Bioremediation of Per- and Poly-Fluoroalkyl Substances (PFAS) by Synechocystis sp. PCC 6803: A Chassis for a Synthetic Biology Approach
Abstract
:1. Introduction
2. Materials and Methods
2.1. Organism, Growth Medium, and Equipment
2.2. Respirometric Tests
2.3. Analytical Measurements
2.4. Statistical Analysis
2.5. Bioinformatics
3. Results and Discussion
3.1. Assessment of Short-Term Toxicity of PFOS and PFOA at Low and High Concentrations on Synechocystis sps PCC6803
3.2. Mid- and Long-Term Effect of PFAS Exposure on Synechocystis Growth
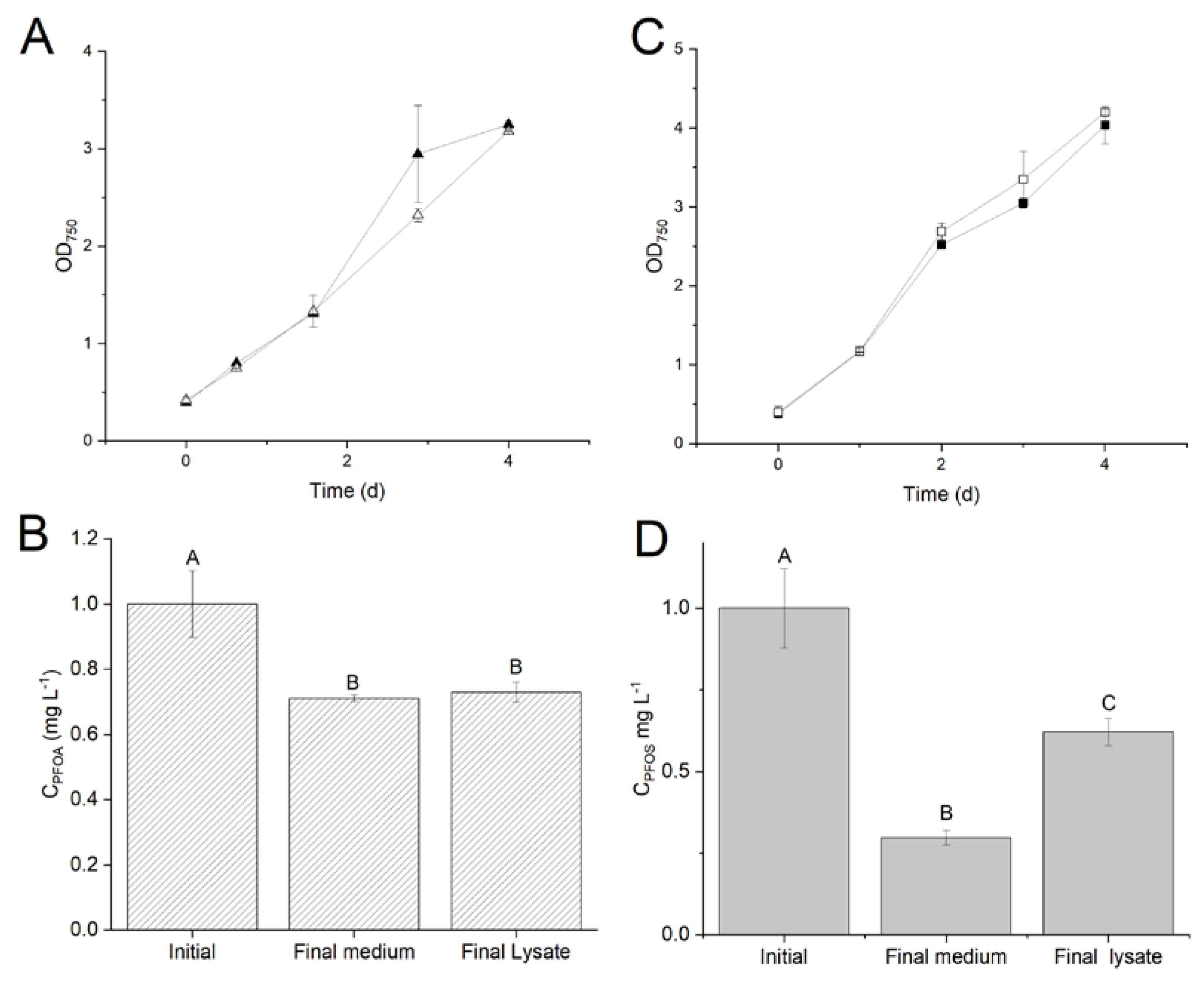
3.2.1. Effect of PFOA and PFOS in Batch Experiments
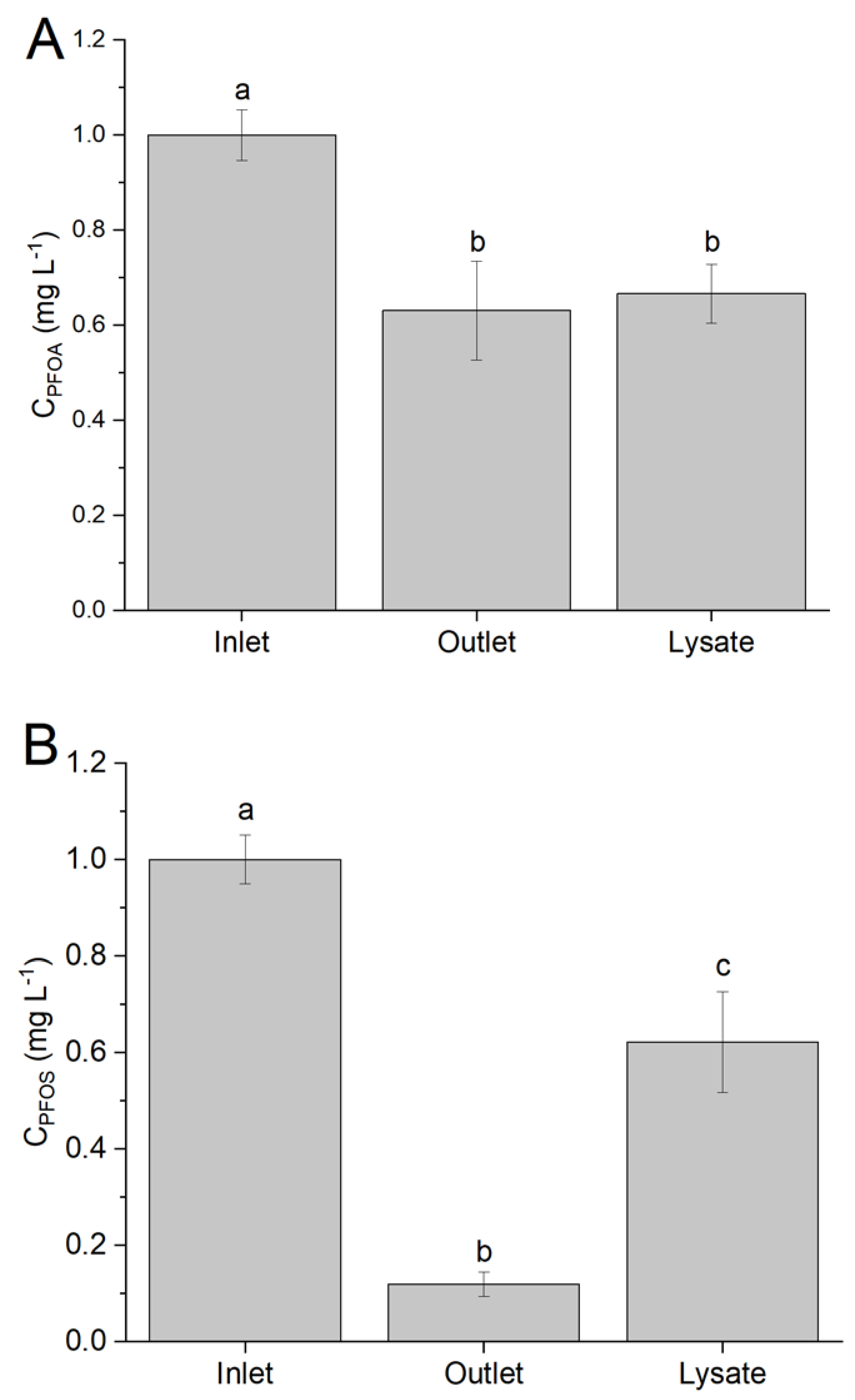
3.2.2. Experiments in a Continuous Reactor
3.3. Search for Synechocystis Proteins Possibly Involved in PFASs Transport and Metabolism
3.4. Search for Possible PFAS Metabolites
4. Conclusions
Supplementary Materials
Author Contributions
Funding
Institutional Review Board Statement
Informed Consent Statement
Acknowledgments
Conflicts of Interest
Nomenclature
| VR | Volume of the reactor [mL] |
| Ci,e | Concentration of compound found in inlet or initial water samples [mg L−1] |
| Ci,ext | Concentration of compound found in the filtrated sample at the end of batch experiment or in the outlet [mg L−1] |
| Ci,lys | Concentration of compound found in the lysate sample at the end of batch experiment or in the outlet [mg L−1] |
| Cx | Biomass concentration [g L−1] |
| HRT | Hydraulic Residence Time [d] |
| PA | Areal biomass productivity [g m−2 d−1] |
| Px | Volumetric biomass productivity [g L−1 d−1] |
| Q | volumetric flow rate [mL−1 d−1] |
| rAi | Areal removal rate [mg L−1 m2 d−1] |
