Long-Term Psychosocial Consequences of Whole-Body Magnetic Resonance Imaging and Reporting of Incidental Findings in a Population-Based Cohort Study
Abstract
1. Introduction
2. Materials and Methods
2.1. Study Design, Sample and Endpoint Assessment
2.2. Statistical Analysis
3. Results
3.1. Study Population and Demographic Characteristics
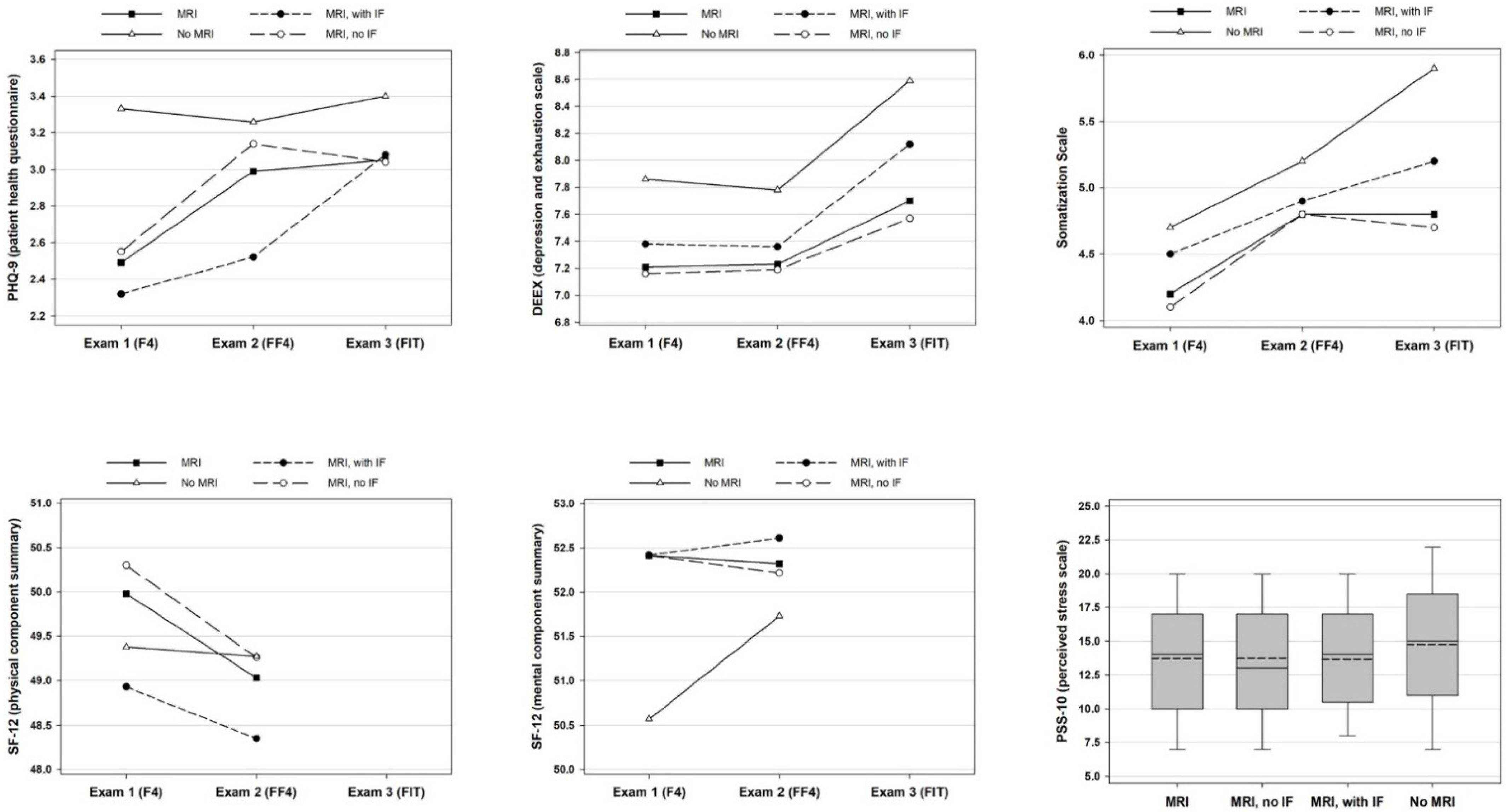
3.2. Psychosocial and Health Outcomes: PHQ-9, DEEX, SF-12, PSS-10, and Somatization Scale
3.3. Multivariate Analysis of MRI Participation in Association with Psychosocial Outcomes
4. Discussion
Author Contributions
Funding
Institutional Review Board Statement
Informed Consent Statement
Data Availability Statement
Conflicts of Interest
Appendix A
| No MRI | MRI | No IF | With IF * | |
|---|---|---|---|---|
| n = 2155 | n = 188 | n = 149 | n = 39 | |
| Age (years) | ||||
| Exam 1 | 58.7 ± 14.7 (n = 2073) | 46.9 ± 11.6 (n = 177) | 45.5 ± 11 (n = 139) | 52 ± 12.5 (n = 38) |
| Exam 2 | 62.9 ± 14.9 (n = 1236) | 53.4 ± 11.5 (n = 188) | 52 ± 10.9 (n = 149) | 58.5 ± 12.4 (n = 39) |
| Exam 3 | 62.2 ± 6.3 (n = 74) | 65.5 ± 5.7 (n = 6) | 63.3 ± 5.3 (n = 4) | 70 ± 4.2 (n = 2) |
| Sex (men) | ||||
| Exam 1 | 998 (48%) (n = 2073) | 111 (63%) (n = 177) | 89 (64%) (n = 139) | 22 (58%) (n = 38) |
| Exam 2 | 600 (49%) (n = 1236) | 114 (61%) (n = 188) | 91 (61%) (n = 149) | 23 (59%) (n = 39) |
| Exam 3 | 32 (43%) (n = 74) | 5 (83%) (n = 6) | 3 (75%) (n = 4) | 2 (100%) (n = 2) |
| BMI (kg/m2) | ||||
| Exam 1 | 27.8 ± 4.9 (n = 2058) | 27.2 ± 4.3 (n = 177) | 27.2 ± 4.4 (n = 139) | 27.3 ± 4 (n = 38) |
| Exam 2 | 27.8 ± 4.9 (n = 1234) | 28 ± 5.2 (n = 188) | 27.9 ± 5.4 (n = 149) | 28.4 ± 4.2 (n = 39) |
| Exam 3 | 28.1 ± 5.4 (n = 74) | 30.1 ± 3.2 (n = 6) | 28.7 ± 2.9 (n = 4) | 32.8 ± 1.7 (n = 2) |
| Physical activity | ||||
| Exam 1 | 1044 (50%) (n = 2068) | 91 (51%) (n = 177) | 69 (50%) (n = 139) | 22 (58%) (n = 38) |
| Exam 2 | 653 (53%) (n = 1236) | 102 (54%) (n = 188) | 79 (53%) (n = 149) | 23 (59%) (n = 39) |
| Exam 3 | 50 (69%) (n = 73) | 1 (17%) (n = 6) | 1 (25%) (n = 4) | 0 (0%) (n = 2) |
| Family status (Living together with a partner) | ||||
| Exam 1 | 1499 (72%) (n = 2070) | 140 (79%) (n = 177) | 109 (78%) (n = 139) | 31 (82%) (n = 38) |
| Exam 2 | 886 (72%) (n = 1236) | 143 (76%) (n = 188) | 113 (76%) (n = 149) | 30 (77%) (n = 39) |
| Exam 3 | 53 (72%) (n = 74) | 4 (67%) (n = 6) | 2 (50%) (n = 4) | 2 (100%) (n = 2) |
| Diabetes mellitus | ||||
| Exam 1 | 295 (14%) (n = 2073) | 11 (6%) (n = 177) | 8 (6%) (n = 139) | 3 (8%) (n = 38) |
| Exam 2 | 222 (18%) (n = 1236) | 24 (13%) (n = 188) | 17 (11%) (n = 149) | 7 (18%) (n = 39) |
| Exam 3 | 8 (11%) (n = 73) | 0 (0%) (n = 6) | 0 (0%) (n = 4) | 0 (0%) (n = 2) |
| Hypertension | ||||
| Exam 1 | 913 (44%) (n = 2065) | 41 (23%) (n = 177) | 29 (21%) (n = 139) | 12 (32%) (n = 38) |
| Exam 2 | 545 (44%) (n = 1232) | 52 (28%) (n = 188) | 38 (26%) (n = 149) | 14 (36%) (n = 39) |
| Exam 3 | 38 (52%) (n = 73) | 1 (17%) (n = 6) | 0 (0%) (n = 4) | 1 (50%) (n = 2) |
| Intake of antidepressants | ||||
| Exam 1 | 96 (5%) (n = 2073) | 1 (1%) (n = 177) | 1 (1%) (n = 139) | 0 (0%) (n = 38) |
| Exam 2 | 78 (6%) (n = 1233) | 5 (3%) (n = 188) | 5 (3%) (n = 149) | 0 (0%) (n = 39) |
| Exam 3 | 5 (7%) (n = 73) | 0 (0%) (n = 6) | 0 (0%) (n = 4) | 0 (0%) (n = 2) |
