Chlorogenic Acid from Peucedanum japonicum Attenuates TNF-α-Induced Oxidative Stress and Inflammatory Damage in Human Dermal Fibroblasts
Abstract
1. Introduction
2. Materials and Methods
2.1. Plant Sample Acquisition and Handling
2.2. Chemicals and Reagents
2.3. Sample Extraction
2.4. Chromatographic Conditions
2.5. Calibration Curves
2.6. Evaluation of Cytotoxicity
2.7. Evaluation of Intracellular ROS Accumulation
2.8. Quantification of Secreted Proteins by Enzyme-Linked Immunosorbent Assay (ELISA)
2.9. Protein Expression Analysis by Western Blotting
2.10. Real-Time PCR
2.11. Visualizing Anti-Aging Efficacy Using Radar Charts
2.12. Statistical Analysis
3. Results
3.1. Crude Extract Bioactivity Screening
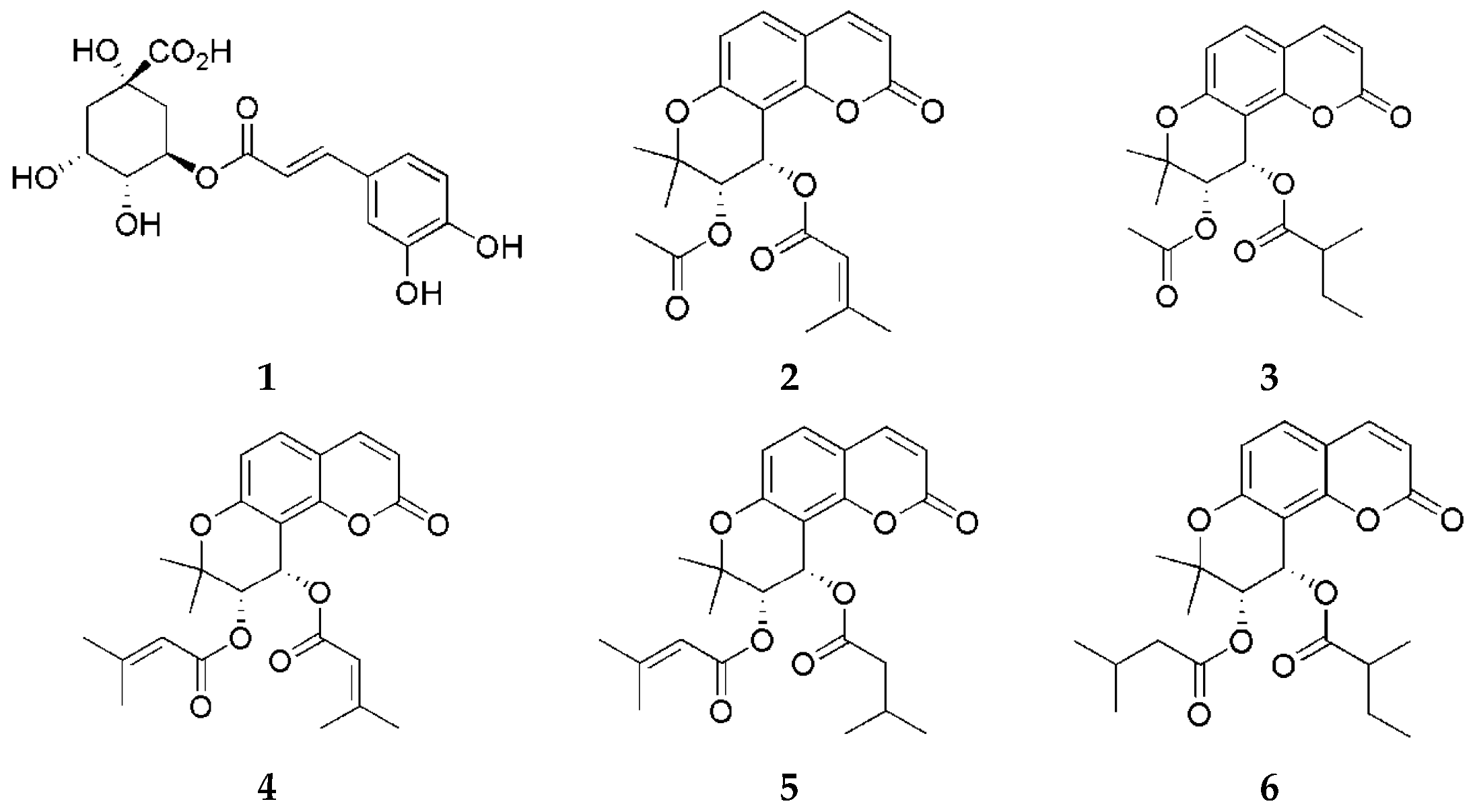
3.2. Quantitative Analysis of Compounds 1–6
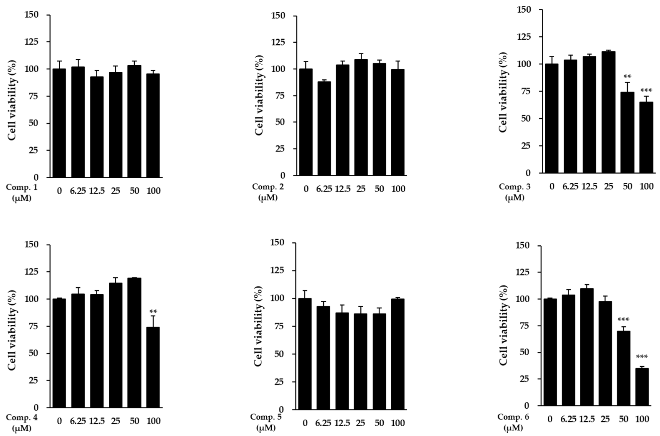
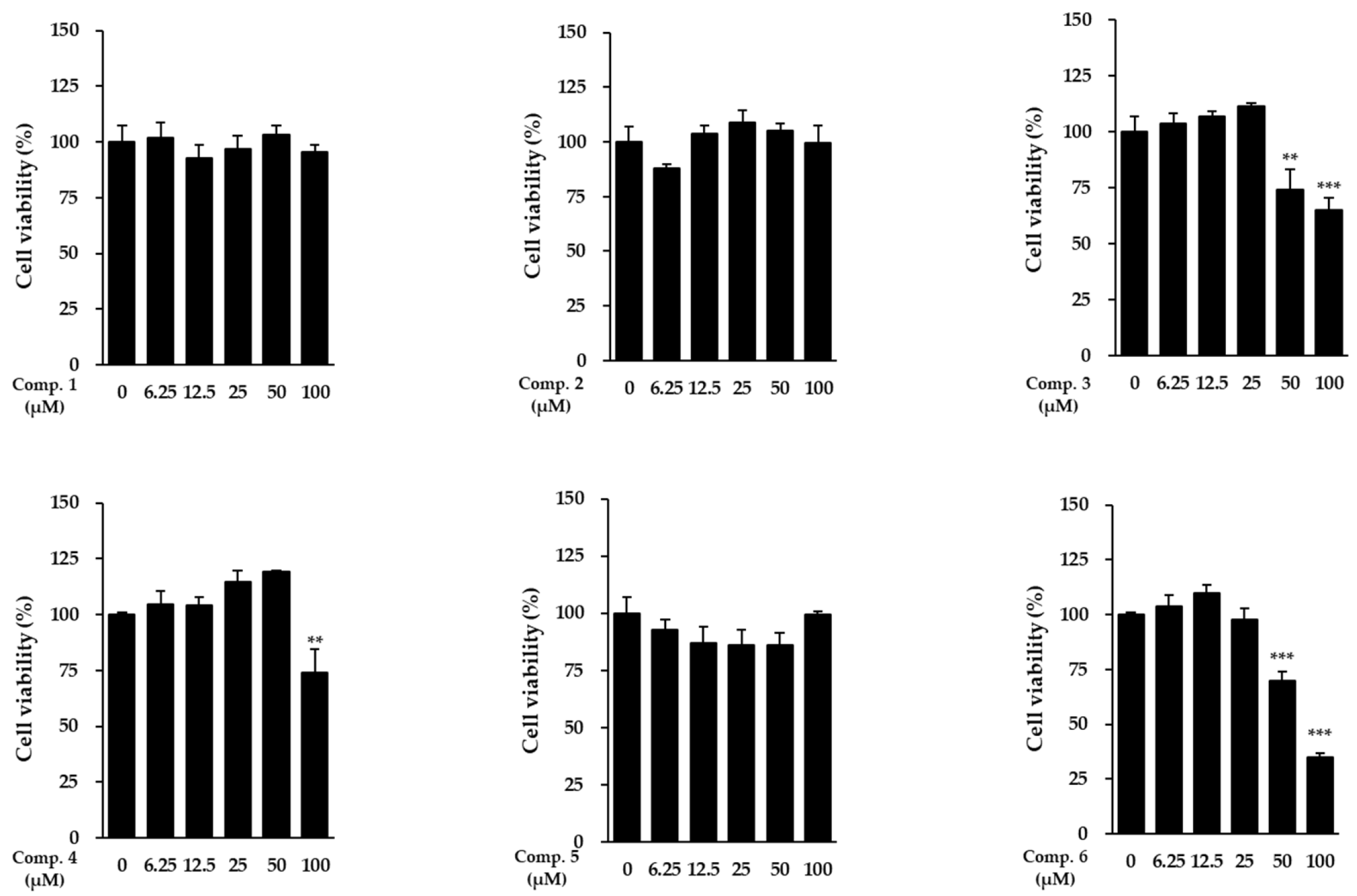
3.3. Effects of the Extracts and Compounds 1–6 on NHDF Cell Viability
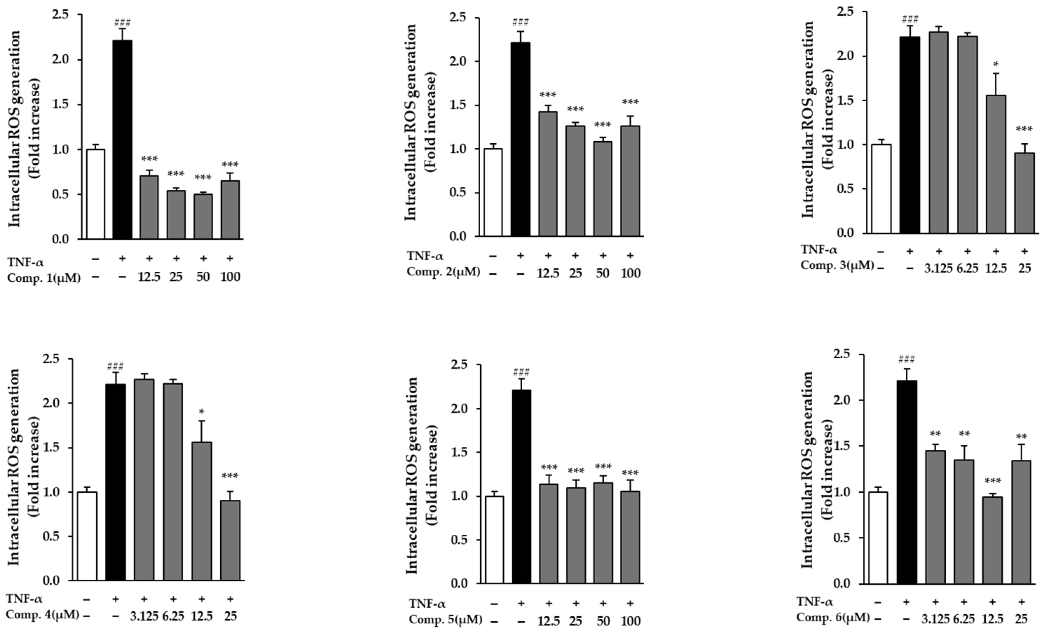
3.4. Effects of Compounds 1–6 on Intracellular ROS Secretion in TNF-α-Stimulated NHDFs
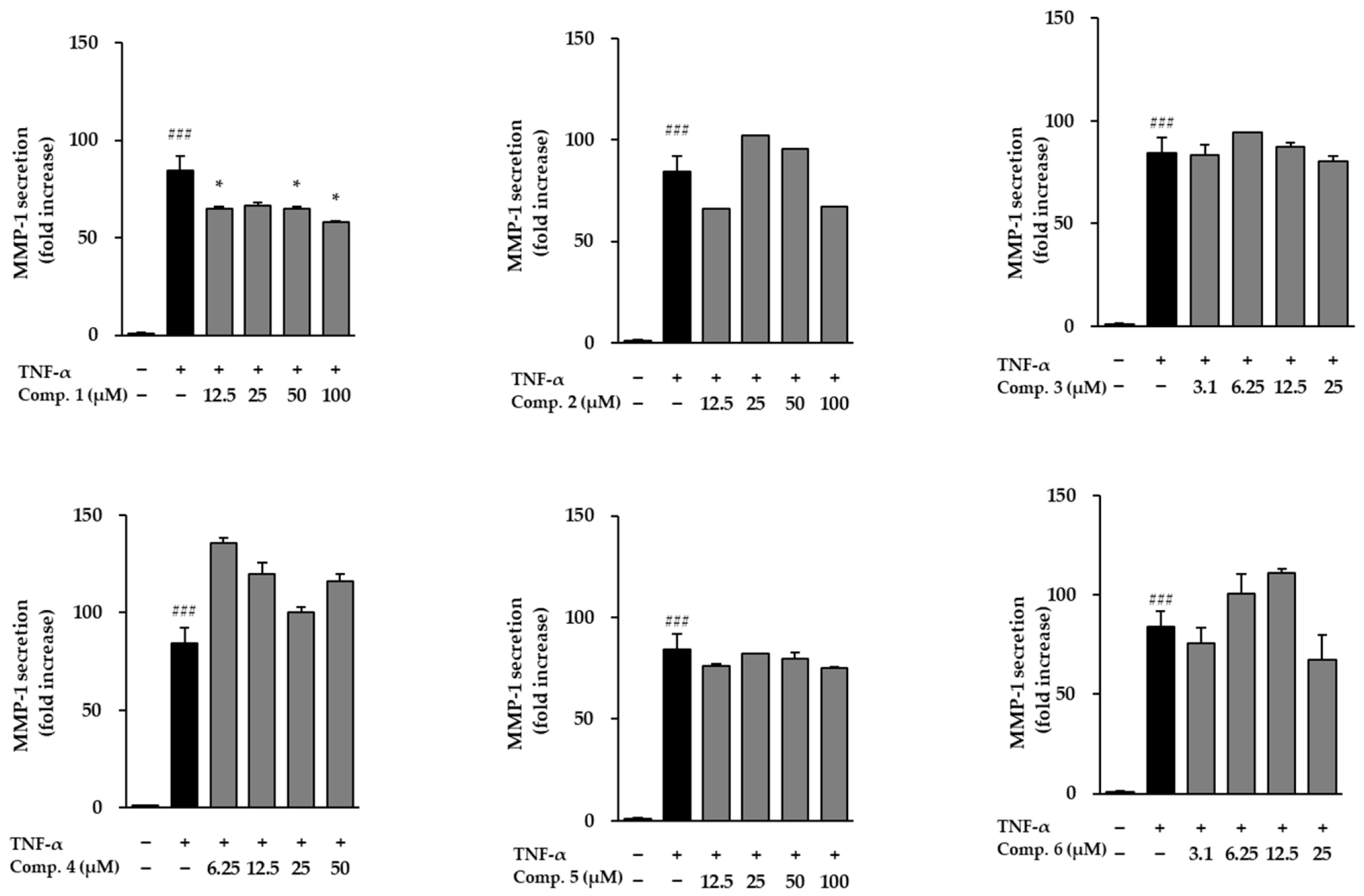
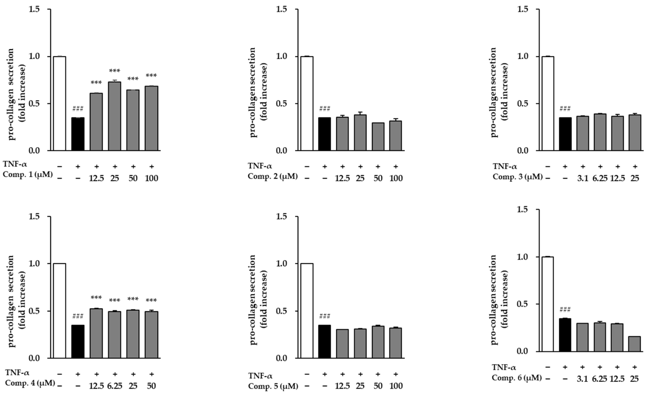
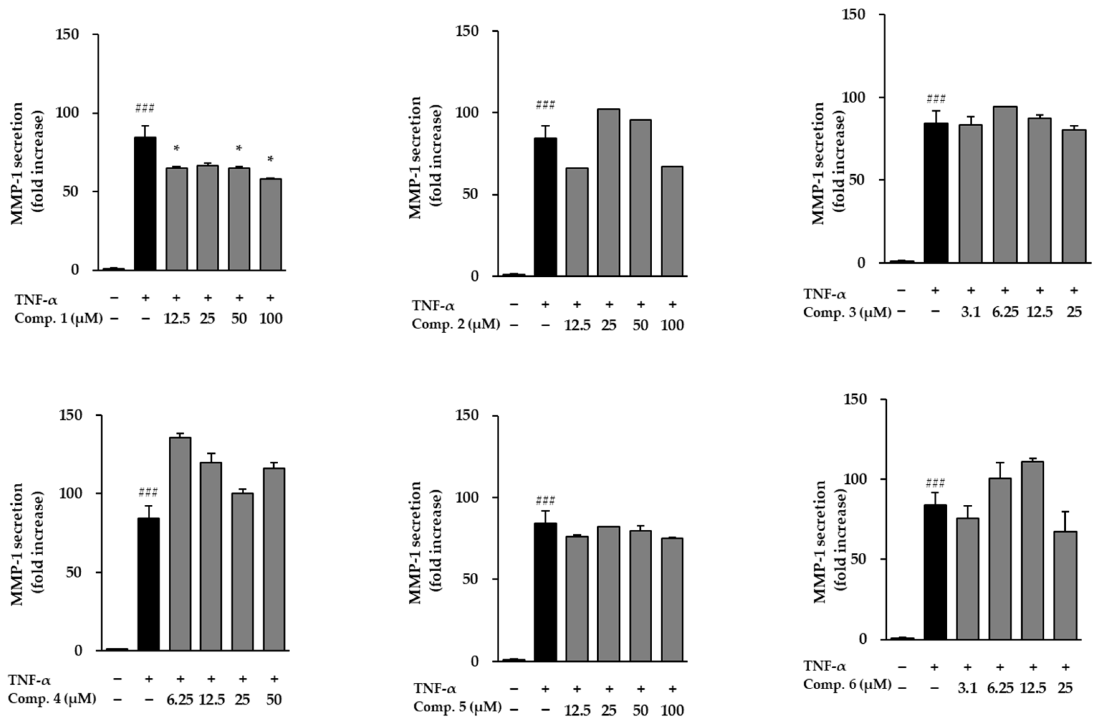
3.5. Effects of Compounds 1–6 on MMP-1 and COL1A1 Protein Secretion in TNF-α-Stimulated NHDFs
3.6. Radar Chart Evaluation of Compounds 1–6 in TNF-α-Stimulated NHDFs
3.7. Effect of Chlorogenic Acid (1) on MAPK Phosphorylation in TNF-α-Stimulated NHDFs
3.8. Effects of Chlorogenic Acid (1) on Pro-Inflammatory Cytokines in TNF-α-Stimulated NHDFs
4. Discussion
5. Conclusions
Author Contributions
Funding
