Next Article in Journal
Sulfuric Acid Leaching of Ionic Rare Earth Magnesium Salt Enrichment and Removing Aluminum by MgO Precipitation
Next Article in Special Issue
Petrogenesis and U–Pb Dating of Variscan S-Type Granites from the Junqueira Batholith (Central Iberian Zone)
Previous Article in Journal
Effect of Flotation Variables on Slurry Rheological Properties and Flotation Performance of Lead–Zinc Sulfide Ores
 
 
Font Type:
Arial Georgia Verdana
Font Size:
Aa Aa Aa
Line Spacing:
Column Width:
Background:
Article

Origin and Implication of the Paoma Granite in the Western Yangtze Block, South China Craton

1
Nanchang Institute of Science and Technology, Nanchang 330108, China
2
The 8th Geological Brigade of Sichuan, Xichang 615000, China
3
The Second Geological Team of Jiangxi Geological Bureau, Jiujiang 332000, China
*
Author to whom correspondence should be addressed.
Minerals 2025, 15(2), 188; https://doi.org/10.3390/min15020188
Submission received: 29 December 2024 / Revised: 14 February 2025 / Accepted: 15 February 2025 / Published: 18 February 2025

Abstract

The Meso- to Neoproterozoic magmatic rocks cropping out in the western Yangtze Block are pivotal to comprehending the tectonic-magmatic revolutionary processes of the South China Craton during the breakup and assembly of Rodinia. A combined study including a detailed geological survey, systemic measurement of the geological section, petrographic observations, geochronology, and elemental geochemistry was carried out on the southern margin of the Paoma granitic pluton in SW China. The obtained data of major elements, along with the mineralogy that includes aluminosilicate minerals, indicate that the studied 825.7 ± 6.0 Ma Paoma granites are peraluminous, which is consistent with an affinity with S-type granites. They show seagull-shaped chondrite-normalized REE patterns with strongly negative Eu anomalies. They are enriched in LRREs and Large Ion Lithophile Elements but are depleted in High Field Strength Elements, with strongly negative Nb, Sr, P, and Ti anomalies. We conclude that the Paoma granite magma originated from the partial melting of clay-rich mudstone from the upper crust. The geochemical data of Paoma granite, integrated with the regional geological context, are consistent with a tectonic setting involving a fossil ridge subduction. The 825.7 Ma Paoma granite, along with the 830 Ma Guandaoshan gabbros showing N-MORB geochemical signatures, defines an east-west trending Neoproterozoic “slab window” in the WYB.

1. Introduction

Along with the Anninghe and Lvzhijiang faults, Precambrian granitic plutons normally associated with Sn-W-Fe deposits occur in the western margin of the Yangtze Block (WYB), stretching 300 km in a north-south trend from Mianing to Huili, Sichuan province, to Kunyang to Shiping in Yunan province. The size of these plutons broadly ranges from 1 km2 to 400 km2. Some plutons are genetically close to the Lugu Fe-Sn deposit and the Chahe Sn-W-Fe deposit in Sichuan province in the north and the Yaoxingcun W-Sn deposit, the Jiudaowan Sn-W deposit, and the Longtan Sn-W deposit in Yunnan province in the south [1].
Geochronology studies revealed that these Meso- to Neoproterozoic granitic plutons intruded on Precambrian meta-volcanic sedimentary strata, showing a trend that the crystallization ages of granites in the south were older than those in the north. We first reported four Mesoproterozoic zircon U-Pb ages ranging from 1055 to 1012 Ma on Mo Suoying granitic pluton in Huili county of Sichuan province [1,2], challenging a conclusion that the pluton was emplaced during the Neoproterozoic era [3,4,5,6,7].
A long time ago, geologists considered these granitic intrusions as a response to the collision between the Yunnan-Qinghai-Tibet Plate and the Yangtze Plate. Moreover, they identified them as the Jinning-Chengjiang Period of the S-type Granitic Belt [8,9]. However, according to recent research, the Mianning granite [10], Lugu granite [11], Daxiangling granite [12], and Shimian granite [13] all exhibit A-type affinity.
Since 1995, different geodynamic models have been proposed to explain the formation of widespread Neoproterozoic magmatism in the WYB, predominated by “Mantel-plume” [14,15,16,17,18] and “Arc” models [19,20,21,22,23].
We noticed that the ~830 Ma gabbroic rocks in the WYB exhibit discernible geochemical characteristics, indicating that their parent magmas formed from diverse sources. In addition, the Shimian granitic pluton exhibits A2-type affinity relating to a tensional environment of orogenic settings. The TTG suites of the Kangiding Complex may have derived from the melting of a meta-basalt in a hot and young slab close to a slab window. The associated felsic rocks of the Suxiong Formation may be produced by partial melting of the TTG suite under low pressure and high temperature, due to the upwelling of asthenospheric heat via a gap between two oceanic plates. Based on these outstanding studies, we built a “ridge subduction” model to explain Neoproterozoic magmatism in the WYB [1,13,24,25,26,27].
In this paper, we present new petrographic, elemental geochemical, and zircon U-Pb data on the Paoma pluton, ~7 km west of Jinsha River, in Ningnan county in Sichuan province. Furthermore, we discuss its emplacement age, petrogenesis, and tectonic significance in the framework of the evolutionary process of the WYB.

