Sulfuric Acid Leaching of Ionic Rare Earth Magnesium Salt Enrichment and Removing Aluminum by MgO Precipitation
Abstract
1. Introduction
2. Experiment
2.1. Materials
2.2. Methods
2.2.1. Sulfuric Acid Leaching of the Rare Earth Enrichment
2.2.2. Aluminum Removal from the Acid Leaching Solution
2.3. Characterization
3. Results and Discussion
3.1. Sulfuric Acid Leaching of Rare Earth Enrichment
3.1.1. Influence of the Sulfuric Acid Concentration
3.1.2. Influence of the Liquid–Solid Ratio
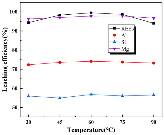
3.1.3. Influence of the Leaching Temperature
3.1.4. Influence of the Leaching Time
3.1.5. Characterization of the Acid-Leaching Residue
3.2. Species Distributions of Al and REEs in Al2(SO4)3-RE2(SO4)3-H2O System
3.3. Comparison of the Neutralization and Aluminum Removal Performance of Different Precipitants
3.4. Aluminum Removal Process by MgO Precipitation
3.4.1. Influence of the Reaction Temperature
3.4.2. Influence of the MgO Slurry Concentration
3.4.3. Influence of the MgO Slurry Feeding Rate
3.5. Aluminum Removal Kinetics by MgO Precipitation
4. Conclusions
Author Contributions
Funding
Data Availability Statement
Conflicts of Interest
References
- Li, Y.X.; Zhang, L.; Zhou, X.M. Resource and environmental protection mining mode of Ion-type rare earth in South China. J. Chin. Rare Earths 2010, 31, 6. [Google Scholar]
- Li, Y.X.; Zhou, X.M.; Liu, Y.Z.; Li, D.P.; Li, J.; Tang, Q. Advances in efficient extraction and separation of rare earth by ion adsorption. J. Rare Earths 2012, 30, 8. [Google Scholar]
- Wang, D.H.; Zhao, Z.; Yu, Y.; Zhao, T.; Li, J.K.; Dai, J.J.; Liu, X.X.; He, H.H. Research progress, existing problems and future research directions of ion-adsorbed rare earth resources. J. Rock Miner. Anal. 2013, 32, 796–802. [Google Scholar]
- Zhang, L.; Wu, K.X.; Chen, L.K.; Zhu, P.; Ouyang, H. Metallogenic characteristics of ion-adsorbed rare earth deposits in southern Jiangxi Province. J. Chin. Rare Earths 2015, 33, 10–12. [Google Scholar]
- Zhang, Z.H. Ion-adsorbed rare earth deposit of weathering crust in South China. J. Collect. Geol. Prospect. Pap. 1990, 1, 57–58. [Google Scholar]
- Zhang, Z.Y.; Xi, Y.L.; Li, D.; Chi, R.A.; Long, F.; Chen, Z.; Chen, W.D. Rare earth precipitation process in magnesium salt rare earth leaching solution. J. Non-Ferr. Met. 2022, 30, 45–50. [Google Scholar]
- Xiao, Y.F.; Huang, X.W.; Feng, Z.Y.; Dong, J.S.; Huang, L.; Long, Z.Q. Research progress of green extraction technology of ion-adsorbed rare earth ore. J. Chin. Rare Earths 2015, 36, 109–115. [Google Scholar]
- Chi, R.; Liu, X. Prospect and Development of Weathered Crust Elution-Deposited Rare Earth Ore. J. Rare Earth 2019, 37, 129–140. [Google Scholar]
- Xiao, Y.F.; Chen, Y.Y.; Feng, Z.Y.; Huang, X.W.; Huang, L.; Long, Z.Q.; Cui, D.L. Leaching characteristics of ion-adsorption type rare earths ore with magnesium sulfate. T. Nonferr. Metal Soc. 2015, 25, 3784–3790. [Google Scholar] [CrossRef]
- Chen, X.; He, Q.; Chen, J.F.; Huang, L.; Tan, C.M.; Yin, Y.Q.; Jiao, Y.F.; Xiao, Y.F. Research progress on green and efficient leach technology and principle of ion-adsorbed rare earth ore. J. Rare Earths 2022, 40, 936–947. [Google Scholar]
- He, Z.H.; Guo, A.; Qiu, X.Y.; Liao, C.S.; Lan, Q.F.; Ge, L.S.; Xiao, L.; Huang, D.S. Extraction technology of rare earth from ionic rare earth magnesium salt concentrates. J. Non-Ferr. Met. 2024, 1, 61–67. [Google Scholar]
- Zhang, S.; Qin, L.; Wang, G.S.; Luo, S.H.; Li, Q.; Xiao, Y.F.; Peng, C.L. Status of ammonium-free mining of ion-adsorbed. J. Chin. Rare Earths 2023, 44, 123–134. [Google Scholar]
