The Effect of Surgical Aortic Valve Replacement on Arterial Stiffness: Does the Valve Type Matter?
Abstract
1. Introduction
2. Materials and Methods
2.1. Study Population
2.2. Study Design
2.3. Assessment of the Arterial Elastic Properties, Peripheral and Central Blood Pressures, and Wave Reflection Indices
2.4. Laboratory Tests
2.5. Statistical Analysis
3. Results
3.1. Vascular Biomarkers and Subject Periprocedural Characteristics
3.2. Effects of SAVR on Arterial Stiffness across the Entire Patient Cohort
3.2.1. cfPWV
3.2.2. baPWV
3.2.3. Wave Reflections
3.3. QOL in Correlation with Arterial Stiffness
3.4. Effects of SAVR on Arterial Stiffness According to Prosthesis Valve Type
4. Discussion
4.1. Exploring the Pathophysiological Interplay in the SAVR Patient Cohort
4.1.1. Post-Operative Period
4.1.2. Arterial Stiffness in the Long Term
4.2. Prosthesis Valve Type: Does It Impact Arterial Stiffness?
4.3. Wave Reflections
4.4. QOL
5. Clinical Implications
5.1. Capturing the True Hemodynamic Load of the LV
5.2. Prognostic Role
6. Limitations
7. Conclusions
Supplementary Materials
Author Contributions
Funding
Institutional Review Board Statement
Informed Consent Statement
Data Availability Statement
Conflicts of Interest
References
- Lindroos, M.; Kupari, M.; Heikkilä, J.; Tilvis, R. Prevalence of aortic valve abnormalities in the elderly: An echocardiographic study of a random population sample. J. Am. Coll. Cardiol. 1993, 21, 1220–1225. [Google Scholar] [CrossRef] [PubMed]
- Aluru, J.S.; Barsouk, A.; Saginala, K.; Rawla, P. Valvular Heart Disease Epidemiology. Med. Sci. 2022, 10, 32. [Google Scholar] [CrossRef] [PubMed]
- Wienemann, H.; Hof, A.; Ludwig, S.; Veulemans, V.; Sedaghat, A.; Iliadis, C.; Meertens, M.; Macherey, S.; Hohmann, C.; Kuhn, E.; et al. Transcatheter aortic valve implantation with different self-expanding devices-a propensity score-matched multicenter comparison. Hellenic J. Cardiol. 2023, 70, 1–9. [Google Scholar] [CrossRef]
- Lindman, B.R.; Clavel, M.A.; Mathieu, P.; Iung, B.; Lancellotti, P.; Otto, C.M.; Pibarot, P. Calcific aortic stenosis. Nat. Rev. Dis. Primers 2016, 2, 16006. [Google Scholar] [CrossRef] [PubMed]
- Loizzi, F.; Burattini, O.; Cafaro, A.; Spione, F.; Salemme, L.; Cioppa, A.; Fimiani, L.; Rimmaudo, F.; Pignatelli, A.; Palmitessa, C.; et al. Early acute kidney injury after transcatheter aortic valve implantation: Predictive value of currently available risk scores. Hellenic J. Cardiol. 2023, 70, 19–27. [Google Scholar] [CrossRef] [PubMed]
- Halapas, A.; Kapelouzou, A.; Chrissoheris, M.; Pattakos, G.; Cokkinos, D.V.; Spargias, K. The effect of Remote Ischemic Preconditioning (RIPC) on myocardial injury and inflammation in patients with severe aortic valve stenosis undergoing Transcatheter Aortic Valve Replacement (TAVΙ). Hellenic J. Cardiol. 2021, 62, 423–428. [Google Scholar] [CrossRef] [PubMed]
- Sigala, E.; Kelesi, M.; Terentes-Printzios, D.; Vasilopoulos, G.; Kapadohos, T.; Papageorgiou, D.; Tzatzou, A.; Vlachopoulos, C.; Stavropoulou, A. Surgical Aortic Valve Replacement in Patients Aged 50 to 70 Years: Mechanical or Bioprosthetic Valve? A Systematic Review. Healthcare 2023, 11, 1771. [Google Scholar] [CrossRef] [PubMed]
