Naturally-Coupled Dark Sectors
Abstract
1. Introduction
2. Dark Sector: A Necessity for QFT–GR Concord
3. Naturally Coupled Dark Sector
- The VS is endowed with SM charges and thus is fixated to be as in (41). This means that is a necessity. In other words, the VS sector must weigh near the weak scale. This VS structure is that of the supersymmetry and other completions, and is not favored by the current LHC searches.
- The DS is SM-singlet as a whole and thus is free to take any perturbative value. It has the form in (42). This means that can lie at any scale from way up to ultra-high scales.
- Black Particles. These kinds of particles have zero non-gravitational couplings to the SM [80,81]. They form a secluded sector formed, for instance, by high-rank non-Abelian gauge fields and fermions [31,35,82,83]. In view of the present searches, which seem all negative, this black (pitch-dark) DS agrees with all the available data [84,85]. It is unique to symmergence in that obeys the naturalness bound in (43) and hence can well be vanishing, . In this case, the DS possesses only gravitational couplings to the SM.
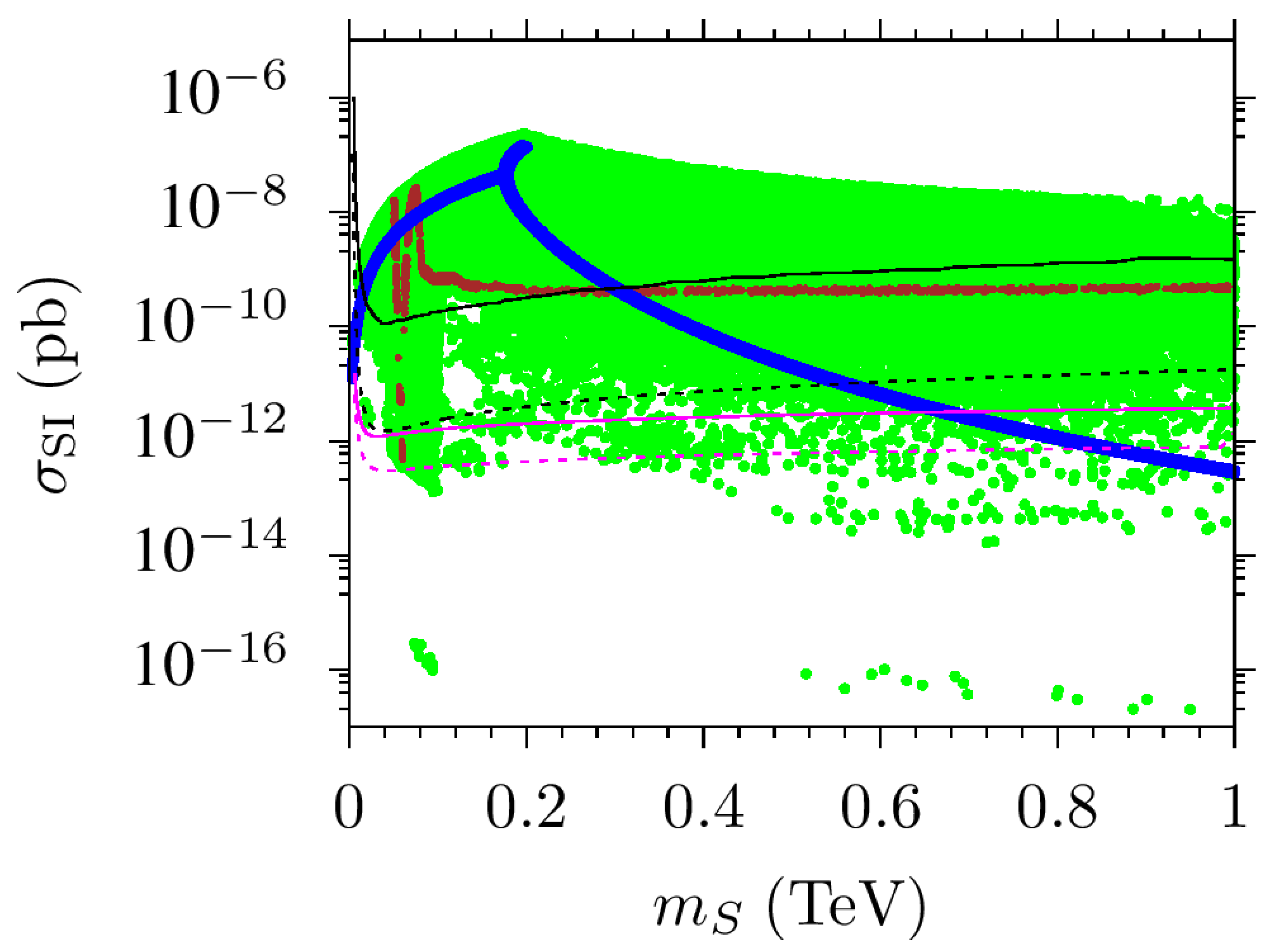
- Dark Particles. This type of particles are neutral under the SM gauge group and couple to the SM via the Higgs portal in (1), hypercharge portal in (2) and the neutrino portal in (3) [9,10,11,31]. Indeed, scalars , Abelian vectors and fermions are dark particles and couple to the SM at the renormalizable level viain which the couplings , , can take, from none to significant, a wide range of values with characteristic experimental signals [29,31,84,85].
