Periodic and Almost Periodic Solutions of Stochastic Inertial Bidirectional Associative Memory Neural Networks on Time Scales
Abstract
1. Introduction
2. Preliminaries
- 1.
- The forward jump operator is defined by
- 2.
- The graininess function is defined by
- 1.
- is called rd-continuous provided it is continuous at right-dense points in T and its left-sided limits exist (finite) at left-dense points in . The set of rd-continuous functions is denoted by .
- 2.
- A function is regressive providedfor all , where if the maximum m of is left-scattered. Otherwise, . A function is positively regressive providedfor all .
- 3.
- The set of all regressive and rd-continuous functions is denoted byThe set of all positively regressive and rd-continuous functions is denoted by
- 1.
- 2.
- 3.
- The function defined by for all is also an element of .
- 4.
- .
3. Existence and Uniqueness of Solution for SIBAMNNs on Time Scales
3.1. Periodic Solution
3.2. Almost Periodic Solution
4. Exponential Stability
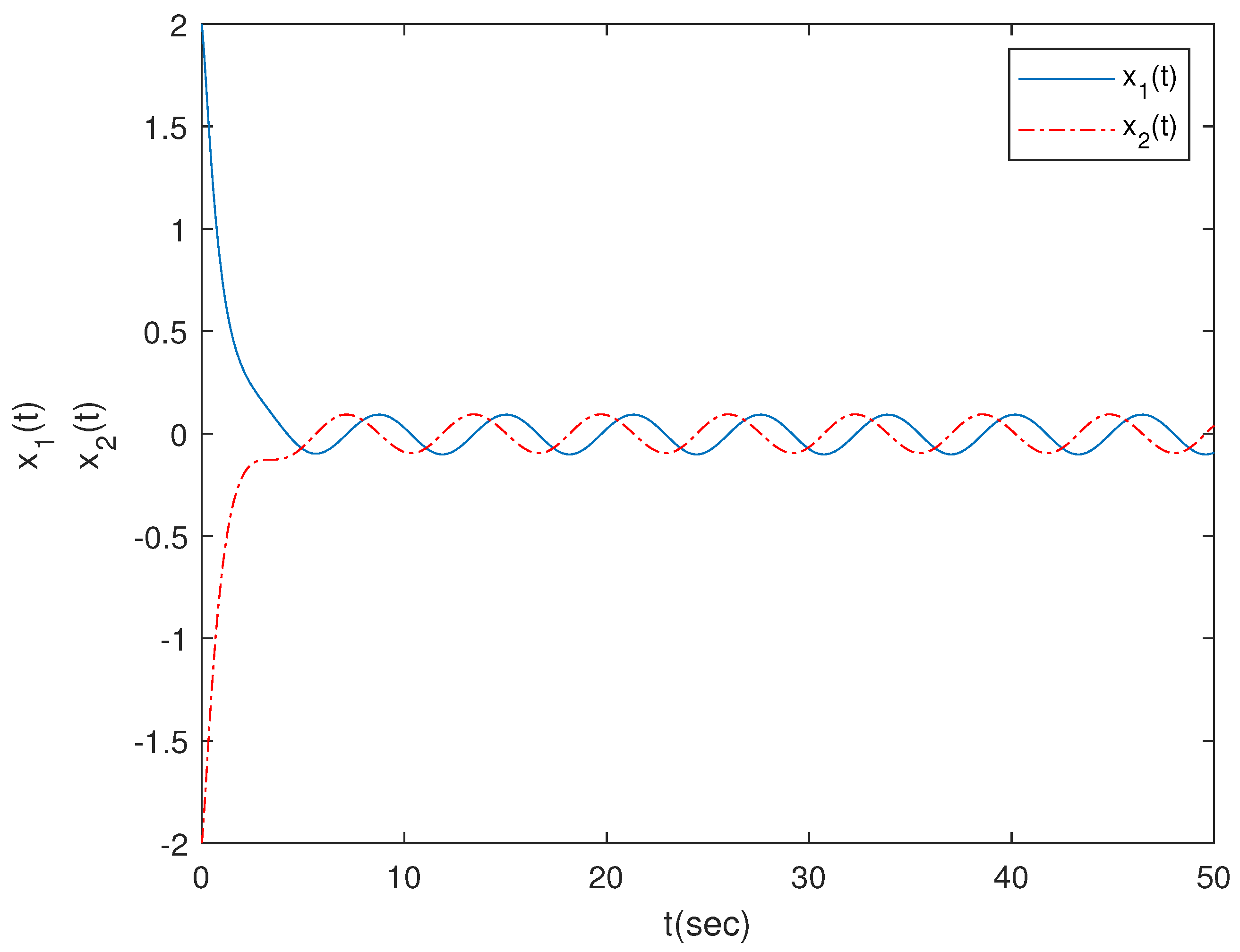
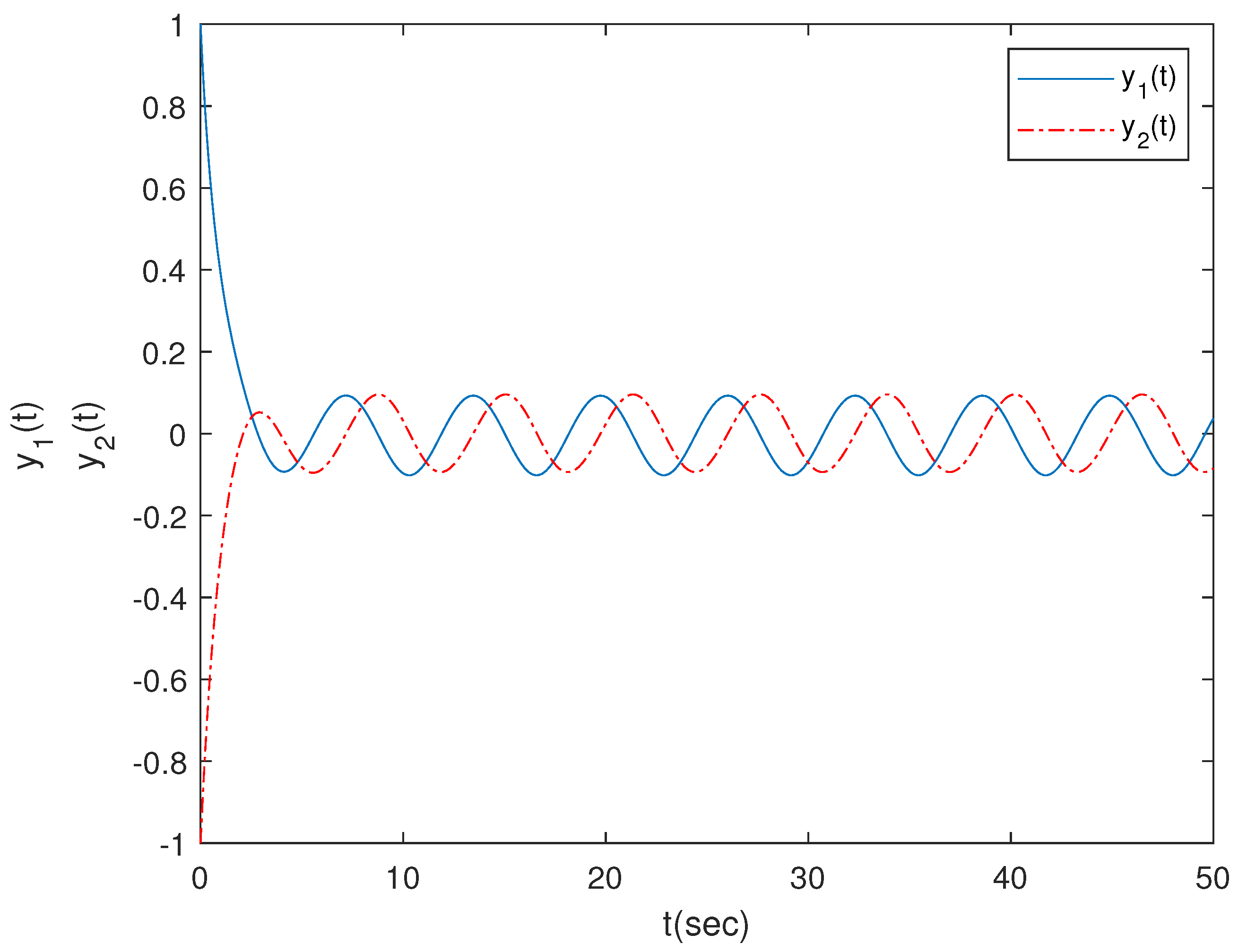
5. Numerical Example
6. Conclusions
Author Contributions
Funding
Data Availability Statement
Acknowledgments
Conflicts of Interest
References
- Kosko, B. Bidrectional associative memories. IEEE Trans. Syst. Man Cybern. 1988, 18, 49–60. [Google Scholar] [CrossRef]
- Raja, R.; Anthoni, S.M. Global exponential stability of BAM neural networks with time-varying delays: The discrete-time case. Commun. Nonlinear Sci. Numer. Simulat. 2011, 16, 613–622. [Google Scholar] [CrossRef]
- Shao, Y.F. Existence of exponential periodic attractor of BAM neural networks with time-varying delays and impulses. Nerocomputing 2012, 93, 1–9. [Google Scholar] [CrossRef]
- Yang, W.G. Existence of an exponential periodic attractor of periodic solutions for general BAM neural networks with time-varying delays and impulses. Appl. Math. Comput. 2012, 219, 569–582. [Google Scholar] [CrossRef]
- Zhang, Z.Q.; Liu, K.Y.; Yang, Y. New LMI-based condition on global asymptotic stability concerning BAM neural networks of neural type. Neurocomputing 2012, 81, 24–32. [Google Scholar] [CrossRef]
