Is the CYP2D6 Genotype Associated with Antipsychotic-Induced Weight Gain? †
Abstract
1. Introduction
2. Material and Methods
2.1. Randomized Controlled Trial
2.2. Study Population Included in the Present Analysis
2.3. CYP2D6 and CYP2C19 Genotyping
2.4. Chlorpromazine Equivalents and Average Daily Exposure to Antipsychotics
2.5. Statistical Analyses
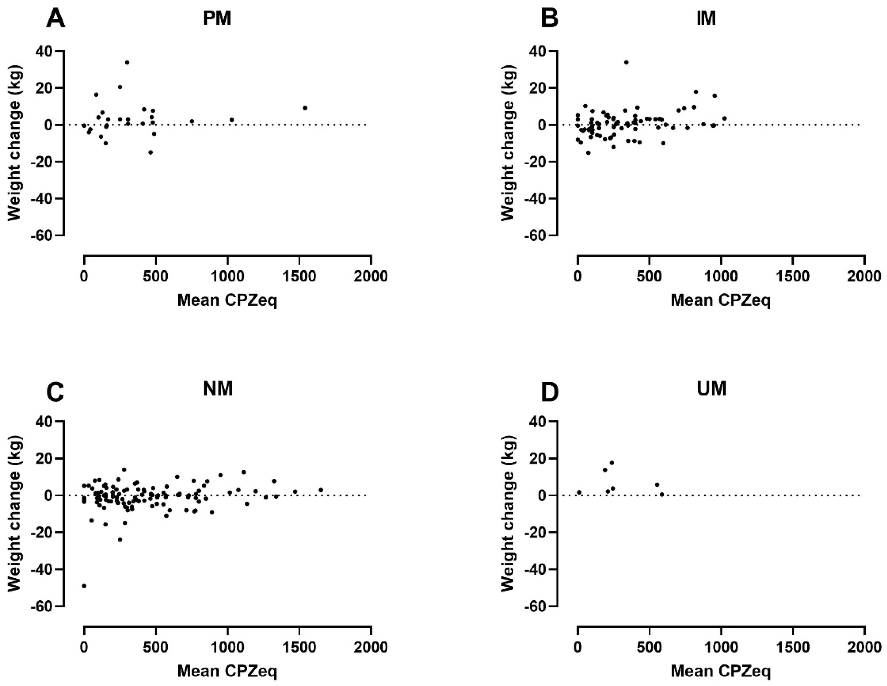
3. Results
4. Discussion
Strengths and Limitations
5. Conclusions
Author Contributions
Funding
Institutional Review Board Statement
Informed Consent Statement
Data Availability Statement
Conflicts of Interest
References
- Dayabandara, M.; Hanwella, R.; Ratnatunage, S.; Seneviratne, S.; Suraweera, C.; de Silva, V.A. Antipsychotic-associated weight gain: Management strategies and impact on treatment adherence. Neuropsychiatr. Dis. Treat. 2017, 13, 2231–2241. [Google Scholar] [CrossRef] [PubMed]
- De Hert, M.; Detraux, J.; van Winkel, R.; Yu, W.; Correll, C.U. Metabolic and cardiovascular adverse effects associated with antipsychotic drugs. Nat. Rev. Endocrinol. 2011, 8, 114–126. [Google Scholar] [CrossRef] [PubMed]
- Gami, A.S.; Witt, B.J.; Howard, D.E.; Erwin, P.J.; Gami, L.A.; Somers, V.K.; Montori, V.M. Metabolic Syndrome and Risk of Incident Cardiovascular Events and Death: A Systematic Review and Meta-Analysis of Longitudinal Studies. J. Am. Coll. Cardiol. 2007, 49, 403–414. [Google Scholar] [CrossRef] [PubMed]
- Taipale, H.; Mittendorfer-Rutz, E.; Alexanderson, K.; Majak, M.; Mehtälä, J.; Hoti, F.; Jedenius, E.; Enkusson, D.; Leval, A.; Sermon, J.; et al. Antipsychotics and mortality in a nationwide cohort of 29,823 patients with schizophrenia. Schizophr. Res. 2018, 197, 274–280. [Google Scholar] [CrossRef] [PubMed]
- Taipale, H.; Tanskanen, A.; Mehtälä, J.; Vattulainen, P.; Correll, C.U.; Tiihonen, J. 20-year follow-up study of physical morbidity and mortality in relationship to antipsychotic treatment in a nationwide cohort of 62,250 patients with schizophrenia (FIN20). World Psychiatry Off. J. World Psychiatr. Assoc. WPA 2020, 19, 61–68. [Google Scholar] [CrossRef] [PubMed]
- Correll, C.U.; Solmi, M.; Croatto, G.; Schneider, L.K.; Rohani-Montez, S.C.; Fairley, L.; Smith, N.; Bitter, I.; Gorwood, P.; Taipale, H.; et al. Mortality in people with schizophrenia: A systematic review and meta-analysis of relative risk and aggravating or attenuating factors. World Psychiatry 2022, 21, 248–271. [Google Scholar] [CrossRef] [PubMed]
- PharmVar [Internet]. Available online: https://www.pharmvar.org/gene/CYP2D6 (accessed on 30 August 2022).