4. Conclusions and Future Prospects
Funding
Institutional Review Board Statement
Informed Consent Statement
Acknowledgments
Conflicts of Interest
References
- Aad, G.; Abbott, B.; Abdallah, J.; Abdinov, O.; Abeloos, B.; Aben, R.; AbouZeid, O.; Abraham, N.; Abramowicz, H.; Abreu, H.; et al. Measurements of the Higgs boson production and decay rates and constraints on its couplings from a combined ATLAS and CMS analysis of the LHC pp collision data at = 7 and 8 TeV. JHEP 2016, 445, 1608. [Google Scholar]
- Tanabashi, M.; Hagiwara, K.; Hikasa, K.; Nakamura, K.; Sumino, Y.; Takahashi, F.; Tanaka, J.; Agashe, K.; Aielli, G.; Amsler, C.; et al. Particle Data Group. Phys. Rev. D 2018, 98, 030001. [Google Scholar] [CrossRef]
- Susskind, L. Dynamics of Spontaneous Symmetry Breaking in the Weinberg-Salam Theory. Phys. Rev. D 1979, 20, 2619. [Google Scholar] [CrossRef]
- Veltman, M.J.G. The Infrared - Ultraviolet Connection. Acta Phys. Polon. B 1981, 12, 437. [Google Scholar]
- Giudice, G.F. Naturalness after LHC8. arXiv 2013, arXiv:1307.7879. [Google Scholar]
- Vachon, B. ATLAS and CMS Collaborations. Exploring the Standard Model at the LHC. Int. J. Mod. Phys. A 2016, 31, 1630034. [Google Scholar] [CrossRef]
- Csaki, C.; Grojean, C.; Terning, J. Alternatives to an Elementary Higgs. Rev. Mod. Phys. 2016, 88, 045001. [Google Scholar] [CrossRef]
- Csaki, C.; Tanedo, P. Beyond the Standard Model. arXiv 1997, arXiv:1602.04228. [Google Scholar]
- Copeland, E.J.; Sami, M.; Tsujikawa, S. Dynamics of dark energy. Int. J. Mod. Phys. D 2006, 15, 1753–1936. [Google Scholar] [CrossRef]
- Essig, R.; Jaros, J.A.; Wester, W.; Adrian, P.H.; Andreas, S.; Averett, T.; Baker, O.; Batell, B.; Battaglieri, M.; Beacham, J.; et al. Working Group Report: New Light Weakly Coupled Particles. arXiv 2013, arXiv:1311.0029. [Google Scholar]
- Abdalla, E.; Marins, A. The Dark Sector Cosmology. Int. J. Mod. Phys. D 2020, 14, 2030014. [Google Scholar] [CrossRef]