| Smoking status | ||||
| Exam 1 | n = 2067 | n = 177 | n = 139 | n = 38 |
| Smoker | 353 (17%) | 36 (20%) | 30 (22%) | 6 (16%) |
| Ex-smoker | 823 (40%) | 73 (41%) | 53 (38%) | 20 (53%) |
| Never-smoker | 891 (43%) | 68 (38%) | 56 (40%) | 12 (32%) |
| Exam 2 | n = 1156 | n = 177 | n = 139 | n = 38 |
| Smoker | 150 (13%) | 31 (18%) | 25 (18%) | 6 (16%) |
| Ex-smoker | 490 (42%) | 78 (44%) | 58 (42%) | 20 (53%) |
| Never-smoker | 516 (45%) | 68 (38%) | 56 (40%) | 12 (32%) |
| Exam 3 | n = 72 | n = 4 | n = 2 | n = 2 |
| Smoker | 16 (22%) | 0 (0%) | 0 (0%) | 0 (0%) |
| Ex-smoker | 26 (36%) | 1 (25%) | 1 (50%) | 0 (0%) |
| Never-smoker | 30 (42%) | 3 (75%) | 1 (50%) | 2 (100%) |
| Outcome PHQ-9 | Outcome DEEX | Outcome Somatization | |||||||
|---|---|---|---|---|---|---|---|---|---|
| β | 95%-CI | p-Value | β | 95%-CI | p-Value | β | 95%-CI | p-Value | |
| Control group (no MRI participation) | ref. | ref. | ref. | ref. | ref. | ref. | ref. | ref. | ref. |
| MRI participation, no IF | −0.46 | [−0.85, −0.04] | 0.036 | −0.82 | [−1.44, −0.14] | 0.016 | −0.88 | [−1.42, −0.31] | 0.004 |
| MRI participation, with IF | −0.69 | [−1.41, 0.05] | 0.064 | −0.56 | [−1.74, 0.61] | 0.362 | −0.73 | [−1.74, 0.27] | 0.172 |
| Age, years | 0.00 | [−0.01, 0.02] | 0.812 | 0.04 | [0.01, 0.06] | 0.002 | 0.06 | [0.05, 0.08] | <0.001 |
| Female sex | 0.94 | [0.61, 1.26] | <0.001 | 1.59 | [1.05, 2.11] | <0.001 | 1.65 | [1.18, 2.09] | <0.001 |
| BMI, kg/m2 | 0.02 | [−0.01, 0.05] | 0.166 | 0.02 | [−0.03, 0.07] | 0.534 | 0.14 | [0.09, 0.18] | <0.001 |
| Hypertension | 0.06 | [−0.2, 0.33] | 0.654 | 0.18 | [−0.2, 0.56] | 0.33 | 0.37 | [0.05, 0.7] | 0.032 |
| Ex-smoker | 0.20 | [−0.12, 0.53] | 0.248 | 0.06 | [−0.44, 0.55] | 0.846 | 0.05 | [−0.38, 0.48] | 0.836 |
| Current smoker | 0.23 | [−0.19, 0.66] | 0.272 | 0.18 | [−0.48, 0.81] | 0.614 | 0.25 | [−0.31, 0.79] | 0.384 |
| Diabetes | 0.24 | [−0.27, 0.72] | 0.33 | 0.10 | [−0.66, 0.8] | 0.798 | 0.35 | [−0.3, 0.95] | 0.266 |
| Intake of antidepressants | 1.71 | [1.18, 2.23] | <0.001 | 1.71 | [0.99, 2.46] | <0.001 | 0.76 | [0.14, 1.4] | 0.022 |
| Physically active | −0.36 | [−0.59, −0.12] | 0.002 | −0.81 | [−1.14, −0.47] | <0.001 | −0.57 | [−0.86, −0.28] | <0.001 |
| Living with partner | −0.85 | [−1.18, −0.53] | <0.001 | −0.56 | [−1.02, −0.1] | 0.016 | −0.37 | [−0.77, 0.02] | 0.058 |
References
- Bamberg, F.; Hetterich, H.; Rospleszcz, S.; Lorbeer, R.; Auweter, S.D.; Schlett, C.L.; Schafnitzel, A.; Bayerl, C.; Schindler, A.; Saam, T.; et al. Subclinical Disease Burden as Assessed by Whole-Body MRI in Subjects with Prediabetes, Subjects with Diabetes, and Normal Control Subjects from the General Population: The KORA-MRI Study. Diabetes 2017, 66, 158–169. [Google Scholar] [CrossRef] [PubMed]
- Hegenscheid, K.; Seipel, R.; Schmidt, C.O.; Völzke, H.; Kühn, J.-P.; Biffar, R.; Kroemer, H.K.; Hosten, N.; Puls, R. Potentially relevant incidental findings on research whole-body MRI in the general adult population: Frequencies and management. Eur. Radiol. 2013, 23, 816–826. [Google Scholar] [CrossRef] [PubMed]
- Bamberg, F.; Kauczor, H.U.; Weckbach, S.; Schlett, C.L.; Forsting, M.; Ladd, S.C.; Greiser, K.H.; Weber, M.; Schulz-Menger, J.; Niendorf, T.; et al. Whole-Body MR Imaging in the German National Cohort: Rationale, Design, and Technical Background. Radiology 2015, 277, 206–220. [Google Scholar] [CrossRef] [PubMed]