- Zhu, Q.X.; Rakkiyappan, R.; Chandrasekar, A. Stochastic stability of Markovian jump BAM neural networks with leakage delays and impulse control. Neurocomputing 2014, 136, 136–151. [Google Scholar] [CrossRef]
- Lin, F.; Zhang, Z.Q. Global asymptotic synchronization of a class of BAM neural networks with time delays via integrating inequality techniques. J. Syst. Sci. Complex. 2020, 33, 366–392. [Google Scholar] [CrossRef]
- Zhou, F.Y.; Yao, H.X. Stability analysis for neutral-type inertial BAM neural networks with time-varying delays. Nonlinear Dynam. 2018, 92, 1583–1598. [Google Scholar] [CrossRef]
- Roshani, G.H.; Hanus, R.; Khazaei, A.; Zych, M.; Nazemi, E.; Mosorov, V. Density and velocity determination for single-phase flow based on radiotracer technique and neural networks. Flow Meas. Instrum. 2018, 61, 9–14. [Google Scholar] [CrossRef]
- Azimirad, V.; Ramezanlou, M.T.; Sotubadi, S.V.; Janabi-Sharifi, F. A consecutive hybrid spiking-convolutional (CHSC) neural controller for sequential decision making in robots. Neurocomputing 2022, 490, 319–336. [Google Scholar] [CrossRef]
- Mozaffari, H.; Houmansadr, A. E2FL: Equal and equitable federated learning. arXiv 2022, arXiv:2205.10454. [Google Scholar]
- Lakshmanan, S.; Lim, C.P.; Prakash, M.; Nahavandi, S.; Balasubramaniam, P. Neutral-type of delayed inertial neural networks and their stability analysis using the LMI Approach. Neurocomputing 2016, 230, 243–250. [Google Scholar] [CrossRef]
- Kumar, R.; Das, S. Exponential stability of inertial BAM neural network with time-varying impulses and mixed time-varying delays via matrix measure approach. Commun. Nonlinear Sci. Numer. Simulat. 2019, 81, 105016. [Google Scholar] [CrossRef]
- Xiao, Q.; Huang, T.W. Quasisynchronization of discrete-time inertial neural networks with parameter mismatches and delays. IEEE Trans. Cybern. 2021, 51, 2290–2295. [Google Scholar] [CrossRef] [PubMed]
- Sun, G.; Zhang, Y. Exponential stability of impulsive discrete-time stochastic BAM neural networks with time-varying delay. Neurocomputing 2014, 131, 323–330. [Google Scholar] [CrossRef]