| ri | Removal rate [mg L−1 d−1] |
| W | Depth of reactor [m2] |
| %Ci,bio | Fraction of compound internalized by the biomass but released after cell disruption [a.u.] |
| %Di | Fraction of compound not detectable in the sample [a.u] |
| %Ri | Fraction of compound removed from the medium, but not found in the supernatant [a.u.] |
Abbreviations
| CSTR | Continuously Stirred Tank Reactor |
| DO | Dissolved Oxygen |
| DW | Dry Weight |
| ESI | Electrospray Ionization |
| OPR | Oxygen Production Rate |
| OCR | Oxygen Consumption Rate |
| PFAS | Per- and poly-FluoroAlkyl Substances |
| PFOA | Perfluorooctanoic acid |
| PFOS | Perfluorooctane sulfonate |
References
- ITRC. PFAS Fact Sheets PFAS. Available online: https://pfas-1.itrcweb.org/ (accessed on 27 October 2019).
- Buck, R.C.; Franklin, J.; Berger, U.; Conder, J.M.; Cousins, I.T.; de Voogt, P.; Jensen, A.A.; Kannan, K.; Mabury, S.A.; van Leeuwen, S.P. Perfluoroalkyl and Polyfluoroalkyl Substances in the Environment: Terminology, Classification, and Origins. Integr. Environ. Assess. Manag. 2011, 7, 513–541. [Google Scholar] [CrossRef]
- Parsons, J.R.; Sáez, M.; Dolfing, J.; de Voogt, P. Biodegradation of Perfluorinated Compounds. In Reviews of Environmental Contamination and Toxicology; Whitacre, D.M., Ed.; Springer: New York, NY, USA, 2008; Volume 196, pp. 53–71. ISBN 978-0-387-78444-1. [Google Scholar]
- Wang, S.; Yang, Q.; Chen, F.; Sun, J.; Luo, K.; Yao, F.; Wang, X.; Wang, D.; Li, X.; Zeng, G. Photocatalytic Degradation of Perfluorooctanoic Acid and Perfluorooctane Sulfonate in Water: A Critical Review. Chem. Eng. J. 2017, 328, 927–942. [Google Scholar] [CrossRef]