- Padhani, A.R.; Lecouvet, F.E.; Tunariu, N.; Koh, D.; de Keyzer, F.; Collins, D.J.; Sala, E.; Schlemmer, H.P.; Petralia, G.; Vargas, H.A.; et al. METastasis Reporting and Data System for Prostate Cancer: Practical Guidelines for Acquisition, Interpretation, and Reporting of Whole-body Magnetic Resonance Imaging-based Evaluations of Multiorgan Involvement in Advanced Prostate Cancer. Eur. Urol. 2017, 71, 81–92. [Google Scholar] [CrossRef]
- Messiou, C.; Hillengass, J.; Delorme, S.; Lecouvet, F.E.; Moulopoulos, L.; Collins, D.; Blackledge, M.D.; Abildgaard, N.; Østergaard, B.; Schlemmer, H.-P.; et al. Guidelines for Acquisition, Interpretation, and Reporting of Whole-Body MRI in Myeloma: Myeloma Response Assessment and Diagnosis System (MY-RADS). Radiology 2019, 291, 5–13. [Google Scholar] [CrossRef]
- Morone, M.; Bali, M.A.; Tunariu, N.; Messiou, C.; Blackledge, M.; Grazioli, L.; Koh, D.-M. Whole-Body MRI: Current Applications in Oncology. AJR Am. J. Roentgenol. 2017, 209, W336–W349. [Google Scholar] [CrossRef]
- Zugni, F.; Padhani, A.R.; Koh, D.M.; Summers, P.E.; Bellomi, M.; Petralia, G. Whole-body magnetic resonance imaging (WB-MRI) for cancer screening in asymptomatic subjects of the general population: Review and recommendations. Cancer Imaging 2020, 20, 34. [Google Scholar] [CrossRef]
- Hommes, D.; Klatte, D.; Otten, W.; Beltman, M.; Klass, G.; Zand, A.; Sprangers, R. Health outcomes and experiences of direct-to-consumer high-intensity screening using both whole-body magnetic resonance imaging and cardiological examination. PLoS ONE 2020, 15, e0242066. [Google Scholar] [CrossRef]
- Kwee, R.M.; Kwee, T.C. Whole-body MRI for preventive health screening: A systematic review of the literature. J. Magn. Reson. Imaging 2019, 50, 1489–1503. [Google Scholar] [CrossRef]
- Krogsbøll, L.T.; Jørgensen, K.J.; Gøtzsche, P.C. General health checks in adults for reducing morbidity and mortality from disease. Cochrane Database Syst. Rev. 2019, 1, CD009009. [Google Scholar] [CrossRef]
- Summers, P.; Saia, G.; Colombo, A.; Pricolo, P.; Zugni, F.; Alessi, S.; Marvaso, G.; Jereczek-Fossa, B.A.; Bellomi, M.; Petralia, G. Whole-body magnetic resonance imaging: Technique, guidelines and key applications. Ecancermedicalscience 2021, 15, 1164. [Google Scholar] [CrossRef]
- Wolf, S.M.; Lawrenz, F.P.; Nelson, C.A.; Kahn, J.P.; Cho, M.K.; Clayton, E.W.; Fletcher, J.G.; Georgieff, M.K.; Hammerschmidt, D.; Hudson, K.; et al. Managing Incidental Findings in Human Subjects Research: Analysis and Recommendations. J. Law Med. Ethics 2008, 36, 219–248. [Google Scholar] [CrossRef]
- Preez, H.D.; Lasker, I.; Rajakulasingam, R.; Saifuddin, A. Whole-body magnetic resonance imaging: Incidental findings in paediatric and adult populations. Eur. J. Radiol. 2020, 130, 109156. [Google Scholar] [CrossRef]
- Bos, D.; Poels, M.M.F.; Adams, H.H.H.; Akoudad, S.; Cremers, L.G.M.; Zonneveld, H.I.; Hoogendam, Y.Y.; Verhaaren, B.; Verlinden, V.J.A.; Verbruggen, J.G.J.; et al. Prevalence, Clinical Management, and Natural Course of Incidental Findings on Brain MR Images: The Population-based Rotterdam Scan Study. Radiology 2016, 281, 507–515. [Google Scholar] [CrossRef]