- Beacham, J.; Burrage, C.; Curtin, D.; Roeck, A.D.; Evans, J.; Feng, J.L.; Gatto, C.; Gninenko, S.; Hartin, A.; Irastorza, I.; et al. Physics Beyond Colliders at CERN: Beyond the Standard Model Working Group Report. J. Phys. G 2020, 47, 010501. [Google Scholar] [CrossRef]
- Queitsch-Maitland, M. Dark sector searches with the ATLAS and CMS experiments. PoS LHCP2020 2021, 111. [Google Scholar] [CrossRef]
- Mitsou, V.A. MoEDAL, FASER and future experiments targeting dark sector and long-lived particles. PoS LHCP2020 2021, 112. [Google Scholar] [CrossRef]
- Corona, L. Dark Sector Physics with Belle II. J. Phys. Conf. Ser. 2020, 1526, 012031. [Google Scholar] [CrossRef]
- Chiang, C.W.; Lu, B.Q. Evidence of a simple dark sector from XENON1T excess. Phys. Rev. D 2020, 12, 123006. [Google Scholar] [CrossRef]
- Datta, A.; Kamali, S.; Marfatia, D. Dark sector origin of the KOTO and MiniBooNE anomalies. Phys. Lett. B 2020, 807, 135579. [Google Scholar] [CrossRef]
- Gninenko, S.N.; Krasnikov, N.V.; Matveev, V.A. Search for dark sector physics with NA64. Phys. Part Nucl. 2020, 5, 829–858. [Google Scholar] [CrossRef]
- Marra, V.; Rosenfeld, R.; Sturani, R. Observing the dark sector. Universe 2019, 6, 137. [Google Scholar] [CrossRef]
- Huang, F.; Sanz, V.; Shu, J.; Xue, X. LIGO as a probe of Dark Sectors. arXiv 2021, arXiv:2102.03155. [Google Scholar]
- Contino, R.; Max, K.; Mishra, R.K. Searching for Elusive Dark Sectors with Terrestrial and Celestial Observations. arXiv 2020, arXiv:2012.08537. [Google Scholar]
- Foroughi-Abari, S.; Kling, F.; Tsai, Y.D. FORMOSA: Looking Forward to Millicharged Dark Sectors. arXiv 2020, arXiv:2010.07941. [Google Scholar]
- Arcadi, G.; Djouadi, A.; Raidal, M. Dark Matter through the Higgs portal. Phys. Rep. 2020, 842, 1–180. [Google Scholar] [CrossRef]
- Domingo, F.; Lebedev, O.; Mambrini, Y.; Quevillon, J.; Ringwald, A. More on the Hypercharge Portal into the Dark Sector. JHEP 2013, 9, 20. [Google Scholar] [CrossRef]