- Yu, Y.; Feng, Z.Y.; Zhao, N.; Huang, X.W. The Invention Relates to a Method for Recovering Rare Earth from Ionic Rare Earth Raw Ore. CN Patent CN102190325B, 17 March 2010. [Google Scholar]
- Xiao, Y.F.; Chen, Y.Y.; Feng, Z.Y.; Huang, X.W.; Huang, L.; Long, Z.Q.; Cui, D.L. Leaching characteristics of magnesium sulfate leaching ion adsorption type rare earth ore. J. Trans. Nonferrous Met. Soc. China 2015, 25, 38–40. [Google Scholar] [CrossRef]
- Xiao, Y.F. Study on Green and Efficient Leaching Technology of Ion Adsorbed Rare Earth Mineral Magnesium Salt System. Ph.D. Thesis, Northeastern University, Shenyang, China, 2015. [Google Scholar]
- He, K.Z. Study on the Process and Mechanism of pH Regulation-Complexation Precipitation Combined with Impurity Removal in Ionic Rare Earth Magnesium Salt Leaching Solution. Master’s Thesis, Jiangxi University of Science and Technology, Ganzhou, China, 2022. [Google Scholar]
- Zhang, Y.W.; Chen, J.F.; Zhang, H.P.; Gong, S.L.; Xiao, Y.F.; Huang, L. Reducing rare earth loss by adding acetic acid in the aluminum removal process of rare earth leaching solution. J. Clean. Prod. 2024, 435, 140537.1–140537.12. [Google Scholar] [CrossRef]
- Chen, X.; Chen, J.F.; Li, J.Q.; Huang, L.; Xu, J.F.; Xiao, Y.F. Strengthening rare earth and inhibiting aluminum leaching in magnesium salt-acetic acid compound system from ion-adsorption type rare earth ore. Sep. Purif. Technol. 2024, 334, 126070. [Google Scholar]
- OuYang, K.X.; Rao, G.H.; Yao, H.Q.; Mao, Y.H. Study on aluminum inhibition leaching from rare earth ore in South China. J. Rare Met. Cem. Carbide 2003, 4, 1–3. [Google Scholar]
- Zhao, Z.H.; Sang, X.Y.; Zhang, W.B.; Hao, G.H.; Duan, C.K.; Li, D. Removal of impurities aluminum and iron from rare earth solution by centrifugal sedimentation. J. Chin. Rare Earths 2007, 6, 95–97. [Google Scholar]
- He, Q.; Qiu, J.; Chen, J.F.; Zan, M.M.; Xiao, Y.F. Progress in green and efficient enrichment of rare earth from leaching liquor of ion adsorption type rare earth ores. J. Rare Earths 2022, 40, 353–364. [Google Scholar] [CrossRef]
- Swain, N.; Mishra, S. A review on the recovery and separation of rare earths and transition metals from secondary resources. J. Clean. Prod. 2019, 220, 884–898. [Google Scholar] [CrossRef]
- Zhang, L.C.; Chen, Q.L.; Kang, C.; Ma, X.; Yang, Z.L. Rare earth extraction from wet process phosphoric acid by emulsion liquid membrane. J. Rare Earths 2016, 34, 717–723. [Google Scholar] [CrossRef]
- Wang, Y.D.; Li, J.H.; Gao, Y.; Yang, Y.; Gao, Y.; Xu, Z.F. Removal of aluminum from rare-earth leaching solutions via a complexation-precipitation process. J. Hydrometall. 2020, 2020, 191. [Google Scholar] [CrossRef]
- Shi, Y.; Li, W.; Peng, S.S. Study on precipitation of rare earth with ammonium bicarbonate. J. Chin. Rare Earths 1997, 1, 16–19. [Google Scholar]
- Li, Y.X.; He, X.B.; Gu, Z.Y.; Hu, P.G. Precipitation reaction of RECl3 with NH4HCO3 and co-precipitation behavior of accompanying impurity ions. J. Chin. Rare Earths 1999, 2, 21–24. [Google Scholar]
- Zhang, W.C.; Rick, Q.H. Rare earth elements recovery using staged precipitation from a leachate generated from coarse coal refuse. J. Int. J. Coal Geol. 2018, 2018, 195. [Google Scholar] [CrossRef]
- Liu, W.; Xiao, Z.; Das, S.; Zhang, W.C. Mechanism and kinetic study of rare earth extraction from allanite by direct acid leaching. J. Miner. Eng. 2024, 2024, 205. [Google Scholar] [CrossRef]
- Yu, Z.H. Study on the Preparation of Rare Earth Carbonate from Magnesium Bicarbonate Precipitation in Sulfuric Acid System. Ph.D. Thesis, Beijing General Research Institute for Nonferrous Metals, Beijing, China, 2019. [Google Scholar]