- Ahrens, L.; Bundschuh, M. Fate and Effects of Poly- and Perfluoroalkyl Substances in the Aquatic Environment: A Review. Environ. Toxicol. Chem. 2014, 33, 1921–1929. [Google Scholar] [CrossRef]
- Rayne, S.; Forest, K. Perfluoroalkyl Sulfonic and Carboxylic Acids: A Critical Review of Physicochemical Properties, Levels and Patterns in Waters and Wastewaters, and Treatment Methods. J. Environ. Sci. Health Part A 2009, 44, 1145–1199. [Google Scholar] [CrossRef]
- World Health Organization. Keeping Our Water Clean: The Case of Water Contamination in the Veneto Region, Italy; WHO: Geneva, Switzerland, 2017; ISBN 978 92 890 5246 7. [Google Scholar]
- Pitter, G.; Da Re, F.; Canova, C.; Barbieri, G.; Zare Jeddi, M.; Daprà, F.; Manea, F.; Zolin, R.; Bettega, A.M.; Stopazzolo, G.; et al. Serum Levels of Perfluoroalkyl Substances (PFAS) in Adolescents and Young Adults Exposed to Contaminated Drinking Water in the Veneto Region, Italy: A Cross-Sectional Study Based on a Health Surveillance Program. Environ. Health Perspect. 2020, 128, 027007. [Google Scholar] [CrossRef] [PubMed] [Green Version]
- Commission Regulation (EU) 2017/1510 Amending the Appendices to Annex XVII to Regulation (EC) No. 1907/2006 of the European Parliament and of the Council Concerning the Registration, Evaluation, Authorisation and Restriction of Chemicals (REACH) as Regards CMR Substances. Available online: https://www.ecolex.org/details/legislation/commission-regulation-eu-20171510-amending-the-appendices-to-annex-xvii-to-regulation-ec-no-19072006-of-the-european-parliament-and-of-the-council-concerning-the-registration-evaluation-authorisation-and-restriction-of-chemicals-reach-as-regards-cmr-substances-lex-faoc170309/ (accessed on 17 November 2021).