- Sakharov, A.D. Vacuum quantum fluctuations in curved space and the theory of gravitation. Gen. Rel. Grav. 2000, 32, 365–367. [Google Scholar] [CrossRef]
- Ruzmaikina, T.V.; Ruzmaikin, A.A. Quadratic Corrections to the Lagrangian Density of the Gravitational Field and the Singularity. Sov. Phys. JETP 1970, 30, 372. [Google Scholar]
- Visser, M. Sakharov’s induced gravity: A Modern perspective. Mod. Phys. Lett. A 2002, 17, 977. [Google Scholar] [CrossRef]
- Demir, D. Emergent Gravity as the Eraser of Anomalous Gauge Boson Masses, and QFT-GR Concord. Gen. Rel. Grav. 2021, 53, 22. [Google Scholar] [CrossRef]
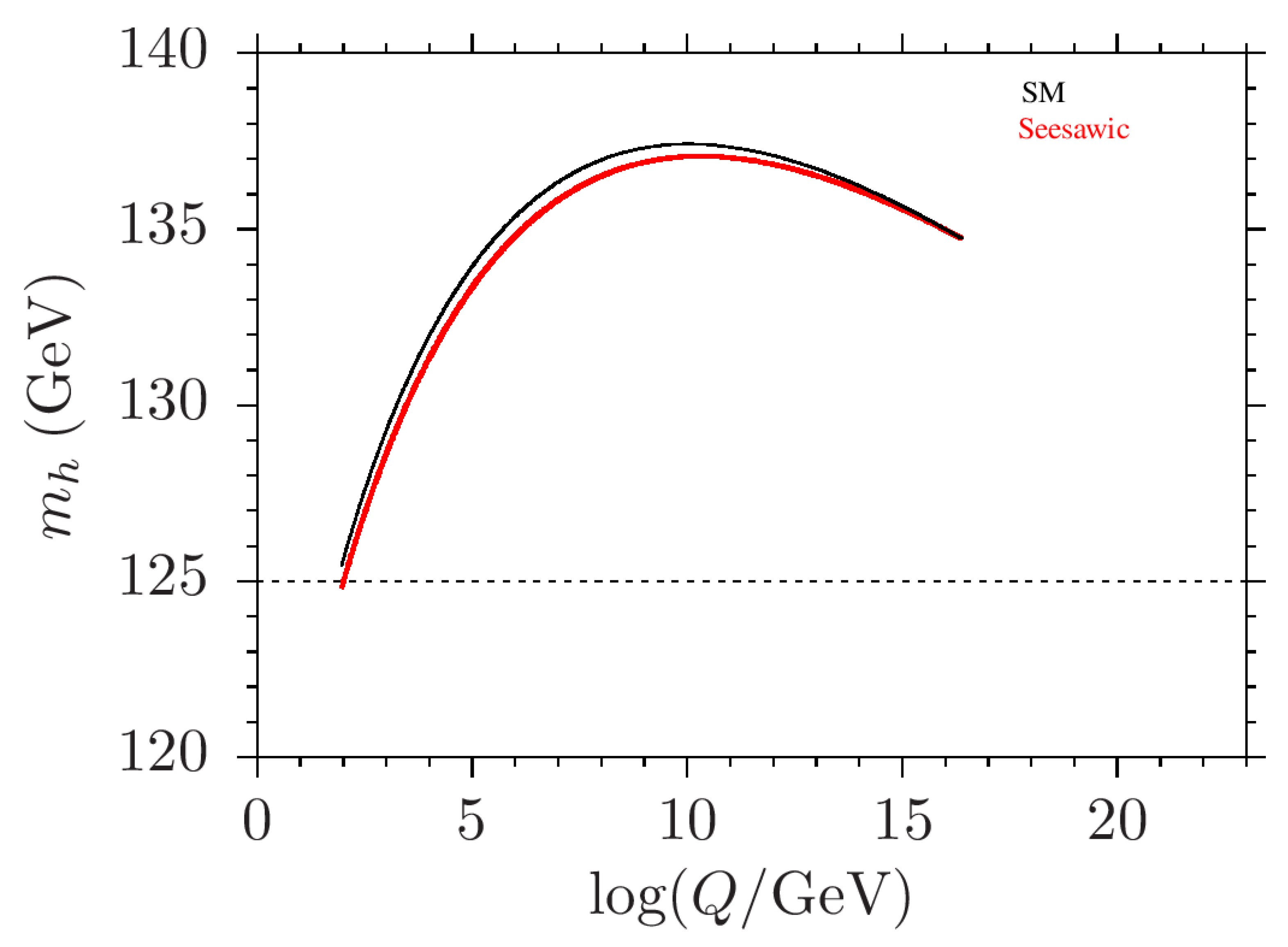
- Demir, D. Symmergent Gravity, Seesawic New Physics, and their Experimental Signatures. Adv. High Energy Phys. 2019, 2019, 4652048. [Google Scholar] [CrossRef]
- Demir, D. Naturalizing Gravity of the Quantum Fields, and the Hierarchy Problem. arXiv 2017, arXiv:1703.05733. [Google Scholar]
- Demir, D.A. Curvature-Restored Gauge Invariance and Ultraviolet Naturalness. Adv. High Energy Phys. 2016, 2016, 6727805. [Google Scholar] [CrossRef]
- Demir, D.A. A Mechanism of Ultraviolet Naturalness. arXiv 2015, arXiv:1510.05570. [Google Scholar]
- Demir, D. SM-GR Reconciliation and Dark Sector. In Proceedings of the International Conference on Neutrinos and Dark Matter (NDM-2020), Hurghada, Egypt, 11–14 January 2020; Available online: http://www.andromedapublisher.com/ACP/2/ (accessed on 11 May 2021).
- Demir, D. Curved Equivalence Principle and Hierarchy Problem. In Proceedings of the XIth International Conference on the Interconnection Between Particle Physics and Cosmology (PPC2017), Corpus Christi, TX, USA, 22–26 May 2017. [Google Scholar]
- Demir, D. Symmergent Gravity. In Proceedings of the Beyond Standard Model: From Theory To Experiment Workshop, (BSM2017), Hurghada, Egypt, 17–21 December 2017; Available online: https://indico.cern.ch/event/607442/ (accessed on 11 May 2021).
