Lyophilized Cell-Free Supernatants of Lacticaseibacillus paracasei T0901 Isolated from Fermented Palm Sap Exhibit Antiacne and Antimelanogenic Activities in B16F10 Melanoma Cells
Abstract
1. Introduction
2. Materials and Methods
2.1. Bacterial Strains and Culture Conditions
2.2. Preparation of CFS
2.3. Lyophilization
2.4. Agar Well-Diffusion Assay
2.5. Minimal Inhibitory Concentration (MIC) and Minimal Bactericidal Concentration (MBC) Assays
2.6. Biofilm Inhibition Assay
2.7. Biofilm Eradication Assays
2.8. Tyrosinase Inhibition Assay
2.9. Cell Viability Assay
2.10. Trypan Blue Dye Exclusion Assay
2.11. Measurement of Melanin Content
2.12. Cellular Tyrosinase Activity Assay
2.13. WGS and Functional Gene Annotation Analysis
2.14. Molecular Docking
2.14.1. Generation of 3D Structural Models
2.14.2. Protein–Protein Docking Simulation
2.14.3. Interaction Analysis
2.14.4. Statistical Analysis
3. Results
3.1. LCFS Derived from L. paracasei T0901 Exhibits Antimicrobial Activity Against the Tested Acne-Associated Bacteria
3.2. LCFS from L. paracasei T0901 Inhibits Biofilm Formation and Eradicates Established Biofilms of Acne-Associated Bacteria
3.3. LCFS Derived from L. paracasei T0901 Exhibits Moderate Inhibition of Mushroom tyrosinase Activity
3.4. LCFS Derived from L. paracasei T0901 Does Not Affect B16F10 Cell Viability
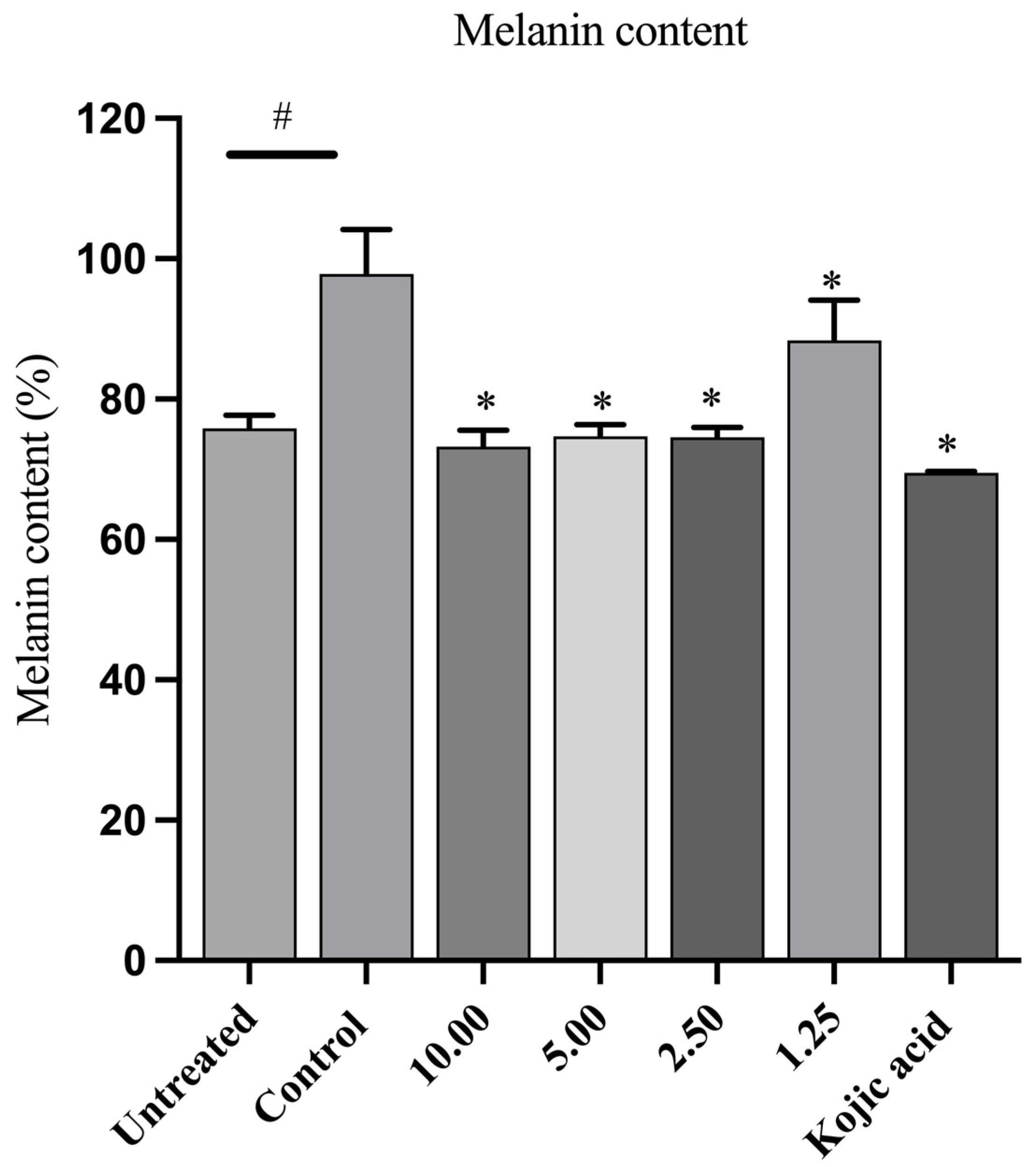
3.5. Effects of LCFS from L. paracasei T0901 on Melanin Content
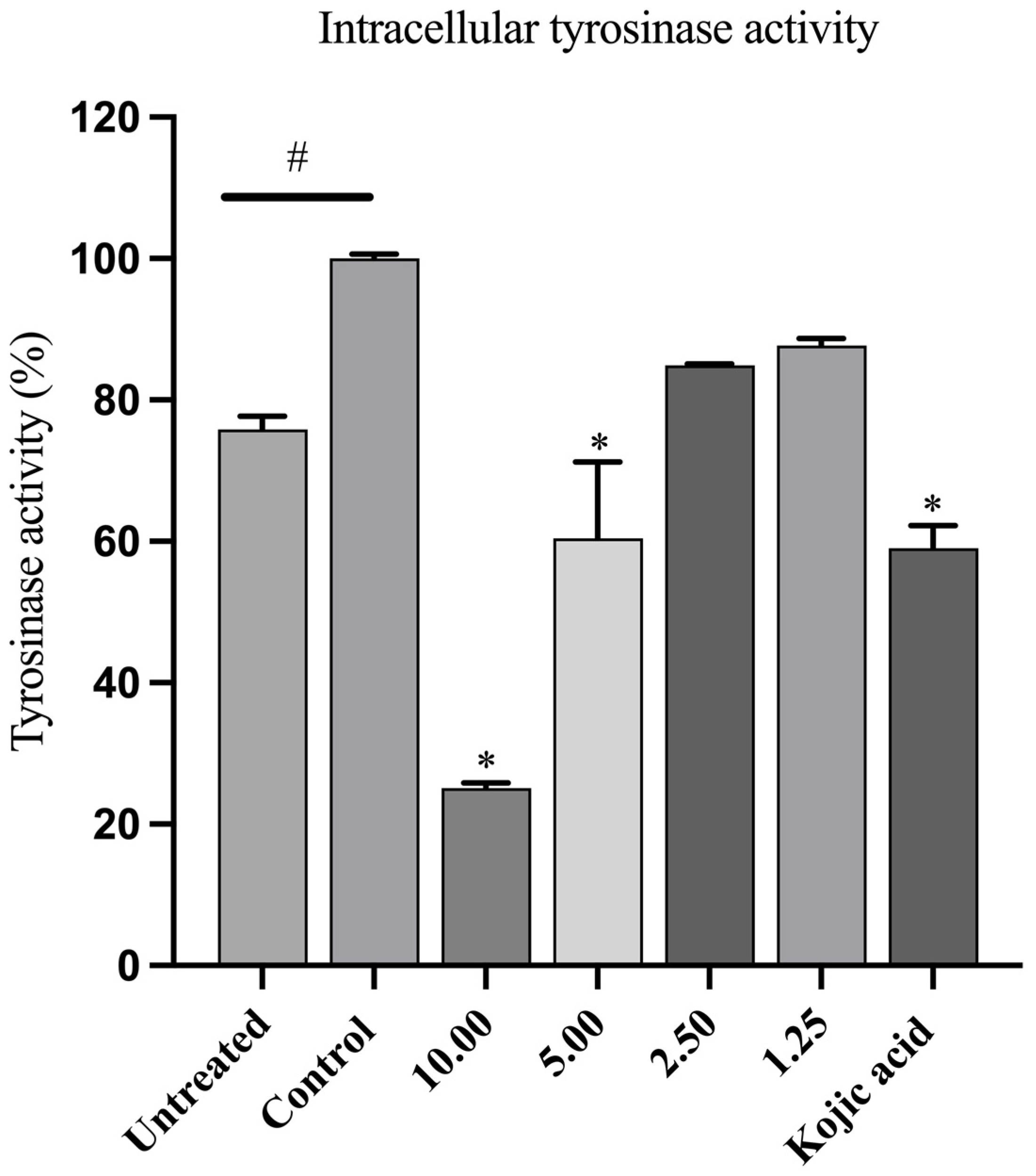