- Mogensen, U.B.; Grandjean, P.; Nielsen, F.; Weihe, P.; Budtz-Jørgensen, E. Breastfeeding as an Exposure Pathway for Perfluorinated Alkylates. Environ. Sci. Technol. 2015, 49, 10466–10473. [Google Scholar] [CrossRef] [PubMed]
- Roth, K.; Imran, Z.; Liu, W.; Petriello, M.C. Diet as an Exposure Source and Mediator of Per- and Polyfluoroalkyl Substance (PFAS) Toxicity. Front. Toxicol. 2020, 2, 6. [Google Scholar] [CrossRef]
- Jackson, T.W.; Scheibly, C.M.; Polera, M.E.; Belcher, S.M. Rapid Characterization of Human Serum Albumin Binding for Per- and Polyfluoroalkyl Substances Using Differential Scanning Fluorimetry. Environ. Sci. Technol. 2021, 55, 12291–12301. [Google Scholar] [CrossRef]
- Di Nisio, A.; Foresta, C. Water and Soil Pollution as Determinant of Water and Food Quality/Contamination and Its Impact on Male Fertility. Reprod. Biol. Endocrinol. RBE 2019, 17, 4. [Google Scholar] [CrossRef] [PubMed]
- Di Nisio, A.; Sabovic, I.; Valente, U.; Tescari, S.; Rocca, M.S.; Guidolin, D.; Dall’Acqua, S.; Acquasaliente, L.; Pozzi, N.; Plebani, M.; et al. Endocrine Disruption of Androgenic Activity by Perfluoroalkyl Substances: Clinical and Experimental Evidence. J. Clin. Endocrinol. Metab. 2019, 104, 1259–1271. [Google Scholar] [CrossRef] [Green Version]
- Per- and Polyfluoroalkyl Substance Toxicity and Human Health Review: Current State of Knowledge and Strategies for Informing Future Research-Fenton-2021-Environmental Toxicology and Chemistry-Wiley Online Library. Available online: https://setac.onlinelibrary.wiley.com/doi/10.1002/etc.4890 (accessed on 17 November 2021).
- Zeng, Z.; Song, B.; Xiao, R.; Zeng, G.; Gong, J.; Chen, M.; Xu, P.; Zhang, P.; Shen, M.; Yi, H. Assessing the Human Health Risks of Perfluorooctane Sulfonate by In Vivo and In Vitro Studies. Environ. Int. 2019, 126, 598–610. [Google Scholar] [CrossRef]
- Li, K.; Gao, P.; Xiang, P.; Zhang, X.; Cui, X.; Ma, L.Q. Molecular Mechanisms of PFOA-Induced Toxicity in Animals and Humans: Implications for Health Risks. Environ. Int. 2017, 99, 43–54. [Google Scholar] [CrossRef]
- Kim, K.Y.; Ekpe, O.D.; Lee, H.-J.; Oh, J.-E. Perfluoroalkyl Substances and Pharmaceuticals Removal in Full-Scale Drinking Water Treatment Plants. J. Hazard. Mater. 2020, 400, 123235. [Google Scholar] [CrossRef] [PubMed]
- Wanninayake, D.M. Comparison of Currently Available PFAS Remediation Technologies in Water: A Review. J. Environ. Manage. 2021, 283, 111977. [Google Scholar] [CrossRef] [PubMed]
- Liu, L.; Bilal, M.; Duan, X.; Iqbal, H.M.N. Mitigation of Environmental Pollution by Genetically Engineered Bacteria—Current Challenges and Future Perspectives. Sci. Total Environ. 2019, 667, 444–454. [Google Scholar] [CrossRef]
- Moreira, I.S.; Amorim, C.L.; Murphy, C.D.; Castro, P.M.L. Strategies for Biodegradation of Fluorinated Compounds. In Approaches in Bioremediation: The New Era of Environmental Microbiology and Nanobiotechnology; Prasad, R., Aranda, E., Eds.; Springer: Cham, Swizterland, 2018; pp. 239–280. [Google Scholar] [CrossRef]
- Shahsavari, E.; Rouch, D.; Khudur, L.S.; Thomas, D.; Aburto-Medina, A.; Ball, A.S. Challenges and Current Status of the Biological Treatment of PFAS-Contaminated Soils. Front. Bioeng. Biotechnol. 2021, 8, 1493. [Google Scholar] [CrossRef]
- Rylott, E.L.; Bruce, N.C. How Synthetic Biology Can Help Bioremediation. Curr. Opin. Chem. Biol. 2020, 58, 86–95. [Google Scholar] [CrossRef]