- Demir, D. Symmergent Gravity and Ultraviolet Stability. In Proceedings of the High Energy Physics, Astrophysics and Cosmology Workshop, (HEPAC2018), İstanbul, Turkey, 8–9 February 2018. [Google Scholar]
- Demir, D. Symmergent Gravity and Ultraviolet Physics. In Proceedings of the Quantization, Dualities and Integrable Systems Workshop, (QDIS-16), İstanbul, Turkey, 21–23 April 2018. [Google Scholar]
- Demir, D.; Un, C.S. Scalar Dark Matter and Electroweak Stability. arXiv 2020, arXiv:2005.03589. [Google Scholar]
- Cankoçak, K.; Demir, D.; Karahan, C.; Şen, S. Electroweak Stability and Discovery Luminosities for New Physics. Eur. Phys. J. C 2020, 12, 118. [Google Scholar]
- Landau, L.D.; Lifshitz, E.M. Classical Theory of Fields; Pergamon Press: New York, NY, USA, 1971. [Google Scholar]
- Norton, J.D. General covariance and the foundations of general relativity: Eight decades of dispute. Rep. Prog. Phys. 1993, 56, 791458. [Google Scholar] [CrossRef]
- Kretschmann, E. Über den physikalischen Sinn der Relativitätspostulate. A. Einsteins neue und seine ursprüngliche Relativitätstheorie. Ann. Phys. 1917, 53, 575. [Google Scholar] [CrossRef]
- Einstein, A. Prinzipielles zur allgemeinen Relativitätstheorie. Ann. Phys. 1918, 360, 241. [Google Scholar] [CrossRef]
- Sorkin, R.D. An example relevant to the Kretschmann-Einstein debate. Mod. Phys. Lett. A 2002, 17, 695. [Google Scholar] [CrossRef]
- Hooft, G.; Veltman, M.J.G. One loop divergencies in the theory of gravitation. Ann. Inst. H. Poincare Phys. Theor. A 1974, 20, 69–94. [Google Scholar]
- Goroff, M.H.; Sagnotti, A. The Ultraviolet Behavior of Einstein Gravity. Nucl. Phys. B 1986, 266, 709–736. [Google Scholar] [CrossRef]
- Wigner, E.P. On Unitary Representations of the Inhomogeneous Lorentz Group. Ann. Math. 1939, 40, 149. [Google Scholar] [CrossRef]
- Bargmann, V.; Wigner, E.P. Group Theoretical Discussion of Relativistic Wave Equations. Proc. Natl. Acad. Sci. USA 1948, 34, 211. [Google Scholar] [CrossRef]
- Peskin, M.E.; Schroeder, D.V. An Introduction to Quantum Field Theory; Addison-Wesley: Reading, PA, USA, 1995. [Google Scholar]
- Chankowski, P.H.; Lewandowski, A.; Meissner, K.A. Ultraviolet cutoffs and the photon mass. Acta Phys. Polon. B 2017, 48, 5. [Google Scholar] [CrossRef]
- Zeldovich, Y.B. Cosmological Constant and Elementary Particles. JETP Lett. 1967, 6, 316. [Google Scholar] [CrossRef]
- Weinberg, S. The Cosmological Constant Problem. Rev. Mod. Phys. 1989, 61, 1. [Google Scholar] [CrossRef]
- Demir, D.A. Vacuum Energy as the Origin of the Gravitational Constant. Found. Phys. 2009, 39, 1407–1425. [Google Scholar] [CrossRef][Green Version]
- Demir, D.A. Stress-Energy Connection and Cosmological Constant Problem. Phys. Lett. B 2011, 701, 496. [Google Scholar] [CrossRef]
- Hooft, G.; Veltman, M. Regularization and Renormalization of Gauge Fields. Nucl. Phys. B 1972, 44, 189–213. [Google Scholar] [CrossRef]
- Hagiwara, K.; Ishihara, S.; Szalapski, R.; Zeppenfeld, D. Low-energy effects of new interactions in the electroweak boson sector. Phys. Rev. D 1993, 48, 2182. [Google Scholar] [CrossRef]