- Gibson, L.M.; Littlejohns, T.J.; Adamska, L.; Garratt, S.; Doherty, N.; UK Biobank Imaging Working Group; Wardlaw, J.M.; Maskell, G.; Parker, M.; Brownsword, R.; et al. Impact of detecting potentially serious incidental findings during multi-modal imaging. Wellcome Open Res. 2017, 2, 114. [Google Scholar] [CrossRef]
- Richter, A.; Sierocinski, E.; Singer, S.; Bülow, R.; Hackmann, C.; Chenot, J.-F.; Schmidt, C.O. The effects of incidental findings from whole-body MRI on the frequency of biopsies and detected malignancies or benign conditions in a general population cohort study. Eur. J. Epidemiol. 2020, 35, 925–935. [Google Scholar] [CrossRef]
- Gibson, L.M.; Nolan, J.; Littlejohns, T.J.; Mathieu, E.; Garratt, S.; Doherty, N.; Petersen, S.; Harvey, N.C.W.; Sellors, J.; Allen, N.E.; et al. Factors associated with potentially serious incidental findings and with serious final diagnoses on multi-modal imaging in the UK Biobank Imaging Study: A prospective cohort study. PLoS ONE 2019, 14, e0218267. [Google Scholar] [CrossRef]
- Schlett, C.L.; Rospleszcz, S.; Korbmacher, D.; Lorbeer, R.; Auweter, S.; Hetterich, H.; Selder, S.; Heier, M.; Linkohr, B.; Weckbach, S.; et al. Incidental findings in whole-body MR imaging of a population-based cohort study: Frequency, management and psychosocial consequences. Eur. J. Radiol. 2021, 134, 109451. [Google Scholar] [CrossRef]
- Schmidt, C.O.; Hegenscheid, K.; Erdmann, P.; Kohlmann, T.; Langanke, M.; Völzke, H.; Puls, R.; Assel, H.; Biffar, R.; Grabe, H.J. Psychosocial consequences and severity of disclosed incidental findings from whole-body MRI in a general population study. Eur. Radiol. 2013, 23, 1343–1351. [Google Scholar] [CrossRef]
- Hegedus, P.; von Stackelberg, O.; Neumann, C.; Selder, S.; Werner, N.; Erdmann, P.; Granitza, A.; Völzke, H.; Bamberg, F.; Kaaks, R.; et al. How to report incidental findings from population whole-body MRI: View of participants of the German National Cohort. Eur. Radiol. 2019, 29, 5873–5878. [Google Scholar] [CrossRef]
- Bunnik, E.M.; van Bodegom, L.; Pinxten, W.; de Beaufort, I.D.; Vernooij, M.W. Ethical framework for the detection, management and communication of incidental findings in imaging studies, building on an interview study of researchers’ practices and perspectives. BMC Med. Ethics 2017, 18, 10. [Google Scholar] [CrossRef]
- Cole, C.; Petree, L.E.; Phillips, J.P.; Shoemaker, J.M.; Holdsworth, M.; Helitzer, D.L. ‘Ethical responsibility’ or ‘a whole can of worms’: Differences in opinion on incidental finding review and disclosure in neuroimaging research from focus group discussions with participants, parents, IRB members, investigators, physicians and community members. J. Med. Ethics 2015, 41, 841–847. [Google Scholar]
- Wardlaw, J.M.; Davies, H.; Booth, T.C.; Laurie, G.; Compston, A.; Freeman, C.; Leach, M.; Waldman, A.D.; Lomas, D.; Kessler, K.; et al. Acting on incidental findings in research imaging. BMJ 2015, 351, h5190. [Google Scholar] [CrossRef]
- Bunnik, E.M.; Vernooij, M.W. Incidental findings in population imaging revisited. Eur. J. Epidemiol. 2016, 31, 1–4. [Google Scholar] [CrossRef]
- Håberg, A.K.; Hammer, T.A.; Kvistad, K.A.; Rydland, J.; Müller, T.B.; Eikenes, L.; Gårseth, M.; Stovner, L.J. Incidental Intracranial Findings and Their Clinical Impact; The HUNT MRI Study in a General Population of 1006 Participants between 50–66 Years. PLoS ONE 2016, 11, e0151080. [Google Scholar]