2. Geological Background

The Yangtze Block lies to the northwest of the South China Craton (SCC) (Figure 1a). In the most western SCC, the WYB preserves various and complex Precambrian rocks (Figure 1b), where the Kangding Complex had been considered as the Archean crystalline basement for decades [27]. However, the precious zircon U-Pb geochronology technique recently revealed that many magmatic crystallization ages of ~800 Ma are preserved in the Kangding Complex [1,27,28], leading people to argue whether or not an Archean basement exists in the WYB, which still needs to be investigated further.
Hosting many iron and copper deposits, which are defined as a proterozoic IOCG Fe-Cu metallogenic province in the WYB [30,31], two groups, Dahongshan and Hekou, are cropped out in the Yunnan and Sichuan provinces, respectively. The Dahongshan Group comprises mica schist, amphibolite, meta-conglomerate, quartzite, and carbonate, yielding 1675 ± 8 Ma by using SHRIMP U-Pb dating technology [32,33].
In the Yunnan and Sichuan provinces, the Kunyang and Huili Groups, both of which underwent metamorphism at lower greenschist facies, unconformably overlie the Dahongshan and Hekou Groups, respectively. The depositional ages of these strata are concentrated between 900 and 1000 Ma [34,35]. Mesoproterozoic granites are sandwiched between the Sichuan and Yunnan provinces, sporadically outcropped in the Huili, Huidong, Panzhihua, and Salian regions, and be identified as S-type granite [2,28,35]. A simultaneous Grenvillian age A-type granitic pluton was also reported on the border of two provinces [36].
A great number of acid-intermediate igneous rocks with minor mafic-ultramafic rocks made up the Neoproterozoic magmatism in the WYB. The bimodal volcanic-sedimentary stratum of the Suxiong Formation is distributed along the N-S trending Anning River Fault. However, its equivalent strata, the Yanbian Group in the south and the Kaijianqiao Formation in the north, respectively, are seen in the Panzhihua and Ganluo areas. Geochronology data obtained from the Suxiong Formation are concentrated between 853 ± 2 Ma and 705.6 ± 9.3 Ma, suggesting the strata of felsic tuffs, basalt, and volcaniclastic rocks probably formed by episodic volcanic eruptions continuing over a long period time of more than 150 Ma. Additionally, one of the depositional ages should be 813 ± 20 Ma [25]. Based on field observations, numerous Neoproterozoic granitoids and minor contemporaneous mafic-ultramafic rocks broadly intruded on Meso-Neoproterozoic basement rocks and are overlain unconformably by Sinian strata. Previous geochronology studies revealed that their emplacement ages are concentrated between 890 and 740 Ma [37].
The north-south elongated Paoma pluton is a small granitic stock occupying an area of about 21.8 km2 on the west bank of Jinsha River and stretching from Lianhe town of Butuo county in the north to Paoma town of Ningnan county in the south, Liangshan Yi Autonomous Prefecture, China (Figure 1c). The overall elongation of the pluton is parallel to the regional strike, ~7 km of N-S trending Xiaojiang Fault. The granitic stock is intrusive into the peripheral part of the deformed meta-sedimentary succession of the Tangtang Formation (with an estimated maximum depositional age, or MDA, of 1.0 Ga [38,39]) of the Huili Group and covered by the terrigenous clastic rocks of the early Sinian Lieguliu Formation (Z1l; the MDA = 740 Ma [40]). According to the lithology and contact relationship, the Paoma granitic pluton could be divided into three units: Unit 1 (Pt3W), Unit 2 (Pt3X), and Unit 3 (Pt3C), respectively (Figure 1c).
Unit 1 (Pt3W) makes up the north part of Paoma pluton with ~15.75 km2. Part of Unit 1 is shown in Figure 1c. The unit is made of fine-grained biotite monzogranite containing pie-shaped graphite assemblages. No veins and enclaves are observed in Unit 1.
Unit 2 (Pt3X) occupies the southern Paoma pluton and a brief description of the unit is provided in the “petrography” section below.
Unit 3 (Pt3C) occurs as a small stock, occupying an area of around 0.1 km2 and separating from the granitic stock mapped in Figure 1c. Unit 3 is made of coarse-grained granite showing a potassic-rich composition. Muscovite and biotite are relatively richer in Unit 3 (Pt3C), roughly accounting for 1% and 4%, respectively.

3. Petrography

Designed by the China Geological Survey project (1212010610206), two geologic sections, PM202 and PM205, were employed on the north and south parts of the 21.8 km2 Paoma pluton, respectively. In this paper, we report six samples from the systematically measured section PM205 on Unit 2 (Pt3X) of the Paoma pluton. The unit is located at the southern Paoma pluton and covers an area of about 6.06 km2. Six samples were collected from the southern margin of the unit and identified as the light grey fine- to medium-grained biotite monzogranite (Figure 2).
No veins were observed in Unit 2; however, enclaves are distributed randomly (Figure 2c). The enclaves are sub-degree angular or equiaxed in shape and consist of meta-felsic rocks (the quartz rock and the meta-feldspathic quartz sandstone of Tangtang Formation), fine-grained plagioclase-hornblende rocks, and dioritic rocks. In the east of Guanpingzi, Paoma town, it can be seen that the fine-grained biotite monzogranite (Unit 1; Pt3W) enclaves are enclosed within Unit 2 (Pt3X), where the boundaries are unclear. The Unit 1 enclaves are oval in shape and the phenomenon of dissolution and contamination occurs. We suggest that Unit 2 intrudes on Unit 1.
The grey to light-grey-colored fine- to medium-grained monzogranite shows porphyritic texture and exhibits massive structure. It consists of 19% K-feldspar, 18% quartz, 15% plagioclase, 2% biotite, and less than 1% apatite and zircon. Some felsic minerals existing as the groundmass are too small to be identified, which may account for 45%. Rare muscovite and metal minerals can also be observed.
The 15–32 vol.% megacrysts are quartz, plagioclase, and K-feldspar. The size of plagioclases is mostly concentrated between 2.8 mm and 5 mm. However, a few plagioclases are as large as 6.5 mm to 9 mm. The plagioclases are mainly oligoclase occurring as subhedral to euhedral tabular crystals and strongly altered to sericite.
The size of K-feldspar is mostly in the range of 3–5 mm, occurring mainly as anhedral crystals. Few K-feldspars exhibit subhedral tabular crystals. K-feldspar is a microperthitic microcline and shows slight kaolinization.
Quartz grains are anhedral granular crystals with various sizes, mostly ranging from 2.8 to 5 mm. Some quartz grains are larger and can be up to 14 mm. Quartz phenocrysts contain irregular cracks that can rarely be observed in the specimen.
The groundmass (67–84 vol.%) consists predominantly of quartz, plagioclase, K-feldspar, and biotite. In general, the size of minerals ranges from 0.04 to 1.8 mm. They are distributed irregularly, exhibiting a massive structure. Garnet and muscovite can also be found but their proportion is much less than other minerals. The garnet confines small biotite.
Accessory minerals (1 vol.%), including apatite, zircon, and titanite, are rarely observed, occurring as euhedral crystals enclosed in primary ferromagnesian minerals.