- Dahiya, G.; Kyvernitakis, A.; Joshi, A.A.; Lasorda, D.M.; Bailey, S.H.; Raina, A.; Biederman, R.W.W.; Kanwar, M.K. Impact of transcatheter aortic valve replacement on left ventricular hypertrophy, diastolic dysfunction and quality of life in patients with preserved left ventricular function. Int. J. Cardiovasc. Imaging 2021, 37, 485–492. [Google Scholar] [CrossRef] [PubMed]
- Vahanian, A.; Beyersdorf, F.; Praz, F.; Milojevic, M.; Baldus, S.; Bauersachs, J.; Capodanno, D.; Conradi, L.; De Bonis, M.; De Paulis, R.; et al. 2021 ESC/EACTS Guidelines for the management of valvular heart disease. Eur. J. Cardiothorac. Surg. 2021, 60, 727–800. [Google Scholar] [CrossRef]
- Chirinos, J.A.; Segers, P.; Hughes, T.; Townsend, R. Large-Artery Stiffness in Health and Disease: JACC State-of-the-Art Review. J. Am. Coll. Cardiol. 2019, 74, 1237–1263. [Google Scholar] [CrossRef]
- Mancia Chairperson, G.; Kreutz Co-Chair, R.; Brunström, M.; Burnier, M.; Grassi, G.; Januszewicz, A.; Muiesan, M.L.; Tsioufis, K.; Agabiti-Rosei, E.; Algharably, E.A.E.; et al. 2023 ESH Guidelines for the management of arterial hypertension The Task Force for the management of arterial hypertension of the European Society of Hypertension Endorsed by the European Renal Association (ERA) and the International Society of Hypertension (ISH). J. Hypertens. 2023, 41, 1874–2071. [Google Scholar] [CrossRef] [PubMed]
- Rey-García, J.; Townsend, R.R. Large Artery Stiffness: A Companion to the 2015 AHA Science Statement on Arterial Stiffness. Pulse 2021, 9, 1–10. [Google Scholar] [CrossRef] [PubMed]
- Williams, B.; Mancia, G.; Spiering, W.; Agabiti Rosei, E.; Azizi, M.; Burnier, M.; Clement, D.L.; Coca, A.; de Simone, G.; Dominiczak, A.; et al. 2018 ESC/ESH Guidelines for the management of arterial hypertension: The Task Force for the management of arterial hypertension of the European Society of Cardiology and the European Society of Hypertension: The Task Force for the management of arterial hypertension of the European Society of Cardiology and the European Society of Hypertension. J. Hypertens. 2018, 36, 1953–2041. [Google Scholar] [CrossRef]
- Saeed, S.; Saeed, N.; Grigoryan, K.; Chowienczyk, P.; Chambers, J.B.; Rajani, R. Determinants and clinical significance of aortic stiffness in patients with moderate or severe aortic stenosis. Int. J. Cardiol. 2020, 315, 99–104. [Google Scholar] [CrossRef]
- Lancellotti, P.; Magne, J. Valvuloarterial impedance in aortic stenosis: Look at the load, but do not forget the flow. Eur. J. Echocardiogr. 2011, 12, 354–357. [Google Scholar] [CrossRef] [PubMed]
- Albu, A.; Para, I.; Bidian, C. Arterial stiffness in aortic stenosis—Complex clinical and prognostic implications. Biomed. Pap. Med. Fac. Univ. Palacky Olomouc. Czech. Repub. 2022, 166, 369–379. [Google Scholar] [CrossRef] [PubMed]
- Cantürk, E.; Çakal, B.; Karaca, O.; Omaygenç, O.; Salihi, S.; Özyüksel, A.; Akçevin, A. Changes in Aortic Pulse Wave Velocity and the Predictors of Improvement in Arterial Stiffness Following Aortic Valve Replacement. Ann. Thorac. Cardiovasc. Surg. 2017, 23, 248–255. [Google Scholar] [CrossRef] [PubMed]
