Characterization of an Aerosol-Based Photobioreactor for Cultivation of Phototrophic Biofilms
Abstract
:1. Introduction
2. Materials and Methods
2.1. Setup of the Emersed PhotoBioReactors (ePBRs)
2.2. Determination of the Aerosol RTD in the ePBR
2.3. Simulation of Aerosol Distribution in the ePBR
2.4. Surface Characterization
2.5. Temperature and Light Distribution
2.6. Preculture
2.7. Cultivation in the ePBR
2.8. EPS Extraction
2.9. Determination of the Biofilm Thickness Using OCT
3. Results and Discussion
3.1. Development of the ePBR
3.2. Aerosol Distribution in eBPR 3
3.3. Temperature and Light Distribution in ePBR 3
3.4. Comparison of the Prototypes
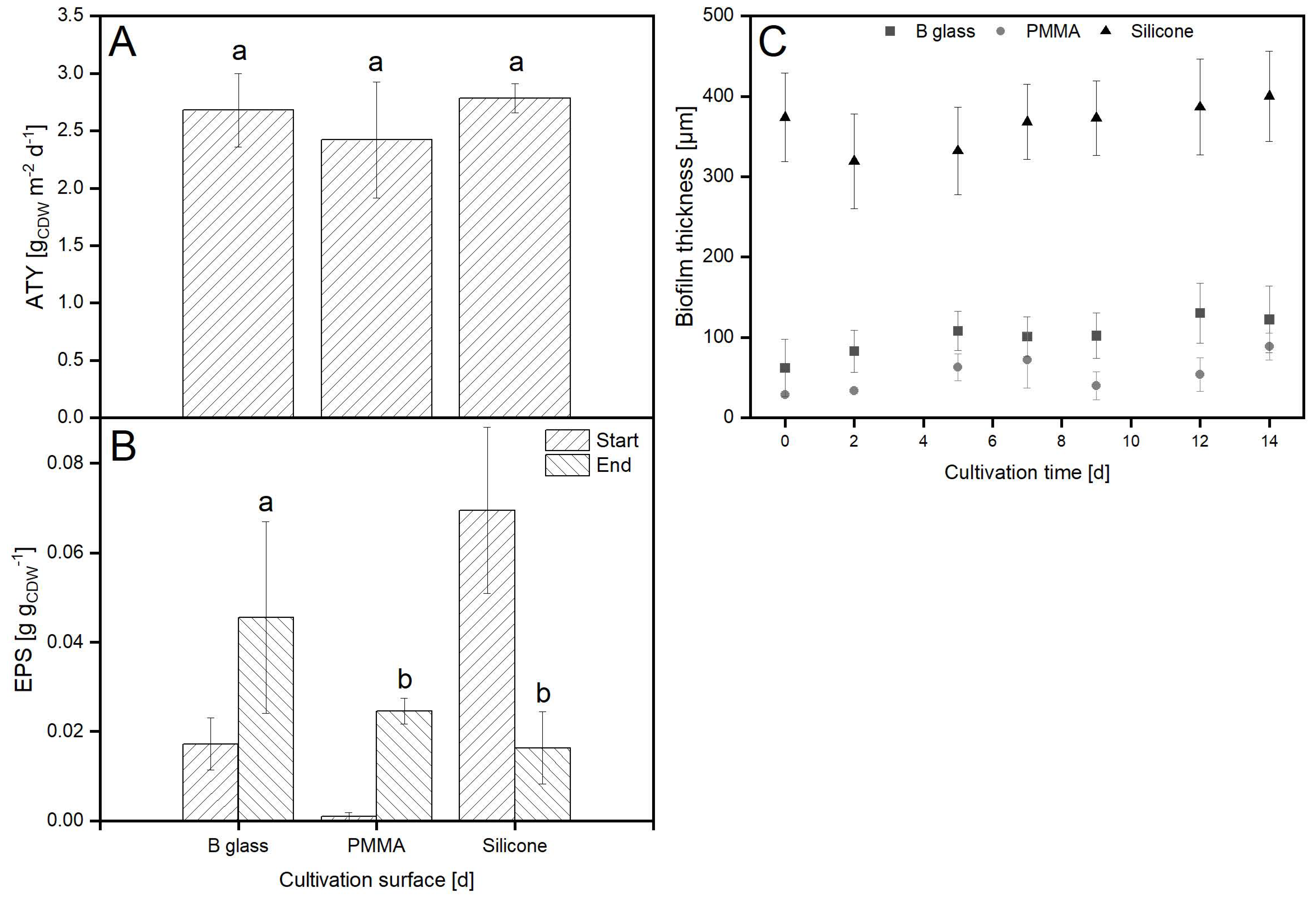
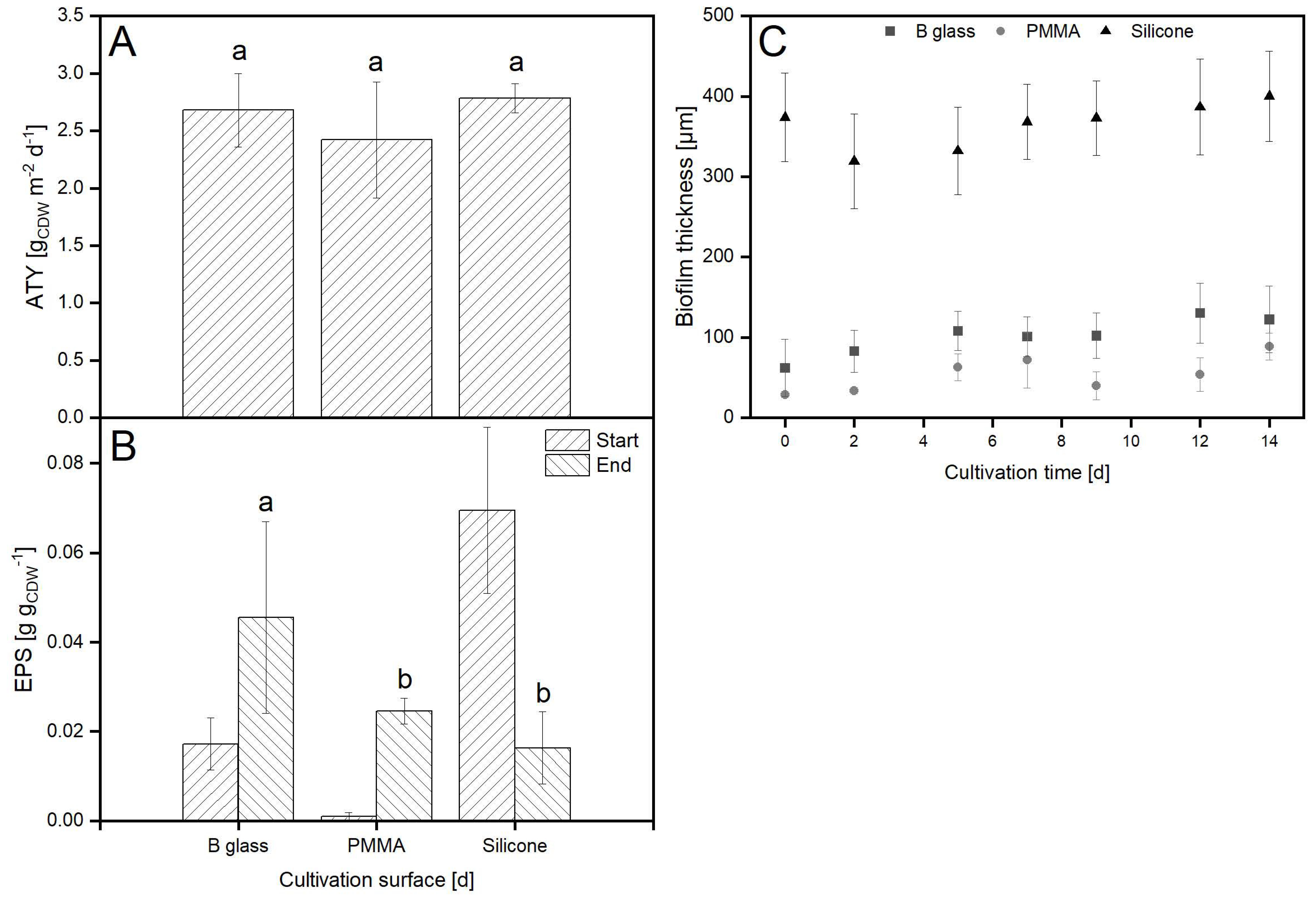
3.5. Influence of Different Substrates on Biofilm Formation
4. Conclusions
Author Contributions
Funding
Institutional Review Board Statement
Informed Consent Statement
Acknowledgments
Conflicts of Interest
References
- Chaubey, M.G.; Patel, S.; Rastogi, R.P.; Srivastava, P.L.; Singh, A.K.; Madamwar, D.; Singh, N.K. Therapeutic potential of cyanobacterial pigment protein phycoerythrin: In silico and in vitro study of BACE1 interaction and in vivo Aβ reduction. Int. J. Biol. Macromol. 2019, 134, 368–378. [Google Scholar] [CrossRef]
- Schooling, S.R.; Beveridge, T.J. Membrane Vesicles: An Overlooked Component of the Matrices of Biofilms. J. Bacteriol. 2006, 188, 5945–5957. [Google Scholar] [CrossRef] [Green Version]
- Schmitt, J.; Flemming, H.-C. Water binding in biofilms. Water Sci. Technol. 1999, 39, 77–82. [Google Scholar] [CrossRef]
- Hobley, L.; Ostrowski, A.; Rao, F.V.; Bromley, K.M.; Porter, M.; Prescott, A.; MacPhee, C.; van Aalten, D.; Stanley-Wall, N.R. BslA is a self-assembling bacterial hydrophobin that coats the Bacillus subtilis biofilm. Proc. Natl. Acad. Sci. USA 2013, 110, 13600–13605. [Google Scholar] [CrossRef] [Green Version]
- Yu, H.; Jia, S.; Dai, Y. Growth characteristics of the cyanobacterium Nostoc flagelliforme in photoautotrophic, mixotrophic and heterotrophic cultivation. Environ. Boil. Fishes 2008, 21, 127–133. [Google Scholar] [CrossRef]
- Gao, K.; Ye, C. Culture of the terrestrial cyanobacterium, Nostoc flagelliforme (Cyanophyceae), under aquatic conditions1. J. Phycol. 2003, 39, 617–623. [Google Scholar] [CrossRef] [Green Version]
