Comparison of Triglyceride-Glucose Index Indices and Fatty Liver Index in Predicting Metabolic Dysfunction-Associated Fatty Liver Disease: A Cross-Sectional Study Conducted in Vietnam
Abstract
1. Introduction
2. Methods
2.1. Study Design and Setting
2.2. Data Collection
2.3. Indices and Calculations
TyG-BMI = TyG × BMI; TyG-WC = TyG × WC (cm)
2.4. Diagnostic Criteria for MAFLD
2.5. Statistical Analysis
3. Results
4. Discussion
5. Conclusions
Author Contributions
Funding
Institutional Review Board Statement
Informed Consent Statement
Data Availability Statement
Acknowledgments
Conflicts of Interest
List of Abbreviations
References
- Cheemerla, S.; Balakrishnan, M. Global Epidemiology of Chronic Liver Disease. Clin. Liver Dis. 2021, 17, 365–370. [Google Scholar] [CrossRef]
- Eslam, M.; Sanyal, A.J.; George, J.; International Consensus Panel. MAFLD: A Consensus-Driven Proposed Nomenclature for Metabolic Associated Fatty Liver Disease. Gastroenterology 2020, 158, 1999–2014.el. [Google Scholar] [CrossRef]
- Eslam, M.; Newsome, P.N.; Sarin, S.K.; Anstee, Q.M.; Targher, G.; Romero-Gomez, M.; Zelber-Sagi, S.; Wong, V.W.-S.; Dufour, J.-F.; Schattenberg, J.M.; et al. A new definition for metabolic dysfunction-associated fatty liver disease: An international expert consensus statement. J. Hepatol. 2020, 73, 202–209. [Google Scholar] [CrossRef]
- Eslam, M.; Fan, J.-G.; Yu, M.-L.; Wong, V.W.-S.; Cua, I.H.; Liu, C.-J.; Tanwandee, T.; Gani, R.; Seto, W.-K.; Alam, S.; et al. The Asian Pacific association for the study of the liver clinical practice guidelines for the diagnosis and management of metabolic dysfunction-associated fatty liver disease. Hepatol. Int. 2025, 19, 261–301. [Google Scholar] [CrossRef] [PubMed]
- Lu, N.L.; Lam, H.T.; Vo, T.D. Prevalence of metabolic dysfunction-associated fatty liver disease among health check-up attendees: A retrospective study conducted in Vietnam. World J. Gastroenterol. 2025, 31, 110797. [Google Scholar] [CrossRef] [PubMed]
- Sumida, Y.; Nakajima, A.; Itoh, Y. Limitations of liver biopsy and non-invasive diagnostic tests for the diagnosis of nonalcoholic fatty liver disease/nonalcoholic steatohepatitis. World J. Gastroenterol. 2014, 20, 475–485. [Google Scholar] [CrossRef]
- Jang, W.; Song, J.S. Non-Invasive Imaging Methods to Evaluate Non-Alcoholic Fatty Liver Disease with Fat Quantification: A Review. Diagnostics 2023, 13, 1852. [Google Scholar] [CrossRef]
- European Association for the Study of the Liver (EASL); European Association for the Study of Diabetes (EASD); European Association for the Study of Obesity (EASO). EASL-EASD-EASO Clinical Practice Guidelines for the management of non-alcoholic fatty liver disease. Diabetologia 2016, 59, 1121–1140. [Google Scholar] [CrossRef] [PubMed]
- Selvi, N.M.K.; Nandhini, S.; Sakthivadivel, V.; Lokesh, S.; Srinivasan, A.R.; Sumathi, S. Association of Triglyceride-Glucose Index (TyG index) with HbA1c and Insulin Resistance in Type 2 Diabetes Mellitus. Maedica 2021, 16, 375–381. [Google Scholar] [CrossRef]
- Kuchay, M.S.; Choudhary, N.S.; Mishra, S.K. Pathophysiological mechanisms underlying MAFLD. Diabetes Metab. Syndr. 2020, 14, 1875–1887. [Google Scholar] [CrossRef]
- Zhang, P.; Mo, D.; Zeng, W.; Dai, H. Association between triglyceride-glucose related indices and all-cause and cardiovascular mortality among the population with cardiovascular-kidney-metabolic syndrome stage 0-3: A cohort study. Cardiovasc. Diabetol. 2025, 24, 92. [Google Scholar] [CrossRef]
- Kim, A.H.; Son, D.H.; Lee, Y.J. Modified triglyceride-glucose index indices are reliable markers for predicting risk of metabolic dysfunction-associated fatty liver disease: A cross-sectional study. Front. Endocrinol. (Lausanne) 2024, 14, 1308265. [Google Scholar] [CrossRef]
