Relativistic Jets in Gamma-Ray-Emitting Narrow-Line Seyfert 1 Galaxies
Abstract
1. Introduction
2. The -ray Properties
3. X-ray Properties
4. Infrared and Optical Properties
5. Radio Properties
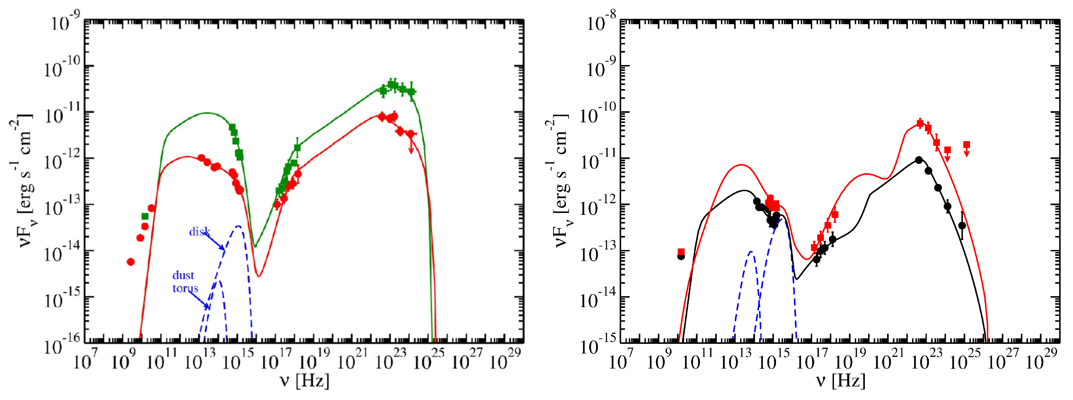
6. SED Modelling
7. Host Galaxy and BH Mass
8. Conclusions
Author Contributions
Funding
Acknowledgments
Conflicts of Interest
References
- Hartman, R.C.; Bertsch, D.L.; Bloom, S.D.; Chen, A.W.; Deines-Jones, P.; Esposito, J.A.; Fichtel, C.E.; Friedlander, D.P.; Hunter, S.D.; McDonald, L.M.; et al. The Third EGRET Catalog of High-Energy Gamma-Ray Sources. Astrophys. J. Suppl. Ser. 1999, 123, 77. [Google Scholar] [CrossRef]
- Blandford, R.D.; Rees, M.J. Some comments on radiation mechanisms in Lacertids. In Pittsburgh Conference on BL Lac Objects; Wolfe, A.M., Ed.; University of Pittsburgh Press: Pittsburgh, PA, USA, 1978. [Google Scholar]
- Abdollahi, S.; Acero, F.; Ackermann, M.; Ajello, M.; Atwood, W.B.; Axelsson, M.; Baldini, L.; Ballet, J.; Barbiellini, G.; Bastieri, D.; et al. Fermi Large Area Telescope Fourth Source Catalog. Astrophys. J. Suppl. Ser. 2019. submitted. [Google Scholar]
- Acero, F.; Ackermann, M.; Ajello, M.; Albert, A.; Atwood, W.B.; Axelsson, M.; Baldini, L.; Ballet, J.; Barbiellini, G.; Bastieri, D.; et al. Fermi Large Area Telescope Third Source Catalog. Astrophys. J. Suppl. Ser. 2015, 218, 23. [Google Scholar] [CrossRef]
- Padovani, P. On the two main classes of active galactic nuclei. Nat. Astron. 2017, 1, 194. [Google Scholar] [CrossRef]
- D’Ammando, F.; Orienti, M.; Finke, J.; Larsson, J.; Giroletti, M.; Raiteri, C.M. A Panchromatic View of Relativistic Jets in Narrow-Line Seyfert 1 Galaxies. Galaxies 2016, 4, 11. [Google Scholar] [CrossRef]
- Abdo, A.A.; Ackermann, M.; Ajello, M.; Axelsson, M.; Baldini, L.; Ballet, J.; Barbiellini, G.; Bastieri, D.; Battelino, M.; Baughman, B.M.; et al. Fermi/Large Area Telescope Discovery of Gamma-Ray Emission from a Relativistic Jet in the Narrow-Line Quasar PMN J0948+0022. Astrophys. J. 2009, 699, 976. [Google Scholar] [CrossRef]
- Abdo, A.A.; Ackermann, M.; Ajello, M.; Baldini, L.; Ballet, J.; Barbiellini, G.; Bastieri, D.; Bechtol, K.; Bellazzini, R.; Berenji, B.; et al. Radio-Loud Narrow-Line Seyfert 1 as a New Class of Gamma-Ray Active Galactic Nuclei. Astrophys. J. 2009, 707, L142. [Google Scholar] [CrossRef]
- Osterbrock, D.E.; Pogge, R.W. The spectra of narrow-line Seyfert 1 galaxies. Astrophys. J. 1985, 297, 166. [Google Scholar] [CrossRef]
- Goodrich, R.W. Spectropolarimetry of “Narrow-Line” Seyfert 1 Galaxies. Astrophys. J. 1989, 342, 224. [Google Scholar] [CrossRef]
- Pogge, R.W. Narrow-line Seyfert 1s: 15 years later. New Astron. Rev. 2000, 44, 381. [Google Scholar] [CrossRef]
- Boller, T.; Brandt, W.N.; Fink, H. Soft X-ray properties of narrow-line Seyfert 1 galaxies. Astron. Astrophys. 1996, 305, 53. [Google Scholar]
- Grupe, D.; Komossa, S.; Leighly, K.M.; Page, K.L. The Simultaneous Optical-to-X-Ray Spectral Energy Distribution of Soft X-Ray Selected Active Galactic Nuclei Observed by Swift. Astrophys. J. Suppl. Ser. 2010, 187, 64. [Google Scholar] [CrossRef]
- Leighly, K.M. A Comprehensive Spectral and Variability Study of Narrow-Line Seyfert 1 Galaxies Observed by ASCA. II. Spectral Analysis and Correlations. Astrophys. J. 1999, 125, L317. [Google Scholar] [CrossRef]
- Rakshit, S.; Stalin, C.S.; Chand, H.; Zhang, X.-G. A Catalog of Narrow Line Seyfert 1 Galaxies from the Sloan Digital Sky Survey Data Release 12. Astrophys. J. Suppl. Ser. 2017, 229, 39. [Google Scholar] [CrossRef]
- Yuan, W.; Zhou, H.Y.; Komossa, S.; Dong, X.B.; Wang, T.G.; Lu, H.L.; Bai, J.M. A Population of Radio-Loud Narrow-Line Seyfert 1 Galaxies with Blazar-Like Properties? Astrophys. J. 2008, 685, 801. [Google Scholar] [CrossRef]
- Zhou, H.-Y.; Wang, T.-G.; Yuan, W.; Lu, H.; Dong, X.; Wang, J.; Lu, Y. A Comprehensive Study of 2000 Narrow Line Seyfert 1 Galaxies from the Sloan Digital Sky Survey. I. The Sample. Astrophys. J. Suppl. Ser. 2006, 166, 128. [Google Scholar] [CrossRef]
- Ferrarese, L.; Merritt, D. A Fundamental Relation between Supermassive Black Holes and Their Host Galaxies. Astrophys. J. 2000, 539, L9. [Google Scholar] [CrossRef]
- Gebhardt, K.; Bender, R.; Bower, G.; Dressler, A.; Faber, S.M.; Filippenko, A.V.; Green, R.; Grillmair, C.; Ho, L.C.; Kormendy, J.; et al. A Relationship between Nuclear Black Hole Mass and Galaxy Velocity Dispersion. Astrophys. J. 2000, 539, L13. [Google Scholar] [CrossRef]
- Grupe, D.; Mathur, S. MBH-σ Relation for a Complete Sample of Soft X-Ray-selected Active Galactic Nuclei. Astrophys. J. 2004, 606, L41. [Google Scholar] [CrossRef]
- Mathur, S.; Kuraszkiewicz, J.; Czerny, B. Evolution of active galaxies: Black-hole mass-bulge relations for narrow line objects. New Astron. 2001, 6, 321. [Google Scholar] [CrossRef]
- Marconi, A.; Axon, D.J.; Maiolino, R.; Nagao, T.; Pastorini, G.; Pietrini, P.; Robinson, A.; Torricelli, G. The Effect of Radiation Pressure on Virial Black Hole Mass Estimates and the Case of Narrow-Line Seyfert 1 Galaxies. Astrophys. J. 2008, 678, 693. [Google Scholar] [CrossRef]
- Decarli, R.; Dotti, M.; Fontana, M.; Haardt, F. Are the black hole masses in narrow-line Seyfert 1 galaxies actually small? Mon. Not. R. Astron. Soc. 2008, 386, L15. [Google Scholar] [CrossRef]
- Viswanath, G.; Stalin, C.S.; Rakshit, S.; Kurian, K.S.; Ujjwal, K.; Gudennavar, S.B.; Kartha, S.S. Are Narrow-line Seyfert 1 Galaxies Powered by Low-mass Black Holes? Astrophys. J. 2019, 881, L24. [Google Scholar] [CrossRef]
- Mejia-Restrepo, J.E.; Lira, P.; Netzer, H.; Trakhtenbrot, B.; Capellupo, D.M. The effect of nuclear gas distribution on the mass determination of supermassive black holes. Nat. Astron. 2018, 2, 63. [Google Scholar] [CrossRef]
- Capellupo, D.M.; Netzer, H.; Lira, P.; Trakhtenbrot, B.; Mejia-Restrepo, J. Active galactic nuclei at z ∼ 1.5 - I. Spectral energy distribution and accretion discs. Mon. Not. R. Astron. Soc. 2015, 446, 3472. [Google Scholar] [CrossRef]
- York, D.G.; Adelman, J.; Anderson, J.E., Jr.; Anderson, S.F.; Annis, J.; Bahcall, N.A.; Bakken, J.A.; Barkhouser, R.; Bastian, S.; Berman, E.; et al. The Sloan Digital Sky Survey: Technical Summary. Astron. J. 2000, 120, 1579. [Google Scholar] [CrossRef]