- Azubuike, C.C.; Chikere, C.B.; Okpokwasili, G.C. Bioremediation Techniques–Classification Based on Site of Application: Principles, Advantages, Limitations and Prospects. World J. Microbiol. Biotechnol. 2016, 32, 180. [Google Scholar] [CrossRef] [Green Version]
- Sayler, G.S.; Ripp, S. Field Applications of Genetically Engineered Microorganisms for Bioremediation Processes. Curr. Opin. Biotechnol. 2000, 11, 286–289. [Google Scholar] [CrossRef]
- Hagemann, M.; Hess, W.R. Systems and Synthetic Biology for the Biotechnological Application of Cyanobacteria. Curr. Opin. Biotechnol. 2018, 49, 94–99. [Google Scholar] [CrossRef]
- Wang, J.; Wang, S. Removal of Pharmaceuticals and Personal Care Products (PPCPs) from Wastewater: A Review. J. Environ. Manag. 2016, 182, 620–640. [Google Scholar] [CrossRef]
- Trentin, G.; Bertucco, A.; Sforza, E. Mixotrophy in Synechocystis sp. for the Treatment of Wastewater with High Nutrient Content: Effect of CO2 and Light. Bioprocess Biosyst. Eng. 2019, 42, 1661–1669. [Google Scholar] [CrossRef]
- Rippka, R.; Deruelles, J.; Waterbury, J.B.; Herdman, M.; Stanier, R.Y. Generic Assignments, Strain Histories and Properties of Pure Cultures of Cyanobacteria. Microbiology 1979, 111, 1–61. [Google Scholar] [CrossRef] [Green Version]
- Sforza, E.; Pastore, M.; Barbera, E.; Bertucco, A. Respirometry as a Tool to Quantify Kinetic Parameters of Microalgal Mixotrophic Growth. Bioprocess Biosyst. Eng. 2019, 42, 839–851. [Google Scholar] [CrossRef]
- Nakayama, S.F.; Yoshikane, M.; Onoda, Y.; Nishihama, Y.; Iwai-Shimada, M.; Takagi, M.; Kobayashi, Y.; Isobe, T. Worldwide Trends in Tracing Poly- and Perfluoroalkyl Substances (PFAS) in the Environment. TrAC Trends Anal. Chem. 2019, 121, 115410. [Google Scholar] [CrossRef]
- Fabris, M.; Abbriano, R.M.; Pernice, M.; Sutherland, D.L.; Commault, A.S.; Hall, C.C.; Labeeuw, L.; McCauley, J.I.; Kuzhiuparambil, U.; Ray, P.; et al. Emerging Technologies in Algal Biotechnology: Toward the Establishment of a Sustainable, Algae-Based Bioeconomy. Front. Plant Sci. 2020, 11, 279. [Google Scholar] [CrossRef] [PubMed] [Green Version]
- Tran, K.M.; Lee, H.-M.; Thai, T.D.; Shen, J.; Eyun, S.; Na, D. Synthetically Engineered Microbial Scavengers for Enhanced Bioremediation. J. Hazard. Mater. 2021, 419, 126516. [Google Scholar] [CrossRef] [PubMed]
- Rossi, S.; Sforza, E.; Pastore, M. Photo-Respirometry to Shed Light on Microalgae-Bacteria Consortia—A Review. Rev. Environ. Sci. Biotechnol. 2020, 19, 43–72. [Google Scholar] [CrossRef]
- Phong Vo, H.N.; Ngo, H.H.; Guo, W.; Hong Nguyen, T.M.; Li, J.; Liang, H.; Deng, L.; Chen, Z.; Hang Nguyen, T.A. Poly-and Perfluoroalkyl Substances in Water and Wastewater: A Comprehensive Review from Sources to Remediation. J. Water Process. Eng. 2020, 36, 101393. [Google Scholar] [CrossRef]
- Huang, F.; Hedman, E.; Funk, C.; Kieselbach, T.; Schröder, W.P.; Norling, B. Isolation of Outer Membrane of Synechocystis sp. PCC 6803 and Its Proteomic Characterization. Mol. Cell. Proteom. 2004, 3, 586–595. [Google Scholar] [CrossRef] [Green Version]
- Commissione Parlamentare Di Inchiesta Sulle Attività Illecite Connesse al Ciclo Di Rifiuti e Su Illeciti Ambientali Ad Essi Correlati. Available online: https://www.senato.it/service/PDF/PDFServer/BGT/1064090.pdf (accessed on 25 November 2021).