- Caudle, K.E.; Sangkuhl, K.; Whirl-Carrillo, M.; Swen, J.J.; Haidar, C.E.; Klein, T.E.; Gammal, R.S.; Relling, M.V.; Scott, S.A.; Hertz, D.L.; et al. Standardizing CYP2D6 Genotype to Phenotype Translation: Consensus Recommendations from the Clinical Pharmacogenetics Implementation Consortium and Dutch Pharmacogenetics Working Group. Clin. Transl. Sci. 2020, 13, 116–124. [Google Scholar] [CrossRef] [PubMed]
- Pratt, V.M.; Cavallari, L.H.; Del Tredici, A.L.; Gaedigk, A.; Hachad, H.; Ji, Y.; Kalman, L.V.; Ly, R.C.; Moyer, A.M.; Scott, S.A.; et al. Recommendations for Clinical CYP2D6 Genotyping Allele Selection. J. Mol. Diagn. JMD 2021, 23, 1047–1064. [Google Scholar] [CrossRef]
- Gaedigk, A.; Sangkuhl, K.; Whirl-Carrillo, M.; Klein, T.; Leeder, J.S. Prediction of CYP2D6 phenotype from genotype across world populations. Genet. Med. Off. J. Am. Coll. Med. Genet. 2017, 19, 69–76. [Google Scholar] [CrossRef] [PubMed]
- Dean, L.; Kane, M. Clozapine Therapy and CYP Genotype. In Medical Genetics Summaries; Pratt, V.M., Scott, S.A., Pirmohamed, M., Esquivel, B., Kane, M.S., Kattman, B.L., Malheiro, A.J., Eds.; National Center for Biotechnology Information (US): Bethesda, MD, USA, 2012. Available online: http://www.ncbi.nlm.nih.gov/books/NBK367795/ (accessed on 30 August 2022).