3.6. LCFS from L. paracasei T0901 Inhibits Cellular Tyrosinase Activity in α-MSH-Stimulated B16F10 Cells
3.7. WGS and Functional Gene Annotation
3.8. Molecular Docking and Interaction Profile
4. Discussion
5. Conclusions
Supplementary Materials
Author Contributions
Funding
Institutional Review Board Statement
Informed Consent Statement
Data Availability Statement
Acknowledgments
Conflicts of Interest
References
- Deng, Y.; Wang, F.; He, L. Skin Barrier Dysfunction in Acne Vulgaris: Pathogenesis and Therapeutic Approaches. Med. Sci. Monit. 2024, 30, e945336. [Google Scholar] [CrossRef]
- Knutsen-Larson, S.; Dawson, A.L.; Dunnick, C.A.; Dellavalle, R.P. Acne vulgaris: Pathogenesis, treatment, and needs assessment. Dermatol. Clin. 2012, 30, 99–106. [Google Scholar] [CrossRef]
- Karkoszka, M.; Rok, J.; Wrześniok, D. Melanin Biopolymers in Pharmacology and Medicine-Skin Pigmentation Disorders, Implications for Drug Action, Adverse Effects and Therapy. Pharmaceuticals 2024, 17, 521. [Google Scholar] [CrossRef]
- Brenner, M.; Hearing, V.J. The protective role of melanin against UV damage in human skin. Photochem. Photobiol. 2008, 84, 539–549. [Google Scholar] [CrossRef]
- Yamaguchi, Y.; Hearing, V. Physiological factors that regulate skin pigmentation. BioFactors 2009, 35, 193–199. [Google Scholar] [CrossRef]
- Guermazi, D.; Saliba, E. The Genetics and Evolution of Human Pigmentation. Biology 2025, 14, 1026. [Google Scholar] [CrossRef]