- Li, Y.Y.; Hu, Q.Y.; Li, H.; Li, J.; Liu, Y.Z.; Zhou, X.Z.; Li, D.P.; Li, Y.Y. Rare Earths and Aluminum: From Entanglement to Respect with Each Other. J. Chin. Rare Earths 2021, 39, 479–489. [Google Scholar]
- Luo, X.P.; Zou, L.P.; Ma, P.L.; Luo, C.G.; Xu, J.; Tang, X.K. Removing aluminum from a low-concentration lixivium of weathered crust elution-deposited rare earth ore with neutralizing hydrolysis. Rare Met. 2017, 36, 685–690. [Google Scholar] [CrossRef]
- Chen, J.C.; Yao, Q.X.; Qiu, J.M.; Liu, Q.S. Optimization of MgO precipitation ionic rare earth leaching solution by response surface method. J. Chin. Rare Earths 2020, 38, 646–654. [Google Scholar]
- Mo, D.C. Metallurgical Kinetics; Changsha Central South University Press: Changsha, China, 1987. [Google Scholar]
- Zhao, Z.W. Study on the Mechanochemistry and Leaching of Auriferous Sulfide Concentrates. Ph.D. Thesis, Changsha Central South University, Changsha, China, 1995. [Google Scholar]
- Chen, J.F. Study on the Process of Enhanced Leach of Ionic Rare Earth Minerals with Magnesium Salt-Acetic Acid System and High Efficiency Removal of Aluminum. Master’s Thesis, Jiangxi University of Science and Technology, Ganzhou, China, 2023. [Google Scholar]

















| Element | REE | O | F | Fe | Mg | Si | Al | Ca | Na | K | S | Mn | Other |
|---|---|---|---|---|---|---|---|---|---|---|---|---|---|
| Content | 40.6% | 23.44% | 0.2% | 1.05% | 16.4% | 3.65% | 5.63% | 0.6% | 0.51% | 0.16% | 5.85% | 1.07% | <0.1% |
| Oxide | La2O3 | Ce2O3 | Pr6O11 | Nd2O3 | Sm2O3 | Eu2O3 | Gd2O3 | Tb2O3 | Dy2O3 | Ho2O3 | Er2O3 | Tm2O3 | Yb2O3 | Lu2O3 | Y2O3 |
|---|---|---|---|---|---|---|---|---|---|---|---|---|---|---|---|
| Content | 26.53% | 2.02% | 6.21% | 23.2% | 4.45% | 0.88% | 4.87% | 0.69% | 3.85% | 0.71% | 1.85% | 0.25% | 1.32% | 0.18% | 22.99% |
| Element | REEs | Ca | Si | Mg | Al |
|---|---|---|---|---|---|
| Content | 19.05–19.22 | 81.50–120 * | 5.72–7.06 * | 12.22–12.66 | 2.12–11.64 * |
| Precipitation Rate/% | Temperature/K | ||||
|---|---|---|---|---|---|
| 298 | 308 | 318 | 328 | 338 | |
| 50% | 1312 | 1056 | 882 | 412 | 328 |
| 80% | 2150 | 1812 | 1551 | 1073 | 926 |
Disclaimer/Publisher’s Note: The statements, opinions and data contained in all publications are solely those of the individual author(s) and contributor(s) and not of MDPI and/or the editor(s). MDPI and/or the editor(s) disclaim responsibility for any injury to people or property resulting from any ideas, methods, instructions or products referred to in the content. |
© 2025 by the authors. Licensee MDPI, Basel, Switzerland. This article is an open access article distributed under the terms and conditions of the Creative Commons Attribution (CC BY) license (https://creativecommons.org/licenses/by/4.0/).
Share and Cite
Wang, Q.; Qi, T.; Liu, Y.; Yu, H.; Zhang, L.; Zhan, W. Sulfuric Acid Leaching of Ionic Rare Earth Magnesium Salt Enrichment and Removing Aluminum by MgO Precipitation. Minerals 2025, 15, 189. https://doi.org/10.3390/min15020189
Wang Q, Qi T, Liu Y, Yu H, Zhang L, Zhan W. Sulfuric Acid Leaching of Ionic Rare Earth Magnesium Salt Enrichment and Removing Aluminum by MgO Precipitation. Minerals. 2025; 15(2):189. https://doi.org/10.3390/min15020189
Chicago/Turabian StyleWang, Qiang, Tao Qi, Yinliang Liu, Hongdong Yu, Limin Zhang, and Wei Zhan. 2025. "Sulfuric Acid Leaching of Ionic Rare Earth Magnesium Salt Enrichment and Removing Aluminum by MgO Precipitation" Minerals 15, no. 2: 189. https://doi.org/10.3390/min15020189
APA StyleWang, Q., Qi, T., Liu, Y., Yu, H., Zhang, L., & Zhan, W. (2025). Sulfuric Acid Leaching of Ionic Rare Earth Magnesium Salt Enrichment and Removing Aluminum by MgO Precipitation. Minerals, 15(2), 189. https://doi.org/10.3390/min15020189