- Sforza, E.; Barbera, E.; Bertucco, A. Improving the Photoconversion Efficiency: An Integrated Photovoltaic-Photobioreactor System for Microalgal Cultivation. Algal Res. 2015, 10, 202–209. [Google Scholar] [CrossRef]
- Sforza, E.; Calvaruso, C.; Meneghesso, A.; Morosinotto, T.; Bertucco, A. Effect of Specific Light Supply Rate on Photosynthetic Efficiency of Nannochloropsis Salina in a Continuous Flat Plate Photobioreactor. Appl. Microbiol. Biotechnol. 2015, 99, 8309–8318. [Google Scholar] [CrossRef] [PubMed]
- Liu, W.; Chen, S.; Quan, X.; Jin, Y.-H. Toxic Effect of Serial Perfluorosulfonic and Perfluorocarboxylic Acids on the Membrane System of a Freshwater Alga Measured by Flow Cytometry. Environ. Toxicol. Chem. 2008, 27, 1597–1604. [Google Scholar] [CrossRef] [PubMed]
- Fitzgerald, N.J.M.; Wargenau, A.; Sorenson, C.; Pedersen, J.; Tufenkji, N.; Novak, P.J.; Simcik, M.F. Partitioning and Accumulation of Perfluoroalkyl Substances in Model Lipid Bilayers and Bacteria. Environ. Sci. Technol. 2018, 52, 10433–10440. [Google Scholar] [CrossRef] [PubMed]
- Boudreau, T.M.; Sibley, P.K.; Mabury, S.A.; Muir, D.G.C.; Solomon, K.R. Laboratory Evaluation of the Toxicity of Perfluorooctane Sulfonate (PFOS) on Selenastrum Capricornutum, Chlorella Vulgaris, Lemna Gibba, Daphnia Magna, and Daphnia Pulicaria. Arch. Environ. Contam. Toxicol. 2003, 44, 0307–0313. [Google Scholar] [CrossRef]
- Hu, C.; Luo, Q.; Huang, Q. Ecotoxicological Effects of Perfluorooctanoic Acid on Freshwater Microalgae Chlamydomonas Reinhardtii and Scenedesmus Obliquus. Environ. Toxicol. Chem. 2014, 33, 1129–1134. [Google Scholar] [CrossRef]
- Rosal, R.; Rodea-Palomares, I.; Boltes, K.; Fernández-Piñas, F.; Leganés, F.; Petre, A. Ecotoxicological Assessment of Surfactants in the Aquatic Environment: Combined Toxicity of Docusate Sodium with Chlorinated Pollutants. Chemosphere 2010, 81, 288–293. [Google Scholar] [CrossRef]
- Niu, Z.; Na, J.; Xu, W.; Wu, N.; Zhang, Y. The Effect of Environmentally Relevant Emerging Per- and Polyfluoroalkyl Substances on the Growth and Antioxidant Response in Marine Chlorella sp. Environ. Pollut. 2019, 252, 103–109. [Google Scholar] [CrossRef]
- Li, Y.; Liu, X.; Zheng, X.; Yang, M.; Gao, X.; Huang, J.; Zhang, L.; Fan, Z. Toxic Effects and Mechanisms of PFOA and Its Substitute GenX on the Photosynthesis of Chlorella Pyrenoidosa. Sci. Total Environ. 2021, 765, 144431. [Google Scholar] [CrossRef]
- USA EPA. Reducing PFAS in Drinking Water with Treatment Technologies. Available online: https://www.epa.gov/sciencematters/reducing-pfas-drinking-water-treatment-technologies (accessed on 7 November 2019).