- Wohlrab, J.; Kreft, D. Niacinamide—Mechanisms of action and its topical use in dermatology. Skin Pharmacol. Physiol. 2014, 27, 311–315. [Google Scholar] [CrossRef] [PubMed]
- Saeedi, M.; Eslamifar, M.; Khezri, K. Kojic acid applications in cosmetic and pharmaceutical preparations. Biomed. Pharmacother. 2019, 110, 582–593. [Google Scholar] [CrossRef] [PubMed]
- Pillaiyar, T.; Manickam, M.; Namasivayam, V. Skin whitening agents: Medicinal chemistry perspective of tyrosinase inhibitors. J. Enzym. Inhib. Med. Chem. 2017, 32, 403–425. [Google Scholar] [CrossRef] [PubMed]
- Neto, C.; Nascimento, P.; Silveira, V.; Mattos, A.; Bertol, C. Natural Sources of Melanogenic Inhibitors: A Systematic Review. Int. J. Cosmet. Sci. 2022, 44, 143–153. [Google Scholar] [CrossRef]
- Puebla-Barragan, S.; Reid, G. Probiotics in Cosmetic and Personal Care Products: Trends and Challenges. Molecules 2021, 26, 1249. [Google Scholar] [CrossRef]
- Zeng, M.; Li, Y.; Cheng, J.; Wang, J.; Liu, Q. Prebiotic Oligosaccharides in Skin Health: Benefits, Mechanisms, and Cosmetic Applications. Antioxidants 2025, 14, 754. [Google Scholar] [CrossRef]
- Son, E. The potential of probiotics derived from functional foods for skin health. Czech J. Food Sci. 2025, 43, 235–245. [Google Scholar] [CrossRef]
- Future Market Insights. Probiotic Skincare Ingredients Market. 12 October 2025. Available online: https://www.futuremarketinsights.com/reports/probiotic-skincare-ingredients-market (accessed on 1 November 2025).