- Zubiaur, P.; Soria-Chacartegui, P.; Koller, D.; Navares-Gómez, M.; Ochoa, D.; Almenara, S.; Saiz-Rodríguez, M.; Mejía-Abril, G.; Villapalos-García, G.; Román, M.; et al. Impact of polymorphisms in transporter and metabolizing enzyme genes on olanzapine pharmacokinetics and safety in healthy volunteers. Biomed. Pharmacother. 2021, 133, 111087. [Google Scholar] [CrossRef] [PubMed]
- Jukic, M.M.; Smith, R.L.; Haslemo, T.; Molden, E.; Ingelman-Sundberg, M. Effect of CYP2D6 genotype on exposure and efficacy of risperidone and aripiprazole: A retrospective, cohort study. Lancet Psychiatry 2019, 6, 418–426. [Google Scholar] [CrossRef]
- Taylor, C.; Crosby, I.; Yip, V.; Maguire, P.; Pirmohamed, M.; Turner, R.M. A Review of the Important Role of CYP2D6 in Pharmacogenomics. Genes 2020, 11, 1295. [Google Scholar] [CrossRef] [PubMed]
- Bak, M.; Fransen, A.; Janssen, J.; van Os, J.; Drukker, M. Almost all antipsychotics result in weight gain: A meta-analysis. PLoS ONE 2014, 9, e94112. [Google Scholar] [CrossRef]
- Jallaq, S.A.; Verba, M.; Strawn, J.R.; Martin, L.J.; DelBello, M.P.; Ramsey, L.B. CYP2D6 Phenotype Influences Aripiprazole Tolerability in Pediatric Patients with Mood Disorders. J. Child. Adolesc. Psychopharmacol. 2021, 31, 56–62. [Google Scholar] [CrossRef] [PubMed]
- Correia, C.T.; Almeida, J.P.; Santos, P.E.; Sequeira, A.F.; Marques, C.E.; Miguel, T.S.; Abreu, R.L.; Oliveira, G.G.; Vicente, A.M. Pharmacogenetics of risperidone therapy in autism: Association analysis of eight candidate genes with drug efficacy and adverse drug reactions. Pharm. J. 2010, 10, 418–430. [Google Scholar] [CrossRef] [PubMed]
- Ellingrod, V.L.; Miller, D.; Schultz, S.K.; Wehring, H.; Arndt, S. CYP2D6 polymorphisms and atypical antipsychotic weight gain. Psychiatr Genet. 2002, 12, 55–58. [Google Scholar] [CrossRef] [PubMed]
- Jürgens, G.; Andersen, S.E.; Rasmussen, H.B.; Werge, T.; Jensen, H.D.; Kaas-Hansen, B.S.; Nordentoft, M. Effect of Routine Cytochrome P450 2D6 and 2C19 Genotyping on Antipsychotic Drug Persistence in Patients With Schizophrenia: A Randomized Clinical Trial. JAMA Netw. Open 2020, 3, e2027909. [Google Scholar] [CrossRef]
- Andreasen, N.C. Methods for assessing positive and negative symptoms. Mod. Probl. Pharm. 1990, 24, 73–88. [Google Scholar]
- Lingjaerde, O.; Ahlfors, U.G.; Bech, P.; Dencker, S.J.; Elgen, K. The UKU side effect rating scale. A new comprehensive rating scale for psychotropic drugs and a cross-sectional study of side effects in neuroleptic-treated patients. Acta Psychiatr. Scand. Suppl. 1987, 334, 1–100. [Google Scholar] [CrossRef]
- Jürgens, G.; Rasmussen, H.B.; Werge, T.; Dalhoff, K.; Nordentoft, M.; Andersen, S.E. Does the medication pattern reflect the CYP2D6 genotype in patients with diagnoses within the schizophrenic spectrum? J. Clin. Psychopharmacol. 2012, 32, 100–105. [Google Scholar] [CrossRef] [PubMed]
- Kane, M. CYP2D6 Overview: Allele and Phenotype Frequencies [Internet]. Medical Genetics Summaries. National Center for Biotechnology Information (US). 2021. Available online: https://www.ncbi.nlm.nih.gov/books/NBK574601/ (accessed on 26 September 2022).