- Zou, H.; Ma, X.; Zhang, F.; Xie, Y. Comparison of the diagnostic performance of twelve noninvasive scores of metabolic dysfunction-associated fatty liver disease. Lipids Health Dis. 2023, 22, 145. [Google Scholar] [CrossRef] [PubMed]
- Xue, Y.; Xu, J.; Li, M.; Gao, Y. Potential screening indicators for early diagnosis of NAFLD/MAFLD and liver fibrosis: Triglyceride glucose index-related parameters. Front. Endocrinol. 2022, 13, 951689. [Google Scholar] [CrossRef]
- Song, S.; Son, D.H.; Baik, S.J.; Cho, W.J.; Lee, Y.J. Triglyceride Glucose-Waist Circumference (TyG-WC) Is a Reliable Marker to Predict Non-Alcoholic Fatty Liver Disease. Biomedicines 2022, 10, 2251. [Google Scholar] [CrossRef]
- Bedogni, G.; Bellentani, S.; Miglioli, L.; Masutti, F.; Passalacqua, M.; Castiglione, A.; Tiribelli, C. The Fatty Liver Index: A simple and accurate predictor of hepatic steatosis in the general population. BMC Gastroenterol. 2006, 6, 33. [Google Scholar] [CrossRef] [PubMed]
- Thong, V.D.; Quynh, B.T.H. Correlation of Serum Transaminase Levels with Liver Fibrosis Assessed by Transient Elastography in Vietnamese Patients with Nonalcoholic Fatty Liver Disease. Int. J. Gen. Med. 2021, 14, 1349–1355. [Google Scholar] [CrossRef] [PubMed]
- Thong, V.D. Investigation of factors associated with the severity of nonalcoholic fatty liver disease. Vietnam Med. J. 2020, 4962, 109–112. [Google Scholar]
- Thong, V.D. Influence of the genetic factor of SNP rs266729 in the ADIPOQ gene on nonalcoholic fatty liver disease. Vietnam Med. J. 2020, 497, 57–61. [Google Scholar]
- Ministry of Health and World Health Organization. National Survey on Noncommunicable Disease Risk Factors in Vietnam 2021; Medical Publishing House: Hanoi, Vietnam, 2023. [Google Scholar]
- Walton, K.; Wang, T.W.; Prutzman, Y.; Jamal, A.; Babb, S.D. Characteristics and Correlates of Recent Successful Cessation Among Adult Cigarette Smokers, United States, 2018. Prev. Chronic Dis. 2020, 17, E154. [Google Scholar] [CrossRef]
- Ministry of Health. Decision No. 4946/QD-BYT Dated December 31, 2020: Guidelines for Screening and Harm Reduction Interventions for Individuals at Health Risk from Alcohol Consumption in Primary Health Care Facilities and in the Community. Ministry of Health Website. Published 31 December 2020. Available online: https://thuviennhadat.vn/van-ban-phap-luat-viet-nam/decision-4946-qd-byt-2020-reduce-negative-effects-for-persons-facing-alcohol-related-health-risks-463453.html (accessed on 19 April 2025).
- World Health Organization Regional Office for the Western Pacific. The Asia Pacific Perspective: Redefining Obesity and Its Treatment; Health Communications Australia: Sydney, Australia, 2000. [Google Scholar]
- World Health Organization. Waist Circumference and Waist-Hip Ratio: Report of a WHO Expert Consultation, Geneva, 8–11 December 2008; World Health Organization: Geneva, Switzerland, 2011. [Google Scholar]
- McEvoy, J.W.; McCarthy, C.P.; Bruno, R.M.; Brouwers, S.; Canavan, M.D.; Ceconi, C.; Christodorescu, R.M.; Daskalopoulou, S.S.; Ferro, C.J.; Gerdts, E.; et al. 2024 ESC Guidelines for the management of elevated blood pressure and hypertension. Eur. Heart J. 2024, 45, 3912–4018. [Google Scholar] [CrossRef] [PubMed]
- Ministry of Health. Decision No. 3879/QD-BYT Dated September 30, 2014: Guidelines for Diagnosis and Treatment of Endocrine and Metabolic Diseases. Ministry of Health Website. Published 2015. Available online: https://kcb.vn/thu-vien-tai-lieu/huong-dan-chan-doan-va-dieu-tri-benh-noi-tiet-chuyen-hoa.html (accessed on 14 May 2025).