- Laxy, M.; Knoll, G.; Schunk, M.; Meisinger, C.; Huth, C.; Holle, R. Quality of Diabetes Care in Germany Improved from 2000 to 2007 to 2014, but Improvements Diminished since 2007. Evidence from the Population-Based KORA Studies. PLoS ONE 2016, 11, e0164704. [Google Scholar] [CrossRef]
- Löwel, H.; Döring, A.; Schneider, A.; Heier, M.; Thorand, B.; Meisinger, C. The MONICA Augsburg surveys--basis for prospective cohort studies. Gesundheitswesen 2005, 67 (Suppl. S1), S13–S18. [Google Scholar] [CrossRef]
- Holle, R.; Happich, M.; Löwel, H.; Wichmann, H.E.; MONICA/KORA Study Group. KORA—A research platform for population based health research. Gesundheitswesen 2005, 67 (Suppl. S1), S19–S25. [Google Scholar] [CrossRef]
- Ladwig, K.H.; Marten-Mittag, B.; Baumert, J.; Löwel, H.; Döring, A.; KORA Investigators. Case-finding for depressive and exhausted mood in the general population: Reliability and validity of a symptom-driven diagnostic scale. Results from the prospective MONICA/KORA Augsburg Study. Ann. Epidemiol. 2004, 14, 332–338. [Google Scholar] [CrossRef]
- von Zerssen, D. The Symptom-checklist. Clinical Self-Rating Questionnaires from the Munich Psychiatric Information System. In Psycho Manual, Main Part; Beltz-Verlag: Weinheim, Germany, 1976. [Google Scholar]
- Ladwig, K.H.; Marten-Mittag, B.; Erazo, N.; Gündel, H. Identifying somatization disorder in a population-based health examination survey: Psychosocial burden and gender differences. Psychosomatics 2001, 42, 511–518. [Google Scholar] [CrossRef]
- Kroenke, K.; Spitzer, R.L.; Williams, J.B. The PHQ-9: Validity of a brief depression severity measure. J. Gen. Intern. Med. 2001, 16, 606–613. [Google Scholar] [CrossRef] [PubMed]
- Martin, A.; Rief, W.; Klaiberg, A.; Braehler, E. Validity of the Brief Patient Health Questionnaire Mood Scale (PHQ-9) in the general population. Gen. Hosp. Psychiatry 2006, 28, 71–77. [Google Scholar] [CrossRef] [PubMed]
- Cohen, S.; Kamarck, T.; Mermelstein, R. A global measure of perceived stress. J. Health Soc. Behav. 1983, 24, 385–396. [Google Scholar] [CrossRef] [PubMed]
- Klein, E.M.; Brähler, E.; Dreier, M.; Reinecke, L.; Müller, K.W.; Schmutzer, G.; Wölfling, K.; Beutel, M.E. The German version of the Perceived Stress Scale—Psychometric characteristics in a representative German community sample. BMC Psychiatry 2016, 16, 159. [Google Scholar] [CrossRef]
- Ware, J.; Kosinski, M.; Keller, S.A. 12-Item Short-Form Health Survey. Med. Care 1996, 34, 220–233. [Google Scholar] [CrossRef]
- Gandek, B.; Ware, J.E.; Aaronson, N.K.; Apolone, G.; Bjorner, J.B.; Brazier, J.E.; Bullinger, M.; Kaasa, S.; Leplege, A.; Prieto, L.; et al. Cross-validation of item selection and scoring for the SF-12 Health Survey in nine countries: Results from the IQOLA Project. International Quality of Life Assessment. J. Clin. Epidemiol. 1998, 51, 1171–1178. [Google Scholar] [CrossRef]
- Schmidt, C.O.; Sierocinski, E.; Hegenscheid, K.; Baumeister, S.E.; Grabe, H.J.; Völzke, H. Impact of whole-body MRI in a general population study. Eur. J. Epidemiol. 2016, 31, 31–39. [Google Scholar] [CrossRef]