4. Analytical Techniques

4.1. Zircon U-Pb Dating

An unweathered ~2 kg rock sample (sample D226) was sent to the Geological Team of Hebei province. A binocular microscope was used for hand-picking the representative zircons after traditional heavy liquid and magnetic methods were used to extract the zircons from the rock sample.
Analysis of U-Pb isotopic ratios of zircon separates was undertaken at the State Key Laboratory of Continental Dynamics, Northwest University at Xi’an in Shaanxi province of China. The instrumentation used includes an Agilent 7500a inductively coupled plasma mass spectrometer (ICP-MS) equipped with a Shield Torch system, coupled with a GeoLas 200M Laser Ablation System (LA) manufactured by MicroLas Company, Germany. The laser system incorporates the ComPex102 Excimer laser (193 nm wavelength) produced by Lambda Physik, Germany, and an optical system designed by MicroLas.
For analytical conditions, the laser operated at a spot size of 32 µm, with a repetition rate of 10 Hz and an energy density of approximately 5 J/cm2. Helium was used as a carrier gas to transport the ablated material to the ICP-MS. The instrument was tuned to maximize sensitivity while minimizing oxide formation (ThO/Th < 0.3%).
The calibration of U-Pb isotopic ratios was performed using the Harvard zircon 91500 as the primary external standard [41], with analyses of the standard interspersed throughout the sample runs to ensure consistency and accuracy. GJ-1 zircon [42] was used as a secondary standard to monitor precision and reproducibility.
Raw data were processed using GLITTER 4.0 software [43], which allows real-time reduction in laser ablation data. Concordia diagrams and U-Pb age calculations were generated using Isoplot 7.5 software [44].

4.2. Major and Trace Element Analysis

For major and trace element analysis, the weathered surface of selected samples was removed before being shipped to the Yichang Center of Geological Survey, China Geological Survey in Hubei province. At the laboratory, fresh rock samples were first crushed into coarse fragments using a tungsten carbide ball mill, followed by further grinding into fine powder (<200 mesh) using an agate mill. In order to eliminate any remaining moisture, the powdered samples were dried in an oven set at 105 °C for 12 h.
Approximately 0.7 g of powered rock sample was combined with 0.3 g NH4NO3, 0.4 g LiF, and 5.3 g lithium tetraborate (Li2B4O7) and fused at high temperature (1000–1200 °C) to create a glass bead.
The concentrations of major oxides, such as SiO2, TiO2, Al2O3, Fe2O3, FeO, MnO, MgO, CaO, Na2O, K2O, and P2O5, were measured using XRF (X-ray fluorescence) spectrometry. The Fe oxidation state (Fe2+/Fe3+ ratio) was determined using a wet chemical titration method, where a separate aliquot of powdered sample was treated with acid under controlled conditions to differentiate FeO and Fe2O3. The H2O+ content (bound water) was measured by heating 1 g of powdered sample at 1100 °C for one hour, with the weight loss record to calculate water content.
Analytical calibration was performed using Chinese National Standard GSR-1 and GSR-3. The precision of the XRF method for major elements typically ranged from 1 to 2%, with accuracy checked against certified reference materials.
ICP-MS (Inductively Coupled Plasma Mass Spectrometry) was used to measure the amounts of trace elements. In order to fully dissolve silicate minerals, approximately 50 mg of powdered rock sample was digested in a closed vessel using a mixed acid solution (HF-HNO3-HCl). To guarantee total disintegration, the digestion was conducted in a Teflon container and heated for 48 h.
Following digestion, the samples were dried out by evaporation, and any leftover material was dissolved in an HNO3 solution. This solution was then diluted to a suitable concentration for ICP-MS analysis. For the majority of trace elements with abundances >10 ppm, the precision of the results was better than ±5%, and for those with values <10 ppm, it was ±10%.

5. Results

5.1. U-Pb Dating

Table 1 presents the in situ zircon U-Pb dating analytical results for 20 spots, showing that the Th and U contents are concentrated in 138.8–684.8 ppm and 229.4–2425.4 ppm, respectively, with Th to U ratios of 0.1 to 1.16. The U-Pb ages of seven spots showing concordance better than 90% could be divided into two groups (Figure 3). However, the grain Nos. 20, 22, and 26 have Th/U ratios of around 0.26, 0.2, and 0.1, respectively, and yielded the 206Pb/238U ages of 537.1 Ma, 741.6 Ma, and 508.2 Ma. Therefore, we thought that due to later thermal incidents, the Pb contents of zircons grain Nos. 20, 22, and 26 had changed somewhat over geologic time. We considered the ages as the timings of the 537.1 Ma and the 508.2 Ma metamorphic events that can be best correlated with the Caledonian Orogeny in the region [45]. The rest of the four zircons yielded a weighted mean 206Pb/238U age of 802 ± 45 Ma with a high value of MSWD = 46. Considering that the Paoma pluton is unconformity overlain by the Lieguliu Formation (Z1l; the MDA = 740 Ma) based on field observation, we think the crystallization age of the Paoma granites should not be later than 740 Ma. Therefore, the grain Nos. 6 and 25 with the 206Pb/238U ages of 796.1 ± 4.1 Ma and 767.5 ± 4.0 Ma, respectively, were excluded from age calculation, obtaining a weighted mean 206Pb/238U age of 825.7 ± 6.0 Ma (MSWD = 0.59; Figure 3). The age of 825.7 ± 6.0 Ma is recommended as the emplacement time of the studied Paoma granite.