- Kuhne, S.; Strieth, D.; Lakatos, M.; Muffler, K.; Ulber, R. A new photobioreactor concept enabling the production of desiccation induced biotechnological products using terrestrial cyanobacteria. J. Biotechnol. 2014, 192, 28–33. [Google Scholar] [CrossRef] [PubMed]
- Kuhne, S. Fermentation von Phototrophen Organismen zur Produktion von Biotechnologischen Wertstoffen; Cuvillier Verlag: Göttingen, Germany, 2015. [Google Scholar]
- Gustavs, L.; Schumann, R.; Eggert, A.; Karsten, U. In vivo growth fluorometry: Accuracy and limits of microalgal growth rate measurements in ecophysiological investigations. Aquat. Microb. Ecol. 2009, 55, 95–104. [Google Scholar] [CrossRef] [Green Version]
- Nowack, E.C.M.; Podola, B.; Melkonian, M. The 96-Well Twin-Layer System: A Novel Approach in the Cultivation of Microalgae. Protist 2005, 156, 239–251. [Google Scholar] [CrossRef] [PubMed]
- Johnson, M.B.; Wen, Z. Development of an attached microalgal growth system for biofuel production. Appl. Microbiol. Biotechnol. 2009, 85, 525–534. [Google Scholar] [CrossRef]
- Ozkan, A.; Kinney, K.; Katz, L.; Berberoglu, H. Reduction of water and energy requirement of algae cultivation using an algae biofilm photobioreactor. Bioresour. Technol. 2012, 114, 542–548. [Google Scholar] [CrossRef] [PubMed]
- Christenson, L.B.; Sims, R.C. Rotating algal biofilm reactor and spool harvester for wastewater treatment with biofuels by-products. Biotechnol. Bioeng. 2012, 109, 1674–1684. [Google Scholar] [CrossRef]
- Blanken, W.; Janssen, M.; Cuaresma, M.; Libor, Z.; Bhaiji, T.; Wijffels, R.H. Biofilm growth ofChlorella sorokinianain a rotating biological contactor based photobioreactor. Biotechnol. Bioeng. 2014, 111, 2436–2445. [Google Scholar] [CrossRef] [PubMed]
- Liu, T.; Wang, J.; Hu, Q.; Cheng, P.; Ji, B.; Liu, J.; Chen, Y.; Zhang, W.; Chen, X.; Chen, L.; et al. Attached cultivation technology of microalgae for efficient biomass feedstock production. Bioresour. Technol. 2013, 127, 216–222. [Google Scholar] [CrossRef]
- Boelee, N.C.; Janssen, M.; Temmink, H.; Taparavičiūtė, L.; Khiewwijit, R.; Jánoska, A.; Buisman, C.J.N.; Wijffels, R.H. The effect of harvesting on biomass production and nutrient removal in phototrophic biofilm reactors for effluent polishing. Environ. Boil. Fishes 2013, 26, 1439–1452. [Google Scholar] [CrossRef]