- Levis, B.; Benedetti, A.; Thombs, B.D.; DEPRESsion Screening Data (DEPRESSD) Collaboration. Accuracy of Patient Health Questionnaire-9 (PHQ-9) for screening to detect major depression: Individual participant data meta-analysis. BMJ 2019, 365, l1476, Erratum in BMJ 2019, 365, l1781. [Google Scholar] [CrossRef]
- Peters, A.; Rospleszcz, S.; Greiser, K.H.; Dallavalle, M.; Berger, K. The Impact of the COVID-19 Pandemic on Self-Reported Health. Dtsch. Arztebl. Int. 2020, 117, 861–867. [Google Scholar] [CrossRef]
- Tolonen, H.; Dobson, A.; Kulathinal, S.; WHO MONICA Project. Effect on Trend Estimates of the Difference between Survey Respondents and Non-respondents: Results from 27 Populations in the WHO MONICA Project. Eur. J. Epidemiol. 2005, 20, 887–898. [Google Scholar] [CrossRef]
- Kessler, R.C.; McGonagle, K.A.; Swartz, M.; Blazer, D.G.; Nelson, C.B. Sex and depression in the National Comorbidity Survey. I: Lifetime prevalence, chronicity and recurrence. J. Affect Disord. 1993, 29, 85–96. [Google Scholar] [CrossRef]
- Rubinow, D.R.; Schmidt, P.J. Sex differences and the neurobiology of affective disorders. Neuropsychopharmacology 2019, 44, 111–128. [Google Scholar] [CrossRef]
- Zhao, G.; Ford, E.S.; Dhingra, S.; Li, C.; Strine, T.W.; Mokdad, A.H. Depression and anxiety among US adults: Associations with body mass index. Int. J. Obes. 2009, 33, 257–266. [Google Scholar] [CrossRef]
- Rafanelli, C.; Offidani, E.; Gostoli, S.; Roncuzzi, R. Psychological correlates in patients with different levels of hypertension. Psychiatry Res. 2012, 198, 154–160. [Google Scholar] [CrossRef]
- Hildrum, B.; Mykletun, A.; Stordal, E.; Bjelland, I.; Dahl, A.A.; Holmen, J. Association of low blood pressure with anxiety and depression: The Nord-Trøndelag Health Study. J. Epidemiol. Community Health 2007, 61, 53–58. [Google Scholar] [CrossRef]
- Meng, L.; Chen, D.; Yang, Y.; Zheng, Y.; Hui, R. Depression increases the risk of hypertension incidence: A meta-analysis of prospective cohort studies. J. Hypertens 2012, 30, 842–851. [Google Scholar] [CrossRef]
- Fluharty, M.; Taylor, A.E.; Grabski, M.; Munafò, M.R. The Association of Cigarette Smoking with Depression and Anxiety: A Systematic Review. Nicotine Tob. Res. 2017, 19, 3–13. [Google Scholar] [CrossRef]
- Diabetes Canada Clinical Practice Guidelines Expert Committee; Robinson, D.J.; Coons, M.; Haensel, H.; Vallis, M.; Yale, J.F. Diabetes and Mental Health. Can. J. Diabetes 2018, 42 (Suppl. S1), S130–S141. [Google Scholar] [CrossRef]
- Goodwin, R.D. Association between physical activity and mental disorders among adults in the United States. Prev. Med. 2003, 36, 698–703. [Google Scholar] [CrossRef]
- Giannelis, A.; Palmos, A.; Hagenaars, S.P.; Breen, G.; Lewis, C.M.; Mutz, J. Examining the association between family status and depression in the UK Biobank. J. Affect. Disord 2021, 279, 585–598. [Google Scholar] [CrossRef]
- Fryers, T.; Melzer, D.; Jenkins, R. Social inequalities and the common mental disorders: A systematic review of the evidence. Soc. Psychiatry Psychiatr. Epidemiol. 2003, 38, 229–237. [Google Scholar] [CrossRef]
- Sareen, J.; Afifi, T.O.; McMillan, K.A.; Asmundson, G.J. Relationship between household income and mental disorders: Findings from a population-based longitudinal study. Arch. Gen. Psychiatry 2011, 68, 419–427. [Google Scholar] [CrossRef]


| No MRI | MRI | No IF | With IF * | p-Value | p-Value | |
|---|---|---|---|---|---|---|