- ElSayed, N.A.; Aleppo, G.; Aroda, V.R.; Bannuru, R.R.; Brown, F.M.; Bruemmer, D.; Collins, B.S.; Hilliard, M.E.; Isaacs, D.; Johnson, E.L.; et al. 2. Classification and Diagnosis of Diabetes: Standards of Care in Diabetes-2023. Diabetes Care 2023, 46, S19–S40. [Google Scholar] [CrossRef] [PubMed]
- Simental-Mendía, L.E.; Rodríguez-Morán, M.; Guerrero-Romero, F. The product of fasting glucose and triglycerides as surrogate for identifying insulin resistance in apparently healthy subjects. Metab. Syndr. Relat. Disord. 2008, 6, 299–304. [Google Scholar] [CrossRef] [PubMed]
- Khamseh, M.E.; Malek, M.; Abbasi, R.; Taheri, H.; Lahouti, M.; Alaei-Shahmiri, F. Triglyceride Glucose Index and Related Parameters (Triglyceride Glucose-Body Mass Index and Triglyceride Glucose-Waist Circumference) Identify Nonalcoholic Fatty Liver and Liver Fibrosis in Individuals with Overweight/Obesity. Metab. Syndr. Relat. Disord. 2021, 19, 167–173. [Google Scholar] [CrossRef]
- Sun, J.; Yan, C.; Wen, J.; Wang, F.; Wu, H.; Xu, F. Association between different obesity patterns and the risk of NAFLD detected by transient elastography: A cross-sectional study. BMC Gastroenterol. 2024, 24, 221. [Google Scholar] [CrossRef]

| Variables | Total (n = 290) | Non-MAFLD (n = 195) | MAFLD (n = 95) | p Value |
|---|---|---|---|---|
| Demographic parameters | ||||
| Age (years) | 39 (33–47) | 37 (32–45) | 40 (34–48) | 0.034 |
| Gender, n (%) | ||||
| Female | 159 (54.83) | 129 (66.15) | 30 (31.58) | <0.001 |
| Male | 131 (45.17) | 66 (33.85) | 65 (68.42) | |
| Anthropometric parameters | ||||
| BMI (kg/m2) | 22.86 (21.08–25.40) | 22.10 (20.03–23.44) | 25.76 (24–28.57) | <0.001 |
| Waist circumference (cm) | 82 (76–87) | 79 (74–84) | 87 (83–95) | <0.001 |
| SBP (mmHg) | 124 (115–133) | 120 (111–130) | 132 (123–138) | <0.001 |
| DBP (mmHg) | 80 (74–88) | 79 (70–85) | 85 (80–89) | <0.001 |
| Lifestyle factors | ||||
| Current smoker, n (%) | 34 (11.72) | 17 (8.72) | 17 (17.89) | 0.023 |
| Alcohol consumption, n (%) | 85 (29.31) | 48 (24.62) | 37 (38.95) | 0.012 |
| Regular exercise, n (%) | 203 (70) | 131 (67.18) | 72 (75.79) | 0.133 |
| Medical history | ||||
| Hypertension, n (%) | 46 (15.86) | 21 (10.77) | 25 (26.32) | 0.001 |
| T2DM, n (%) | 4 (1.38) | 0 (0) | 4 (4.21) | 0.004 |
| Dyslipidemia, n (%) | 270 (93.10) | 176 (90.26) | 94 (98.95) | 0.006 |
| Serum test | ||||
| FPG (mg/dL) | 92 (88–97) | 90 (86–96) | 96 (90–103) | <0.001 |
| HbA1c (%) | 5.49 (5.2–5.75) | 5.4 (5.13–5.62) | 5.67 (5.4–5.93) | <0.001 |
| Total cholesterol (mg/dL) | 197 (178–228) | 193 (174–216) | 208 (185–239) | 0.001 |