5.2. Major Elemental Geochemistry

Table 2 shows the major and trace elemental analytical results for the samples. The SiO2 concentrations of the analyzed samples are concentrated in a narrow range between 66.9 wt.% and 71 wt.%, with the calculated A/CNK = 1.1–1.44 (except sample PM205-14H1 = 0.95) showing the characteristic of strongly peraluminous granites. This characteristic is defined by the A/CNK index and can also be observed from the A/NK-A/CNK diagram (Figure 4a). The studied rocks have Na2O/K2O ratios ranging from 0.3 to 0.8 and are classified as granites in the plutonic rock discrimination diagram based on the Si2O vs. (Na2O + K2O) relationship [46] (Figure 4b). These granites have MgO contents ranging from 0.5 to 1.6 and Fe2O3 contents between 3 and 4.9, respectively. In the SiO2 vs. FeOt/(FeOt + MgO) diagram, three samples plot in the ferroan granite field, while the others fall within the magnesian field (Figure 4c). In the SiO2 vs. [(Na2O + K2O)-CaO] diagram, following the classification of Frost et al. (2008) [47], the studied granitoids predominantly plot within the alkali-calcic field (Figure 4d). Five samples are aligned parallel to the MALI boundaries (Figure 4d), suggesting that fractional crystallization of feldspathic melts occurred [47].

5.3. Trace Elemental Geochemistry

The ΣREE, ΣLREE, and ΣHREE of the granites vary from 296.56 to 408.05 ppm, 263.95 to 363.6 ppm, and 32.61 to 46.64 ppm, respectively, with the values of ΣLREE/ΣHREE, (La/Yb)N, (Gd/Yb)N, and (La/Sm)N ranging from 6.8 to 9.12, 7.04 to 11.61, 1.52 to 1.98, and 3.05 to 3.8, indicating that the fractionation degree between LREE and HREE is high, between LREEs is medium, and between HREEs is weak. These features can also be observed from the chondrite-normalized REE patterns showing seagull-shaped patterns with strongly negative Europium anomalies (Figure 5a). The Eu anomaly and Ce anomaly values, respectively, are 0.39 to 0.53 and 0.97 to 1.05 (Eu/Eu* = EuN/√(SmN × GdN) and Ce/Ce* = CeN/√(LaN × PrN) [49]), showing that the samples exhibit no or very slight negative Ce anomalies, but substantially negative Eu anomalies.
The granites have high concentrations of Rb, Th, U, Pb, and LREEs with regard to Ba, Nb, Sr, P, and Ti (Table 2, Figure 5b). On the primitive mantle-normalized multi-element variation diagrams (Figure 5b), the granites are enriched in Large Ion Lithophile Elements (LILEs) and LREEs but depleted in High Field Strength Elements (HFSEs), with strongly negative Nb, P, Ti, and Sr anomalies.

6. Discussion

6.1. Classification of Paoma Granites

The studied samples exhibit a high Aluminous Saturation Index, with A/CNK values ranging from 1.1 to 1.44, reflecting a mineral assemblage containing garnet and muscovite. The CIPW normative corundum ranges from 1.5 to 4.9, except for the sample PM205-14H1, which was calculated as zero. They are rich in aluminum and potassium but poor in calcium and sodium, showing affinity with S-type granite. In addition, their Na2O contents decrease from 2.9 to 1.9 wt.% while the K2O concentrations reduce from 6.4 to 3.6 wt.%, which is consistent with S-type granite [52]. This distinctive chemical property is greatly illustrated by the Na2O versus K2O diagram (Figure 6a). On the ACF graph, the samples are also distinguished as S-type granite (Figure 6b).