| n = 643 | n = 212 | n = 162 | n = 50 | (MRI vs. No MRI) | (IF vs. No IF) | |
| Age (years) | ||||||
| Exam 1 a | 51.6 ± 5.6 | 51.8 ± 5.5 | 51.4 ± 5.6 | 53.3 ± 5 | 0.69 | 0.03 |
| Exam 2 | 58 ± 5.5 | 58.2 ± 5.6 | 57.7 ± 5.7 | 59.6 ± 5 | 0.78 | 0.04 |
| Exam 3 | 62.4 ± 5.5 | 62.4 ± 5.7 | 61.9 ± 5.8 | 63.9 ± 5 | 0.96 | 0.03 |
| Sex (men) | ||||||
| Exam 1 a | 263 (42%) | 113 (56%) | 89 (57%) | 24 (51%) | 0.001 | 0.58 |
| Exam 2 | 271 (42%) | 117 (55%) | 92 (57%) | 25 (50%) | 0.001 | 0.5 |
| Exam 3 | 271 (42%) | 117 (55%) | 92 (57%) | 25 (50%) | 0.001 | 0.5 |
| BMI (kg/m2) | ||||||
| Exam 1 b | 27 ± 4.9 | 27.6 ± 4.5 | 27.6 ± 4.7 | 27.6 ± 3.9 | 0.1 | 1 |
| Exam 2 | 27.6 ± 5.3 | 28.2 ± 4.7 | 28.2 ± 4.9 | 28.3 ± 4.1 | 0.15 | 0.91 |
| Exam 3 | 28 ± 5.4 | 28.5 ± 4.8 | 28.4 ± 4.9 | 28.5 ± 4.4 | 0.24 | 0.97 |
| Physical activity | ||||||
| Exam 1 a | 408 (65%) | 128 (63%) | 98 (63%) | 30 (64%) | 0.6 | 1 |
| Exam 2 | 414 (64%) | 136 (64%) | 105 (65%) | 31 (62%) | 1 | 0.85 |
| Exam 3 | 467 (73%) | 140 (66%) | 107 (66%) | 33 (66%) | 0.08 | 1 |
| Family status (Living together with a partner) | ||||||
| Exam 1 a | 509 (82%) | 165 (81%) | 127 (81%) | 38 (81%) | 1 | 1 |
| Exam 2 | 488 (76%) | 161 (76%) | 122 (75%) | 39 (78%) | 1 | 0.84 |
| Exam 3 | 504 (78%) | 166 (78%) | 126 (78%) | 40 (80%) | 1 | 0.89 |
| Diabetes mellitus | ||||||
| Exam 1 a | 31 (5%) | 14 (7%) | 14 (9%) | 0 | 0.38 | 0.04 |
| Exam 2 | 52 (8%) | 29 (14%) | 25 (15%) | 4 (8%) | 0.02 | 0.24 |
| Exam 3 c | 45 (7%) | 25 (12%) | 20 (12%) | 5 (10%) | 0.04 | 0.84 |
| Hypertension | ||||||
| Exam 1 d | 163 (26%) | 58 (29%) | 44 (28%) | 14 (30%) | 0.56 | 0.98 |
| Exam 2 e | 211 (33%) | 84 (40%) | 63 (39%) | 21 (42%) | 0.09 | 0.82 |
| Exam 3 | 289 (45%) | 110 (52%) | 82 (51%) | 28 (56%) | 0.09 | 0.61 |
| Intake of antidepressants | ||||||
| Exam 1 a | 26 (4%) | 4 (2%) | 3 (2%) | 1 (2%) | 0.2 | 1 |
| Exam 2 e | 34 (5%) | 12 (6%) | 9 (6%) | 3 (6%) | 0.98 | 1 |
| Exam 3 e | 35 (6%) | 12 (6%) | 9 (6%) | 3 (6%) | 1 | 1 |
| Smoking status | ||||||
| Exam 1 a | ||||||
| Smoker | 111 (18%) | 47 (23%) | 36 (23%) | 11 (23%) | ||
| Ex-smoker | 268 (43%) | 83 (41%) | 64 (41%) | 19 (40%) | ||
| Never-smoker | 245 (39%) | 73 (36%) | 56 (36%) | 17 (36%) | 0.24 | 0.98 |
| Exam 2 | ||||||
| Smoker | 99 (15%) | 46 (21%) | 37 (23%) | 9 (18%) | ||
| Ex-smoker | 291 (45%) | 90 (43%) | 67 (41%) | 23 (46%) | ||
| Never-smoker | 253 (39%) | 76 (36%) | 58 (36%) | 18 (36%) | 0.1 | 0.74 |
| Exam 3 | ||||||
| Smoker | 90 (14%) | 36 (17%) | 28 (17%) | 8 (16%) | ||
| Ex-smoker | 266 (41%) | 91 (43%) | 70 (43%) | 21 (42%) | ||
| Never-smoker | 287 (45%) | 85 (40%) | 64 (40%) | 21 (42%) | 0.4 | 0.95 |
| No MRI | MRI | No IF | With IF * | p-Value | p-Value | |
|---|---|---|---|---|---|---|
| n = 643 | n = 212 | n = 162 | n = 50 | (MRI vs. No MRI) | (IF vs. No IF) | |
| PHQ-9 | ||||||
| Exam 1 a | 3.3 ± 3.3 | 2.5 ± 2.3 | 2.6 ± 2.3 | 2.3 ± 2.4 | <0.001 | 0.56 |
| Exam 2 | 3.3 ± 3.1 | 3 ± 3.2 | 3.1 ± 3.4 | 2.5 ± 2.1 | 0.28 | 0.23 |
| Exam 3 | 3.4 ± 3.1 | 3.1 ± 2.8 | 3 ± 3 | 3.1 ± 2.3 | 0.15 | 0.94 |
| Longitudinal p-value | 0.54 | 0.02 | 0.06 | 0.05 | ||
| DEEX | ||||||
| Exam 1 a | 7.9 ± 4.7 | 7.2 ± 4.3 | 7.2 ± 4.4 | 7.4 ± 3.9 | 0.08 | 0.76 |
| Exam 2 | 7.8 ± 4.8 | 7.2 ± 4.6 | 7.2 ± 4.7 | 7.4 ± 4.6 | 0.14 | 0.82 |