- Cynolter, G.; Lendvai, E. Cutoff Regularization Method in Gauge Theories. arXiv 2015, arXiv:1509.07407. [Google Scholar]
- Bauer, F.; Demir, D.A. Inflation with Non-Minimal Coupling: Metric versus Palatini Formulations. Phys. Lett. B 2008, 665, 222. [Google Scholar] [CrossRef]
- Karahan, C.N.; Altas, A.; Demir, D.A. Scalars, Vectors and Tensors from Metric-Affine Gravity. Gen. Rel. Grav. 2013, 45, 319. [Google Scholar] [CrossRef]
- Azri, H.; Demir, D. Affine Inflation. Phys. Rev. D 2017, 95, 124007. [Google Scholar] [CrossRef]
- Vitagliano, V.; Sotiriou, T.P.; Liberati, S. The dynamics of metric-affine gravity. Ann. Phys. 2011, 326, 1259, Erratum in Ann. Phys. 2013, 329, 186. [Google Scholar] [CrossRef]
- Iosifidis, D. Exactly Solvable Connections in Metric-Affine Gravity. Class. Quant. Grav. 2019, 36, 085001. [Google Scholar] [CrossRef]
- Shimada, K.; Aoki, K.; Maeda, K.I. Metric-affine Gravity and Inflation. Phys. Rev. D 2019, 99, 104020. [Google Scholar] [CrossRef]
- Faraoni, V. Nonminimal coupling of the scalar field and inflation. Phys. Rev. D 1996, 53, 6813. [Google Scholar] [CrossRef] [PubMed]
- Demir, D.A. Effects of Curvature-Higgs Coupling on Electroweak Fine-Tuning. Phys. Lett. B 2014, 733, 237. [Google Scholar] [CrossRef]
- Utiyama, R.; DeWitt, B.S. Renormalization of a classical gravitational field interacting with quantized matter fields. J. Math. Phys. 1962, 3, 608. [Google Scholar] [CrossRef]
- Salam, A.; Strathdee, J.A. Remarks on High-energy Stability and Renormalizability of Gravity Theory. Phys. Rev. D 1978, 18, 4480. [Google Scholar] [CrossRef]
- Starobinsky, A.A. A New Type of Isotropic Cosmological Models Without Singularity. Phys. Lett. 1980, 91B, 99. [Google Scholar] [CrossRef]
- Akrami, Y.; Arroja, F.; Ashdown, M.; Aumont, J.; Baccigalupi, C.; Ballardini, M.; Banday, A.J.; Barreiro, R.B.; Bartolo, N.; Basak, S.; et al. Planck 2018 results. X. Constraints on inflation. arXiv 2020, arXiv:1807.06211. [Google Scholar]
- Çimdiker, İ. İ. Starobinsky inflation in emergent gravity. Phys. Dark Univ. 2020, 30, 100736. [Google Scholar] [CrossRef]
- Rappoccio, S. The experimental status of direct searches for exotic physics beyond the standard model at the Large Hadron Collider. Rev. Phys. 2019, 4, 100027. [Google Scholar] [CrossRef]
- Abada, A.; Abbrescia, M.; AbdusSalam, S.S.; Abdyukhanov, I.; Fernandez, J.A.; Abramov, A.; Aburaia, M.; Acar, A.O.; Adzic, P.R.; Agrawal, P.; et al. FCC Physics Opportunities. Eur. Phys. J. C 2019, 79, 474. [Google Scholar] [CrossRef]
- Boveia, A.; Doglioni, C. Dark Matter Searches at Colliders. Ann. Rev. Nucl. Part. Sci. 2018, 68, 429. [Google Scholar] [CrossRef]
- Rubin, D.; Heitlauf, J. Is the expansion of the universe accelerating? All signs still point to yes a local dipole anisotropy cannot explain dark energy. arXiv 2020, arXiv:1912.02191. [Google Scholar] [CrossRef]
- Arkani-Hamed, N.; Maldacena, J. Cosmological Collider Physics. arXiv 2015, arXiv:1503.08043. [Google Scholar]
- Aoki, H.; Iso, S. Revisiting the Naturalness Problem – Who is afraid of quadratic divergences? Phys. Rev. D 2012, 86, 013001. [Google Scholar] [CrossRef]
- Barbieri, R.; Strumia, A. The ‘LEP paradox’. arXiv 2000, arXiv:hep-ph/0007265. [Google Scholar]