| Triglyceride (mg/dL) | 108.5 (72–168) | 90 (63–128) | 168 (114–253) | <0.001 |
| HDL-C (mg/dL) | 50 (43–59) | 53 (45–61) | 44 (40–52) | <0.001 |
| LDL-C (mg/dL) | 134.84 ± 30.46 | 130.63 ± 30.34 | 143.49 ± 28.99 | <0.001 |
| AST (U/L) | 22 (18–26) | 21 (17–24) | 25 (20–31) | <0.001 |
| ALT (U/L) | 17 (12–28) | 14 (10–23) | 27 (18–40) | <0.001 |
| GGT (U/L) | 27 (16–52) | 21 (13–34) | 51 (35–82) | <0.001 |
| Indices | ||||
| TyG index | 8.49 (8.08–8.99) | 8.33 (7.94–8.71) | 8.99 (8.62–9.45) | <0.001 |
| TyG-BMI | 197.08 (173.13–222.61) | 182.64 (163.63–199.64) | 231.10 (211.58–258.80) | <0.001 |
| TyG-WC | 698.61 (626.18–776.16) | 647.43 (600.28–711.49) | 783.70 (741.51–852.91) | <0.001 |
| FLI | 21.05 (8.10–49.10) | 10.98 (5.67–25.58) | 57.75 (38.17–78.08) | <0.001 |
| Model 1 | Model 2 | Model 3 | ||||||||
|---|---|---|---|---|---|---|---|---|---|---|
| OR | 95% CI | p Value | OR | 95% CI | p Value | OR | 95% CI | p Value | ||
| TyG | Q1 | 1 | - | - | 1 | - | 0.205 | 1 | - | - |
| Q2 | 3.11 | 0.94–10.28 | 0.063 | 2.23 | 0.65–7.70 | <0.001 | 1.64 | 0.44–6.12 | 0.465 | |
| Q3 | 14.23 | 4.70–43.11 | <0.001 | 9.45 | 2.96–30.15 | <0.001 | 7.13 | 2.09–24.40 | 0.002 | |
| Q4 | 32.43 | 10.60–99.26 | <0.001 | 19.67 | 6.01–64.39 | <0.001 | 10.40 | 2.95–36.73 | <0.001 | |
| TyG-BMI | Q1 | 1 | - | - | 1 | - | - | 1 | - | - |
| Q2 | 10.29 | 1.27–83.45 | 0.029 | 7.78 | 0.94–64.29 | 0.057 | 10.11 | 1.04–98.62 | 0.047 | |
| Q3 | 42.26 | 5.55–321.75 | <0.001 | 27.85 | 3.56–217.96 | 0.002 | 34.46 | 3.78–314.08 | 0.002 | |
| Q4 | 298.29 | 38.09–2335.71 | <0.001 | 202.02 | 25.32–1611.87 | <0.001 | 200.80 | 20.58–1958.99 | <0.001 | |
| TyG-WC | Q1 | 1 | - | - | 1 | - | - | 1 | - | - |
| Q2 | 12.98 | 1.63–103.44 | 0.015 | 11.66 | 1.45–93.98 | 0.021 | 11.23 | 1.35–93.44 | 0.025 | |
| Q3 | 50.23 | 6.61–381.66 | <0.001 | 42.03 | 5.37–328.77 | <0.001 | 36.32 | 4.51–292.35 | 0.001 | |
| Q4 | 200.84 | 26.06–1547.58 | <0.001 | 161.58 | 19.89–1312.67 | <0.001 | 98.89 | 11.33–862.92 | <0.001 | |
| FLI | Q1 | 1 | - | - | 1 | - | - | 1 | - | - |
| Q2 | 10.29 | 1.27–83.45 | 0.029 | 9.36 | 1.14–77.07 | 0.038 | 7.77 | 0.91–66.05 | 0.060 | |
| Q3 | 50.23 | 6.61–381.66 | <0.001 | 43.00 | 5.42–341.03 | <0.001 | 39.90 | 4.83–329.92 | 0.001 | |
| Q4 | 232.94 | 30.07–1804.23 | <0.001 | 204.79 | 24.95–1681.01 | <0.001 | 193.16 | 19.86–1878.79 | <0.001 | |
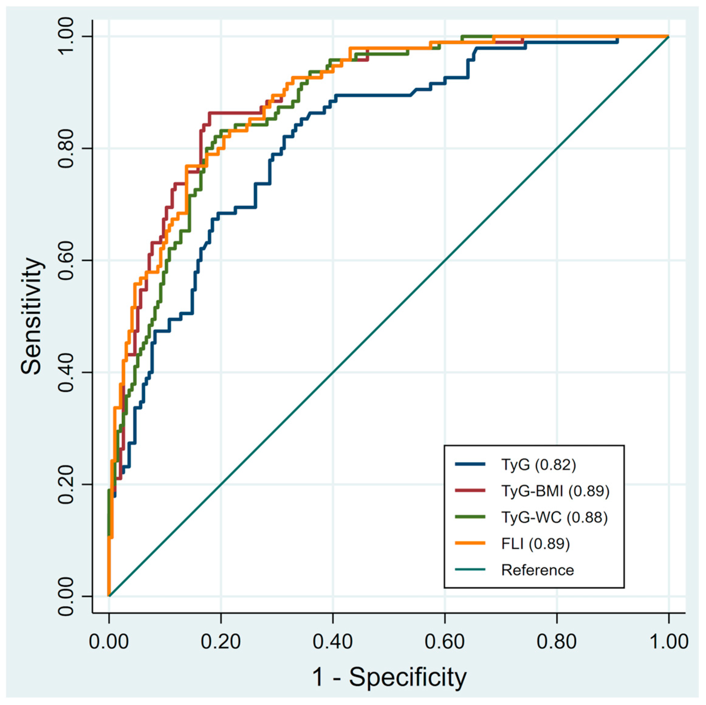
| Index | AUROC | 95% CI | Cutoff Value | SEN (%) | SPE (%) | PPV (%) | NPV (%) | p Value |
|---|---|---|---|---|---|---|---|---|
| All participants | ||||||||
| TyG index | 0.82 | 0.77–0.87 | 8.48 | 85 | 66 | 54.7 | 90.1 | <0.001 |
