friendly Inhibitor for 1018 c-Steel Corrosion in 3.5% NaCl Solution. Carbohydr. Polym. 2014, 112, 595–602. [Google Scholar] [CrossRef]
- Bereket, G.; Hür, E.; Öğretir, C. Quantum Chemical Studies on Some Imidazole Derivatives as Corrosion Inhibitors for Iron in Acidic Medium. J. Mol. Struct. THEOCHEM 2002, 578, 79–88. [Google Scholar] [CrossRef]
- Fang, J.; Li, J. Quantum Chemistry Study on the Relationship between Molecular Structure and Corrosion Inhibition Efficiency of Amides. J. Mol. Struct. THEOCHEM 2002, 593, 179–185. [Google Scholar] [CrossRef]
- Zhao, P.; Liang, Q.; Li, Y. Electrochemical, SEM/EDS and Quantum Chemical Study of Phthalocyanines as Corrosion Inhibitors for Mild Steel in 1mol/l HCl. Appl. Surf. Sci. 2005, 252, 1596–1607. [Google Scholar] [CrossRef]











| (a) | (b) | ||||||||||
|---|---|---|---|---|---|---|---|---|---|---|---|
| Inhibitor Conc. (ppm) | Ecorr (V/SCE) | icorr (µA/cm2) | ipass (µA/cm2) | Epit (V/SCE) | EI (%) | Re (Ω.cm2) | Rct (kΩ.cm2) | Cdl µF/cm2 | n | χ2 (Error Factor) | EIEIS (%) |
| Blank | −0.383 | 3.38 | 7.74 | 0.290 | 6.7 | 140 | 17.7 | 0.81 | 0.001 | ||
| 400 | −0.358 | 2.33 | 5.85 | 0.316 | 31 | 5.9 | 172 | 21.1 | 0.86 | 0.003 | 18 |
| 800 | −0.323 | 0.95 | 5.87 | 0.376 | 73 | 6.2 | 337 | 11.5 | 0.84 | 0.001 | 58 |
| ≥1600 | −0.287 | 0.62 | 5.55 | 0.380 | 82 | 6.1 | 972 | 4.8 | 0.87 | 0.005 | 86 |
| Functional | B3LYP | BMK | M062X | |||
|---|---|---|---|---|---|---|
| a | b | a | b | a | b | |
| Borneol | −7.35 | −7.40 | −8.39 | −8.44 | −9.02 | −9.06 |
| Camphene | −6.65 | −6.73 | −7.50 | −7.60 | −8.04 | −8.14 |
| Carvacrol methyl ether | −5.93 | −6.10 | −6.69 | −6.89 | −7.25 | −7.45 |
| P-cymene | −6.45 | −6.57 | −7.23 | −7.38 | (−7.75) * | (−7.89) * |
| Functional | B3LYP | BMK | M062X | |||
|---|---|---|---|---|---|---|
| a | b | a | b | a | b | |
| Borneol | −0.38 | −0.26 | 0.30 | 0.40 | −0.15 | −0.04 |
| Camphene | −0.26 | −0.20 | 0.35 | 0.40 | −0.07 | −0.02 |
| Carvacrol methyl ether | −0.31 | −0.35 | 0.31 | 0.36 | −0.15 | −0.10 |
| P-cymene | −0.37 | −0.21 | 0.36 | 0.26 | (−0.07) * | (−0.06) * |
| Functional | B3LYP | BMK | M062X | |||
|---|---|---|---|---|---|---|
| a | b | a | b | a | b | |
| Borneol | 6.97 | 7.14 | 8.69 | 8.84 | 8.87 | 9.02 |
| Camphene | 6.39 | 6.53 | 7.85 | 8.00 | 7.97 | 8.12 |
| Carvacrol methyl ether | 5.62 | 5.75 | 7.00 | 7.25 | 7.10 | 7.35 |
| P-cymene | 6.08 | 6.36 | 7.59 | 7.64 | (7.68) * | (7.83) * |
Disclaimer/Publisher’s Note: The statements, opinions and data contained in all publications are solely those of the individual author(s) and contributor(s) and not of MDPI and/or the editor(s). MDPI and/or the editor(s) disclaim responsibility for any injury to people or property resulting from any ideas, methods, instructions or products referred to in the content. |
© 2023 by the authors. Licensee MDPI, Basel, Switzerland. This article is an open access article distributed under the terms and conditions of the Creative Commons Attribution (CC BY) license (https://creativecommons.org/licenses/by/4.0/).
Share and Cite
Simescu-Lazar, F.; Slaoui, S.; Essahli, M.; Bohr, F.; Lamiri, A.; Vanoye, L.; Chopart, J.P. Thymus satureoides Oil as Green Corrosion Inhibitor for 316L Stainless Steel in 3% NaCl: Experimental and Theoretical Studies. Lubricants 2023, 11, 56. https://doi.org/10.3390/lubricants11020056
Simescu-Lazar F, Slaoui S, Essahli M, Bohr F, Lamiri A, Vanoye L, Chopart JP. Thymus satureoides Oil as Green Corrosion Inhibitor for 316L Stainless Steel in 3% NaCl: Experimental and Theoretical Studies. Lubricants. 2023; 11(2):56. https://doi.org/10.3390/lubricants11020056
Chicago/Turabian StyleSimescu-Lazar, Florica, Soukaina Slaoui, Mohamed Essahli, Frédéric Bohr, Abdeslam Lamiri, Laurent Vanoye, and Jean Paul Chopart. 2023. "Thymus satureoides Oil as Green Corrosion Inhibitor for 316L Stainless Steel in 3% NaCl: Experimental and Theoretical Studies" Lubricants 11, no. 2: 56. https://doi.org/10.3390/lubricants11020056
APA StyleSimescu-Lazar, F., Slaoui, S., Essahli, M., Bohr, F., Lamiri, A., Vanoye, L., & Chopart, J. P. (2023). Thymus satureoides Oil as Green Corrosion Inhibitor for 316L Stainless Steel in 3% NaCl: Experimental and Theoretical Studies. Lubricants, 11(2), 56. https://doi.org/10.3390/lubricants11020056