- Pan, L.J.; Cao, J.D. Stability of bidirectional associative memory neural networks with Markov switching via ergodic method and the law of large numbers. Neurocomputing 2015, 168, 1157–1163. [Google Scholar] [CrossRef]
- Hilger, S. Analysis on measure chains-a unified approach to continuous and discrete calculus. Res. Math. 1990, 18, 18–56. [Google Scholar] [CrossRef]
- Cieśliński, J.L.; Nikiciuk, T.; Waśkiewicz, K. The sine-Gordon equation on time scales. J. Math. Anal. Appl. 2015, 423, 1219–1230. [Google Scholar] [CrossRef]
- Hovhannisyan, G. 3 soliton solution to Sine-Gordon equation on a space scale. J. Math. Phys. 2019, 60, 103502. [Google Scholar] [CrossRef]
- Zhang, Y. Lie symmetry and invariants for a generalized Birkhoffian system on time scales. Chaos Soliton Fractals 2019, 128, 306–312. [Google Scholar] [CrossRef]
- Federson, M.; Grau, R.; Mesquita, J.G.; Toon, E. Lyapunov stability for measure differential equations and dynamic equations on time scales. J. Differ. Equ. 2019, 267, 4192–4223. [Google Scholar] [CrossRef]
- Gu, H.B.; Jiang, H.J.; Teng, Z.D. Existence and global exponential stability of equilibrium of competitive neural networks with different time scales and multiple delays. J. Franklin I 2010, 347, 719–731. [Google Scholar] [CrossRef]
- Yang, L.; Fei, Y.; Wu, W.Q. Periodic solution for ∇-stochastic high-order Hopfield neural networks with time delays on time scales. Neural Process Lett. 2019, 49, 1681–1696. [Google Scholar] [CrossRef]
- Zhou, H.; Zhou, Z.; Jiang, W. Almost periodic solutions for neutral type BAM neural networks with distributed leakage delays on time scales. Neurocomputing 2015, 157, 223–230. [Google Scholar] [CrossRef]
- Arbi, A.; Cao, J.D. Pseudo-almost periodic solution on time-space scales for a novel class of competitive neutral-type neural networks with mixed time-varying delays and leakage delays. Neural Process Lett. 2017, 46, 719–745. [Google Scholar] [CrossRef]