- Almandil, N.B.; Liu, Y.; Murray, M.L.; Besag, F.M.C.; Aitchison, K.J.; Wong, I.C.K. Weight gain and other metabolic adverse effects associated with atypical antipsychotic treatment of children and adolescents: A systematic review and meta-analysis. Paediatr. Drugs 2013, 15, 139–150. [Google Scholar] [CrossRef] [PubMed]
- Simon, V.; van Winkel, R.; De Hert, M. Are Weight Gain and Metabolic Side Effects of Atypical Antipsychotics Dose Dependent?: A Literature Review. J. Clin. Psychiatry 2009, 70, 1041–1050. [Google Scholar] [CrossRef]
- Kirchheiner, J.; Nickchen, K.; Bauer, M.; Wong, M.L.; Licinio, J.; Roots, I.; Brockmöller, J. Pharmacogenetics of antidepressants and antipsychotics: The contribution of allelic variations to the phenotype of drug response. Mol. Psychiatry 2004, 9, 442–473. [Google Scholar] [CrossRef] [PubMed]
- Wannasuphoprasit, Y.; Andersen, S.E.; Arranz, M.J.; Catalan, R.; Jurgens, G.; Kloosterboer, S.M.; Rasmussen, H.B.; Bhat, A.; Irizar, H.; Koller, D.; et al. CYP2D6 Genetic Variation and Antipsychotic-Induced Weight Gain: A Systematic Review and Meta-Analysis. Front. Psychol. 2022, 12, 768748. [Google Scholar] [CrossRef] [PubMed]
- Rummel-Kluge, C.; Komossa, K.; Schwarz, S.; Hunger, H.; Schmid, F.; Lobos, C.A.; Kissling, W.; Davis, J.M.; Leucht, S. Head-to-head comparisons of metabolic side effects of second generation antipsychotics in the treatment of schizophrenia: A systematic review and meta-analysis. Schizophr. Res. 2010, 123, 225–233. [Google Scholar] [CrossRef] [PubMed]
- Shams, T.A.; Müller, D.J. Antipsychotic induced weight gain: Genetics, epigenetics, and biomarkers reviewed. Curr. Psychiatry Rep. 2014, 16, 473. [Google Scholar] [CrossRef]



| RCT Study Arm | N in RCT | Excluded Due to Missing Weight Data | N in Present Analysis |
|---|---|---|---|
| CTG | Total 95 | Total 21 | Total 74 |
| PM 13 | PM 5 | PM 8 | |
| IM 30 | IM 4 | IM 26 | |
| NM 47 | NM 11 | NM 36 | |
| UM 5 | UM 1 | UM 4 | |
| SCM | Total 94 | Total 20 | Total 74 |
| PM 12 | PM 5 | PM 7 | |
| IM 32 | IM 7 | IM 25 | |
| NM 46 | NM 7 | NM 39 | |
| UM 4 | UM 1 | UM 3 | |
| CNT | Total 101 | Total 28 | Total 73 |
| PM 15 | PM 3 | PM 12 | |
| IM 33 | IM 7 | IM 24 | |
| NM 50 | NM 14 | NM 36 | |
| UM 3 | UM 2 | UM 1 |
| CYP2D6 Allele | Activity Score | Phenotypic Activity Score | Allele Frequencies i Europeans |
|---|---|---|---|
| CYP2D6*3 | 0 | Zero function | 1.60 |
| CYP2D6*4 | 0 | Zero function | 18.50 |
| CYP2D6*5 | 0 | Zero function | 3–5 |
| CYP2D6*6 | 0 | Zero function | 0.5 |
| Duplications | * | * | NA |
| CYP2D6 PM | CYP2D6 IM | CYP2D6 NM | CYP2D6 UM | |
|---|---|---|---|---|
| N = 27 | N = 75 | N = 111 | N = 8 | |
| Mean age (years) | 41.7 (37.2; 46.2) | 41.5 (39.0; 44.0) | 40.7 (38.8; 42.6) | 34.1 (27.7; 40.4) |
| Male (No (%)) | 12 (44.4) | 34 (45.3) | 52 (46.8) | 4 (50.0) |
| Median disease duration (years) | 6.3 (1.5; 11.5) | 6.3 (2.6; 11.3) | 6.3 (3.3; 14.7) | 0.9 (0.6; 8.4) |
| Mean weight at baseline (kg) | 91.0 (81.1; 101.0) | 81.4 (77.4; 85.5) | 83.1 (79.8; 86.4) | 77.6 (64.2; 91.0) |
| Mean BMI at baseline (kg/m2) | 29.4 (26.8; 32.0) | 27.2 (26.1; 28.3) | 28.0 (26.9; 29.0) | 24.9 (21.5; 28.3) |