- El Gamal, M.; Mousa, H.A.; El-Naas, M.H.; Zacharia, R.; Judd, S. Bio-Regeneration of Activated Carbon: A Comprehensive Review. Sep. Purif. Technol. 2018, 197, 345–359. [Google Scholar] [CrossRef]
- Gobelius, L.; Lewis, J.; Ahrens, L. Plant Uptake of Per- and Polyfluoroalkyl Substances at a Contaminated Fire Training Facility to Evaluate the Phytoremediation Potential of Various Plant Species. Environ. Sci. Technol. 2017, 51, 12602–12610. [Google Scholar] [CrossRef] [PubMed]
- Butzen, M.L.; Wilkinson, J.T.; McGuinness, S.R.; Amezquita, S.; Peaslee, G.F.; Fein, J.B. Sorption and Desorption Behavior of PFOS and PFOA onto a Gram-Positive and a Gram-Negative Bacterial Species Measured Using Particle-Induced Gamma-Ray Emission (PIGE) Spectroscopy. Chem. Geol. 2020, 552, 119778. [Google Scholar] [CrossRef]
- Zhao, W.; Zitzow, J.D.; Ehresman, D.J.; Chang, S.-C.; Butenhoff, J.L.; Forster, J.; Hagenbuch, B. Na+/Taurocholate Cotransporting Polypeptide and Apical Sodium-Dependent Bile Acid Transporter Are Involved in the Disposition of Perfluoroalkyl Sulfonates in Humans and Rats. Toxicol. Sci. 2015, 146, 363–373. [Google Scholar] [CrossRef] [PubMed] [Green Version]
- Mudumbi, J.B.N.; Ntwampe, S.K.O.; Mekuto, L.; Itoba-Tombo, E.F.; Matsha, T.E. Are Aquaporins (AQPs) the Gateway That Conduits Nutrients, Persistent Organic Pollutants and Perfluoroalkyl Substances (PFASs) into Plants? Springer Sci. Rev. 2017, 5, 31–48. [Google Scholar] [CrossRef]
- Colosi, L.M.; Pinto, R.A.; Huang, Q.; Weber, W.J., Jr. Peroxidase-Mediated Degradation of Perfluorooctanoic Acid. Environ. Toxicol. Chem. 2009, 28, 264–271. [Google Scholar] [CrossRef] [PubMed]
- Luo, Q.; Liang, S.; Huang, Q. Laccase Induced Degradation of Perfluorooctanoic Acid in a Soil Slurry. J. Hazard. Mater. 2018, 359, 241–247. [Google Scholar] [CrossRef]
- Li, Y.; Yue, Y.; Zhang, H.; Yang, Z.; Wang, H.; Tian, S.; Wang, J.; Zhang, Q.; Wang, W. Harnessing Fluoroacetate Dehalogenase for Defluorination of Fluorocarboxylic Acids: In Silico and In Vitro Approach. Environ. Int. 2019, 131. [Google Scholar] [CrossRef]
- Huang, S.; Jaffé, P.R. Defluorination of Perfluorooctanoic Acid (PFOA) and Perfluorooctane Sulfonate (PFOS) by Acidimicrobium sp. Strain A6. Environ. Sci. Technol. 2019, 53, 11410–11419. [Google Scholar] [CrossRef] [Green Version]
- Luo, Q.; Lu, J.; Zhang, H.; Wang, Z.; Feng, M.; Chiang, S.-Y.D.; Woodward, D.; Huang, Q. Laccase-Catalyzed Degradation of Perfluorooctanoic Acid. Environ. Sci. Technol. Lett. 2015, 2, 198–203. [Google Scholar] [CrossRef]
- Morsi, R.; Bilal, M.; Iqbal, H.M.N.; Ashraf, S.S. Laccases and Peroxidases: The Smart, Greener and Futuristic Biocatalytic Tools to Mitigate Recalcitrant Emerging Pollutants. Sci. Total Environ. 2020, 714, 136572. [Google Scholar] [CrossRef]




| Control | PFOA | PFOS | |
|---|---|---|---|
| ) | 0.41 ± 0.02 | 0.40 ± 0.03 | 0.51 ± 0.02 * |
| OD [-] | 1.44 ± 0.1 | 1.36 ± 0.04 | 1.81 ± 0.06 * |
| -- | 0.925 ± 0.41 | 1.72 ± 0.32 | |
| ) | 170 ± 8.3 | 160 ± 8.9 | 210 ± 8.23 * |
| ) | 8.5 ± 0.4 | 8.0 ± 0.38 | 10.5 ± 0.41 * |
| ) | -- | 0.15 ± 0.06 | 0.36 ± 0.07 |
| ) | -- | 7.5 ± 3 | 18.1 ± 3.52 |
| Name | Biochemical Function | Sequence(s) | Similarity (%) |
|---|---|---|---|
| Na+-taurocholate cotransporting polypeptide (NTCP) | Bile acid: sodium symporter | 8 | 27–29% to Human NTCP, NTCP2, NTCP4 and NTCP7. |
| ATP binding cassette transporter C family member (ABCC) | ATP-binding cassette domain-containing protein | 40 | 23–42% to Arabidopsis thaliana ABCC2 |
| ABC transporter ATP-binding protein | 44 | 23–36% to A. thaliana ABCC2 | |