- Dhama, S.; Abbas, S. Square-mean almost automorphic solution of a stochastic cellular neural network on time scales. J. Integral Equ. Appl. 2020, 32, 151–170. [Google Scholar] [CrossRef]
- Kaufmann, E.R.; Raffoul, Y.N. Periodic solutions for a neutral nonlinear dynamical equation on a time scale. J. Math. Anal. Appl. 2006, 319, 315–325. [Google Scholar] [CrossRef]
- Lizama, C.; Mesquita, J.G.; Ponce, R. A connection between almost periodic functions defined on time scales and ℝ. Appl. Anal. 2014, 93, 2547–2558. [Google Scholar] [CrossRef]
- Bohner, M.; Peterson, A. Dynamic Equations on Time Scales: An Introduction with Applications; Springer Science & Business Media: New York, NY, USA, 2001. [Google Scholar]
- Bohner, M.; Peterson, A. Advances in Dynamic Equations on Time Scales; Birkhauser: Boston, MA, USA, 2003. [Google Scholar]
- Wu, F.; Hu, S.; Liu, Y. Positive solution and its asymptotic behaviour of stochastic functional Kolmogorov-type system. J. Math. Anal. Appl. 2010, 364, 104–118. [Google Scholar] [CrossRef]
- Bohner, M.; Stanzhytskyi, O.M.; Bratochkina, A.O. Stochastic dynamic equations on general time scales. Electron. J. Differ. Equ. 2013, 2013, 1215–1230. [Google Scholar]
- Ke, Y.Q.; Miao, C.F. Stability and existence of periodic solutions in inertial BAM neural networks with time delay. Neural Comput. Appl. 2013, 23, 1089–1099. [Google Scholar]
- Yang, L.; Li, Y.K. Existence and exponential stability of periodic solution for stochastic Hopfield neural networks on time scales. Neurocomputing 2015, 167, 543–550. [Google Scholar] [CrossRef]
- Ad1var, M.; Raffoul, Y.N. Existence of periodic solutions in totally nonlinear delay dynamic equations. Electron. J. Qual. Theory Differ. Equ. 2009, 1, 1–20. [Google Scholar] [CrossRef]
- Wang, C. Almost periodic solutions of impulsive BAM neural networks with variable delays on time scales. Commun. Nonlinear Sci. Numer. Simulat. 2014, 19, 2828–2842. [Google Scholar] [CrossRef]
- Li, Y.K.; Yang, L.; Wu, W.Q. Square-mean almost periodic solution for stochastic Hopfield neural networks with time-varying delays on time scales. Neural Comput. Appl. 2015, 26, 1073–1084. [Google Scholar] [CrossRef]