- Hulshof, H.G.; van Oorschot, F.; van Dijk, A.P.; Hopman, M.T.E.; George, K.P.; Oxborough, D.L.; Thijssen, D.H.J. Changes in dynamic left ventricular function, assessed by the strain-volume loop, relate to reverse remodeling after aortic valve replacement. J. Appl. Physiol. (1985) 2019, 127, 415–422. [Google Scholar] [CrossRef]
- Abecasis, J.; Gomes Pinto, D.; Ramos, S.; Masci, P.G.; Cardim, N.; Gil, V.; Félix, A. Left Ventricular Remodeling in Degenerative Aortic Valve Stenosis. Curr. Probl. Cardiol. 2021, 46, 100801. [Google Scholar] [CrossRef]
- Quinaglia, T.; Bensalah, M.Z.; Bollache, E.; Kachenoura, N.; Soulat, G.; Boutouyrie, P.; Laurent, S.; Mousseaux, E. Differential impact of local and regional aortic stiffness on left ventricular remodeling: A cardiovascular magnetic resonance study. J. Hypertens. 2018, 36, 552–559. [Google Scholar] [CrossRef]
- Ohkuma, T.; Ninomiya, T.; Tomiyama, H.; Kario, K.; Hoshide, S.; Kita, Y.; Inoguchi, T.; Maeda, Y.; Kohara, K.; Tabara, Y.; et al. Brachial-Ankle Pulse Wave Velocity and the Risk Prediction of Cardiovascular Disease: An Individual Participant Data Meta-Analysis. Hypertension 2017, 69, 1045–1052. [Google Scholar] [CrossRef]
- Williams, B.; Lacy, P.S.; Thom, S.M.; Cruickshank, K.; Stanton, A.; Collier, D.; Hughes, A.D.; Thurston, H.; O’Rourke, M.; Investigators, C.; et al. Differential impact of blood pressure-lowering drugs on central aortic pressure and clinical outcomes: Principal results of the Conduit Artery Function Evaluation (CAFE) study. Circulation 2006, 113, 1213–1225. [Google Scholar] [CrossRef]
- Vlachopoulos, C.; Aznaouridis, K.; O’Rourke, M.F.; Safar, M.E.; Baou, K.; Stefanadis, C. Prediction of cardiovascular events and all-cause mortality with central haemodynamics: A systematic review and meta-analysis. Eur. Heart J. 2010, 31, 1865–1871. [Google Scholar] [CrossRef]
- Ben-Shlomo, Y.; Spears, M.; Boustred, C.; May, M.; Anderson, S.G.; Benjamin, E.J.; Boutouyrie, P.; Cameron, J.; Chen, C.H.; Cruickshank, J.K.; et al. Aortic pulse wave velocity improves cardiovascular event prediction: An individual participant meta-analysis of prospective observational data from 17,635 subjects. J. Am. Coll. Cardiol. 2014, 63, 636–646. [Google Scholar] [CrossRef]
- Goodyear, M.D.; Krleza-Jeric, K.; Lemmens, T. The Declaration of Helsinki. BMJ 2007, 335, 624–625. [Google Scholar] [CrossRef]
- Stocco, F.; Fabozzo, A.; Bagozzi, L.; Cavalli, C.; Tarzia, V.; D’Onofrio, A.; Lorenzoni, G.; Chiminazzo, V.; Gregori, D.; Gerosa, G. Biological versus mechanical aortic valve replacement in non-elderly patients: A single-centre analysis of clinical outcomes and quality of life. Interact. Cardiovasc. Thorac. Surg. 2021, 32, 515–521. [Google Scholar] [CrossRef]
- Kidher, E.; Harling, L.; Nihoyannopoulos, P.; Shenker, N.; Ashrafian, H.; Francis, D.P.; Mayet, J.; Athanasiou, T. High aortic pulse wave velocity is associated with poor quality of life in surgical aortic valve stenosis patients. Interact. Cardiovasc. Thorac. Surg. 2014, 19, 189–197. [Google Scholar] [CrossRef]