Institutional Review Board Statement
Informed Consent Statement
Data Availability Statement
Acknowledgments
Conflicts of Interest
References
- Papaccio, F.; D’Arino, A.; Caputo, S.; Bellei, B. Focus on the contribution of oxidative stress in skin aging. Antioxidants 2022, 11, 1121. [Google Scholar] [CrossRef] [PubMed]
- Kammeyer, A.; Luiten, R.M. Oxidation events and skin aging. Ageing Res. Rew. 2015, 21, 16–29. [Google Scholar] [CrossRef] [PubMed]
- Pillai, S.; Oresajo, C.; Hayward, J. Ultraviolet radiation and skin aging: Roles of reactive oxygen species, inflammation and protease activation, and strategies for prevention of inflammation-induced matrix degradation—A review. Int. J. Cosmet. Sci. 2005, 27, 17–34. [Google Scholar] [CrossRef] [PubMed]
- Blaser, H.; Dostert, C.; Mak, T.W.; Brenner, D. TNF and ROS crosstalk in inflammation. Trends Cell Biol. 2016, 26, 249–261. [Google Scholar] [CrossRef]
- Zelová, H.; Hošek, J. TNF-α signalling and inflammation: Interactions between old acquaintances. Inflamm. Res. 2013, 62, 641–651. [Google Scholar] [CrossRef]
- Lv, Q.; Long, J.; Gong, Z.; Nong, K.; Liang, X.; Qin, T.; Huang, W.; Yang, L. Current state of knowledge on the antioxidant effects and mechanisms of action of polyphenolic compounds. Nat. Prod. Commun. 2021, 16, 1934578X211027745. [Google Scholar] [CrossRef]
- Bubols, G.B.; Da Rocha Vianna, D.; Medina-Remon, A.; Von Poser, G.; Lamuela-Raventos, R.M.; Eifler-Lima, V.L.; Garcia, S.C. The antioxidant activity of coumarins and flavonoids. Mini-Rev. Med. Chem. 2013, 13, 318–334. [Google Scholar]