- Birkedal, A.; Chacko, Z.; Gaillard, M.K. Little supersymmetry and the supersymmetric little hierarchy problem. JHEP 2004, 410, 36. [Google Scholar] [CrossRef]
- Foot, R.; Kobakhidze, A.; McDonald, K.L.; Volkas, R.R. Poincare protection for a natural electroweak scale. Phys. Rev. D 2014, 89, 115018. [Google Scholar] [CrossRef]
- Tang, Y.; Wu, Y.L. Pure Gravitational Dark Matter, Its Mass and Signatures. Phys. Lett. B 2016, 758, 402. [Google Scholar] [CrossRef]
- Ema, Y.; Nakayama, K.; Tang, Y. Production of Purely Gravitational Dark Matter. arXiv 2018, arXiv:1804.07471. [Google Scholar] [CrossRef]
- Filippi, A.; Napoli, M.D. Searching in the dark: The hunt for the dark photon. Rev. Phys. 2020, 5, 100042. [Google Scholar] [CrossRef]
- Fabbrichesi, M.; Gabrielli, E.; Lanfranchi, G. The Dark Photon. arXiv 2020, arXiv:2005.01515. [Google Scholar]
- Liu, J.; Chen, X.; Ji, X. Current status of direct dark matter detection experiments. arXiv 2017, arXiv:1709.00688. [Google Scholar] [CrossRef]
- Baudis, L. The Search for Dark Matter. Eur. Rev. 2018, 26, 70. [Google Scholar] [CrossRef]
- Khachatryan, V.; Sirunyan, A.M.; Tumasyan, A.; Adam, W.; Bergauer, T.; Dragicevic, M.; Erö, J.; Fabjan, C.; Friedl, M.; Frühwirth, R.; et al. Measurement of the inclusive 3-jet production differential cross section in proton-proton collisions at 7 TeV and determination of the strong coupling constant in the TeV range. Eur. Phys. J. C 2015, 75, 186. [Google Scholar] [CrossRef]
- Aaboud, M.; Aad, G.; Abbott, B.; Abbott, D.C.; Abdinov, O.; Abud, A.A.; Abhayasinghe, D.K.; Abidi, S.H.; AbouZeid, O.S.; Abraham, N.L.; et al. Determination of the strong coupling constant αs from transverse energy–energy correlations in multijet events at = 8 TeV using the ATLAS detector. Eur. Phys. J. C 2017, 77, 872. [Google Scholar] [CrossRef] [PubMed]
- D’enterria, D.; Skands, P.Z.; Alekhin, S.; Banfi, A.; Bethke, S.; Blümlein, J.; Chetyrkin, K.G.; D’enterria, D.; Dissertori, G.; Tormo, X.G.I.; et al. High-precision αs measurements from LHC to FCC-ee. arXiv 2015, arXiv:1512.05194. [Google Scholar]
- Baer, H.; Barklow, T.; Fujii, K.; Gao, Y.; Hoang, A.; Kanemura, S.; List, J.; Logan, H.E.; Nomerotski, A.; Perelstein, M.; et al. The International Linear Collider Technical Design Report—Volume 2: Physics. arXiv 2013, arXiv:1306.6352. [Google Scholar]
- Motta, V.; Ibar1, E.; Verdugo, T.; Molina, J.; Hughes1, T.M.; Birkinshaw, M.; López-Cruz, O.; Black, J.H.; Gunawan, D.; Horellou, C. The ‘Cosmic Seagull’: A highly magnified disk-like galaxy at z 2.8 behind the Bullet Cluster. Astrophys. J. 2018, 863, L16. [Google Scholar] [CrossRef]
- Kahlhoefer, F. Review of LHC Dark Matter Searches. Int. J. Mod. Phys. A 2017, 32, 1730006. [Google Scholar] [CrossRef]
- Demir, D.A. Weak scale hidden sector and electroweak Q balls. Phys. Lett. B 1999, 450, 215–219. [Google Scholar] [CrossRef][Green Version]
- Burgess, C.P.; Pospelov, M.; Veldhuis, T.T. The Minimal model of nonbaryonic dark matter: A Singlet scalar. Nucl. Phys. B 2001, 619, 709. [Google Scholar] [CrossRef]