- Cracco, V.; Ciroi, S.; Berton, M.; Di Mille, F.; Foschini, L.; La Mura, G.; Rafanelli, P. A spectroscopic analysis of a sample of narrow-line Seyfert 1 galaxies selected from the Sloan Digital Sky Survey. Mon. Not. R. Astron. Soc. 2016, 462, 1256. [Google Scholar] [CrossRef]
- Komossa, S.; Voges, W.; Xu, D.; Mathur, S.; Adorf, H.-M.; Lemson, G.; Duschl, W.J.; Grupe, D. Radio-loud Narrow-Line Type 1 Quasars. Astron. J. 2006, 132, 531. [Google Scholar] [CrossRef]
- Kellermann, K.I.; Condon, J.J.; Kimball, A.E.; Perley, R.A.; Ivezic, Z. Radio-loud and Radio-quiet QSOs. Astrophys. J. 2016, 831, 168. [Google Scholar] [CrossRef]
- Anton, S.; Browne, I.W.A.; Marcha, M.J. The colour of the narrow line Sy1-blazar 0324+3410. Astron. Astrophys. 2008, 490, 583. [Google Scholar] [CrossRef]
- Berton, M.; Congiu, E.; Järvela, E.; Antonucci, R.; Kharb, P.; Lister, M.L.; Tarchi, A.; Caccianiga, A.; Chen, S.; Foschini, L.; et al. Radio-emitting narrow-line Seyfert 1 galaxies in the JVLA perspective. Astron. Astrophys. 2018, 614, A87. [Google Scholar] [CrossRef]
- Doi, A.; Nagira, H.; Kawakatu, N.; Kino, M.; Nagai, H.; Asada, K. Kiloparsec-scale Radio Structures in Narrow-line Seyfert 1 Galaxies. Astrophys. J. 2012, 760, 41. [Google Scholar] [CrossRef]
- Rakshit, S.; Stalin, C.S.; Hota, A.; Konar, C. Rare Finding of a 100 Kpc Large, Double-lobed Radio Galaxy Hosted in the Narrow-line Seyfert 1 Galaxy SDSS J103024.95+551622.7. Astrophys. J. 2018, 869, 173. [Google Scholar] [CrossRef]
- Richards, J.; Lister, M.L. Kiloparsec-Scale Jets in Three Radio-Loud Narrow-Line Seyfert 1 Galaxies. Astrophys. J. 2015, 800, L8. [Google Scholar] [CrossRef]
- Doi, A.; Asada, K.; Nagai, H. Very Long Baseline Array Imaging of Parsec-scale Jet Structures in Radio-loud Narrow-line Seyfert 1 Galaxies. Astrophys. J. 2011, 738, 126. [Google Scholar] [CrossRef]
- Foschini, L.; Maraschi, L.; Tavecchio, F.; Ghisellini, G.; Gliozzi, M.; Sambruna, R.M. Blazar nuclei in radio-loud narrow-line Seyfert 1? Adv. Space Res. 2009, 43, 889. [Google Scholar] [CrossRef][Green Version]
- D’Ammando, F.; Orienti, M.; Finke, J.; Raiteri, C.M.; Angelakis, E.; Fuhrmann, L.; Giroletti, M.; Hovatta, T.; Karamanavis, V.; Max-Moerbeck, W.; et al. Multifrequency studies of the narrow-line Seyfert 1 galaxy SBS 0846+513. Mon. Not. R. Astron. Soc. 2013, 436, 191. [Google Scholar] [CrossRef]
- Lister, M.L.; Aller, M.F.; Aller, H.D.; Homan, D.C.; Kellermann, K.I.; Kovalev, Y.Y.; Pushkarev, A.B.; Richards, J.L.; Ros, E.; Savolainen, T. MOJAVE: XIII. Parsec-scale AGN Jet Kinematics Analysis Based on 19 years of VLBA Observations at 15 GHz. Astron. J. 2016, 152, 12. [Google Scholar] [CrossRef]
- Deo, R.P.; Crenshow, D.M.; Kramer, S.B. The Host Galaxies of Narrow-Line Seyfert 1 Galaxies: Nuclear Dust Morphology and Starburst Rings. Astron. J. 2006, 132, 321. [Google Scholar] [CrossRef]
- Krongold, Y.; Dultzin-Hacyan, D.; Marziani, P. Host Galaxies and Circumgalactic Environment of “Narrow Line” Seyfert 1 Nuclei. Astron. J. 2001, 121, 702. [Google Scholar] [CrossRef]
- Mathur, S.; Fields, D.; Peterson, B.M.; Grupe, D. Supermassive Black Holes, Pseudobulges, and the Narrow-line Seyfert 1 Galaxies. Astrophys. J. 2012, 754, 146. [Google Scholar] [CrossRef]
- Ohta, K.; Aoki, K.; Kawaguchi, T.; Kiuchi, G. A Bar Fuels a Supermassive Black Hole?: Host Galaxies of Narrow-Line Seyfert 1 Galaxies. Astrophys. J. Suppl. Ser. 2007, 169, 1. [Google Scholar] [CrossRef][Green Version]
- Orban de Xivry, G.; Davies, R.; Schartmann, M.; Komossa, S.; Marconi, A.; Hicks, E.; Engel, H.; Tacconi, L. The role of secular evolution in the black hole growth of narrow-line Seyfert 1 galaxies. Mon. Not. R. Astron. Soc. 2011, 417, 2721. [Google Scholar] [CrossRef]
- Markarian, B.E.; Lipovetsky, V.A.; Stepanian, J.A.; Erastova, L.K.; Shapovalova, A.I. The first Byurakan survey. A catalogue of galaxies with UV-continuum. Commun. Spec. Astrophys. Obs. 1989, 62, 5. [Google Scholar]
- Böttcher, M.; Dermer, C.D. An Evolutionary Scenario for Blazar Unification. Astrophys. J. 2002, 564, 86. [Google Scholar] [CrossRef]
- Marscher, A. Jets in AGN. Lect. Notes Phys. 2009, 794, 173. [Google Scholar]
- Sikora, M.; Stawarz, L.; Lasota, J.-P. Radio Loudness of Active Galactic Nuclei: Observational Facts and Theoretical Implications. Astrophys. J. 2007, 658, 815. [Google Scholar] [CrossRef]
- Sikora, M. Radio bimodality: Spin, accretion mode, or both? Astron. Nachr. 2009, 330, 291. [Google Scholar] [CrossRef]
- Ade, P.A.R.; Aghanim, N.; Arnaud, M.; Ashdown, M.; Aumont, J.; Baccigalupi, C.; Banday, A.J.; Barreiro, R.B.; Bartlett, J.G.; Bartolo, N.; et al. Planck 2015 results XIII. Cosmological parameters. Astron. Astrophys. 2016, 594, A13. [Google Scholar]
- Baldi, R.; Capetti, A.; Robinson, A.; Laor, A.; Behar, E. Radio-loud Narrow Line Seyfert 1 under a different perspective: A revised black hole mass estimate from optical spectropolarimetry. Mon. Not. R. Astron. Soc. 2016, 458, L69. [Google Scholar] [CrossRef]
- Gallo, L.C.; Edwards, P.G.; Ferrero, E.; Kataoka, J.; Lewis, D.R.; Ellingsen, S.P.; Misanovic, Z.; Welsh, W.F.; Whiting, M.; Boller, T.; et al. The spectral energy distribution of PKS 2004-447: A compact steep-spectrum source and possible radio-loud narrow-line Seyfert 1 galaxy. Mon. Not. R. Astron. Soc. 2006, 370, 245. [Google Scholar] [CrossRef]
- Oshlack, A.Y.K.N.; Webster, R.L.; Whiting, M.T. A Very Radio Loud Narrow-Line Seyfert 1: PKS 2004-447. Astrophys. J. 2001, 558, 578. [Google Scholar] [CrossRef][Green Version]
- Abdo, A.A.; Ackermann, M.; Ajello, M.; Allafort, A.; Antolini, E.; Atwood, W.B.; Axelsson, M.; Baldini, L.; Ballet, J.; Barbiellini, G.; et al. Fermi Large Area Telescope First Source Catalog. Astrophys. J. Suppl. Ser. 2010, 188, 405. [Google Scholar] [CrossRef]
- Nolan, P.L.; Abdo, A.A.; Ackermann, M.; Ajello, M.; Allafort, A.; Antolini, E.; Atwood, W.B.; Axelsson, M.; Baldini, L.; Ballet, J.; et al. Fermi Large Area Telescope Second Source Catalog. Astrophys. J. Suppl. Ser. 2012, 199, 31. [Google Scholar] [CrossRef]
- D’Ammando, F.; Orienti, M.; Finke, J.; Raiteri, C.M.; Angelakis, E.; Fuhrmann, L.; Giroletti, M.; Hovatta, T.; Max-Moerbeck, W.; Perkins, J.S.; et al. SBS 0846+513: A new γ-ray-emitting narrow-line Seyfert 1 galaxy. Mon. Not. R. Astron. Soc. 2012, 426, 317. [Google Scholar] [CrossRef]
- D’Ammando, F.; Orienti, M.; Larsson, J.; Giroletti, M. The first γ-ray detection of the narrow-line Seyfert 1 FBQS J1644+2619. Mon. Not. R. Astron. Soc. 2015, 452, 520. [Google Scholar] [CrossRef]