6.2. Petrogenesis

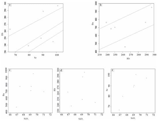
The Paoma granites exhibit a high value of 10,000*Ga/Al (2.85 to 3.18), a chemical feature of A-type granite. However, strongly fractionated S-type and I-type granites can have geochemical characteristics overlapping A-type granite [53,55,56]. Additionally, the chondrite-normalized REE patterns of the Paoma granites, where the REE patterns of all granite samples are distributed parallel to each other and show very homogeneous geochemical composition (Figure 5a), as well as the (La/Yb)N ratios ranging from 7 to 11.6, also indicate that the parent magma was highly fractionated. Furthermore, the diagrams illustrate Rb to Sr and Ba to Rb ratios, as well as the multiple plots of SiO2 against Ba, Rb, and Sr, indicating different degrees of fractionation of the Paoma granites (Figure 7). On top of that, the whole-rock Zr/Hf ratio is an indicator for the identification of magmatic differentiation. The Zr/Hf ratios of the Paoma granite samples are concentrated between 32.4 and 38 (with an average of 35.6) and identified as moderately evolved granite (between 25 and 55), which is much lower than those of common granite (>55). This feature is consistent with the high abundances of Th and U shown in Table 2 and Figure 5b [57]. In the WYB, many Precambrian granitic plutons are tightly associated with the mineralization of Sn and W (see Section 1), which is another crucial characteristic of highly fractionated granite [57].
The Paoma granites constitute garnet and muscovite. They are strongly peraluminous (A/CNK = 1.1–1.44; Figure 4b). These characteristics are evidenced by mineralogy and major elements that identify them as S-type granite. Moreover, the values of Zr/Hf and Nb/Ta could determine whether the granitic magma is derived from common magmatic differentiation or magmatic-hydrothermal interaction [57]. On the (Zr/Hf)—(Nb/Ta) diagram (Figure 8a), the Paoma granites deviated from normal granite and show the trace element characteristics of highly fractionated S-type granite, which is similar to the highly fractionated Himalaya leucogranite and Mesozoic granites in the SCC [57]. A very low Nb/Ta ratio could be caused by strongly fractionated magmas or fluids released during the last stage of the evolution of the peraluminous granitic magma. They could affect the chemical composition of granites, causing a reduction in the Na/Ta ratios during the magmatic differentiation of granitic melts. Therefore, the Nb/Ta ratio = 5 is used to identify whether the peraluminous granites are from a magmatic-hydrothermal system (<5) or a purely magmatic system [59]. In the Paoma granites, two samples have a Nb/Ta ratio higher than 5 while the other four samples have a Nb/Ta ratio lower than 5 (Figure 8a), indicating that the granitic melts were modified by hydrothermal fluids and the Nb-Ta fractionation is also partly mediated by sub-solidus alteration [59].
The various total REEs with parallel patterns (Figure 5a) show very homogeneous geochemical composition, indicating that all samples are derived from one magma source undergoing fractionation. On the multi-element spider diagram (Figure 5b), the characteristics of the Sr, Eu, and Ba negative anomalies are generally generated by the fractionation of K-feldspar and plagioclase, whereas the fractionation of Ti-bearing minerals and apatite produces Nb-Ti and P depletions, respectively. However, Figure 7 illustrates that the concentrations of Ba and, in particular, Sr appear to increase from the least to the most differentiated members of the suite. This positive correlation with SiO2 suggests that significant feldspar fractionation (plagioclase ± K-feldspar) has likely not occurred.
Generally, strongly fractionated granites are expected to exhibit low REE contents showing the REE tetrad effect [61], and the LREE/HREE tends to decrease. However, the ΣREE values observed in the samples of the Paoma granite are relatively high (296.56 to 408.05 ppm). This “abnormal” characteristic could be attributed to several key processes during their petrogenesis and magmatic evolution. The enrichment of REEs in granitoids is primarily influenced by the oxidation state of the magma, processes of fractional crystallization, and the chemical compositions of source materials (alkali-rich) [62]. Take into account the fact that mica-contained peraluminous granite is typically regarded as S-type and thought to originate from meta-sedimentary protoliths [63]. We think the highly fractionated Paoma S-type granite is derived from sedimentary source rocks, particularly those rich in REE-bearing minerals like monazite and zircon, etc. The partial melting of such meta-sedimentary rocks under appropriate conditions leads to the concentration of REEs in the melt. Moreover, these granites typically originate from crustal materials enriched in LREEs, whereas we observed HREEs in the Paoma granite.
Additionally, the ratios of Nb/Ta, Th/U, Zr/Hf, CaO/Na2O, and Rb/Sr could be used to identify the source composition of granitoids [64,65]. In Paoma granites, the average value of Nb/Ta is 5.16, which is lower than the average value of crust (12–13 [66]). The depletion of Nb and Ta indicates that the crust materials are added to the magma source [64]. The concentrations of Nb and Ta suggest that the crustal materials were only incorporated into the magma source of Paoma granites. Their Th/U values range from 7.8 to 10.7, which is much higher than the average value of continent crust (2.8 [49]). Their Zr/Hf values of 32.4–38 are identical to the average value of the upper crust (37 [67]). The values of CaO/Na2O and Rb/Sr of the samples, respectively, concentrated between 0.16 and 1.03 (the average value of upper crust is 1.1 [68]) and vary from 2.51 to 3.97 (the average values of crust and upper crust are 0.24 and 0.32 [49]). All these chemical indexes show that the source rock of the Paoma granites should be sedimentary clastics in the upper crust. Moreover, the right-inclined seagull-shaped REE patterns and the traits of depletion in HSFE with substantially negative Nb, Ti, P, and Sr anomalies and enrichment in LILEs are comparable in trace element geochemistry to those granites derived from remelting of the crust [2].
The source rock could be clay-rich mudstone as the samples are rich in aluminum. For granitic rocks, the pelite-derived melt has high Rb/Ba and Rb/Sr values of 0.25 and 2.6, respectively, while the igneous-derived melt values are about 0.3 and 0.6. Moreover, the pelite-derived melt and greywackes/igneous-derived melt could be distinguished by CaO/Na2O (<0.5 for pelite-derived and 0.3–1.5 for greywackes-derived [65]). According to experiments, S-type granite derived from meta-pelite often has lower CaO/Na2O ratios (<0.3) than those from meta-psammite (>0.3) [60,65]. On the CaO/Na2O vs. Rb/Sr plot, three samples of Paoma granite plot in the field of psammite-derived Peraluminous Granite Melts while the other three fall within the field of pelite-derived Peraluminous Granite Melts (Figure 8b). On the ternary diagram (Figure 9a) and binary plot (Figure 9b) for distinguishing source rocks, the major element chemistry of Paoma granites matches the composition of experimental melts derived from meta-sediments [69,70].
The Paoma granitic pluton intrudes on the Tangtang Formation of the Mesoproterozoic Huili Group. In the region, the meta-sedimentary stratum of the Tangtang Formation constitutes schist, slate, meta-sandstone, and quartz rock. The characteristics of these meta-sedimentary rocks and their protoliths are summarized in Table 3.

6.3. Implication for Regional Tectonic Framework

Syn- or post-collisional tectonics are usually linked to the formation of S-type granites in the continental crust. In South China, the Sibao [71,72] and/or Jiangnan [73,74] orogenies played significant roles in the assembly of the SCC and the most significant geological event of the Sibao Orogeny is the collision and convergence between the Cathaysia Block and the Yangtze Block occurring roughly after ca. 1149 Ma [2,71,75,76]. Therefore, we often link the Mesoproterozoic S-type granites in the WYB to the Grenvillian Orogeny [2,28,35].
However, the geodynamic environment in the WYB changed during the Neoproterozoic era. It seems that neither a “mantle-plume” model [14,17,18] nor an arc magmatism [22,23] can easily explain the formation of the 825.7 Ma S-type Paoma granite.
Based on our previous studies, we propose a new geodynamic model of ridge subduction to explain the formation of the Neoproterozoic A-type granite, the TTG suite of the Kangding Complex, the felsic rocks of the Suxiong Formation, and the gabbroic rocks in the WYB [13,24,25,26,27].
Ridge subduction is a geological process in which an oceanic ridge is subducted beneath a continental plate, often leading to unique magmatic activities, including the formation of S-type granites [77].
Asthenospheric mantle upwelling is linked to both post-collisional and ridge subduction scenarios, resulting in extensive magmatism and high-temperature metamorphism. A comparable range of magmatic rocks, including S-type granite, can be produced by either of these high-temperature tectonic regimes. On the (Cao/Al2O3) vs. (CaO + Al2O3) diagram (Figure 10a), the Paoma S-type granite is congruent with the Late-Paleozoic peraluminous granite in the Central Asian Orogenic Belt, both of which are akin to melts generated in low-pressure environments linked to ridge subduction [77].
The saturation temperatures of zircons can be used to distinguish post-collisional granites from ridge-subduction-related granites [77]. When we calculate the zircon saturation thermometer [78] by using the software GCDkit 3.0 [79], the obtained zircon saturation thermometer ranges from 752.1° to 851.2°. On the zircon saturation temperatures vs. Zr abundances plot, the Paoma granites fall in the field of ridge-subduction-related granite (Figure 10b).
The ~830 Ma Guandaoshan gabbros in the northern Panzhihua have flat REE patterns, indicating that they are coeval with the 825.7 Ma Paoma S-type granite. These gabbros, showing tholeiite affinity, were regarded as a sign that mantle components have entered the crust through an extensional tectonic environment. We, therefore, suggested that a “slab window” was formed under the northern Panzhihua ~830 Ma [26]. Upwelling magma that partially melted the deep crust could also result in the formation of S-type granites [80,81,82,83]. Asthenospheric upwelling, major invasion/underplating of mantle-derived magma, and decompression of thickened crust thrust into the mantle are the most prevalent mechanisms for crust melting [82,84].
The Paoma S-type granites were formed at lower temperatures (752.1–851.2°), indicating that the granites were generated during the final stage of low-temperature melting in a ridge subduction system [82]. Our newly reported Paoma S-type granites, along with the Guandaoshan gabbros possessing N-MORB-like geochemical signatures [26], define an east-west trending “slab window” along the “Paoma town, Ningnan county to Guandaoshan, northern Panzhihua” region in the WYB (Figure 11).