- Muffler, K.; Lakatos, M.; Schlegel, C.; Strieth, D.; Kuhne, S.; Ulber, R. Application of Biofilm Bioreactors in White Biotechnology. In Productive Biofilms; Springer: Berlin/Heidelberg, Germany, 2014; Volume 146, pp. 123–161. [Google Scholar] [CrossRef]
- Strieth, D.; Schwing, J.; Kuhne, S.; Lakatos, M.; Muffler, K.; Ulber, R. A semi-continuous process based on an ePBR for the production of EPS using Trichocoleus sociatus. J. Biotechnol. 2017, 256, 6–12. [Google Scholar] [CrossRef] [PubMed]
- Liehr, S.K.; Eheart, J.W.; Suidan, M.T. A modeling study of the effect of pH on carbon limited algal biofilms. Water Res. 1988, 22, 1033–1041. [Google Scholar] [CrossRef]
- Sekar, R.; Venugopalan, V.P.; Satpathy, K.K.; Nair, K.V.K.; Rao, V.N.R. Laboratory studies on adhesion of microalgae to hard substrates. Hydrobiologia 2004, 512, 109–116. [Google Scholar] [CrossRef]
- Lakatos, M.; Strieth, D. Terrestrial Microalgae: Novel Concepts for Biotechnology and Applications. Progress in Botany Volume 79; Cánovas, F.M., Lüttge, U., Matyssek, R., Eds.; Springer International Publishing: Cham, Switzerland, 2018. [Google Scholar]
- Strieth, D.; Ulber, R.; Muffler, K. Application of phototrophic biofilms: From fundamentals to processes. Bioprocess Biosyst. Eng. 2017, 41, 295–312. [Google Scholar] [CrossRef]
- Podola, B.; Li, T.; Melkonian, M. Porous Substrate Bioreactors: A Paradigm Shift in Microalgal Biotechnology? Trends Biotechnol. 2016, 35, 121–132. [Google Scholar] [CrossRef] [PubMed]
- Kuhne, S.; Strieth, D.; Weber, A.; Muffler, K.; Lakatos, M.; Ulber, R. Screening of two terrestrial cyanobacteria for biotechnological production processes in shaking flasks, bubble columns, and stirred tank reactors. Environ. Boil. Fishes 2013, 26, 1639–1648. [Google Scholar] [CrossRef]
- Schneider, C.A.; Rasband, W.S.; Eliceiri, K.W. NIH Image to ImageJ: 25 years of image analysis. Nat. Methods 2012, 9, 671–675. [Google Scholar] [CrossRef]
- Robert, J.; Jüstel, T.; Ulber, R.; Jordan, V. Modelling and Experimental Investigation of Luminous Coupling in UVLED Driven Optical Fiber Reactors. J. Photocatal. 2020, 1, 50–60. [Google Scholar] [CrossRef]
- Strieth, D.; Stiefelmaier, J.; Wrabl, B.; Schwing, J.; Schmeckebier, A.; Di Nonno, S.; Muffler, K.; Ulber, R. A new strategy for a combined isolation of EPS and pigments from cyanobacteria. Environ. Boil. Fishes 2020, 32, 1729–1740. [Google Scholar] [CrossRef]