- Hill, C.; Guarner, F.; Reid, G.; Gibson, G.R.; Merenstein, D.J.; Pot, B.; Morelli, L.; Canani, R.B.; Flint, H.J.; Salminen, S.; et al. Expert consensus document. The International Scientific Association for Probiotics and Prebiotics consensus statement on the scope and appropriate use of the term probiotic. Nat. Rev. Gastroenterol. Hepatol. 2014, 11, 506–514. [Google Scholar] [CrossRef]
- Suez, J.; Zmora, N.; Segal, E.; Elinav, E. The pros, cons, and many unknowns of probiotics. Nat. Med. 2019, 25, 716–729. [Google Scholar] [CrossRef] [PubMed]
- Li, Z.; Li, P.; Xu, Y.; Yan, C.; Ma, X.; Wang, H.; Cheng, H.; Zeng, J.; Li, T.; Li, X.; et al. Efficacy of a Postbiotic Formulation Combined With Microneedling for Mild-to-Moderate Acne: A Self-Control Study. J. Cosmet. Dermatol. 2025, 24, e16703. [Google Scholar] [CrossRef] [PubMed]
- Sornsenee, P.; Chatatikun, M.; Mitsuwan, W.; Kongpol, K.; Kooltheat, N.; Sohbenalee, S.; Pruksaphanrat, S.; Mudpan, A.; Romyasamit, C. Lyophilized cell-free supernatants of Lactobacillus isolates exhibited antibiofilm, antioxidant, and reduces nitric oxide activity in lipopolysaccharide-stimulated RAW 264.7 cells. PeerJ 2021, 9, e12586. [Google Scholar] [CrossRef] [PubMed]
- Sornsenee, P.; Kooltheat, N.; Wongprot, D.; Suksabay, P.; Nam, T.G.; Permpoon, U.; Saengsuwan, P.; Romyasamit, C. Antibacterial, Antioxidant, and Anti-inflammatory Activities of Lacticaseibacillus paracasei Lysates Isolated from Fermented Palm Sap. Probiotics Antimicrob Proteins 2025. [Google Scholar] [CrossRef]
- Machado, P.; Ribeiro, F.N.; Giublin, F.C.W.; Mieres, N.G.; Tonin, F.S.; Pontarolo, R.; Sari, M.H.M.; Lazo, R.E.L.; Ferreira, L.M. Next-Generation Wound Care: A Scoping Review on Probiotic, Prebiotic, Synbiotic, and Postbiotic Cutaneous Formulations. Pharmaceuticals 2025, 18, 704. [Google Scholar] [CrossRef]
- Bustamante, M.; Oomah, B.D.; Oliveira, W.P.; Burgos-Díaz, C.; Rubilar, M.; Shene, C. Probiotics and prebiotics potential for the care of skin, female urogenital tract, and respiratory tract. Folia Microbiol. 2020, 65, 245–264. [Google Scholar] [CrossRef]
- Knackstedt, R.; Knackstedt, T.; Gatherwright, J. The role of topical probiotics in skin conditions: A systematic review of animal and human studies and implications for future therapies. Exp. Dermatol. 2020, 29, 15–21. [Google Scholar] [CrossRef]
- Eguren, C.; Navarro-Blasco, A.; Corral-Forteza, M.; Reolid-Pérez, A.; Setó-Torrent, N.; García-Navarro, A.; Prieto-Merino, D.; Núñez-Delegido, E.; Sánchez-Pellicer, P.; Navarro-López, V. A Randomized Clinical Trial to Evaluate the Efficacy of an Oral Probiotic in Acne Vulgaris. Acta Derm.-Venereol. 2024, 104, adv33206. [Google Scholar] [CrossRef]
- Li, Y.; Hu, X.; Dong, G.; Wang, X.; Liu, T. Acne treatment: Research progress and new perspectives. Front. Med. 2024, 11, 1425675. [Google Scholar] [CrossRef] [PubMed]
- Tsai, W.H.; Chou, C.H.; Chiang, Y.J.; Lin, C.G.; Lee, C.H. Regulatory effects of Lactobacillus plantarum-GMNL6 on human skin health by improving skin microbiome. Int. J. Med. Sci. 2021, 18, 1114–1120. [Google Scholar] [CrossRef] [PubMed]