- Cuong, D.M.; Yang, S.H.; Kim, J.S.; Moon, J.Y.; Choi, J.; Go, G.M.; Cho, S.K. Evaluation of antioxidant and anti-inflammatory activity and identification of bioactive compound from the marine diatom, Odontella aurita extract. Appl. Biol. Chem. 2024, 67, 12. [Google Scholar] [CrossRef]
- Ahn, S.; Lee, C.; Ku, J.J.; Lee, S.; Lee, S. Anti-aging potential of Cephalotaxus harringtonia extracts: The role of harringtonine and homoharringtonine in skin protection. Appl. Biol. Chem. 2024, 67, 44. [Google Scholar] [CrossRef]
- Hai, T.Q.; Huong, N.T.; Son, N.T. The medicinal plant Peucedanum japonicum Thunberg: A review of traditional use, phytochemistry, and pharmacology. Fitoterapia 2024, 179, 106270. [Google Scholar] [CrossRef]
- Park, J.H.; Kim, J.H.; Shin, J.Y.; Kang, E.S.; Cho, B.O. Anti-inflammatory effects of Peucedanum japonicum Thunberg leaves extract in lipopolysaccharide-stimulated RAW264.7 cells. J. Ethnopharmacol. 2023, 309, 116362. [Google Scholar] [CrossRef] [PubMed]
- Uy, N.P.; Kim, H.; Ku, J.; Lee, S. Regional variations in Peucedanum japonicum antioxidants and phytochemicals. Plants 2024, 13, 377. [Google Scholar] [CrossRef] [PubMed]
- Uy, N.P.; Lee, S.Y.; Kim, J.H.; Yoon, Y.H.; Lee, S. Simultaneous quantification of phenolic compounds in the leaves and roots of Peucedanum japonicum Thunb. using HPLC-PDA with various extraction solvents. Horticulturae 2025, 11, 334. [Google Scholar] [CrossRef]
- Park, S.; Lee, J.; Yeom, M.; Oh, M. Photomorphogenic responses of Crepidiastrum denticulatum to supplemental far-red lighting under white and mixed RGB LED background lights. Hort. Environ. Biotechnol. 2025, 66, 689–700. [Google Scholar] [CrossRef]