- Atwood, W.B.; Baldini, L.; Bregeon, J.; Bruel, P.; Chekhtman, A.; Cohen-Tanugi, J.; Drlica-Wagner, A.; Granot, J.; Longo, F.; Omodei, N.; et al. New Fermi-LAT Event Reconstruction Reveals More High-energy Gamma Rays from Gamma-Ray Bursts. Astrophys. J. 2013, 774, 76. [Google Scholar] [CrossRef]
- Paliya, V.S.; Ajello, M.; Rakshit, S.; Mandal, A.K.; Stalin, C.S.; Kaur, A.; Hartmann, D. Gamma-Ray-emitting Narrow-line Seyfert 1 Galaxies in the Sloan Digital Sky Survey. Astrophys. J. 2018, 853, L2. [Google Scholar] [CrossRef]
- Ackermann, M.; Ajello, M.; Atwood, W.B.; Baldini, L.; Ballet, J.; Barbiellini, G.; Bastieri, D.; Becerra Gonzalez, J.; Bellazzini, R.; Bissaldi, E.; et al. The Third Catalog of Active Galactic Nuclei Detected by the Fermi Large Area Telescope. Astrophys. J. Suppl. Ser. 2015, 810, 14. [Google Scholar] [CrossRef]
- D’Ammando, F.; Orienti, M.; Finke, J.; Raiteri, C.M.; Hovatta, T.; Larsson, J.; Max-Moerbeck, W.; Perkins, J.; Readhead, A.C.S.; Richards, J.L.; et al. The most powerful flaring activity from the NLSy1 PMN J0948+0022. Mon. Not. R. Astron. Soc. 2015, 446, 2456. [Google Scholar] [CrossRef]
- D’Ammando, F.; Orienti, M.; Finke, J.; Hovatta, T.; Giroletti, M.; Max-Moerbeck, W.; Pearson, T.J.; Readhead, A.C.S.; Reeves, R.A.; Richards, J.L. The awakening of the γ-ray narrow-Line Seyfert 1 galaxy PKS 1502+036. Mon. Not. R. Astron. Soc. 2016, 463, 4469. [Google Scholar] [CrossRef]
- Foschini, L. Evidence of powerful relativistic jets in narrow-line Seyfert 1 galaxies. In Narrow-Line Seyfert 1 Galaxies and Their Place in the Universe, Proceedings of Science; Foschini, L., Colpi, M., Gallo, L., Grupe, D., Komossa, S., Leighly, K., Mathur, S., Eds.; SISSA: Trieste, Italy, 2011. [Google Scholar]
- Paliya, V.S.; Sahayanathan, S.; Parker, M.L.; Fabian, A.C.; Stalin, C.S.; Anjum, A.; Pandey, S.B. The Peculiar Radio-loud Narrow Line Seyfert 1 Galaxy 1H 0323+342. Astrophys. J. 2014, 789, 143. [Google Scholar] [CrossRef]
- Foschini, L.; Ghisellini, G.; Kovalev, Y.Y.; Lister, M.L.; D’Ammando, F.; Thompson, D.J.; Tramacere, A.; Angelakis, E.; Donato, D.; Falcone, A.; et al. The first gamma-ray outburst of a narrow-line Seyfert 1 galaxy: The case of PMN J0948+0022 in 2010 July. Mon. Not. R. Astron. Soc. 2011, 413, 1671. [Google Scholar] [CrossRef]
- Gokus, A. Fermi LAT detection of a GeV flare from the radio-loud narrow-line Seyfert 1 Galaxy PKS 2004-447. Astron. Telegr. 2019, 13229, 1. [Google Scholar]
- Paliya, V.S.; Stalin, C.S. The First GeV Outburst of the Radio-loud Narrow-line Seyfert 1 Galaxy PKS 1502+036. Astrophys. J. 2016, 820, L52. [Google Scholar] [CrossRef]
- Abdo, A.A.; Ackermann, M.; Ajello, M.; Atwood, W.B.; Axelsson, M.; Baldini, L.; Ballet, J.; Barbiellini, G.; Bastieri, D.; Bechtol, K.; et al. Spectral Properties of Bright Fermi-Detected Blazars in the Gamma-Ray Band. Astrophys. J. 2010, 710, 1271. [Google Scholar] [CrossRef]
- Miller, H.; Maune, J.; Eggen, J.; Turner, C.; Ferrara, E.; Gudkova, D.; Battles, A. A Search for Blazar-Like Radio-Loud Narrow-Line Seyfert 1 Galaxies. Galaxies 2017, 5, 20. [Google Scholar] [CrossRef]
- Lähteenmäki, A.; Järvela, E.; Ramakrishnan, V.; Tornikoski, M.; Tammi, J.; Vera, R.J.C.; Chamani, W. Radio jets and gamma-ray emission in radio-silent narrow-line Seyfert 1 galaxies. Astron. Astrophys. 2018, 614, 1. [Google Scholar] [CrossRef]
- Paiano, S.; Falomo, R.; Treves, A.; Franceschini, A.; Scarpa, R. Optical Spectroscopic Survey of a Sample of Unidentified Fermi Objects: II. Astrophys. J. 2019, 871, 162. [Google Scholar] [CrossRef]
- Kynoch, D.; Landt, H.; Ward, M.J.; Done, C.; Boisson, C.; Baloković, M.; Angelakis, E.; Myserlis, I. The relativistic jet of the γ-ray emitting narrow-line Seyfert 1 galaxy PKS J1222+0413. Mon. Not. R. Astron. Soc. 2019, 487, 181. [Google Scholar] [CrossRef]
- Berton, M.; Foschini, L.; Caccianiga, A.; Ciroi, S.; Congiu, E.; Cracco, V.; Frezzato, M.; La Mura, G.; Rafanelli, P. An orientation-based unification of young jetted active galactic nuclei: The case of 3C 286. Front. Astron. Space Sci. 2017, 4, 8. [Google Scholar] [CrossRef]
- Liao, M.; Gu, M. Investigation on Young radio AGNs based on SDSS spectroscopy. Mon. Not. R. Astron. Soc. 2019, in press. [Google Scholar] [CrossRef]
- An, T.; Lao, B.-Q.; Zhao, W.; Mohan, P.; Cheng, X.-P.; Cui, Y.-Z.; Zhang, Z.-L. Parsec-scale jet properties of the gamma-ray quasar 3C 286. Mon. Not. R. Astron. Soc. 2017, 466, 952. [Google Scholar] [CrossRef]
- Ajello, M.; Atwood, W.B.; Baldini, L.; Ballet, J.; Barbiellini, G.; Bastieri, D.; Bellazzini, R.; Bissaldi, E.; Blandford, R.D.; Bloom, E.D.; et al. 3FHL: The Third Catalog of Hard Fermi-LAT Sources. Astrophys. J. Suppl. Ser. 2017, 232, 18. [Google Scholar] [CrossRef]
- Ackermann, M.; Ajello, M.; Atwood, W.B.; Baldini, L.; Ballet, J.; Barbiellini, G.; Bastieri, D.; Becerra Gonzalez, J.; Bellazzini, R.; Bissaldi, E.; et al. 2FHL: The Second Catalog of Hard Fermi-LAT Sources. Astrophys. J. Suppl. Ser. 2016, 222, 5. [Google Scholar] [CrossRef]
- Falcone, A.D.; Bond, I.H.; Boyle, P.J.; Bradbury, S.M.; Buckley, J.H.; Carter-Lewis, D.; Celik, O.; Cui, W.; Daniel, M.; D’Vali, M.; et al. A Search for TeV Gamma-Ray Emission from High-peaked Flat-Spectrum Radio Quasars Using the Whipple Air Cerenkov Telescope. Astrophys. J. 2004, 613, 710. [Google Scholar] [CrossRef]
- Archambault, S.; Archer, A.; Benbow, W.; Bird, R.; Biteau, J.; Buchovecky, M.; Buckley, J.H.; Bugaev, V.; Byrum, K.; Cerruti, M.; et al. Upper Limits from Five Years of Blazar Observations with the VERITAS Cherenkov Telescopes. Astron. J. 2016, 151, 142. [Google Scholar] [CrossRef]
- Abramowski, A.; Aharonian, F.; Ait Benkhali, F.; Akhperjanian, A.G.; Angüner, E.; Anton, G.; Balenderan, S.; Balzer, A.; Barnacka, A.; Becherini, Y.; et al. Flux upper limits for 47 AGN observed with H.E.S.S. in 2004–2011. Astron. Astrophys. 2014, 564, A9. [Google Scholar]
- Ahnen, M.L.; Ansoldi, S.; Antonelli, L.A.; Antoranz, P.; Arcaro, C.; Babic, A.; Banerjee, B.; Bangale, P.; Barres de Almeida, U.; Barrio, J.A.; et al. Detection of very high energy gamma-ray emission from the gravitationally lensed blazar QSO B0218+357 with the MAGIC telescopes. Astron. Astrophys. 2016, 595, A98. [Google Scholar] [CrossRef]
- Abeysekara, A.U.; Archambault, S.; Archer, A.; Aune, T.; Barnacka, A.; Benbow, W.; Bird, R.; Biteau, J.; Buckley, J.H.; Bugaev, V.; et al. Gamma-Rays from the Quasar PKS 1441+25: Story of an Escape. Astrophys. J. Lett. 2015, 815, L22. [Google Scholar] [CrossRef]