- Deutsch, M.A.; Bleiziffer, S.; Elhmidi, Y.; Piazza, N.; Voss, B.; Lange, R.; Krane, M. Beyond adding years to life: Health-related quality-of-life and functional outcomes in patients with severe aortic valve stenosis at high surgical risk undergoing transcatheter aortic valve replacement. Curr. Cardiol. Rev. 2013, 9, 281–294. [Google Scholar] [CrossRef][Green Version]
- Henttunen, R.; Kohonen, M.; Laurikka, J. Improved health-related quality of life in patients 6 and 12 months after surgical aortic valve replacement. Scand. Cardiovasc. J. 2022, 56, 121–126. [Google Scholar] [CrossRef]
- Van Bortel, L.M.; Laurent, S.; Boutouyrie, P.; Chowienczyk, P.; Cruickshank, J.K.; De Backer, T.; Filipovsky, J.; Huybrechts, S.; Mattace-Raso, F.U.; Protogerou, A.D.; et al. Expert consensus document on the measurement of aortic stiffness in daily practice using carotid-femoral pulse wave velocity. J. Hypertens. 2012, 30, 445–448. [Google Scholar] [CrossRef]
- Vlachopoulos, C.; Xaplanteris, P.; Aboyans, V.; Brodmann, M.; Cífková, R.; Cosentino, F.; De Carlo, M.; Gallino, A.; Landmesser, U.; Laurent, S.; et al. The role of vascular biomarkers for primary and secondary prevention. A position paper from the European Society of Cardiology Working Group on peripheral circulation: Endorsed by the Association for Research into Arterial Structure and Physiology (ARTERY) Society. Atherosclerosis 2015, 241, 507–532. [Google Scholar] [CrossRef] [PubMed]
- Terentes-Printzios, D.; Gardikioti, V.; Aznaouridis, K.; Latsios, G.; Drakopoulou, M.; Siasos, G.; Oikonomou, E.; Tsigkou, V.; Xanthopoulou, M.; Vavuranakis, Μ.; et al. The impact of transcatheter aortic valve implantation on arterial stiffness and wave reflections. Int. J. Cardiol. 2021, 323, 213–219. [Google Scholar] [CrossRef] [PubMed]
- Vlachopoulos, C.; Aznaouridis, K.; Stefanadis, C. Prediction of cardiovascular events and all-cause mortality with arterial stiffness: A systematic review and meta-analysis. J. Am. Coll. Cardiol. 2010, 55, 1318–1327. [Google Scholar] [CrossRef]
- Zhong, Q.; Hu, M.J.; Cui, Y.J.; Liang, L.; Zhou, M.M.; Yang, Y.W.; Huang, F. Carotid-Femoral Pulse Wave Velocity in the Prediction of Cardiovascular Events and Mortality: An Updated Systematic Review and Meta-Analysis. Angiology 2018, 69, 617–629. [Google Scholar] [CrossRef]
- Sequí-Domínguez, I.; Cavero-Redondo, I.; Álvarez-Bueno, C.; Pozuelo-Carrascosa, D.P.; Nuñez de Arenas-Arroyo, S.; Martínez-Vizcaíno, V. Accuracy of Pulse Wave Velocity Predicting Cardiovascular and All-Cause Mortality. A Systematic Review and Meta-Analysis. J. Clin. Med. 2020, 9, 2080. [Google Scholar] [CrossRef] [PubMed]
- Gardikioti, V.; Terentes-Printzios, D.; Iliopoulos, D.; Aznaouridis, K.; Sigala, E.; Tsioufis, K.; Vlachopoulos, C. Arterial biomarkers in the evaluation, management and prognosis of aortic stenosis. Atherosclerosis 2021, 332, 1–15. [Google Scholar] [CrossRef]
- Musa, T.A.; Uddin, A.; Fairbairn, T.A.; Dobson, L.E.; Sourbron, S.P.; Steadman, C.D.; Motwani, M.; Kidambi, A.; Ripley, D.P.; Swoboda, P.P.; et al. Assessment of aortic stiffness by cardiovascular magnetic resonance following the treatment of severe aortic stenosis by TAVI and surgical AVR. J. Cardiovasc. Magn. Reson. 2016, 18, 37. [Google Scholar] [CrossRef] [PubMed]