- Ahn, S.; Kim, K.A.; Lee, S.; Kim, K.H. Potential skin anti-aging effects of main phenolic compounds, tremulacin and tremuloidin from Salix chaenomeloides leaves on TNF-α-stimulated human dermal fibroblasts. Chem.-Biol. Interact. 2024, 403, 111192. [Google Scholar] [CrossRef]
- Choi, Y.J.; Alishir, A.; Jang, T.; Kang, K.S.; Lee, S.; Kim, K.H. Antiskin aging effects of indole alkaloid N-glycoside from Ginkgo biloba fruit on TNF-α-exposed human dermal fibroblasts. J. Agric. Food Chem. 2022, 70, 13651–13660. [Google Scholar] [CrossRef]
- Kang, M.; Park, S.; Son, S.; Noh, Y.; Jang, D.S.; Lee, S. Anti-aging and anti-inflammatory effects of compounds from fresh Panax ginseng roots: A study on TNF-α/IFN-γ-induced skin cell damage. Molecules 2024, 29, 5479. [Google Scholar] [CrossRef]
- Puizina-Ivić, N. Skin aging. Acta Dermatovenerol. Alp. Pannonica Adriat. 2008, 17, 47–54. [Google Scholar]
- Masaki, H. Role of antioxidants in the skin: Anti-aging effects. J. Dermatol. Sci. 2010, 58, 85–90. [Google Scholar] [CrossRef]
- Rittie, L. UV-light-induced signal cascades and skin aging. Ageing Res. Rev. 2002, 1, 705–720. [Google Scholar] [CrossRef]
- Martins, S.G.; Zilhão, R.; Thorsteinsdóttir, S.; Carlos, A.R. Linking oxidative stress and DNA damage to changes in the expression of extracellular matrix components. Front. Genet. 2021, 12, 673002. [Google Scholar] [CrossRef] [PubMed]
- Liu, H.; Dong, J.; Du, R.; Gao, Y.; Zhao, P. Collagen study advances for photoaging skin. Photodermatol. Photoimmunol. Photomed. 2023, 40, e12931. [Google Scholar] [CrossRef] [PubMed]