- Ahnen, M.L.; Ansoldi, S.; Antonelli, L.A.; Antoranz, P.; Babic, A.; Banerjee, B.; Bangale, P.; Barres de Almeida, U.; Barrio, J.A.; Bednarek, W.; et al. Very High Energy γ-Rays from the Universe’s Middle Age: Detection of the z = 0.940 Blazar PKS 1441+25 with MAGIC. Astrophys. J. Lett. 2015, 815, L23. [Google Scholar] [CrossRef]
- Mirzoyan, R. Detection of very-high-energy gamma-ray emission from the FSRQ Ton 0599 with the MAGIC telescopes. Astron. Telegr. 2017, 11061, 1. [Google Scholar]
- Costamante, L.; Cutini, S.; Tosti, G.; Antolini, E.; Tramacere, A. On the origin of gamma-rays in Fermi blazars: Beyond the broad-line region. Mon. Not. R. Astron. Soc. 2018, 477, 4477. [Google Scholar] [CrossRef]
- Tavecchio, F.; Ghisellini, G. “Flat” broad line region and gamma-ray absorption in blazars. arXiv 2012, arXiv:1209.2291. [Google Scholar]
- Albert, J.; Aliu, E.; Anderhub, H.; Antonelli, L.A.; Antoranz, P.; Backes, M.; Baixeras, C.; Barrio, J.A.; Bartko, H.; Bastieri, D.; et al. Very-High-Energy gamma rays from a Distant Quasar: How Transparent Is the Universe? Science 2008, 320, 1752. [Google Scholar] [PubMed]
- Aleksić, J.; Antonelli, L.A.; Antoranz, P.; Backes, M.; Barrio, J.A.; Bastieri, D.; Becerra González, J.; Bednarek, W.; Berdyugin, A.; Berger, K.; et al. MAGIC Discovery of Very High Energy Emission from the FSRQ PKS 1222+21. Astrophys. J. 2011, 730, L8. [Google Scholar] [CrossRef]
- Aleksić, J.; Antonelli, L.A.; Antoranz, P.; Backes, M.; Barrio, J.A.; Bastieri, D.; Becerra González, J.; Bednarek, W.; Berdyugin, A.; Berger, K.; et al. MAGIC Observations and multiwavelength properties of the quasar 3C 279 in 2007 and 2009. Astron. Astrophys. 2011, 530, A4. [Google Scholar] [CrossRef]
- Abramowski, A.; Acero, F.; Aharonian, F.; Akhperjanian, A.G.; Anton, G.; Balenderan, S.; Balzer, A.; Barnacka, A.; Becherini, Y.; Becker, T.; et al. H.E.S.S. discovery of VHE γ-rays from the quasar PKS 1510-089. Astron. Astrophys. 2013, 554, A107. [Google Scholar]
- Aleksić, J.; Ansoldi, S.; Antonelli, L.A.; Antoranz, P.; Babic, A.; Bangale, P.; Barres de Almeida, U.; Barrio, J.A.; Becerra González, J.; Bednarek, W.; et al. MAGIC gamma-ray and multi-frequency observations of flat spectrum radio quasar PKS 1510-089 in early 2012. Astron. Astrophys. 2014, 569, A46. [Google Scholar] [CrossRef]
- Mukherjee, R. VERITAS Detection of VHE Emission from Ton 599. Astron. Telegr. 2017, 11075, 1. [Google Scholar]
- Finke, J.D.; Razzaque, S.; Dermer, C.D. Modeling the Extragalactic Background Light from Stars and Dust. Astrophys. J. 2010, 712, 238. [Google Scholar]
- Acharya, B.S.; Agudo, I.; Al Samarai, I.; Alfaro, R.; Alfaro, J.; Alispach, C.; AlvesBatista, R.; Amans, J.-P.; Amato, E.; Ambrosi, G.; et al. Science with the Cherenkov Telescope Array; World Scientific: Singapore, 2019. [Google Scholar] [CrossRef]
- Meyer, E.; Finke, J.; Younes, G.; D’Ammando, F.; Rani, B.; Buson, S.; Wadiasingh, Z.; Agudo, I.; Beckmann, V.; Longo, F. Prospects for AGN Studies at Hard X-ray through MeV Energies. arXiv 2019, arXiv:1903.07553. [Google Scholar]
- Romano, P.; Vercellone, S.; Foschini, L.; Tavecchio, F.; Landoni, M.; Knödlseder, J. Prospects for gamma-ray observations of narrow-line Seyfert 1 galaxies with the Cherenkov Telescope Array. Mon. Not. R. Astron. Soc. 2018, 481, 5046. [Google Scholar] [CrossRef]
- D’Ammando, F.; Larsson, J.; Orienti, M.; Torresi, E.; Finke, J. The XMM-Newton view of γ-ray emitting narrow-line Seyfert 1 galaxies. In Proceedings of the X-Ray Universe 2017, Rome, Italy, 6–9 June 2017. [Google Scholar]
- Kynoch, D.; Landt, H.; Ward, M.J.; Done, C.; Gardner, E.; Boisson, C.; Arrieta-Lobo, M.; Zech, A.; Steenbrugge, K.; Pereira Santaella, M. The relativistic jet of the γ-ray emitting narrow-line Seyfert 1 galaxy 1H 0323+342. Mon. Not. R. Astron. Soc. 2018, 475, 404. [Google Scholar] [CrossRef]
- Larsson, J.; D’Ammando, F.; Falocco, S.; Giroletti, M.; Orienti, M.; Piconcelli, E.; Righini, S. FBQS J1644+2619: Multiwavelength properties and its place in the class of γ-ray emitting Narrow Line Seyfert 1s. Mon. Not. R. Astron. Soc. 2018, 476, 43. [Google Scholar] [CrossRef]
- Yang, H.; Yuan, W.; Yao, S.; Li, Y.; Zhang, J.; Zhou, H.; Komossa, S.; Liu, H.-Y.; Jin, C. SDSS J211852.96-073227.5: A new γ-ray flaring narrow-line Seyfert 1 galaxy. Mon. Not. R. Astron. Soc. 2018, 477, 5127. [Google Scholar] [CrossRef]
- Kreikenbohm, A.; Schulz, R.; Kadler, M.; Wilms, J.; Markowitz, A.; Chang, C.S.; Carpenter, B.; Elsässer, D.; Gehrels, N.; Mannheim, K.; et al. The gamma-ray emitting radio-loud narrow-line Seyfert 1 galaxy PKS 2004-447. I. The X-ray View. Astron. Astrophys. 2016, 585, 91. [Google Scholar] [CrossRef]
- Orienti, M.; D’Ammando, F.; Larsson, J.; Finke, J.; Giroletti, M.; Dallacasa, D.; Isacsson, T.; Stoby Hoglund, J. Investigating powerful jets in radio-loud narrow-line Seyfert 1s. Mon. Not. R. Astron. Soc. 2015, 453, 4037. [Google Scholar] [CrossRef]
- D’Ammando, F.; Larsson, J.; Orienti, M.; Raiteri, C.M.; Angelakis, E.; Carraminana, A.; Carrasco, L.; Drake, A.J.; Fuhrmann, L.; Giroletti, M.; et al. Multiwavelength observations of the γ-ray-emitting narrow-line Seyfert 1 PMN J0948+0022 in 2011. Mon. Not. R. Astron. Soc. 2014, 438, 3521. [Google Scholar] [CrossRef]
- Gierlinski, M.; Done, C. Is the soft excess in active galactic nuclei real? Mon. Not. R. Astron. Soc. 2004, 349, L7. [Google Scholar] [CrossRef]
- Kataoka, J.; Madejski, G.; Sikora, M.; Roming, P.; Chester, M.M.; Grupe, D.; Tsubuku, Y.; Sato, R.; Kawai, N.; Tosti, G.; et al. Multiwavelength Observations of the Powerful Gamma-Ray Quasar PKS 1510-089: Clues on the Jet Composition. Astrophys. J. 2008, 672, 787. [Google Scholar] [CrossRef]
- Grandi, P.; Palumbo, G. Jet and Accretion-Disk Emission Untangled in 3C 273. Science 2004, 303, 998. [Google Scholar] [CrossRef][Green Version]
- De Rosa, A.; Bassani, L.; Ubertini, P.; Malizia, A.; Dean, A.J. Bulk Compton motion in the luminous quasar 4C04.42? Mon. Not. R. Astron. Soc. 2008, 388, L54. [Google Scholar] [CrossRef]
- Celotti, A.; Ghisellini, G.; Fabian, A.C. Bulk Comptonization spectra in blazars. Mon. Not. R. Astron. Soc. 2007, 375, 417. [Google Scholar] [CrossRef][Green Version]