- Plunde, O.; Bäck, M. Arterial Stiffness in Aortic Stenosis and the Impact of Aortic Valve Replacement. Vasc. Health Risk Manag. 2022, 18, 117–122. [Google Scholar] [CrossRef]
- Stefanadis, C.; Vlachopoulos, C.; Karayannacos, P.; Boudoulas, H.; Stratos, C.; Filippides, T.; Agapitos, M.; Toutouzas, P. Effect of vasa vasorum flow on structure and function of the aorta in experimental animals. Circulation 1995, 91, 2669–2678. [Google Scholar] [CrossRef]
- Chirinos, J.A.; Akers, S.R.; Schelbert, E.; Snyder, B.S.; Witschey, W.R.; Jacob, R.M.; Jamis-Dow, C.; Ansari, B.; Lee, J.; Segers, P.; et al. Arterial Properties as Determinants of Left Ventricular Mass and Fibrosis in Severe Aortic Stenosis: Findings From ACRIN PA 4008. J. Am. Heart Assoc. 2019, 8, e03742. [Google Scholar] [CrossRef]
- Yotti, R.; Bermejo, J.; Gutiérrez-Ibañes, E.; Pérez del Villar, C.; Mombiela, T.; Elízaga, J.; Benito, Y.; González-Mansilla, A.; Barrio, A.; Rodríguez-Pérez, D.; et al. Systemic vascular load in calcific degenerative aortic valve stenosis: Insight from percutaneous valve replacement. J. Am. Coll. Cardiol. 2015, 65, 423–433. [Google Scholar] [CrossRef]
- Broyd, C.J.; Patel, K.; Pugliese, F.; Chehab, O.; Mathur, A.; Baumbach, A.; Ozkor, M.; Kennon, S.; Mullen, M. Pulse wave velocity can be accurately measured during transcatheter aortic valve implantation and used for post-procedure risk stratification. J. Hypertens. 2019, 37, 1845–1852. [Google Scholar] [CrossRef] [PubMed]
- Goudzwaard, J.A.; Disegna, E.; de Ronde-Tillmans, M.J.; Lenzen, M.J.; de Jaegere, P.P.; Mattace-Raso, F.U. Short-term changes of blood pressure and aortic stiffness in older patients after transcatheter aortic valve implantation. Clin. Interv. Aging 2019, 14, 1379–1386. [Google Scholar] [CrossRef] [PubMed]
- Di Eusanio, M.; Phan, K. Sutureless aortic valve replacement. Ann. Cardiothorac. Surg. 2015, 4, 123–130. [Google Scholar] [CrossRef] [PubMed]
- Meco, M.; Montisci, A.; Miceli, A.; Panisi, P.; Donatelli, F.; Cirri, S.; Ferrarini, M.; Lio, A.; Glauber, M. Sutureless Perceval Aortic Valve Versus Conventional Stented Bioprostheses: Meta-Analysis of Postoperative and Midterm Results in Isolated Aortic Valve Replacement. J. Am. Heart Assoc. 2018, 7, e006091. [Google Scholar] [CrossRef] [PubMed]
- Chauvette, V.; Mazine, A.; Bouchard, D. Ten-year experience with the Perceval S sutureless prosthesis: Lessons learned and future perspectives. J. Vis. Surg. 2018, 4, 87. [Google Scholar] [CrossRef] [PubMed]
- Nuis, R.J.; Goudzwaard, J.A.; de Ronde-Tillmans, M.J.A.G.; Kroon, H.; Ooms, J.F.; van Wiechen, M.P.; Geleijnse, M.L.; Zijlstra, F.; Daemen, J.; Van Mieghem, N.M.; et al. Impact of Valvulo-Arterial Impedance on Long-Term Quality of Life and Exercise Performance after Transcatheter Aortic Valve Replacement. Circ. Cardiovasc. Interv. 2020, 13, e008372. [Google Scholar] [CrossRef] [PubMed]
- Hachicha, Z.; Dumesnil, J.G.; Pibarot, P. Usefulness of the valvuloarterial impedance to predict adverse outcome in asymptomatic aortic stenosis. J. Am. Coll. Cardiol. 2009, 54, 1003–1011. [Google Scholar] [CrossRef] [PubMed]