- Borg, M.; Brincat, S.; Camilleri, G.; Schembri-Wismayer, P.; Brincat, M.; Calleja-Agius, J. The role of cytokines in skin aging. Climacteric 2013, 16, 514–521. [Google Scholar] [CrossRef] [PubMed]
- Pietta, P. Flavonoids as antioxidant. J. Nat. Prod. 2000, 63, 1035–1042. [Google Scholar] [CrossRef]
- Tundis, R.; Loizzo, M.R.; Bonesi, M.; Menichini, F. Potential role of natural compounds against skin aging. Curr. Med. Chem. 2015, 22, 1515–1538. [Google Scholar] [CrossRef]
- Zhong, J.; Ran, Q.; Han, Y.; Gan, L.; Dong, C. Biosynthetic mechanisms of plant chlorogenic acid from a microbiological perspective. Microorganisms 2025, 13, 1114. [Google Scholar] [CrossRef]
- Reen, F.J.; Gutiérrez-Barranquero, J.A.; Parages, M.L.; O’Gara, F. Coumarin: A novel player in microbial quorum sensing and biofilm formation inhibition. Appl. Microbiol. Biotechnol. 2018, 102, 2063–2073. [Google Scholar] [CrossRef]
- Lee, K.; Park, J.H.; Lee, D.H.; Jo, S.M.; Park, Y.; Kang, T.J. Corchorus olitorius ethanolic extract has anti-inflammatory and wound healing effects in vitro. Nat. Prod. Sci. 2023, 29, 291–296. [Google Scholar] [CrossRef]
- Wu, L. Effect of chlorogenic acid on antioxidant activity of Flos Lonicerae extracts. J. Zhejiang Univ.-Sci. B 2007, 8, 673–679. [Google Scholar] [CrossRef]
- Chen, S.J.; Yuan, W.; Mori, Y.; Levenson, A.; Trojanowska, M.; Varga, J. Stimulation of type I collagen transcription in human skin fibroblasts by TGF-β: Involvement of Smad 3. J. Investig. Dermatol. 1999, 112, 49–57. [Google Scholar] [CrossRef]