- Barcons, X.; Barret, D.; Decourchelle, A.; den Herder, J.W.; Fabian, A.C.; Matsumoto, H.; Lumb, D.; Nandra, K.; Piro, L.; Smith, R.K.; et al. Athena: ESA’s X-ray observatory for the late 2020s. Astron. Nachr. 2017, 338, 153. [Google Scholar] [CrossRef]
- In’t Zand, J.M.; Bozzo, E.; Qu, J.; Li, X.-D.; Amati, L.; Chen, Y.; Donnarumma, I.; Doroshenko, V.; Drake, S.A.; Hernanz, M.; et al. Observatory science with eXTP. Sci. China Phys. Mech. Astron. 2019, 62, 29506. [Google Scholar] [CrossRef]
- Tashiro, M.; Maejima, H.; Toda, K.; Kelley, R.; Reichenthal, L.; Lobell, J.; Petre, R.; Guainazzi, M.; Costantini, E.; Edison, M.; et al. Concept of the X-ray Astronomy Recovery Mission. SPIE 2018, 10699, 22. [Google Scholar]
- D’Ammando, F.; Gokus, A.; Kadler, M.; Ojha, R. Swift follow-up of the flaring NLSy1 PKS 2004-447. Astron. Telegr. 2019, 13233, 1. [Google Scholar]
- Boller, T.; Brandt, W.N.; Fabian, A.C.; Fink, H. ROSAT monitoring of persistent giant and rapid variability in the narrow-line Seyfert 1 galaxy IRAS 13224-3809. Mon. Not. R. Astron. Soc. 1997, 289, 393. [Google Scholar] [CrossRef]
- D’Ammando, F.; Rau, A.; Schady, P.; Finke, J.; Orienti, M.; Greiner, J.; Kann, D.A.; Ojha, R.; Foley, A.R.; Stevens, J.; et al. PKS 2123-463: A confirmed γ-ray blazar at high redshift. Mon. Not. R. Astron. Soc. 2012, 427, 893. [Google Scholar] [CrossRef]
- Raiteri, C.M.; Villata, M.; Smith, P.S.; Larionov, V.M.; Acosta-Pulido, J.A.; Aller, M.F.; D’Ammando, F.; Gurwell, M.A.; Jorstad, S.G.; Joshi, M.; et al. Variability of the blazar 4C 38.41 (B3 1633+382) from GHz frequencies to GeV energies. Astron. Astrophys. 2012, 545, A48. [Google Scholar] [CrossRef]
- Wehrle, A.E.; Marscher, A.P.; Jorstad, S.G.; Gurwell, M.A.; Manasvita, J.; MacDonald, N.R.; Williamson, K.E.; Agudo, I.; Grupe, D. Multiwavelength variations of 3C 454.3 during the 2010 November to 2011 January Outburst. Astrophys. J. 2012, 758, 72. [Google Scholar] [CrossRef]
- Oh, K.; Koss, M.; Markwardt, C.B.; Schawinski, K.; Baumgartner, W.H.; Barthelmy, S.D.; Cenko, S.B.; Gehrels, N.; Mushotzky, R.; Petulante, A.; et al. The 105-Month Swift-BAT All-sky Hard X-Ray Survey. Astrophys. J. Suppl. Ser. 2018, 235, 4. [Google Scholar] [CrossRef]
- Bird, A.J.; Bazzano, A.; Bassani, L.; Capitanio, F.; Fiocchi, M.; Hill, A.B.; Malizia, A.; McBride, V.A.; Scaringi, S.; Sguera, V.; et al. The Fourth IBIS/ISGRI Soft Gamma-ray Survey Catalog. Astrophys. J. Suppl. Ser. 2010, 186, 1. [Google Scholar] [CrossRef]
- Brenneman, L. Illuminating the Disk/Corona/Jet Connection in NLS1 Galaxies. In Proceedings of the X-Ray Universe 2017, Rome, Italy, 6–9 June 2017. [Google Scholar]
- Landt, H.; Ward, M.J.; Baloković, M.; Kynoch, D.; Storchi-Bergmann, T.; Boisson, C.; Done, C.; Schimoia, J.; Stern, D. On the black hole mass of the γ-ray emitting narrow-line Seyfert 1 galaxy 1H 0323+342. Mon. Not. R. Astron. Soc. 2017, 464, 2565. [Google Scholar] [CrossRef]
- D’Ammando, F.; Acosta-Pulido, J.A.; Capetti, A.; Raiteri, C.M.; Baldi, R.D.; Orienti, M.; Ramos Almeida, C. Uncovering the host galaxy of the γ-ray-emitting narrow-line Seyfert 1 galaxy FBQS J1644+2619. Mon. Not. R. Astron. Soc. 2017, 469, L11. [Google Scholar] [CrossRef]
- Caccianiga, A.; Antón, S.; Ballo, L.; Foschini, L.; Maccacaro, T.; Della Ceca, R.; Severgnini, P.; Marchã, M.J.; Mateos, S.; Sani, E. WISE colours and star formation in the host galaxies of radio-loud narrow-line Seyfert 1. Mon. Not. R. Astron. Soc. 2015, 451, 1795. [Google Scholar] [CrossRef]
- Jiang, N.; Zhou, H.-Y.; Ho, L.C.; Yuan, W.; Wang, T.-G.; Dong, X.-B.; Jiang, P.; Ji, T.; Tian, Q. Rapid Infrared Variability of Three Radio-loud Narrow-line Seyfert 1 Galaxies: A View from the Wide-field Infrared Survey Explorer. Astrophys. J. 2012, 759, L31. [Google Scholar] [CrossRef]
- Itoh, R.; Tanaka, Y.T.; Fukazawa, Y.; Kawabata, K.S.; Kawaguchi, K.; Moritani, Y.; Takaki, K.; Ueno, I.; Uemura, M.; Akitaya, H.; et al. Minute-scale Rapid Variability of the Optical Polarization in the Narrow-line Seyfert 1 Galaxy PMN J0948+0022. Astrophys. J. 2013, 775, L26. [Google Scholar] [CrossRef]
- Liu, H.; Wang, J.; Mao, Y.; Wei, J. Violent Intranight Optical Variability of a Radio-loud Narrow-line Seyfert 1 Galaxy: SDSS J094857.3+002225. Astrophys. J. 2010, 715, L113. [Google Scholar] [CrossRef]
- Maune, J.D.; Miller, H.R.; Eggen, J.R. The Extreme Optical Variability of J0948+0022. Astrophys. J. 2013, 762, 124. [Google Scholar] [CrossRef]
- Paliya, V.S.; Stalin, C.S.; Kumar, B.; Kumar, B.; Bhatt, V.K.; Pandey, S.B.; Yadav, R.K.S. Intranight optical variability of γ-ray-loud narrow-line Seyfert 1 galaxies. Mon. Not. R. Astron. Soc. 2013, 428, 2450. [Google Scholar] [CrossRef]
- Maune, J.D.; Eggen, J.R.; Miller, H.R.; Marshall, K.; Readhead, A.C.S.; Hovatta, T.; King, O. The Extreme Behavior of the Radio-loud Narrow-line Seyfert 1 Galaxy J0849+5108. Astrophys. J. 2014, 794, 93. [Google Scholar] [CrossRef]
- Paliya, V.S.; Rajput, B.; Stalin, C.S.; Pandey, S.B. Broadband Observations of the Gamma-Ray Emitting Narrow Line Seyfert 1 Galaxy SBS 0846+513. Astrophys. J. 2016, 819, 121. [Google Scholar] [CrossRef]
- Itoh, R.; Tanaka, Y.T.; Akitaya, H.; Uemura, M.; Fukazawa, Y.; Inoue, Y.; Doi, A.; Arai, A.; Hanayama, H.; Hashimoto, O.; et al. Variable optical polarization during high state in γ-ray loud, narrow-line Seyfert 1 galaxy 1H 0323+342. Publ. Astron. Soc. Jpn. 2014, 66, 108. [Google Scholar] [CrossRef]
- Ojha, V.; Krishna, G.; Chand, H. Intra-night optical monitoring of three γ-ray detected narrow-line Seyfert 1 galaxies. Mon. Not. R. Astron. Soc. 2019, 483, 3036. [Google Scholar] [CrossRef]
- Angelakis, E.; Kiehlmann, S.; Myserlis, I.; Blinov, D.; Eggen, J.; Itoh, R.; Marchili, N.; Zensus, J.A. Optical polarisation variability of radio-loud narrow-line Seyfert 1 galaxies. Search for long rotations of the polarisation plane. Astron. Astrophys. 2018, 618, A92. [Google Scholar] [CrossRef]
- Angelakis, E.; Hovatta, T.; Blinov, D.; Pavlidou, V.; Kiehlmann, S.; Myserlis, I.; Böttcher, M.; Mao, P.; Panopoulou, G.V.; Liodakis, I.; et al. RoboPol: The optical polarization of gamma-ray-loud and gamma-ray-quiet blazars. Mon. Not. R. Astron. Soc. 2016, 463, 3365. [Google Scholar] [CrossRef]
- Abdo, A.A.; Ackermann, M.; Ajello, M.; Axelsson, M.; Baldini, L.; Ballet, J.; Barbiellini, G.; Bastieri, D.; Baughman, B.M.; Bechtol, K.; et al. A change in the optical polarization associated with a γ-ray flare in the blazar 3C 279. Nature 2010, 463, 919. [Google Scholar]