| TyG-BMI | 0.89 | 0.86–0.93 | 202.85 | 86 | 82 | 70.1 | 92.5 | 0.839 |
| TyG-WC | 0.88 | 0.84–0.92 | 725.13 | 83 | 80 | 66.9 | 90.7 | 0.167 |
| FLI | 0.89 | 0.86–0.93 | 37.57 | 77 | 86 | 73 | 88.4 | - |
| Male | ||||||||
| TyG index | 0.73 | 0.65–0.82 | 8.80 | 74 | 64 | 66.7 | 71.2 | <0.001 |
| TyG-BMI | 0.85 | 0.79–0.92 | 202.85 | 89 | 68 | 73.4 | 86.5 | 0.923 |
| TyG-WC | 0.83 | 0.77–0.90 | 728.52 | 91 | 64 | 71.1 | 87.5 | 0.393 |
| FLI | 0.85 | 0.79–0.91 | 37.62 | 86 | 71 | 74.7 | 83.9 | - |
| Female | ||||||||
| TyG index | 0.83 | 0.75–0.91 | 8.45 | 83 | 72 | 41.0 | 94.9 | 0.054 |
| TyG-BMI | 0.91 | 0.86–0.96 | 205.71 | 80 | 90 | 64.9 | 95.1 | 0.431 |
| TyG-WC | 0.88 | 0.83–0.94 | 685.80 | 90 | 79 | 50.0 | 97.1% | 0.282 |
| FLI | 0.90 | 0.84–0.95 | 12.89 | 93 | 75 | 46.7 | 98.0 | - |
Disclaimer/Publisher’s Note: The statements, opinions and data contained in all publications are solely those of the individual author(s) and contributor(s) and not of MDPI and/or the editor(s). MDPI and/or the editor(s) disclaim responsibility for any injury to people or property resulting from any ideas, methods, instructions or products referred to in the content. |
© 2025 by the authors. Licensee MDPI, Basel, Switzerland. This article is an open access article distributed under the terms and conditions of the Creative Commons Attribution (CC BY) license (https://creativecommons.org/licenses/by/4.0/).
Share and Cite
Nguyen, L.N.B.; Vo, T.D. Comparison of Triglyceride-Glucose Index Indices and Fatty Liver Index in Predicting Metabolic Dysfunction-Associated Fatty Liver Disease: A Cross-Sectional Study Conducted in Vietnam. Life 2025, 15, 1702. https://doi.org/10.3390/life15111702
Nguyen LNB, Vo TD. Comparison of Triglyceride-Glucose Index Indices and Fatty Liver Index in Predicting Metabolic Dysfunction-Associated Fatty Liver Disease: A Cross-Sectional Study Conducted in Vietnam. Life. 2025; 15(11):1702. https://doi.org/10.3390/life15111702
Chicago/Turabian StyleNguyen, Linh Nhat Boi, and Thong Duy Vo. 2025. "Comparison of Triglyceride-Glucose Index Indices and Fatty Liver Index in Predicting Metabolic Dysfunction-Associated Fatty Liver Disease: A Cross-Sectional Study Conducted in Vietnam" Life 15, no. 11: 1702. https://doi.org/10.3390/life15111702
APA StyleNguyen, L. N. B., & Vo, T. D. (2025). Comparison of Triglyceride-Glucose Index Indices and Fatty Liver Index in Predicting Metabolic Dysfunction-Associated Fatty Liver Disease: A Cross-Sectional Study Conducted in Vietnam. Life, 15(11), 1702. https://doi.org/10.3390/life15111702