- Chae, M.; Kim, B.J.; Na, J.; Kim, S.-Y.; Lee, J.O.; Kim, Y.-J.; Lee, E.; Cho, D.; Roh, J.; Kim, W. Antimicrobial activity of Lactiplantibacillus plantarum APsulloc 331261 and APsulloc 331266 against pathogenic skin microbiota. FBE 2021, 13, 237–248. [Google Scholar] [CrossRef]
- Meng, Z.; Oh, S. Antioxidant and Antimelanogenic Activities of Kimchi-Derived Limosilactobacillus fermentum JNU532 in B16F10 Melanoma Cells. J. Microbiol. Biotechnol. 2021, 31, 990–998. [Google Scholar] [CrossRef] [PubMed]
- Lee, S.; Park, H.O.; Yoo, W. Anti-Melanogenic and Antioxidant Effects of Cell-Free Supernatant from Lactobacillus gasseri BNR17. Microorganisms 2022, 10, 788. [Google Scholar] [CrossRef]
- Sornsenee, P.; Singkhamanan, K.; Sangkhathat, S.; Saengsuwan, P.; Romyasamit, C. Probiotic Properties of Lactobacillus Species Isolated from Fermented Palm Sap in Thailand. Probiotics Antimicrob Proteins 2021, 13, 957–969. [Google Scholar] [CrossRef]
- Romyasamit, C.; Thatrimontrichai, A.; Aroonkesorn, A.; Chanket, W.; Ingviya, N.; Saengsuwan, P.; Singkhamanan, K. Enterococcus faecalis Isolated From Infant Feces Inhibits Toxigenic Clostridioides (Clostridium) difficile. Front. Pediatr. 2020, 8, 572633. [Google Scholar] [CrossRef]
- Li, M.; Liu, Z.; He, J.; Jiang, J.; Shang, D.; Dong, W. Trp-containing Peptides with Therapeutic Potential for Cutibacterium acnes Infection. Probiotics Antimicrob. Proteins 2025. [Google Scholar] [CrossRef]
- Yang, K.M.; Kim, J.-S.; Kim, H.-S.; Kim, Y.-Y.; Oh, J.-K.; Jung, H.-W.; Park, D.-S.; Bae, K.-H. Lactobacillus reuteri AN417 cell-free culture supernatant as a novel antibacterial agent targeting oral pathogenic bacteria. Sci. Rep. 2021, 11, 1631. [Google Scholar] [CrossRef]
- Perumal, S.; Mahmud, R. Chemical analysis, inhibition of biofilm formation and biofilm eradication potential of Euphorbia hirta L. against clinical isolates and standard strains. BMC Complement. Altern. Med. 2013, 13, 346. [Google Scholar] [CrossRef]
- Lee, J.E.; An, B.J.; Jo, C.; Min, B.; Paik, H.D.; Ahn, D.U. The elastase and melanogenesis inhibitory and anti-inflammatory activities of phosvitin phosphopeptides produced using high-temperature and mild-pressure (HTMP) pretreatment and enzyme hydrolysis combinations. Poult. Sci. 2023, 102, 102680. [Google Scholar] [CrossRef] [PubMed]
- Kooltheat, N.; Tedasen, A.; Yamasaki, K.; Chatatikun, M. Melanogenesis Inhibitory Activity, Chemical Components and Molecular Docking Studies of Prunus cerasoides Buch.-Ham. D. Don. Flowers. J. Evid.-Based Integr. Med. 2023, 28, 2515690X231152928. [Google Scholar] [CrossRef] [PubMed]
- Lee, H.-W.; Lee, Y.-R.; Park, K.-M.; Lee, N.-K.; Paik, H.-D. Antimelanogenic and Antioxidant Effects of Postbioics of Lactobacillus Strains in α-MSH-Induced B16F10 Melanoma Cells via CREB/MITF and MAPKs Signaling Pathway. J. Microbiol. Biotechnol. 2024, 34, 2279–2289. [Google Scholar] [PubMed]
- van Heel, A.J.; de Jong, A.; Song, C.X.; Viel, J.H.; Kok, J.; Kuipers, O.P. BAGEL4: A user-friendly web server to thoroughly mine RiPPs and bacteriocins. Nucleic Acids Res. 2018, 46, W278–W281. [Google Scholar] [CrossRef]
- Varadi, M.; Anyango, S.; Deshpande, M.; Nair, S.; Natassia, C.; Yordanova, G.; Yuan, D.; Stroe, O.; Wood, G.; Laydon, A.; et al. AlphaFold Protein Structure Database: Massively expanding the structural coverage of protein-sequence space with high-accuracy models. Nucleic Acids Res. 2022, 50, D439–D444. [Google Scholar] [CrossRef]