- Blinov, D.; Pavlidou, V.; Papadakis, I.E.; Hovatta, T.; Pearson, T.J.; Liodakis, I.; Panopoulou, G.V.; Angelakis, E.; Baloković, M.; Das, H.; et al. RoboPol: Optical polarization-plane rotations and flaring activity in blazars. Mon. Not. R. Astron. Soc. 2016, 457, 2252. [Google Scholar] [CrossRef]
- Blinov, D.; Pavlidou, V.; Papadakis, I.; Kiehlmann, S.; Liodakis, I.; Panopoulou, G.V.; Angelakis, E.; Baloković, M.; Hovatta, T.; King, O.G.; et al. RoboPol: Connection between optical polarization plane rotations and gamma-ray flares in blazars. Mon. Not. R. Astron. Soc. 2018, 474, 1296. [Google Scholar] [CrossRef]
- Marscher, A.P.; Jorstad, S.G.; D’Arcangelo, F.D.; Smith, P.S.; Williams, G.G.; Larionov, V.M.; Oh, H.; Olmstead, A.R.; Aller, M.F.; Aller, H.D.; et al. The inner jet of an active galactic nucleus as revealed by a radio-to-γ-ray outburst. Nature 2008, 452, 966. [Google Scholar] [CrossRef] [PubMed]
- Marscher, A.P. Turbulent, Extreme Multi-zone Model for Simulating Flux and Polarization Variability in Blazars. Astrophys. J. 2014, 780, 87. [Google Scholar] [CrossRef]
- Zhang, H.; Chen, X.; Böttcher, M. Synchrotron Polarization in Blazars. Astrophys. J. 2014, 789, 66. [Google Scholar] [CrossRef]
- Marscher, A.; Jorstad, S.; Williamson, K. Modeling the Time-Dependent Polarization of Blazars. Galaxies 2017, 5, 63. [Google Scholar] [CrossRef]
- Ghisellini, G.; Tavecchio, F.; Foschini, L.; Ghirlanda, G. The transition between BL Lac objects and flat spectrum radio quasars. Mon. Not. R. Astron. Soc. 2011, 414, 2674. [Google Scholar] [CrossRef]
- Orienti, M.; D’Ammando, F.; Giroletti, M. High resolution radio observations of gamma-ray emitting Narrow-Line Seyfert 1s. In Proceedings of the 2011 Fermi & Jansky: Our Evolving Understanding of AGN, St Michaels, MD, USA, 10–12 November 2011. [Google Scholar]
- Hada, K.; Doi, A.; Wajima, K.; D’Ammando, F.; Orienti, M.; Giroletti, M.; Giovannini, G.; Nakamura, M.; Asada, K. Collimation, Acceleration, and Recollimation Shock in the Jet of Gamma-Ray Emitting Radio-loud Narrow-line Seyfert 1 Galaxy 1H0323+342. Astrophys. J. 2018, 860, 141. [Google Scholar] [CrossRef]
- Wajima, K.; Fujisawa, K.; Hayashida, M.; Isobe, N.; Ishida, T.; Yonekura, Y. Short-term Radio Variability and Parsec-scale Structure in a Gamma-Ray Narrow-line Seyfert 1 Galaxy 1H 0323+342. Astrophys. J. 2014, 781, 75. [Google Scholar] [CrossRef]
- Doi, A.; Fujisawa, K.; Inoue, M.; Wajima, K.; Nagai, H.; Harada, K.; Suematsu, K.; Habe, A.; Honma, M.; Kawaguchi, N.; et al. Japanese VLBI Network Observations of Radio-Loud Narrow-Line Seyfert 1 Galaxies. Publ. Astron. Soc. Jpn. 2007, 59, 703. [Google Scholar] [CrossRef]
- Gu, M.; Chen, Y.; Komossa, S.; Yuan, W.; Shen, Z.; Wajima, K.; Zhou, H.; Zensus, J.A. The Radio Properties of Radio-loud Narrow-line Seyfert 1 Galaxies on Parsec Scales. Astrophys. J. Suppl. Ser. 2015, 221, 3. [Google Scholar] [CrossRef]
- D’Ammando, F.; Orienti, M.; Doi, A.; Giroletti, M.; Dallacasa, D.; Hovatta, T.; Drake, A.J.; Max-Moerbeck, W.; Readhead, A.C.S.; Richards, J.L. The ordinary life of the γ-ray emitting narrow-line Seyfert 1 galaxy PKS 1502+036. Mon. Not. R. Astron. Soc. 2013, 433, 952. [Google Scholar] [CrossRef]
- Giroletti, M.; Paragi, Z.; Bignall, H.; Doi, A.; Foschini, L.; Gabányi, K.É.; Reynolds, C.; Blanchard, J.; Campbell, R.M.; Colomer, F.; et al. Global e-VLBI observations of the gamma-ray narrow line Seyfert 1 PMN J0948+0022. Astron. Astrophys. 2011, 528, L11. [Google Scholar] [CrossRef]
- Doi, A.; Nakahara, S.; Nakamura, M.; Kino, M.; Kawakatu, N.; Nagai, H. Radio jet structures at 100 pc and larger scales of the γ-ray-emitting narrow-line Seyfert 1 galaxy PMN J0948+0022. Mon. Not. R. Astron. Soc. 2019, 487, 640. [Google Scholar]
- Caccianiga, A.; Anton, S.; Ballo, L.; Dallacasa, D.; Della Ceca, R.; Fanali, R.; Foschini, L.; Hamilton, T.; Kraus, A.; Maccacaro, T.; et al. SDSS J143244.91+301435.3: A link between radio-loud narrow-line Seyfert 1 galaxies and compact steep-spectrum radio sources? Mon. Not. R. Astron. Soc. 2014, 442, 171. [Google Scholar] [CrossRef]
- Tengstrand, O.; Guainazzi, M.; Siemiginowska, A.; Fonseca Bonilla, N.; Labiano, A.; Worrall, D.M.; Grandi, P.; Piconcelli, E. The X-ray view of giga-hertz peaked spectrum radio galaxies. Astron. Astrophys. 2009, 501, 89. [Google Scholar] [CrossRef][Green Version]
- Doi, A.; Hada, K.; Kino, M.; Wajima, K.; Nakahara, S. A Recollimation Shock in a Stationary Jet Feature with Limb-brightening in the Gamma-Ray-emitting Narrow-line Seyfert 1 Galaxy 1H 0323+342. Astrophys. J. Lett. 2018, 857, L6. [Google Scholar] [CrossRef]
- Lister, M.L.; Homan, D.C.; Hovatta, T.; Kellermann, K.I.; Kiehlmann, S.; Kovalev, Y.Y.; Max-Moerbeck, W.; Pushkarev, A.B.; Readhead, A.C.S.; Ros, E.; et al. MOJAVE. XVII. Jet Kinematics and Parent Population Properties of Relativistically Beamed Radio-loud Blazars. Astrophys. J. 2019, 874, 43. [Google Scholar] [CrossRef]
- Piner, B.G.; Edwards, P.G. The Parsec-Scale Structure and Jet Motions of the TeV Blazars 1ES 1959+650, PKS 2155-304, and 1ES 2344+514. Astrophys. J. 2004, 600, 115. [Google Scholar] [CrossRef]
- Piner, B.G.; Pant, N.; Edwards, P.G. The Jets of TeV Blazars at Higher Resolution: 43 GHz and Polarimetric VLBA Observations from 2005 to 2009. Astrophys. J. 2010, 723, 1150. [Google Scholar] [CrossRef]
- Piner, B.G.; Edwards, P.G. The Doppler crisis in TeV blazars and its possible resolutions. In Proceedings of the Fourteenth Marcel Grossmann Meeting On Recent Developments in Theoretical and Experimental General Relativity, Astrophysics, and Relativistic Field Theories, Rome, Italy, 12–18 July 2015; pp. 3074–3079. [Google Scholar]
- Hodge, M.A.; Lister, M.L.; Aller, M.F.; Aller, H.D.; Kovalev, Y.Y.; Pushkarev, A.B.; Savolainen, T. MOJAVE XVI: Multiepoch Linear Polarization Properties of Parsec-scale AGN Jet Cores. Astrophys. J. 2018, 862, 151. [Google Scholar] [CrossRef]
- Cheung, C.C.; Harris, D.E.; Stawarz, L. Superluminal Radio Features in the M87 Jet and the Site of Flaring TeV Gamma-Ray Emission. Astrophys. J. Lett. 2007, 663, L65. [Google Scholar] [CrossRef]
- Agudo, I.; Jorstad, S.G.; Marscher, A.P.; Larionov, V.M.; Gomez, J.L.; Lähteenmäki, A.; Gurwell, M.; Smith, P.S.; Wiesemeyer, H.; Thum, C.; et al. Location of γ-ray Flare Emission in the Jet of the BL Lacertae Object OJ 287 More than 14 pc from the Central Engine. Astrophys. J. 2011, 726, L13. [Google Scholar] [CrossRef]