| Exam 3 | 8.6 ± 4.7 | 7.7 ± 4.4 | 7.6 ± 4.5 | 8.1 ± 4.1 | 0.01 | 0.44 |
| Longitudinal p-value | <0.001 | 0.13 | 0.32 | 0.32 | ||
| Somatization Scale | ||||||
| Exam 1 a | 4.7 ± 4 | 4.2 ± 3.7 | 4.1 ± 3.8 | 4.5 ± 3.6 | 0.09 | 0.46 |
| Exam 2 | 5.2 ± 4.2 | 4.8 ± 3.7 | 4.8 ± 3.7 | 4.9 ± 3.4 | 0.16 | 0.86 |
| Exam 3 e | 5.9 ± 4.3 | 4.8 ± 3.8 | 4.7 ± 3.9 | 5.2 ± 3.7 | 0.001 | 0.4 |
| Longitudinal p-value | <0.001 | 0.013 | 0.02 | 0.41 | ||
| SF-12 | ||||||
| PCS | ||||||
| Exam 1 b | 49.4 ± 8.2 | 50 ± 8 | 50.3 ± 7.6 | 48.9 ± 9.4 | 0.37 | 0.31 |
| Exam 2 c | 49.3 ± 8 | 49 ± 8.4 | 49.3 ± 8.6 | 48.4 ± 7.8 | 0.67 | 0.2 |
| MCS | ||||||
| Exam 1 b | 50.6 ± 9.3 | 52.4 ± 7.6 | 52.4 ± 7.8 | 52.4 ± 6.9 | 0.01 | 1 |
| Exam 2 c | 51.7 ± 8.4 | 52.3 ± 8.5 | 52.2 ± 8.7 | 52.6 ± 8 | 0.14 | 0.74 |
| PSS-10 | ||||||
| Exam 3 d | 14.7 ± 5.7 | 13.7 ± 5.3 | 13.7 ± 5.4 | 13.7 ± 4.7 | 0.03 | 0.94 |
| Outcome PHQ-9 | Outcome DEEX | Outcome Somatization | |||||||
|---|---|---|---|---|---|---|---|---|---|
| β | 95%-CI | p-Value | β | 95%-CI | p-Value | β | 95%-CI | p-Value | |
| Control group (no MRI participation) | ref. | ref. | ref. | ref. | ref. | ref. | ref. | ref. | ref. |
| MRI participation, no IF | −0.46 | [−0.85, −0.04] | 0.036 | −0.82 | [−1.44, −0.14] | 0.016 | −0.88 | [−1.42, −0.31] | 0.004 |
| MRI participation, with IF | −0.69 | [−1.41, 0.05] | 0.064 | −0.56 | [−1.74, 0.61] | 0.362 | −0.73 | [−1.74, 0.27] | 0.172 |
Publisher’s Note: MDPI stays neutral with regard to jurisdictional claims in published maps and institutional affiliations. |
© 2022 by the authors. Licensee MDPI, Basel, Switzerland. This article is an open access article distributed under the terms and conditions of the Creative Commons Attribution (CC BY) license (https://creativecommons.org/licenses/by/4.0/).
Share and Cite
Korbmacher-Böttcher, D.; Bamberg, F.; Peters, A.; Linkohr, B.; Ladwig, K.-H.; Schwettmann, L.; Weckbach, S.; Schlett, C.L.; Rospleszcz, S. Long-Term Psychosocial Consequences of Whole-Body Magnetic Resonance Imaging and Reporting of Incidental Findings in a Population-Based Cohort Study. Diagnostics 2022, 12, 2356. https://doi.org/10.3390/diagnostics12102356
Korbmacher-Böttcher D, Bamberg F, Peters A, Linkohr B, Ladwig K-H, Schwettmann L, Weckbach S, Schlett CL, Rospleszcz S. Long-Term Psychosocial Consequences of Whole-Body Magnetic Resonance Imaging and Reporting of Incidental Findings in a Population-Based Cohort Study. Diagnostics. 2022; 12(10):2356. https://doi.org/10.3390/diagnostics12102356
Chicago/Turabian StyleKorbmacher-Böttcher, Dorina, Fabian Bamberg, Annette Peters, Birgit Linkohr, Karl-Heinz Ladwig, Lars Schwettmann, Sabine Weckbach, Christopher L. Schlett, and Susanne Rospleszcz. 2022. "Long-Term Psychosocial Consequences of Whole-Body Magnetic Resonance Imaging and Reporting of Incidental Findings in a Population-Based Cohort Study" Diagnostics 12, no. 10: 2356. https://doi.org/10.3390/diagnostics12102356
APA StyleKorbmacher-Böttcher, D., Bamberg, F., Peters, A., Linkohr, B., Ladwig, K.-H., Schwettmann, L., Weckbach, S., Schlett, C. L., & Rospleszcz, S. (2022). Long-Term Psychosocial Consequences of Whole-Body Magnetic Resonance Imaging and Reporting of Incidental Findings in a Population-Based Cohort Study. Diagnostics, 12(10), 2356. https://doi.org/10.3390/diagnostics12102356