- Varadi, M.; Bertoni, D.; Magana, P.; Paramval, U.; Pidruchna, I.; Radhakrishnan, M.; Tsenkov, M.; Nair, S.; Mirdita, M.; Yeo, J.; et al. AlphaFold Protein Structure Database in 2024: Providing structure coverage for over 214 million protein sequences. Nucleic Acids Res. 2024, 52, D368–D375. [Google Scholar] [CrossRef]
- Yan, Y.; Tao, H.; He, J.; Huang, S.-Y. The HDOCK server for integrated protein–protein docking. Nat. Protoc. 2020, 15, 1829–1852. [Google Scholar] [CrossRef]
- Salentin, S.; Schreiber, S.; Haupt, V.J.; Adasme, M.F.; Schroeder, M. PLIP: Fully automated protein-ligand interaction profiler. Nucleic Acids Res. 2015, 43, W443–W447. [Google Scholar] [CrossRef]
- Yadav, M.K.; Kumari, I.; Singh, B.; Sharma, K.K.; Tiwari, S.K. Probiotics, prebiotics and synbiotics: Safe options for next-generation therapeutics. Appl. Microbiol. Biotechnol. 2022, 106, 505–521. [Google Scholar] [CrossRef] [PubMed]
- Kok, C.R.; Hutkins, R. Yogurt and other fermented foods as sources of health-promoting bacteria. Nutr. Rev. 2018, 76 (Suppl. S1), 4–15. [Google Scholar] [CrossRef] [PubMed]
- Kullar, R.; Goldstein, E.J.C.; Johnson, S.; McFarland, L.V. Lactobacillus Bacteremia and Probiotics: A Review. Microorganisms 2023, 11, 896. [Google Scholar] [CrossRef]
- Huang, H.C.; Lee, I.J.; Huang, C.; Chang, T.M. Lactic Acid Bacteria and Lactic Acid for Skin Health and Melanogenesis Inhibition. Curr. Pharm. Biotechnol. 2020, 21, 566–577. [Google Scholar] [CrossRef]
- Scott, E.; Burkhart, C. A Review of the Role of C. Acnes and its Biofilm in Dandruff Pathogenesis. J. Drugs Dermatol. 2025, 24, 566–569. [Google Scholar] [CrossRef]
- Kreouzi, M.; Theodorakis, N.; Nikolaou, M.; Feretzakis, G.; Anastasiou, A.; Kalodanis, K.; Sakagianni, A. Skin Microbiota: Mediator of Interactions Between Metabolic Disorders and Cutaneous Health and Disease. Microorganisms 2025, 13, 161. [Google Scholar] [CrossRef] [PubMed]
- Salini, F.; Iacumin, L.; Comi, G.; Dicks, L.M.T. Thermophilin 13: In Silico Analysis Provides New Insight in Genes Involved in Bacteriocin Production. Microorganisms. 2023, 11, 611. [Google Scholar] [CrossRef]
- Leisner, J.J.; Laursen, B.G.; Prévost, H.; Drider, D.; Dalgaard, P. Carnobacterium: Positive and negative effects in the environment and in foods. FEMS Microbiol. Rev. 2007, 31, 592–613. [Google Scholar] [CrossRef]
- Wu, Y.; Pang, X.; Wu, Y.; Liu, X.; Zhang, X. Enterocins: Classification, Synthesis, Antibacterial Mechanisms and Food Applications. Molecules 2022, 27, 2258. [Google Scholar] [CrossRef]
- Du, R.; Ping, W.; Ge, J. Purification, characterization and mechanism of action of enterocin HDX-2, a novel class IIa bacteriocin produced by Enterococcus faecium HDX-2. LWT 2022, 153, 112451. [Google Scholar] [CrossRef]
- Sornsenee, P.; Surachat, K.; Kang, D.-K.; Mendoza, R.; Romyasamit, C. Probiotic Insights from the Genomic Exploration of Lacticaseibacillus paracasei Strains Isolated from Fermented Palm Sap. Foods 2024, 13, 1773. [Google Scholar] [CrossRef] [PubMed]