- Chung, J.H.; Kang, S.; Varani, J.; Lin, J.; Fisher, G.J.; Voorhees, J.J. Decreased extracellular-signal-regulated kinase and increased stress-activated MAP kinase activities in aged human skin in vivo. J. Investig. Dermatol. 2000, 115, 177–182. [Google Scholar] [CrossRef] [PubMed]
- Mapoung, S.; Umsumarng, S.; Semmarath, W.; Arjsri, P.; Srisawad, K.; Thippraphan, P.; Yodkeeree, S.; Dejkriengkraikul, P. Photoprotective effects of a hyperoside-enriched fraction prepared from Houttuynia cordata Thunb. on ultraviolet B-induced skin aging in human fibroblasts through the MAPK signaling pathway. Plants 2021, 10, 2628. [Google Scholar] [CrossRef] [PubMed]
- Gu, Y.; Xue, F.; Xiao, H.; Chen, L.; Zhang, Y. Bamboo leaf flavonoids suppress oxidative stress-induced senescence of HaCaT cells and UVB-induced photoaging of mice through p38 MAPK and autophagy signaling. Nutrients 2022, 14, 793. [Google Scholar] [CrossRef] [PubMed]
- Girsang, E.; Ginting, C.N.; Lister, I.N.E.; Gunawan, K.Y.; Widowati, W. Anti-inflammatory and antiaging properties of chlorogenic acid on UV-induced fibroblast cell. PeerJ 2021, 9, e11419. [Google Scholar] [CrossRef]
- Du, W.Y.; Xiao, Y.; Yao, J.J.; Hao, Z.; Zhao, Y.B. Chlorogenic acid in the oxidative stress injury triggered by Shuang Huang Lian injection. Exp. Ther. Med. 2018, 16, 2901–2908. [Google Scholar] [CrossRef]
- Andrés, C.M.C.; Pérez de la Lastra, J.M.; Juan, C.A.; Plou, F.J.; Pérez-Lebeña, E. Polyphenols as antioxidant/pro-oxidant compounds and donors of reducing species: Relationship with human antioxidant metabolism. Processes 2023, 11, 2771. [Google Scholar] [CrossRef]
- Lee, K.-H.; Do, H.K.; Kim, D.Y.; Kim, W. Impact of chlorogenic acid on modulation of significant genes in dermal fibroblasts and epidermal keratinocytes. Biochem. Biophys. Res. Commun. 2021, 583, 22–28. [Google Scholar] [CrossRef]