7. Conclusions

(1) The emplacement age of the Paoma pluton is estimated to be 825.7 ± 6.0 Ma, supported by the regional geological evidence that the pluton is unconformably overlain by the Leiguliu Formation with the MDA of 740 Ma.
(2) The mineralogy, chemical characteristics, mineralization features, and regional geology indicate that the Paoma granites are affiliated with highly fractionated S-type granite and may have originated from melts of meta-sediments of the upper crust.
(3) The regional geology and geochemistry characteristics of the Paoma granite imply that the 825.7 Ma S-type granites in the WYB were formed above a slab window driven by ridge subduction.

Author Contributions

Conceptualization, A.M.; methodology, A.M. and C.Z.; software, N.Y., G.L., P.G. and F.L.; validation, B.L., F.L. and N.Y.; formal analysis, A.M. and C.Z.; investigation, A.M., C.Z. and Y.L.; resources, A.M., C.Z. and Y.L.; data curation, A.M.; writing—original draft preparation, A.M.; writing—review and editing, A.M.; visualization, A.M.; supervision, A.M.; project administration, C.Z. and Y.L.; funding acquisition, A.M. and C.Z. All authors have read and agreed to the published version of the manuscript.

Funding

The zircon U-Pb and geochemical data analyses supporting this study were carried out by the China Geological Survey project (1212010610206). Additionally, the Foundation of the Jiangxi Educational Committee (GJJ2202914) and Start-up Funding for Research of Nanchang Institute of Science and Technology (NGRCZX-21-06) financially supported the publication of this article.

Data Availability Statement

The original contributions presented in this study are included in the article. Further inquiries can be directed to the corresponding author(s).

Acknowledgments

Dong Peng from Sichuan Bureau of Geology Exploration and Exploitation of Mineral Resources helped with the zircon U-Pb dating analysis. Thanks are due to the anonymous reviewers for their insightful remarks, especially in the petrograph and U-Pb dating sections, which significantly improved the manuscript.

Conflicts of Interest

The authors declare no conflict of interest.