| Mean chlorpromazine equivalents per day | 342 (211; 474) | 335 (274; 397) | 440 (373; 507) | 307 (75; 539) |
| Use of first-generation antipsychotics (No (%)) | 9 (33.3) | 21 (28.0) | 29 (26.1) | 1 (12.5) |
| Use of clozapine or olanzapine (No (%)) | 10 (37.0) | 27 (36.0) | 41 (36.9) | 2 (25.0) |
| Use of quetiapine, risperidone or paliperidone (No (%)) | 9 (33.3) | 25 (33.3) | 47 (42.3) | 3 (37.5) |
| Use of other second-generation antipsychotics (No (%)) | 11 (40.7) | 30 (40.0) | 47 (42.3) | 5 (62.5) |
| Parameter | Estimate (95% CI) |
|---|---|
| Unadjusted | |
| Intercept | −0.92 (−2.3; 0.50) |
| CYP2D6 status (ref: NM) | |
| PM | 4.00 (0.80; 7.21) |
| IM | 1.58 (−0.65; 3.81) |
| UM | 6.50 (1.03; 12.0) |
| Adjusted | |
| Intercept | −0.38 (−6.72; 7.49) |
| CYP2D6 status (ref: NM) | |
| PM | 4.26 (0.88; 7.64) |
| IM | 1.51 (−0.85; 3.87) |
| UM | 7.26 (1.24; 13.3) |
| Baseline BMI (kg/m2) | −0.24 (−0.44; −0.03) |
| Age (years) | 0.07 (−0.05; 0.19) |
| Disease duration (years) | 0.007 (−0.15; 0.16) |
| RCT arm (ref: CNT) | |
| CTG | 0.30 (−2.28; 2.87) |
| SCM | 0.57 (−2.02; 3.16) |
| Exposed to FGA | −1.05 (−3.94; 1.83) |
| SGA high | −0.48 (−3.10; 2.15) |
| SGA medium | 0.61 (−1.92; 3.13) |
| SGA low | 0.70 (−1.78; 3.19) |
| Mean daily CPZeq | 0.0041 (0.0005; 0.0077) |
| CYPA2D6-dependent drugs | 1.12 (−1.43; 3.67) |
| Male sex | −0.90 (−3.06; 1.26) |
| Model | Intercept (kg) | CYP2D6 | Estimate (kg) | p-Value |
|---|---|---|---|---|
| Adjusted | 0.99 (0.97;1.01) | Normal metabolizer | Ref. | - |
| Poor metabolizer | 1.01 (1.00;1.03) | 0.070 | ||
| Intermediate metabolizer | 1.00 (0.99;1.01) | 0.43 | ||
| Ultra-rapid metabolizer | 1.04 (1.01;1.06) | 0.027 |
Publisher’s Note: MDPI stays neutral with regard to jurisdictional claims in published maps and institutional affiliations. |
© 2022 by the authors. Licensee MDPI, Basel, Switzerland. This article is an open access article distributed under the terms and conditions of the Creative Commons Attribution (CC BY) license (https://creativecommons.org/licenses/by/4.0/).
Share and Cite
Jürgens, G.; Kaas-Hansen, B.S.; Nordentoft, M.; Werge, T.; Andersen, S.E. Is the CYP2D6 Genotype Associated with Antipsychotic-Induced Weight Gain? J. Pers. Med. 2022, 12, 1728. https://doi.org/10.3390/jpm12101728
Jürgens G, Kaas-Hansen BS, Nordentoft M, Werge T, Andersen SE. Is the CYP2D6 Genotype Associated with Antipsychotic-Induced Weight Gain? Journal of Personalized Medicine. 2022; 12(10):1728. https://doi.org/10.3390/jpm12101728
Chicago/Turabian StyleJürgens, Gesche, Benjamin Skov Kaas-Hansen, Merete Nordentoft, Thomas Werge, and Stig Ejdrup Andersen. 2022. "Is the CYP2D6 Genotype Associated with Antipsychotic-Induced Weight Gain?" Journal of Personalized Medicine 12, no. 10: 1728. https://doi.org/10.3390/jpm12101728
APA StyleJürgens, G., Kaas-Hansen, B. S., Nordentoft, M., Werge, T., & Andersen, S. E. (2022). Is the CYP2D6 Genotype Associated with Antipsychotic-Induced Weight Gain? Journal of Personalized Medicine, 12(10), 1728. https://doi.org/10.3390/jpm12101728