- Xue, N.; Liu, Y.; Jin, J.; Ji, M.; Chen, X. Chlorogenic acid prevents UVA-induced skin photoaging through regulating collagen metabolism and apoptosis in human dermal fibroblasts. Int. J. Mol. Sci. 2022, 23, 6941. [Google Scholar] [CrossRef]
- Boettler, U.; Volz, N.; Pahlke, G.; Teller, N.; Kotyczka, C.; Somoza, V.; Stiebitz, H.; Bytof, G.; Lantz, I.; Lang, R.; et al. Coffees rich in chlorogenic acid or n-methylpyridinium induce chemopreventive phase II-enzymes via the Nrf2/ARE pathway in vitro and in vivo. Mol. Nutr. Food Res. 2011, 55, 798–802. [Google Scholar]










| Extract | Content (mg/g Extract) | ||||||
|---|---|---|---|---|---|---|---|
| 1 | 2 | 3 | 4 | 5 | 6 | Total | |
| YML | 29.98 ± 0.18 | 1.30 ± 0.00 | 7.01 ± 0.04 | 1.36 ± 0.01 | 6.89 ± 0.03 | 12.81 ± 0.06 | 59.35 |
| YMR | 1.08 ± 0.01 | 7.22 ± 0.06 | 11.01 ± 0.10 | 8.50 ± 0.06 | 13.85 ± 0.10 | 8.14 ± 0.06 | 49.80 |
| YAL | 28.52 ± 0.66 | 1.84 ± 0.05 | 9.19 ± 0.24 | 1.42 ± 0.04 | 7.14 ± 0.19 | 12.85 ± 0.34 | 60.96 |
| YAR | 1.38 ± 0.00 | 7.83 ± 0.03 | 15.60 ± 0.06 | 11.65 ± 0.04 | 7.70 ± 9.58 | 10.75 ± 0.04 | 54.91 |
| YNL | 18.07 ± 0.19 | 3.17 ± 0.05 | 7.50 ± 0.12 | 3.54 ± 0.86 | 8.81 ± 2.03 | 10.06 ± 0.15 | 51.15 |
| YNR | 0.44 ± 0.00 | 6.63 ± 0.05 | 7.64 ± 0.06 | 12.62 ± 0.17 | 14.26 ± 0.12 | 5.67 ± 0.04 | 47.26 |
| YML | 29.98 ± 0.18 | 1.30 ± 0.00 | 7.01 ± 0.04 | 1.36 ± 0.01 | 6.89 ± 0.03 | 12.81 ± 0.06 | 59.35 |