References

  1. Mabi, A.W. Tectonic Backgrounds, Diagenesis and Mineralization of the Precambrian Magma in the Middle of the Western Yangtze Block. Ph.D. Thesis, Chengdu University of Technology, Chengdu, China, 2019. (In Chinese with English Abstract). [Google Scholar]
  2. Mabi, A.W.; Yang, Z.X.; Zhang, M.C.; Wen, D.K.; Li, Y.L.; Liu, X.Y. Two Types of Granites in the Western Yangtze Block and Their Implications for Regional Tectonic Evolution: Constraints from Geochemistry and Isotopic Data. Acta Geol. Sin.-Engl. Ed. 2018, 92, 89–105. [Google Scholar] [CrossRef]
  3. Sichuan Bureau of Geology. Miyi 1:200000 Geological Map Sheet; Unpublished Report; Sichuan Bureau of Geology: Chnegdu, China, 1964. (In Chinese)
  4. Sichuan Bureau of Geology. Mosuoying-Yimen 1:50000 Geological Map Sheet; Unpublished Report; Sichuan Bureau of Geology: Chnegdu, China, 1986. (In Chinese)
  5. Wan, M.H. A Study of the Flow Structures in Mosuoying Granite. J. Chengdu Coll. Geol. 1987, 14, 41–46, (In Chinese with English Abstract). [Google Scholar]
  6. Tan, B.P.; Zhang, C.J. The characteristics of geology and geochemistry in Chahe Tin deposit, Sichuan province. J. Mineral. Petrol. 2001, 21, 67–70, (In Chinese with English Abstract). [Google Scholar]
  7. Guo, C.L.; Wang, D.H.; Chen, Y.C.; Zhao, Z.G.; Wang, Y.B.; Fu, X.F.; Fu, D.M. SHRIMP U-Pb zircon ages and major element, trace element and Nd-Sr isotope geochemical studies of a Neoproterozoic granitic complex in western Sichuan: Petrogenesis and tectonic signficance. Acta Petrol. Sin. 2007, 23, 2457–2470, (In Chinese with English Abstract). [Google Scholar]
  8. Yi, F.G.; Sun, Z.M.; Wan, F.; Ning, X.H.; Zhang, J.H.; Jin, M.X. Yangzi Lukuai Xiyuan Gouzao Yanhua Ji Ziyuan Xiaoying; Geological Publishing House: Beijing, China, 2005; (In Chinese with English Abstract). [Google Scholar]
  9. Shen, S.; Jin, M.X.; Lu, Y.F. Xichang-Dianzhong Diqu Zhuyao Kuangchan Chengkuang Guilv Ji Zhaokuang Fangxia; Chongqi Publisher: Chongqi, China, 1988; (In Chinese with English Abstract). [Google Scholar]
  10. Huang, X.L.; Xu, Y.G.; Li, W.X.; Li, H.Y.; Li, X.H.; Lan, J.B.; Zhang, H.H.; Liu, Y.S.; Wang, Y.B.; Luo, Z.Y.; et al. Petrogenesis and tectonic implications of Neoproterozoic, highly fractionated A-type granites from Mianning, South China. Precambrian Res. 2008, 165, 190–204. [Google Scholar] [CrossRef]
  11. Yan, S.W.; Bai, X.Z.; Wu, W.X.; Zhu, B.; Zhan, Q.Y.; Wen, L.; Yang, H.; Wang, Y.T. Genesis and geological implications of the Neoproterozoic A-type granite from the Lugu area, western Yangtze block. Geol. China 2017, 44, 136–150, (In Chinese with English Abstract). [Google Scholar]
  12. Zhao, X.F.; Zhou, M.F.; Li, J.W.; Wu, F.Y. Association of Neoproterozoic A- and I-type granites in South China: Implications for generation of A-type granites in a subduction-related environment. Chem. Geol. 2008, 257, 1–15. [Google Scholar] [CrossRef]
  13. Mabi, A.W.; Li, Y.L.; Zhang, M.C.; Yang, Z.X.; Yu, N.B. Newly Identified A-type Granite in Western Yangtze Block and Its Geochemistry Characteristics: Evidence for Ridge Subduction Beneath the South China Craton. Petrology 2023, 31, 681–704. [Google Scholar] [CrossRef]
  14. Li, X.H.; Li, Z.X.; Ge, W.C.; Zhou, H.W.; Li, W.X.; Liu, Y.; Wingate, M.T.D. Neoproterozoic granitoids in South China: Crustal melting above a mantle plume at ca. 825 Ma? Precambrian Res. 2003, 122, 45–83. [Google Scholar] [CrossRef]
  15. Li, X.H.; Li, Z.X.; Sinclair, J.A.; Li, W.X.; Carter, G. Revisiting the “Yanbian Terrane”: Implications for Neoproterozoic tectonic evolution of the western Yangtze Block, South China. Precambrian Res. 2006, 151, 14–30. [Google Scholar] [CrossRef]
  16. Li, X.H.; Zhu, W.G.; Zhong, H.; Wang, X.C.; He, D.F.; Bai, Z.J.; Liu, F. The Tongde Picritic Dikes in the Western Yangtze Block: Evidence for Ca. 800-Ma Mantle Plume Magmatism in South China during the Breakup of Rodinia. J. Geol. 2010, 118, 509–522. [Google Scholar] [CrossRef]
  17. Li, Z.X.; Li, X.H.; Kinny, P.D.; Wang, J. The breakup of Rodinia: Did it start with a mantle plume beneath South China? Earth Planet. Sci. Lett. 1999, 173, 171–181. [Google Scholar] [CrossRef]
  18. Li, Z.X.; Li, X.H.; Kinny, P.D.; Wang, J.; Zhang, S.; Zhou, H. Geochronology of Neoproterozoic syn-rift magmatism in the Yangtze Craton, South China and correlations with other continents: Evidence for a mantle superplume that broke up Rodinia. Precambrian Res. 2003, 122, 85–109. [Google Scholar] [CrossRef]
  19. Zhao, J.H. Geochemistry of Neoproterozoic Arc-Related Plutons in the Western Margin of the Yangtze Block, South China. Ph.D. Thesis, The University of Hong Kong, Hong Kong, China, 2008. [Google Scholar]
  20. Zhao, J.H.; Asimow, P.D.; Zhou, M.F.; Zhang, J.; Yan, D.P.; Zheng, J.P. An Andean-type arc system in Rodinia constrained by the Neoproterozoic Shimian ophiolite in South China. Precambrian Res. 2017, 296, 93–111. [Google Scholar] [CrossRef]
  21. Zhao, J.H.; Zhou, M.F. Neoproterozoic adakitic plutons and arc magmatism along the western margin of the Yangtze Block, South China. J. Geol. 2007, 115, 675–689. [Google Scholar] [CrossRef]
  22. Zhou, M.F.; Ma, Y.X.; Yan, D.P.; Xia, X.P.; Zhao, J.H.; Sun, M. The Yanbian Terrane (Southern Sichuan Province, SW China): A Neoproterozoic arc assemblage in the western margin of the Yangtze Block. Precambrian Res. 2006, 144, 19–38. [Google Scholar] [CrossRef]
  23. Zhou, M.F.; Yan, D.P.; Kennedy, A.K.; Li, Y.Q.; Ding, J. SHRIMP U-Pb zircon geochronological and geochemical evidence for Neoproterozoic arc-magmatism along the western margin of the Yangtze Block, South China. Earth Planet. Sci. Lett. 2002, 196, 51–67. [Google Scholar] [CrossRef]