- Kidher, E.; Harling, L.; Ashrafian, H.; Naase, H.; Francis, D.P.; Evans, P.; Athanasiou, T. Aortic stiffness as a marker of cardiac function and myocardial strain in patients undergoing aortic valve replacement. J. Cardiothorac. Surg. 2014, 9, 102. [Google Scholar] [CrossRef][Green Version]
- Kidher, E.; Harling, L.; Sugden, C.; Ashrafian, H.; Casula, R.; Evans, P.; Nihoyannopoulos, P.; Athanasiou, T. Aortic stiffness is an indicator of cognitive dysfunction before and after aortic valve replacement for aortic stenosis. Interact. Cardiovasc. Thorac. Surg. 2014, 19, 595–604. [Google Scholar] [CrossRef]
- Rex, C.E.; Heiberg, J.; Klaaborg, K.E.; Hjortdal, V.E. Health-related quality-of-life after transapical transcatheter aortic valve implantation. Scand. Cardiovasc. J. 2016, 50, 377–382. [Google Scholar] [CrossRef]
- Saimanen, I.; Kuosmanen, V.; Rahkola, D.; Selander, T.; Kärkkäinen, J.; Harju, J.; Aspinen, S.; Eskelinen, M. RAND-36-Item Health Survey: A Comprehensive Test for Long-term Outcome and Health Status Following Surgery. Anticancer Res. 2019, 39, 2927–2933. [Google Scholar] [CrossRef]
- Banovic, M.; Putnik, S.; Penicka, M.; Doros, G.; Deja, M.A.; Kockova, R.; Kotrc, M.; Glaveckaite, S.; Gasparovic, H.; Pavlovic, N.; et al. Aortic Valve Replacement Versus Conservative Treatment in Asymptomatic Severe Aortic Stenosis: The AVATAR Trial. Circulation 2022, 145, 648–658. [Google Scholar] [CrossRef]



| Total Population (N = 60) | |
|---|---|
| Age (years) | 70.25 ± 8.76 | 
| Sex (M/F) | 39 (65)/21 (35) | 
| Height (cm)/Weight (cm) | 165/82 | 
| BMI (kg/m2) | 29.13 ± 4.83 | 
| BSA (m2) | 1.929 ± 0.31 | 
| eGFR (mL/min/1.73 m2) | 71.65 ± 21.78 | 
| Waist (cm)/Hip (cm) | 106.38 ± 12.22/106.58 ± 11.12 | 
| Logistic Euroscore II (%) | 2.46 ± 2.28 | 
| Cardiovascular risk factors | |
| Hypertension, n (%) | 44 (73) | 
| Dyslipidemia, n (%) | 36 (60) | 
| Diabetes, n (%) | 19 (32) | 
| CAD diagnosis, n (%) | 19 (32) | 
| Current smokers, n (%) | 21 (30) | 
| Atrial Fibrillation, n (%) | 9 (15) | 
| Pre-existing conduction abnormality, n (%) | 7 (12) | 
| COPD, n (%) | 8 (13) | 
| PCI, n (%) | 2 (3) | 
| CKD stages I–III, n (%) | 3 (5) | 
| PAD, n (%) | 1 (2) | 
| Over three comorbidities | 37 (62) | 
| NYHA II-III-IV, n (%) | 40 (66)-18 (30)-2 (4) | 
| Procedural Characteristics | |
| Mechanical valve, n (%) | 26 (43) | 
| Biological valve, n (%) | 21 (35) | 
| Perceval valve, n (%) | 13 (22) | 
| Cabg, n (%) | 19 (32) | 
| Number of vessels, 1/2/3, n (%) | 13 (22)/5 (8)/1 (2) | 
| Valve size (mm) mechanical, n (%) | 18:1 20:1 21:7 22:1 23:12 25:4 | 
| Valve size (mm) bio prosthetic, n (%) | 19:1 21:9 23:9 25:2 | 
| Valve size Perceval, n (%) | Small: 2 Medium: 2 Large: 3 X-Large: 6 | 
| Aortic cross clamping time (min) | 73.70 ± 27.25 | 
| CBP time (min) | 93.10 ± 28.50 | 
| Pharmacological treatment (N = 60) | |
| ACE inhibitors/ARBs/Aldosterol Antagonist, n (%) | 40 (58) | 
| CCBs, n (%) | 15 (22) | 
| BBs, n (%) | 49 (71) | 
| Statins, n (%) | 40 (58) | 
| Ezetimibe, n (%) | 3 (4) | 
| Loop diuretics, n (%) | 34 (49) | 
| Thiazide diuretics, n (%) | 6 (9) | 