- Stiefelmaier, J.; Strieth, D.; Di Nonno, S.; Erdmann, N.; Muffler, K.; Ulber, R. Characterization of terrestrial phototrophic biofilms of cyanobacterial species. Algal Res. 2020, 50, 101996. [Google Scholar] [CrossRef]
- Schmidt, T.; Just, L. Device and Method for the Cultivation and Production of Biological Material in a Nutrient Mist. U.S. Patent EP1996694B1, 22 January 2009. [Google Scholar]
- Ehrbar, P. Rechnergestützter Entwurf von Beleuchtungssystemen mit Starren Lichtleitern. Ph.D. Dissertation, ETH Zurich, Zürich, Switzerland, 2000. [Google Scholar]
- Wang, W.; Ku, Y. The light transmission and distribution in an optical fiber coated with TiO2 particles. Chemosphere 2002, 50, 999–1006. [Google Scholar] [CrossRef]
- Peill, N.J.; Hoffmann, M.R. Mathematical Model of a Photocatalytic Fiber-Optic Cable Reactor for Heterogeneous Photocatalysis. Environ. Sci. Technol. 1998, 32, 398–404. [Google Scholar] [CrossRef]
- Xu, J.; Ao, Y.; Fu, D.; Lin, J.; Lin, Y.; Shen, X.; Yuan, C.; Yin, Z. Photocatalytic activity on TiO2-coated side-glowing optical fiber reactor under solar light. J. Photochem. Photobiol. A Chem. 2008, 199, 165–169. [Google Scholar] [CrossRef]
- Neu, T.R.; Marshall, K.C. Bacterial Polymers: Physicochemical Aspects of Their Interactions at Interfaces. J. Biomater. Appl. 1990, 5, 107–133. [Google Scholar] [CrossRef]
- Pringle, J.H.; Fletcher, M. Influence of substratum wettability on attachment of freshwater bacteria to solid surfaces. Appl. Environ. Microbiol. 1983, 3, 811–817. [Google Scholar] [CrossRef] [Green Version]
- Characklis, W.G.; McFeters, G.A.; Marshall, K.C. Physiological Ecology in Biofilm Systems; Wiley and Sons: New York, NY, USA, 1990. [Google Scholar]
- Schlegel, C. Produktive Biofilme auf mikrostrukturierten Metalloberflächen; Cuvillier Verlag: Göttingen, Germany, 2016. [Google Scholar]
- Zhang, Y.; Miller, R.M. Effect of a Pseudomonas rhamnolipid biosurfactant on cell hydrophobicity and biodegradation of octadecane. Appl. Environ. Microbiol. 1994, 6, 2101–2106. [Google Scholar] [CrossRef] [PubMed] [Green Version]
- Yuan, X.; Ren, F.; Zeng, G.; Zhong, H.; Fu, H.; Liu, J.; Xu, X. Adsorption of surfactants on a Pseudomonas aeruginosa strain and the effect on cell surface lypohydrophilic property. Appl. Microbiol. Biotechnol. 2007, 76, 1189–1198. [Google Scholar] [CrossRef]