| peptidase domain-containing ABC transporter | 5 | 23–27% to A. thaliana ABCC2 | |
| type I secretion system permease/ATPase | 2 | 25–28% to A. thaliana ABCC2 | |
| ABC transporter * | 3 | 27–29% to A. thaliana ABCC2 | |
| TOBE-like domain-containing protein | 2 | 30–34% to A. thaliana ABCC2 | |
| Multidrug resistance ABC transporter ATP-binding and permease protein | 1 | 36% to A. thaliana ABCC2 | |
| cyclic nucleotide-regulated ABC bacteriocin/antibiotic exporter protein | 1 | 26% to A. thaliana ABCC2 | |
| ATP-binding protein of ABC transporter | 1 | 31% to A. thaliana ABCC2 | |
| Aquaporin (aqp) | Aquaporin | 8 | 37–100% to Synechocystis sp. PCC 6803 aqpZ |
| Laccase | Multicopper oxidase domain-containing protein | 1 | 24% to Pleurotus ostreatus laccase POX1 |
| Fluoroacetate dehalogenase | Alpha/beta hydrolase | 19 | 25–39% to Burkholderia sp. Fac-dex |
| Alpha/beta fold hydrolase | 53 | 22–40% to Burkholderia sp. Fac-dex |
| Modification | Atom Loss | Result Formula | [M-H]- | Candidate Enzyme |
|---|---|---|---|---|
| PFOA | C8 H F15 O2 | 412.9664 | ||
| Decarboxylation | -C-O2 | C7 H F15 | not detectable is ESI condition | Laccase |
| 2× Reductive Defluorination | +H2-F2 | C8 H3 F13 O2 | 376.9853 | Fluoroacetate dehalogenase |
| Trifluoromethyl Loss | -C-F3+H | C7 H2 F12 O2 | 344.979 | |
| Decarbonylation | -C-O | C7 H F15 O | 384.9715 | Laccase |
| Reductive Defluorination | +H-F | C8 H2 F14 O2 | 394.9758 | Fluoroacetate dehalogenase |
| Oxidative Defluorination | -F+H+O | C8 H2 F14 O3 | 410.9708 | Fluoroacetate dehalogenase |
| PFOS | C8 H F17 O3 S | 498.9302 | ||
| 2× Reductive Defluorination | +H2-F2 | C8 H3 F15 O3 S | 462.9491 | Fluoroacetate dehalogenase |
| Decarbonylation | -C-O | C7 H F17 O2 S | 470.9353 | Laccase |
| Trifluoromethyl Loss | -C-F3+H | C7 H2 F14 O3 S | 430.9428 | Laccase |
| Reductive Defluorination | +H-F | C8 H2 F16 O3 S | 480.9396 | Fluoroacetate dehalogenase |
| Oxidative Defluorination | -F+H+O | C8 H2 F16 O4 S | 496.9346 | Fluoroacetate dehalogenase |
Publisher’s Note: MDPI stays neutral with regard to jurisdictional claims in published maps and institutional affiliations. |
© 2021 by the authors. Licensee MDPI, Basel, Switzerland. This article is an open access article distributed under the terms and conditions of the Creative Commons Attribution (CC BY) license (https://creativecommons.org/licenses/by/4.0/).
Share and Cite
Marchetto, F.; Roverso, M.; Righetti, D.; Bogialli, S.; Filippini, F.; Bergantino, E.; Sforza, E. Bioremediation of Per- and Poly-Fluoroalkyl Substances (PFAS) by Synechocystis sp. PCC 6803: A Chassis for a Synthetic Biology Approach. Life 2021, 11, 1300. https://doi.org/10.3390/life11121300
Marchetto F, Roverso M, Righetti D, Bogialli S, Filippini F, Bergantino E, Sforza E. Bioremediation of Per- and Poly-Fluoroalkyl Substances (PFAS) by Synechocystis sp. PCC 6803: A Chassis for a Synthetic Biology Approach. Life. 2021; 11(12):1300. https://doi.org/10.3390/life11121300
Chicago/Turabian StyleMarchetto, Francesca, Marco Roverso, Davide Righetti, Sara Bogialli, Francesco Filippini, Elisabetta Bergantino, and Eleonora Sforza. 2021. "Bioremediation of Per- and Poly-Fluoroalkyl Substances (PFAS) by Synechocystis sp. PCC 6803: A Chassis for a Synthetic Biology Approach" Life 11, no. 12: 1300. https://doi.org/10.3390/life11121300
APA StyleMarchetto, F., Roverso, M., Righetti, D., Bogialli, S., Filippini, F., Bergantino, E., & Sforza, E. (2021). Bioremediation of Per- and Poly-Fluoroalkyl Substances (PFAS) by Synechocystis sp. PCC 6803: A Chassis for a Synthetic Biology Approach. Life, 11(12), 1300. https://doi.org/10.3390/life11121300