| Potassium-sparing diuretics, n (%) | 4 (6) | 
| Antiplatelets, n (%) | 29 (42) | 
| Acenocoumarol, n (%) | 29 (42) | 
| OAC, n (%) | 8 (12) | 
| Duration of hospitalisation (days, min–max) | 6 ± 1 (4–9) | 
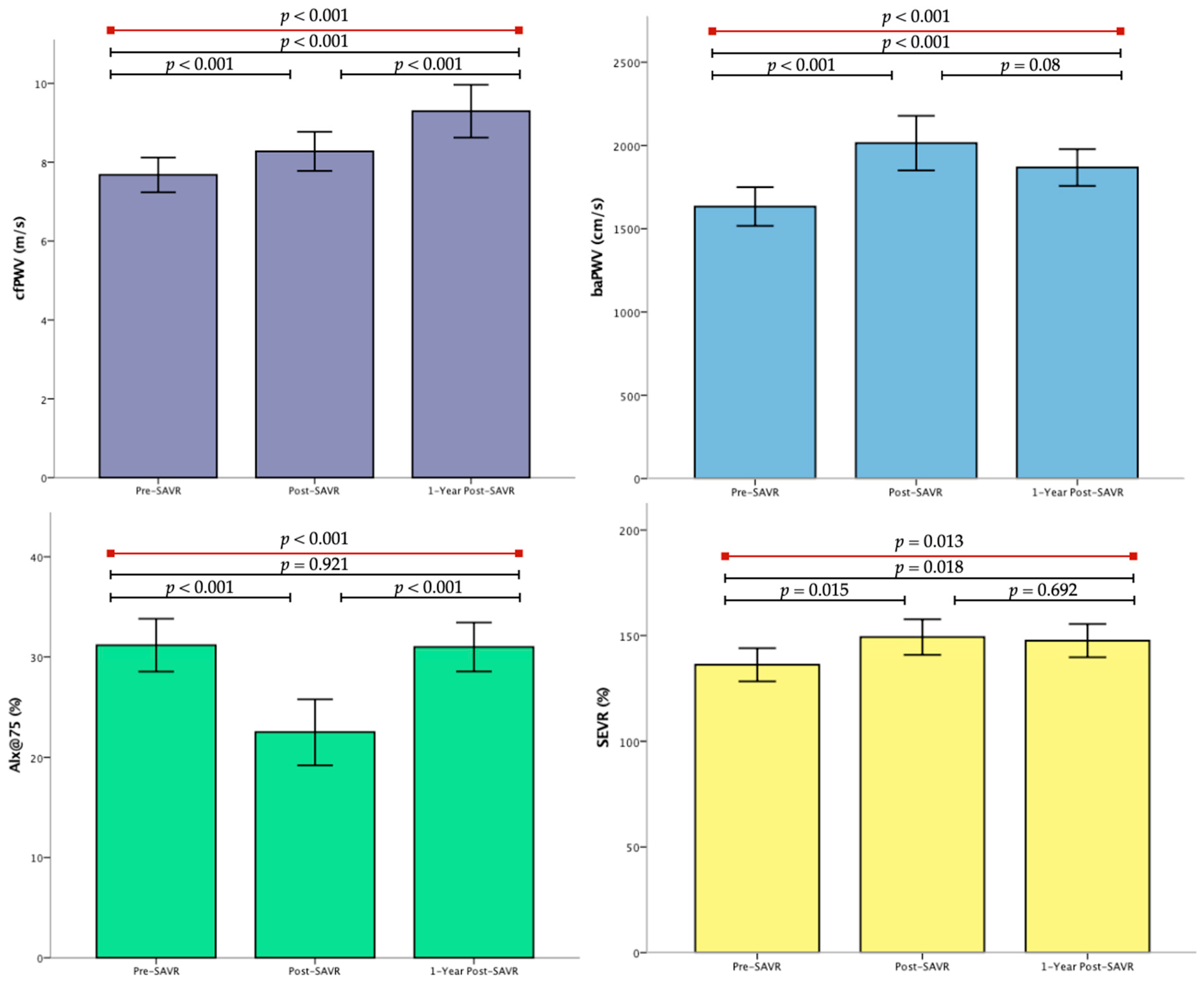
| Pre-SAVR | Post-SAVR | 1-Year Post-SAVR | p Value *2 | |
|---|---|---|---|---|
| Aortic and peripheral hemodynamic indices | ||||
| Aortic systolic pressure (mm Hg) | 136 ± 24 | 118 ± 17 † | 138 ± 19 ‡ | <0.001 | 
| Aortic diastolic pressure (mm Hg) | 79 ± 12 | 73 ± 13 † | 79 ± 11 ‡ | 0.001 | 
| Peripheral systolic pressure (mm Hg) | 146 ± 26 | 139 ± 19 † | 150 ± 20 ‡ | 0.003 | 
| Peripheral diastolic pressure (mm Hg) | 77 ± 13 | 73 ± 12 † | 79 ± 11 ‡ | 0.004 | 
| Heart rate (bpm) | 66 ± 10 | 82 ± 14 † | 68 ± 11 ‡ | 0.000 | 
| Vascular biomarkers | ||||
| AIx@75 (%) | 31.16 ± 10.22 | 22.73 ± 12.71 † | 30.98 ± 9.47 ‡ | <0.001 | 
| cfPWV (m/s) | 7.67 ± 1.70 | 8.27 ± 1.92 † | 9.29 ± 2.59 †‡ | <0.001 | 
| SEVR (%) | 136.16 ± 30.42 | 149.25 ± 32.74 † | 147.50 ± 30.48 † | 0.013 | 
| ESP | 120 ± 20.9 | 105.10 ± 15.8 † | 120.15 ± 16.19 ‡ | <0.001 | 
| EjD | 325.75 ± 48.89 | 252.58 ± 49.75 † | 280.78 ± 108.29 †‡ | <0.001 | 
| baPWV (cm/s) *1 n = 55 | 1633.36 ± 429 | 2014.20 ± 606 † | 1867.72 ± 408 † | <0.001 | 
| Echocardiographic indices | ||||
| AV-Vmax (m/s) | 4.26 ± 0.63 | 2.49 ± 0.485 † | 2.34 ± 0.585 †‡ | <0.001 | 
| AVA (cm2) | 0.74 ± 0.23 | 1.67 ± 0.39 † | 1.61 ± 0.40 † | <0.001 | 
| Indexed AVA (cm2/m2) | 0.39 ± 0.11 | 0.87 ± 0.21 † | 0.83 ± 0.19 † | <0.001 | 
| Mean Pressure Gradient (mmHg) | 44.20 ± 12.1 | 13.32 ± 5.38 † | 11.63 ± 7.09 †‡ | <0.001 | 
| Left ventricular ejection fraction (%) | 55 ± 9 | 55.91 ± 8.20 | 57.16 ± 6.53 †‡ | 0.027 | 
| AVA VTI (cm) | 99. 80 ± 17 | 41.55 ± 10.30 † | 46.45 ± 15.27 †‡ | <0.001 | 
| SV (ml/m2) | 70.20 ± 22 | 69.12 ± 20.80 | 74.13 ± 20.75 | 0.318 | 
| SVi (ml/m2) | 36.12 ± 11.82 | 35.48 ± 10.37 | 37.13 ± 11.58 | 0.500 | 
| PASP (mmHg) | 35.48 ± 6.74 | 32.92 ± 4.04 † | 33.92 ± 4.89 | 0.005 | 
| Flow Rate | 218.77 ± 72.35 | 267.87 ± 82.11 † | 247.92 ± 54.90 †‡ | <0.001 | 
| Type of Valve | Pre-SAVR | Post-SAVR | 1-Year Post-SAVR | p Value *1 | |
|---|---|---|---|---|---|
| cfPWV (m/s) N = 60 | ΔcfPWV N = 60 | ||||
| Mechanical valve (n = 26) | 6.63 ± 1.25 | 7.32 ± 0.97 † | 7.82 ± 1.38 †‡ | +1.19 ± 1.72 | 0.006 | 
| Biological valve (n = 21) | 8.11 ± 1.24 | 8.60 ± 2.18 | 9.85 ± 2.16 †‡ | +1.73 ± 1.68 | <0.001 | 
| Sutureless valve (n = 13) | 9.05 ± 1.91 | 9.63 ± 2.01 | 11.31 ± 3.41 † | +2.25 ± 3.70 | 0.19 | 
| baPWV (cm/s) n = 55 | ΔbaPWV n = 55 | ||||
| Mechanical valve (n = 26) | 1405.08 ± 404 | 1780.85 ± 502 | 1634.46 ± 278 | +208.16 ± 284.30 | |
| Biological valve (n = 21) | 1833.52 ± 385 | 2014.29 ± 589 | 2114.76 ± 517.37 | +207.88 ± 404.85 | |
| Sutureless valve (n = 13) | 1680.08 ± 375 | 2415 ± 606 | 1999.46 ± 306 | +319.38 ± 445.11 | 
| Type of Valve *1 | MV (n = 26) | p Value *3 | BV (n = 21) | p Value *3 | SV (n = 13) | p Value *3 | 
|---|---|---|---|---|---|---|
| Baseline characteristics n (%) | ||||||
| Age | 63.23 ± 6.52 | 0.77 r = −0.058 | 74.67 ± 6.35 | 0.52 r = 0.147 | 77.15 ± 5.36 | 0.87 r = −0.047 | 