- Zhong, H.; Zeng, G.M.; Yuan, X.Z.; Fu, H.Y.; Huang, G.H.; Ren, F.Y. Adsorption of dirhamnolipid on four microorganisms and the effect on cell surface hydrophobicity. Appl. Microbiol. Biotechnol. 2007, 77, 447–455. [Google Scholar] [CrossRef] [PubMed]
- Mager, D.M. Carbohydrates in cyanobacterial soil crusts as a source of carbon in the southwest Kalahari, Botswana. Soil Biol. Biochem. 2010, 42, 313–318. [Google Scholar] [CrossRef]




| Borosilicate Glass | PMMA | Silicon | |
|---|---|---|---|
| Thermal conductivity λ [W m−2 K−1] | 1.2 | 0.19 | 0.1-0.3 |
| Temperature distributionT5–8 [°C] | 21.8–24.8 | 20.8–21.8 | 21–21.4 |
| Light intensity LI5–8 [µmolphotons m−2 s−1] | 9–63 | 19–85 | 7–31 |
| Square roughness Rq [µm] | 1.168 ± 0.363 | 0.328 ± 0.087 | 0.252 ± 0.079 |
| Contact angle ΘY [°] | 69.3 ± 0.8 | 79.6 ± 1.7 | 113.2 ± 0.7 |
Publisher’s Note: MDPI stays neutral with regard to jurisdictional claims in published maps and institutional affiliations. |
© 2021 by the authors. Licensee MDPI, Basel, Switzerland. This article is an open access article distributed under the terms and conditions of the Creative Commons Attribution (CC BY) license (https://creativecommons.org/licenses/by/4.0/).
Share and Cite
Strieth, D.; Weber, A.; Robert, J.; Stiefelmaier, J.; Kollmen, J.; Volkmar, M.; Lakatos, M.; Jordan, V.; Muffler, K.; Ulber, R. Characterization of an Aerosol-Based Photobioreactor for Cultivation of Phototrophic Biofilms. Life 2021, 11, 1046. https://doi.org/10.3390/life11101046
Strieth D, Weber A, Robert J, Stiefelmaier J, Kollmen J, Volkmar M, Lakatos M, Jordan V, Muffler K, Ulber R. Characterization of an Aerosol-Based Photobioreactor for Cultivation of Phototrophic Biofilms. Life. 2021; 11(10):1046. https://doi.org/10.3390/life11101046
Chicago/Turabian StyleStrieth, Dorina, Andreas Weber, Johannes Robert, Judith Stiefelmaier, Jonas Kollmen, Marianne Volkmar, Michael Lakatos, Volkmar Jordan, Kai Muffler, and Roland Ulber. 2021. "Characterization of an Aerosol-Based Photobioreactor for Cultivation of Phototrophic Biofilms" Life 11, no. 10: 1046. https://doi.org/10.3390/life11101046
APA StyleStrieth, D., Weber, A., Robert, J., Stiefelmaier, J., Kollmen, J., Volkmar, M., Lakatos, M., Jordan, V., Muffler, K., & Ulber, R. (2021). Characterization of an Aerosol-Based Photobioreactor for Cultivation of Phototrophic Biofilms. Life, 11(10), 1046. https://doi.org/10.3390/life11101046