- Canetti, L.; Drewes, M.; Shaposhnikov, M. Sterile Neutrinos as the Origin of Dark and Baryonic Matter. Phys. Rev. Lett. 2013, 110, 061801. [Google Scholar] [CrossRef]
- Vissani, F. Do experiments suggest a hierarchy problem? Phys. Rev. D 1998, 57, 7027. [Google Scholar] [CrossRef]
- Chattopadhyay, P.; Patel, K.M. Discrete symmetries for electroweak natural type-I seesaw mechanism. Nucl. Phys. B 2017, 921, 487. [Google Scholar] [CrossRef]
- Demir, D.; Karahan, C.; Korutlu, B.; Sargın, O. Hidden Spin-3/2 Field in the Standard Model. Eur. Phys. J. C 2017, 77, 593. [Google Scholar] [CrossRef]
- Lellis, G.D. The SHiP physics program. EPJ Web Conf. 2018, 179, 01002. [Google Scholar] [CrossRef][Green Version]
- Mermod, P. Right-Handed Neutrinos: The Hunt is on! arXiv 2017, arXiv:1704.08635. [Google Scholar]
- Drewes, M. The Phenomenology of Right Handed Neutrinos. Int. J. Mod. Phys. E 2013, 22, 1330019. [Google Scholar] [CrossRef]
- Ijjas, A.; Steinhardt, P.J.; Loeb, A. Inflationary paradigm in trouble after Planck2013. Phys. Lett. B 2013, 723, 261–266. [Google Scholar] [CrossRef]
- Ballesteros, G.; Tamarit, C. Radiative plateau inflation. JHEP 2016, 2, 153. [Google Scholar] [CrossRef]
- Wald, R.M. The Formulation of Quantum Field Theory in Curved Spacetime. Einstein Stud. 2018, 14, 439. [Google Scholar]
- Fulling, S.A. Nonuniqueness of canonical field quantization in Riemannian space-time. Phys. Rev. D 1973, 7, 2850. [Google Scholar] [CrossRef]
- Mashkevich, V. Notes on Quantum Field Theory in Curved Spacetime: Problems Relating to the Concept of Particles and Hamiltonian Formalism. arXiv 2007, arXiv:0706.1802v2. [Google Scholar]
- Ford, L.H. Quantum field theory in curved space-time. arXiv 1997, arXiv:gr-qc/9707062. [Google Scholar]
- Ashtekar, A.; Magnon, A. Quantum Fields in Curved Space-Times. Proc. Roy. Soc. Lond. A 1975, 346, 375. [Google Scholar]
- Birrell, N.D.; Davies, P.C.W. Quantum Fields in Curved Space; Cambridge University Press: New York, NY, USA, 1982. [Google Scholar]






| Loop Factor | SM Fields | SM Value | Problems Caused |
|---|---|---|---|
| gluon | color breaking | ||
| weak gauge bosons | isospin breaking | ||
| hypercharge gauge boson | hypercharge breaking | ||
| Higgs boson h | big hierarchy problem | ||
| over all the SM fields | none (flat spacetime) | ||
| over all the SM fields | ≈ | none (flat spacetime) |
Publisher’s Note: MDPI stays neutral with regard to jurisdictional claims in published maps and institutional affiliations. |
© 2021 by the author. Licensee MDPI, Basel, Switzerland. This article is an open access article distributed under the terms and conditions of the Creative Commons Attribution (CC BY) license (https://creativecommons.org/licenses/by/4.0/).
Share and Cite
Demir, D. Naturally-Coupled Dark Sectors. Galaxies 2021, 9, 33. https://doi.org/10.3390/galaxies9020033
Demir D. Naturally-Coupled Dark Sectors. Galaxies. 2021; 9(2):33. https://doi.org/10.3390/galaxies9020033
Chicago/Turabian StyleDemir, Durmuş. 2021. "Naturally-Coupled Dark Sectors" Galaxies 9, no. 2: 33. https://doi.org/10.3390/galaxies9020033
APA StyleDemir, D. (2021). Naturally-Coupled Dark Sectors. Galaxies, 9(2), 33. https://doi.org/10.3390/galaxies9020033