Disclaimer/Publisher’s Note: The statements, opinions and data contained in all publications are solely those of the individual author(s) and contributor(s) and not of MDPI and/or the editor(s). MDPI and/or the editor(s) disclaim responsibility for any injury to people or property resulting from any ideas, methods, instructions or products referred to in the content. |
© 2025 by the authors. Licensee MDPI, Basel, Switzerland. This article is an open access article distributed under the terms and conditions of the Creative Commons Attribution (CC BY) license (https://creativecommons.org/licenses/by/4.0/).
Share and Cite
Uy, N.P.; Kang, M.; Kim, J.H.; Hoon, Y.H.; Lee, S.; Lee, S. Chlorogenic Acid from Peucedanum japonicum Attenuates TNF-α-Induced Oxidative Stress and Inflammatory Damage in Human Dermal Fibroblasts. Life 2025, 15, 1934. https://doi.org/10.3390/life15121934
Uy NP, Kang M, Kim JH, Hoon YH, Lee S, Lee S. Chlorogenic Acid from Peucedanum japonicum Attenuates TNF-α-Induced Oxidative Stress and Inflammatory Damage in Human Dermal Fibroblasts. Life. 2025; 15(12):1934. https://doi.org/10.3390/life15121934
Chicago/Turabian StyleUy, Neil Patrick, Minseo Kang, Jang Hoon Kim, Young Ho Hoon, Sanghyun Lee, and Sullim Lee. 2025. "Chlorogenic Acid from Peucedanum japonicum Attenuates TNF-α-Induced Oxidative Stress and Inflammatory Damage in Human Dermal Fibroblasts" Life 15, no. 12: 1934. https://doi.org/10.3390/life15121934
APA StyleUy, N. P., Kang, M., Kim, J. H., Hoon, Y. H., Lee, S., & Lee, S. (2025). Chlorogenic Acid from Peucedanum japonicum Attenuates TNF-α-Induced Oxidative Stress and Inflammatory Damage in Human Dermal Fibroblasts. Life, 15(12), 1934. https://doi.org/10.3390/life15121934