- Marscher, A.P.; Jorstad, S.G.; Larionov, V.M.; Aller, M.F.; Aller, H.D.; Lähteenmäki, A.; Agudo, I.; Smith, P.S.; Gurwell, M.; Hagen-Thorn, V.A.; et al. Probing the Inner Jet of the Quasar PKS 1510-089 with Multi-Waveband Monitoring During Strong Gamma-Ray Activity. Astrophys. J. 2010, 710, L126. [Google Scholar] [CrossRef]
- Orienti, M.; Koyama, S.; D’Ammando, F.; Giroletti, M.; Kino, M.; Nagai, H.; Venturi, T.; Dallacasa, D.; Giovannini, G.; Angelakis, E.; et al. Radio and γ-ray follow-up of the exceptionally high-activity state of PKS 1510-089 in 2011. Mon. Not. R. Astron. Soc. 2013, 428, 2418. [Google Scholar] [CrossRef]
- Readhead, A.C.S. Equipartition brightness temperature and the inverse Compton catastrophe. Astrophys. J. 1994, 426, 51. [Google Scholar] [CrossRef]
- Angelakis, E.; Fuhrmann, L.; Marchili, N.; Foschini, L.; Myserlis, I.; Karamanavis, V.; Komossa, S.; Blinov, D.; Krichbaum, T.P.; Sievers, A.; et al. Radio jet emission from GeV-emitting narrow-line Seyfert 1 galaxies. Astron. Astrophys. 2015, 575, A55. [Google Scholar] [CrossRef]
- D’Ammando, F.; Antolini, E.; Tosti, G.; Finke, J.; Ciprini, S.; Larsson, S.; Ajello, M.; Covino, S.; Gasparrini, D.; Gurwell, M.; et al. Long-term monitoring of PKS 0537-441 with Fermi-LAT and multiwavelength observations. Mon. Not. R. Astron. Soc. 2013, 431, 2481. [Google Scholar] [CrossRef]
- Chatterjee, R.; Nalewajko, K.; Myers, A.D. Implications of the Anomalous Outburst in the Blazar PKS 0208-512. Mon. Not. R. Astron. Soc. 2013, 771, L25. [Google Scholar] [CrossRef]
- D’Ammando, F.; Raiteri, C.M.; Villata, M.; Romano, P.; Pucella, G.; Krimm, H.A.; Covino, S.; Orienti, M.; Giovannini, G.; Vercellone, S.; et al. AGILE detection of extreme γ-ray activity from the blazar PKS 1510-089 during March 2009. Multifrequency analysis. Astron. Astrophys. 2011, 529, 145. [Google Scholar] [CrossRef]
- Raiteri, C.M.; Villata, M.; Acosta-Pulido, J.A.; Agudo, I.; Arkharov, A.A.; Bachev, R.; Baida, G.V.; Benítez, E.; Borman, G.A.; Boschin, W.; et al. Blazar spectral variability as explained by a twisted inhomogeneous jet. Nature 2017, 552, 374. [Google Scholar] [CrossRef]
- Dutka, M.S.; Ojha, R.; Pottschmidt, K.; Finke, J.D.; Stevens, J.; Edwards, P.G.; Blanchard, J.; Lovell, J.E.J.; Nesci, R.; Kadler, M.; et al. Multi-wavelength Observations of PKS 2142-75 during Active and Quiescent Gamma-Ray States. Astrophys. J. 2013, 779, 174. [Google Scholar] [CrossRef]
- Buson, S.; Longo, F.; Larsson, S.; Cutini, S.; Finke, J.; Ciprini, S.; Ojha, R.; D’Ammando, F.; Donato, D.; Thompson, D.J.; et al. Unusual flaring activity in the blazar PKS 1424-418 during 2008–2011. Astron. Astrophys. 2014, 569, A40. [Google Scholar] [CrossRef]
- Finke, J. Compton Dominance and the Blazar Sequence. Astrophys. J. 2013, 763, 134. [Google Scholar] [CrossRef]
- Foschini, L.; Berton, M.; Caccianiga, A.; Ciroi, S.; Cracco, V.; Peterson, B.M.; Angelakis, E.; Braito, V.; Fuhrmann, L.; Gallo, L.; et al. Properties of flat-spectrum radio-loud narrow-line Seyfert 1 galaxies. Astron. Astrophys. 2015, 575, A13. [Google Scholar] [CrossRef]
- Chiaberge, M.; Marconi, A. On the origin of radio loudness in active galactic nuclei and its relationship with the properties of the central supermassive black hole. Mon. Not. R. Astron. Soc. 2011, 416, 917. [Google Scholar] [CrossRef]
- Ghisellini, G.; Tavecchio, F.; Maraschi, L.; Celotti, A.; Sbarrato, T. The power of relativistic jets is larger than the luminosity of their accretion disks. Nature 2014, 515, 376. [Google Scholar] [CrossRef] [PubMed]
- Chiaberge, M.; Gilli, R.; Lotz, J.M.; Norman, C. Radio Loud AGNs are Mergers. Astrophys. J. 2015, 806, 147. [Google Scholar] [CrossRef]
- Ramos Almeida, C.; Tadhunter, C.N.; Inskip, K.J.; Morganti, R.; Holt, J.; Dicken, D. The optical morphologies of the 2 Jy sample of radio galaxies: Evidence for galaxy interactions. Mon. Not. R. Astron. Soc. 2011, 410, 155. [Google Scholar] [CrossRef]
- Bentz, M.C.; Katz, S. The AGN Black Hole Mass Database. Publ. Astron. Soc. Pac. 2015, 127, 67. [Google Scholar] [CrossRef]
- Calderone, G.; Ghisellini, G.; Colpi, M.; Dotti, M. Black hole mass estimate for a sample of radio-loud narrow-line Seyfert 1 galaxies. Mon. Not. R. Astron. Soc. 2013, 431, 210. [Google Scholar] [CrossRef]
- Calderone, G.; D’Ammando, F.; Sbarrato, T. The Mass of RL-NLS1 Black Holes: Reconciling Accretion Disk and Virial Estimates. In Proceedings of the Science 2018, “Revisiting Narrow-Line Seyfert 1 Galaxies and Their Place in the Universe” Conference, Padova, Italy, 9–13 April 2018. [Google Scholar]
- D’Ammando, F.; Acosta-Pulido, J.A.; Capetti, A.; Baldi, R.D.; Orienti, M.; Raiteri, C.M.; Ramos Almeida, C. The host galaxy of the γ-ray-emitting narrow-line Seyfert 1 galaxy PKS 1502+036. Mon. Not. R. Astron. Soc. 2018, 478, L66. [Google Scholar] [CrossRef]
- Kaspi, S.; Maoz, D.; Netzer, H.; Peterson, B.M.; Vestergaard, M.; Jannuzi, B.T. The Relationship between Luminosity and Broad-Line Region Size in Active Galactic Nuclei. Astrophys. J. 2005, 629, 61. [Google Scholar] [CrossRef]
- Leon Tavares, J.; Kotilainen, J.; Chavushyan, V.; Anorve, C.; Puerari, I.; Cruz-González, I.; Patino-Alvarez, V.; Antón, S.; Carraminana, A.; Carrasco, L.; et al. The Host Galaxy of the Gamma-Ray Narrow-line Seyfert 1 Galaxy 1H 0323+342. Astrophys. J. 2014, 795, 58. [Google Scholar] [CrossRef]
- Atkinson, J.W.; Collett, J.L.; Marconi, A.; Axon, D.J.; Alonso-Herrero, A.; Batcheldor, D.; Binney, J.J.; Capetti, A.; Carollo, C.M.; Dressel, L.; et al. Supermassive black hole mass measurements for NGC 1300 and 2748 based on Hubble Space Telescope emission-line gas kinematics. Mon. Not. R. Astron. Soc. 2005, 359, 504. [Google Scholar] [CrossRef]
- Pastorini, G.; Marconi, A.; Capetti, A.; Axon, D.J.; Alonso-Herrero, A.; Atkinson, J.; Batcheldor, D.; Carollo, C.M.; Collett, J.; Dressel, L.; et al. Supermassive black holes in the Sbc spiral galaxies NGC 3310, NGC 4303 and NGC 4258. Astron. Astrophys. 2007, 469, 405. [Google Scholar] [CrossRef]
- Crenshaw, D.M.; Kraemer, S.B.; Gabel, J.R. The Host Galaxies of Narrow-Line Seyfert 1 Galaxies: Evidence for Bar-Driven Fueling. Astron. J. 2003, 126, 1690. [Google Scholar] [CrossRef]
- Zhou, H.; Wang, T.; Yuan, W.; Shan, H.; Komossa, S.; Lu, H.; Liu, Y.; Xu, D.; Bai, J.M.; Jiang, D.R. A Narrow-Line Seyfert 1-Blazar Composite Nucleus in 2MASX J0324+3410. Astrophys. J. 2007, 658, L13. [Google Scholar] [CrossRef]