| Gender (M/F) | 17/9 | 0.60 | 12/9 | 0.57 | 10/3 | 0.07 | 
| BMI (kg/m2) *2 | 30.44 ± 5.52 | 0.59 r = 0.108 | 28.46 ± 4.51 | 0.14 r = −0.331 | 27.61 ± 3.22 | 0.58 r = −0.166 | 
| Euroscore II (%) | 1.49 ± 1.08 | 0.52 r = −0.131 | 2.78 ± 2.02 | 0.85 r = 0.044 | 3.88 ± 3.47 | 0.004 r = 0.736 | 
| Pre EF (%) *2 | 57.30 ± 7.90 | 0.007 r = −0.517 | 55.23 ± 9.14 | 0.052 r = 0.429 | 50.38 ± 10.50 | 0.13 r = −0.439 | 
| Pre SBP (mmHg) *2 | 138.88 ± 22.70 | 0.39 r = 0.175 | 154.19 ± 29.53 | 0.26 r = 0.255 | 147.85 ± 24.53 | 0.42 r = −0.244 | 
| >3 comorbidities | 17 (65) | 0.45 | 11 (52) | 0.058 | 9 (69) | 0.03 | 
| Periprocedural characteristics n (%) | ||||||
| CABG *2 | 9 (35) | 0.78 | 6 (29) | 0.75 | 4 (31) | 0.49 | 
| CBP time (min) *2 | 105.81 ± 24.31 | 0.53 r = −0.128 | 91.76 ± 27.18 | 0.24 r = −0.264 | 69.85 ± 24.36 | 0.33 r = 0.291 | 
| ACC time (min) *2 | 82.73 ± 24.69 | 0.80 r = −0.052 | 75.95 ± 25.58 | 0.19 r = −0.297 | 52 ± 24.38 | 0.32 r = 0.295 | 
| Disclaimer/Publisher’s Note: The statements, opinions and data contained in all publications are solely those of the individual author(s) and contributor(s) and not of MDPI and/or the editor(s). MDPI and/or the editor(s) disclaim responsibility for any injury to people or property resulting from any ideas, methods, instructions or products referred to in the content. | 
© 2024 by the authors. Licensee MDPI, Basel, Switzerland. This article is an open access article distributed under the terms and conditions of the Creative Commons Attribution (CC BY) license (https://creativecommons.org/licenses/by/4.0/).
Share and Cite
Sigala, E.; Terentes-Printzios, D.; Gardikioti, V.; Baikoussis, N.G.; Koumallos, N.; Katsaros, A.; Lozos, V.; Kouerinis, I.; Triantafillou, K.; Filis, K.; et al. The Effect of Surgical Aortic Valve Replacement on Arterial Stiffness: Does the Valve Type Matter? J. Pers. Med. 2024, 14, 509. https://doi.org/10.3390/jpm14050509
Sigala E, Terentes-Printzios D, Gardikioti V, Baikoussis NG, Koumallos N, Katsaros A, Lozos V, Kouerinis I, Triantafillou K, Filis K, et al. The Effect of Surgical Aortic Valve Replacement on Arterial Stiffness: Does the Valve Type Matter? Journal of Personalized Medicine. 2024; 14(5):509. https://doi.org/10.3390/jpm14050509
Chicago/Turabian StyleSigala, Evangelia, Dimitrios Terentes-Printzios, Vasiliki Gardikioti, Nikolaos G. Baikoussis, Nikolaos Koumallos, Andreas Katsaros, Vasileios Lozos, Ilias Kouerinis, Konstantinos Triantafillou, Konstantinos Filis, and et al. 2024. "The Effect of Surgical Aortic Valve Replacement on Arterial Stiffness: Does the Valve Type Matter?" Journal of Personalized Medicine 14, no. 5: 509. https://doi.org/10.3390/jpm14050509
APA StyleSigala, E., Terentes-Printzios, D., Gardikioti, V., Baikoussis, N. G., Koumallos, N., Katsaros, A., Lozos, V., Kouerinis, I., Triantafillou, K., Filis, K., Tsioufis, K., & Vlachopoulos, C. (2024). The Effect of Surgical Aortic Valve Replacement on Arterial Stiffness: Does the Valve Type Matter? Journal of Personalized Medicine, 14(5), 509. https://doi.org/10.3390/jpm14050509
 
        


 
                         
       