- Xu, J.; Chen, X.; Song, J.; Wang, C.; Xu, W.; Tan, H.; Suo, H. Antibacterial activity and mechanism of cell-free supernatants of Lacticaseibacillus paracasei against Propionibacterium acnes. Microb. Pathog. 2024, 189, 106598. [Google Scholar] [CrossRef] [PubMed]
- D’Mello, S.A.; Finlay, G.J.; Baguley, B.C.; Askarian-Amiri, M.E. Signaling pathways in melanogenesis. Int. J. Mol. Sci. 2016, 17, 1144. [Google Scholar] [CrossRef] [PubMed]
- Xiao, X.; Hu, X.; Yao, J.; Cao, W.; Zou, Z.; Wang, L.; Qin, H.; Zhong, D.; Li, Y.; Xue, P.; et al. The role of short-chain fatty acids in inflammatory skin diseases. Front. Microbiol. 2022, 13, 1083432. [Google Scholar] [CrossRef]
- Di Chiano, M.; Rocchetti, M.T.; Spano, G.; Russo, P.; Allegretta, C.; Milior, G.; Gadaleta, R.M.; Sallustio, F.; Pontrelli, P.; Gesualdo, L.; et al. Lactobacilli Cell-Free Supernatants Modulate Inflammation and Oxidative Stress in Human Microglia via NRF2-SOD1 Signaling. Cell. Mol. Neurobiol. 2024, 44, 60. [Google Scholar] [CrossRef]





| Isolates | Antimicrobial Activity (mg/mL) | |||||
|---|---|---|---|---|---|---|
| Cutibacterium acnes ATCC 6919 | Staphylococcus epidermidis DMST 15548 | Staphylococcus aureus DMST 4745 | ||||
| MIC | MBC | MIC | MBC | MIC | MBC | |
| LCFS from Lacticaseibacillus paracasei T0901 | 25 | >50 | 25 | >50 | 25 | >50 |
Disclaimer/Publisher’s Note: The statements, opinions and data contained in all publications are solely those of the individual author(s) and contributor(s) and not of MDPI and/or the editor(s). MDPI and/or the editor(s) disclaim responsibility for any injury to people or property resulting from any ideas, methods, instructions or products referred to in the content. |
© 2025 by the authors. Licensee MDPI, Basel, Switzerland. This article is an open access article distributed under the terms and conditions of the Creative Commons Attribution (CC BY) license (https://creativecommons.org/licenses/by/4.0/).
Share and Cite
Sornsenee, P.; Kooltheat, N.; Pattaranggoon, N.C.; Surachat, K.; Monteil, A.; Romyasamit, C. Lyophilized Cell-Free Supernatants of Lacticaseibacillus paracasei T0901 Isolated from Fermented Palm Sap Exhibit Antiacne and Antimelanogenic Activities in B16F10 Melanoma Cells. Life 2025, 15, 1866. https://doi.org/10.3390/life15121866
Sornsenee P, Kooltheat N, Pattaranggoon NC, Surachat K, Monteil A, Romyasamit C. Lyophilized Cell-Free Supernatants of Lacticaseibacillus paracasei T0901 Isolated from Fermented Palm Sap Exhibit Antiacne and Antimelanogenic Activities in B16F10 Melanoma Cells. Life. 2025; 15(12):1866. https://doi.org/10.3390/life15121866
Chicago/Turabian StyleSornsenee, Phoomjai, Nateelak Kooltheat, Nawanwat C. Pattaranggoon, Komwit Surachat, Arnaud Monteil, and Chonticha Romyasamit. 2025. "Lyophilized Cell-Free Supernatants of Lacticaseibacillus paracasei T0901 Isolated from Fermented Palm Sap Exhibit Antiacne and Antimelanogenic Activities in B16F10 Melanoma Cells" Life 15, no. 12: 1866. https://doi.org/10.3390/life15121866
APA StyleSornsenee, P., Kooltheat, N., Pattaranggoon, N. C., Surachat, K., Monteil, A., & Romyasamit, C. (2025). Lyophilized Cell-Free Supernatants of Lacticaseibacillus paracasei T0901 Isolated from Fermented Palm Sap Exhibit Antiacne and Antimelanogenic Activities in B16F10 Melanoma Cells. Life, 15(12), 1866. https://doi.org/10.3390/life15121866