- Kotilainen, J.K.; León-Tavares, J.; Olguín-Iglesias, A.; Baes, M.; Anórve, C.; Chavushyan, V.; Carrasco, L. Discovery of a Pseudobulge Galaxy Launching Powerful Relativistic Jets. Astrophys. J. 2016, 832, 157. [Google Scholar] [CrossRef]
- Olguin-Iglesias, A.; Kotilainen, J.K.; Leon Tavares, J.; Chavushyan, V.; Anorve, C. Evidence of bar-driven secular evolution in the gamma-ray narrow-line Seyfert 1 galaxy FBQS J164442.5+261913. Mon. Not. R. Astron. Soc. 2017, 467, 3712. [Google Scholar] [CrossRef]
- Marconi, A.; Hunt, L. The Relation between Black Hole Mass, Bulge Mass, and Near-Infrared Luminosity. Astrophys. J. 2003, 589, L21. [Google Scholar] [CrossRef]
- Einasto, M.; Lietzen, H.; Tempel, E.; Gramann, M.; Liivamägi, L.J.; Einasto, J. SDSS superclusters: Morphology and galaxy content. Astron. Astrophys. 2014, 562, A87. [Google Scholar] [CrossRef]
- Kuutma, T.; Tamm, A.; Tempel, E. From voids to filaments: Environmental transformations of galaxies in the SDSS. Astron. Astrophys. 2017, 600, L6. [Google Scholar] [CrossRef]
- Järvela, E.; Lähteenmäki, A.; Lietzen, H.; Poudel, A.; Heinämäki, P.; Einasto, M. Large-scale environments of narrow-line Seyfert 1 galaxies. Astron. Astrophys. 2017, 606, A9. [Google Scholar] [CrossRef]
- Järvela, E.; Lähteenmäki, A.; Berton, M. Near-infrared morphologies of the host galaxies of narrow-line Seyfert 1 galaxies. Astron. Astrophys. 2018, 619, A69. [Google Scholar] [CrossRef]
- Wang, F.; Du, P.; Hu, C.; Bai, J.-M.; Wang, C.-J.; Yi, W.-M.; Wang, J.-G.; Zhang, J.-J.; Xin, Y.-X.; Lun, B.-L.; et al. Reverberation Mapping of the Gamma-Ray Loud Narrow-line Seyfert 1 Galaxy 1H 0323+342. Astrophys. J. 2016, 824, 149. [Google Scholar] [CrossRef]
- Czerny, B.; Wang, J.-M.; Du, P.; Hryniewicz, K.; Karas, V.; Li, Y.-R.; Panda, S.; Sniegowska, M.; Wildy, C.; Yuan, Y.-F. Interpretation of Departure from the Broad-line Region Scaling in Active Galactic Nuclei. Astrophys. J. 2018, 870, 84. [Google Scholar] [CrossRef]
- Yu, L.-M.; Bian, W.-H.; Wang, C.; Zhao, B.-X.; Ge, X. Calibration of the virial factor f in supermassive black hole masses of reverberation-mapped AGNs. Mon. Not. R. Astron. Soc. 2019, 488, 1519. [Google Scholar] [CrossRef]
- Capetti, A.; Balmaverde, B. The host galaxy/AGN connection in nearby early-type galaxies. A new view of the origin of the radio-quiet/radio-loud dichotomy? Astron. Astrophys. 2006, 453, 27. [Google Scholar] [CrossRef]
- Morganti, R.; Holt, J.; Tadhunter, C.; Ramos Almeida, C.; Dicken, D.; Inskip, K.; Oosterloo, T.; Tzioumis, T. PKS 1814-637: A powerful radio-loud AGN in a disk galaxy. Astron. Astrophys. 2011, 535, A97. [Google Scholar] [CrossRef]
- Singh, V.; Ishwara-Chandra, C.H.; Sievers, J.; Wadadekar, Y.; Hilton, M.; Beelen, A. Discovery of rare double-lobe radio galaxies hosted in spiral galaxies. Mon. Not. R. Astron. Soc. 2015, 454, 1556. [Google Scholar] [CrossRef]
- Abdollahi, S.; Ackermann, M.; Ajello, M.; Albert, A.; Baldini, L.; Ballet, J.; Barbiellini, G.; Bastieri, D.; Becerra Gonzalez, J.; Bellazzini, R.; et al. The Second Catalog of Flaring Gamma-Ray Sources from the Fermi All-sky Variability Analysis. Astrophys. J. 2017, 846, 34. [Google Scholar] [CrossRef]
- Kollmeier, J.A.; Zasowski, G.; Rix, H.-W.; Johns, M.; Anderson, S.F.; Drory, N.; Johnson, J.A.; Pogge, R.W.; Bird, J.C.; Blanc, G.A.; et al. SDSS-V: Pioneering Panoptic Spectroscopy. arXiv 2017, arXiv:1711.03234. [Google Scholar]
- Hopkins, P.F.; Hernquist, L.; Cox, T.J.; Di Matteo, T.; Martini, P.; Robertson, B.; Springel, V. Black Holes in Galaxy Mergers: Evolution of Quasars. Astrophys. J. 2005, 630, 705. [Google Scholar] [CrossRef]
| 1 | Based on the new classification proposed by [5], these sources can be defined as “jetted AGN”. |
| 2 | |
| 3 | = 2 log(Likelihood(log-parabola)/Likelihood(power-law)), i.e., a comparison of the likelihood function changing only the spectral representation of the source. |
| 4 | In the same way, 3C 286 is classified as a Compact Steep Spectrum source in the 4FGL, while it is tentatively re-classified as a NLSy1 in [73,74]. The FWHM(H) value reported in [74] exceeds the historical threshold of 2000 km s, therefore 3C 286 could be considered as a candidate NLSy1. It is worth nothing also that the inclination angle between the jet and our line of sight is 48 degrees [75], significantly different from the relatively small angles estimated for the -ray-emitting NLSy1. |
| 5 | In case of 1H 0323+342 a more complex X-ray spectrum was observed (e.g., [98]). |
| 6 | |
| 7 | Optical intraday variability in this source has been reported also in [64]. However, the contamination of the host galaxy has not be considered in the aperture photometry analysis used for producing the light curve of the source, making the results doubtful. |
| 8 | |
| 9 | Compton dominance is the ratio of the peak Compton luminosity to peak synchrotron luminosity. |
| 10 | Private communication by E. Järvelä. |












| Source Name | Redshift z | Energy Flux (E > 0.1 GeV) erg cm s | L erg s | |||
|---|---|---|---|---|---|---|
| 1H 0323+342 | 0.061 | 2.1 × 10 | ||||
| SBS 0846+513 | 0.584 | 3.2 × 10 | ||||
| PMN J0948+0022 | 0.585 | 7.5 × 10 | ||||
| IERS B1303+515 | 0.787 | – | – | 6.9 × 10 | ||
| B3 1441+476 | 0.705 | 4.7 × 10 | ||||
| PKS 1502+036 | 0.408 | 1.0 × 10 | ||||
| FBQS J1644+2619 | 0.145 | – | – | 2.7 × 10 | ||
| PKS 2004−447 | 0.240 | 1.7 × 10 | ||||
| TXS 2116−077 | 0.260 | – | – | 7.2 × 10 |
© 2019 by the author. Licensee MDPI, Basel, Switzerland. This article is an open access article distributed under the terms and conditions of the Creative Commons Attribution (CC BY) license (http://creativecommons.org/licenses/by/4.0/).
Share and Cite
D’Ammando, F. Relativistic Jets in Gamma-Ray-Emitting Narrow-Line Seyfert 1 Galaxies. Galaxies 2019, 7, 87. https://doi.org/10.3390/galaxies7040087
D’Ammando F. Relativistic Jets in Gamma-Ray-Emitting Narrow-Line Seyfert 1 Galaxies. Galaxies. 2019; 7(4):87. https://doi.org/10.3390/galaxies7040087
Chicago/Turabian StyleD’Ammando, Filippo. 2019. "Relativistic Jets in Gamma-Ray-Emitting Narrow-Line Seyfert 1 Galaxies" Galaxies 7, no. 4: 87. https://doi.org/10.3390/galaxies7040087
APA StyleD’Ammando, F. (2019). Relativistic Jets in Gamma-Ray-Emitting Narrow-Line Seyfert 1 Galaxies. Galaxies, 7(4), 87. https://doi.org/10.3390/galaxies7040087