- Qi, J.; Li, C.; Huang, T. Stability of inertial BAM neural network with time-varying delay via impulsive control. Neurocomputing 2015, 161, 162–167. [Google Scholar] [CrossRef]
- Zhang, T.; Liu, Y.; Qu, H. Global mean-square exponential stability and random periodicity of discrete-time stochastic inertial neural networks with discrete spatial diffusions and Dirichlet boundary condition. Comput. Math. Appl. 2023, 141, 116–128. [Google Scholar] [CrossRef]

Disclaimer/Publisher’s Note: The statements, opinions and data contained in all publications are solely those of the individual author(s) and contributor(s) and not of MDPI and/or the editor(s). MDPI and/or the editor(s) disclaim responsibility for any injury to people or property resulting from any ideas, methods, instructions or products referred to in the content. |
© 2023 by the authors. Licensee MDPI, Basel, Switzerland. This article is an open access article distributed under the terms and conditions of the Creative Commons Attribution (CC BY) license (https://creativecommons.org/licenses/by/4.0/).
Share and Cite
Liu, M.; Dong, H.; Zhang, Y.; Fang, Y. Periodic and Almost Periodic Solutions of Stochastic Inertial Bidirectional Associative Memory Neural Networks on Time Scales. Axioms 2023, 12, 574. https://doi.org/10.3390/axioms12060574
Liu M, Dong H, Zhang Y, Fang Y. Periodic and Almost Periodic Solutions of Stochastic Inertial Bidirectional Associative Memory Neural Networks on Time Scales. Axioms. 2023; 12(6):574. https://doi.org/10.3390/axioms12060574
Chicago/Turabian StyleLiu, Mingshuo, Huanhe Dong, Yong Zhang, and Yong Fang. 2023. "Periodic and Almost Periodic Solutions of Stochastic Inertial Bidirectional Associative Memory Neural Networks on Time Scales" Axioms 12, no. 6: 574. https://doi.org/10.3390/axioms12060574
APA StyleLiu, M., Dong, H., Zhang, Y., & Fang, Y. (2023). Periodic and Almost Periodic Solutions of Stochastic Inertial Bidirectional Associative Memory Neural Networks on Time Scales. Axioms, 12(6), 574. https://doi.org/10.3390/axioms12060574