  24. Mabi, A.W. Geodynamic model for the formation of Neoproterozoic A-type granites in the western Yangtze Block. J. Geointerface 2024, 3, 25–28. [Google Scholar]
  25. Mabi, A.W.; Li, Y.L.; Yu, N.B.; Liu, B.; Lv, F.F.; Yang, Z.X. Geochemical characteristics of felsic volcanic rocks in active continental margin above ridge subduction: A case study of the Neoproterozoic Suxiong Formation in the western Yangtze Block. J. Geol. Geogr. Geoecology 2024, 33, 729–747. [Google Scholar] [CrossRef]
  26. Mabi, A.W.; Li, Y.L.; Yu, N.B.; Liu, B.; Yang, Z.X. Geochronology and geochemistry characteristics of Neoproterozoic gabbros in Western Yangtze Block and its implication for an injection of mafic magma into the active continental margin. Discov. Space 2024, 128, 1–18. [Google Scholar] [CrossRef]
  27. Mabi, A.W.; Zhang, M.C.; Li, Y.L.; Yu, N.B.; Xu, X.C. Neoproterozoic ridge subduction beneath South China Craton: TTG suites of Kangding Complex in Western Yangtze Block and its geochemistry characteristics. J. Geol. Soc. India 2024, 100, 1347–1358. [Google Scholar] [CrossRef]
  28. Geng, Y.S.; Yang, C.H.; Wang, X.S.; Du, L.; Ren, L.; Zhou, X.W. Metamorphic Basement Evolution in Western Margin of Yangtze Block; Geological Publishing House: Beijing, China, 2008; (In Chinese with English Abstract). [Google Scholar]
  29. Zhu, Y.; Lai, S.C.; Qin, J.F.; Zhu, R.Z.; Zhao, S.W.; Liu, M.; Zhang, F.Y.; Zhang, Z.Z.; Yang, H. Magma mixing for the genesis of Neoproterozoic Mopanshan granitoids in the western Yangtze Block, South China. J. Asian Earth Sci. 2022, 231, 105227. [Google Scholar] [CrossRef]
  30. Zhao, X.F.; Zhou, M.F. Fe-Cu deposits in the Kangdian region, SW China: A Proterozoic IOCG (iron-oxide-copper-gold) metallogenic province. Miner. Depos. 2011, 46, 731–747. [Google Scholar] [CrossRef]
  31. Zhou, M.F.; Zhao, X.F.; Chen, W.T.; Li, X.C.; Wang, W.; Yan, D.P.; Qiu, H.N. Proterozoic Fe-Cu metallogeny and supercontinental cycles of the southwestern Yangtze Block, southern China and northern Vietnam. Earth-Sci. Rev. 2014, 139, 59–82. [Google Scholar] [CrossRef]
  32. Greentree, M.R.; Li, Z.X. The oldest known rocks in south-western China: SHRIMP U-Pb magmatic crystallisation age and detrital provenance analysis of the Paleoproterozoic Dahongshan Group. J. Asian Earth Sci. 2008, 33, 289–302. [Google Scholar] [CrossRef]
  33. Zhao, X.F. Paleoproterozoic crustal evolution and Fe-Cu metallogeny of the western Yangtze Block, SW China. Ph.D. Thesis, The University of Hong Kong, Hong Kong, China, 2010. [Google Scholar]
  34. Greentree, M.R.; Li, Z.X.; Li, X.H.; Wu, H. Late Mesoproterozoic to earliest Neoproterozoic basin record of the Sibao orogenesis in western South China and relationship to the assembly of Rodinia. Precambrian Res. 2006, 151, 79–100. [Google Scholar] [CrossRef]
  35. Zhu, Y.; Lai, S.C.; Qin, J.F.; Zhu, R.Z.; Zhang, F.Y.; Zhang, Z.Z. Petrogenesis and geochemical diversity of Late Mesoproterozoic S-type granites in the western Yangtze Block, South China: Co-entrainment of peritectic selective phases and accessory minerals. Lithos 2020, 352-353, 105326. [Google Scholar] [CrossRef]
  36. Wang, Y.J.; Zhu, W.G.; Huang, H.Q.; Zhong, H.; Bai, Z.J.; Fan, H.P.; Yang, Y.J.C. 1.04 Ga hot Grenville granites in the western Yangtze Block, southwest China. Precambrian Res. 2019, 328, 217–234. [Google Scholar] [CrossRef]
  37. Zhao, J.H.; Li, Q.W.; Liu, H.; Wang, W. Neoproterozoic magmatism in the western and northern margins of the Yangtze Block (South China) controlled by slab subduction and subduction-transform-edge-propagator. Earth-Sci. Rev. 2018, 187, 1–18. [Google Scholar] [CrossRef]
  38. Fan, H.P.; Zhu, W.G.; Li, Z.X. Paleo- to Mesoproterozoic magmatic and tectonic evolution of the southwestern Yangtze Block, south China: New constraints from ca. 1.7–1.5 Ga mafic rocks in the Huili-Dongchuan area. Gondwana Res. 2020, 87, 248–262. [Google Scholar] [CrossRef]
  39. Hua, P.W.; Ming, R.G.; Ming, S.Z.; Guang, Y.F. Division and correlation of Paleo-Mesoproterozoic strata on the western margin of Yangtze block: Evidence from the U-Pb age of tuff zircon in the Tongan Formation. Geol. China 2015, 42, 921–936, (In Chinese with English Abstract). [Google Scholar]
  40. Sun, W.H.; Zhou, M.F.; Gao, J.F.; Yang, Y.H.; Zhao, X.F.; Zhao, J.H. Detrital zircon U-Pb geochronological and Lu-Hf isotopic constraints on the Precambrian magmatic and crustal evolution of the western Yangtze Block, SW China. Precambrian Res. 2009, 172, 99–126. [Google Scholar] [CrossRef]
  41. Wiedenbeck, M.; Allé, P.; Corfu, F.; Griffin, W.L.; Meier, M.; Oberli, F.; Quadt, A.V.; Roddick, J.C.; Spiegel, W. Three natural zircon standards for U-Th-Pb, Lu-Hf, trace element and REE analyses. Geostand. Geoanalytical Res. 1995, 19, 1–23. [Google Scholar] [CrossRef]
  42. Elhlou, S.; Belousova, E.A.; Griffin, W.L.; Pearson, N.J.; O’Reilly, S.Y. Trace element and isotopic composition of GJ-red zircon standard by laser ablation. Geochim. Cosmochim. Acta 2006, 70, 158. [Google Scholar] [CrossRef]
  43. Belousova, E.A.; Griffin, W.L.; Shee, S.R.; Jackson, S.E.; O’Reilly, S.Y. Two age populations of zircons from the Timber Creek kimberlites, Northern Territory, as determined by laser ablation ICP MS analysis. Aust. J. Earth Sci. 2001, 48, 757–765. [Google Scholar]
  44. Ludwig, K.R. ISOPLOT 3.0: A Geochronological Toolkit for Microsoft Excel; Berkeley Geochronology Center Special Publication: Berkeley, CA, USA, 2003. [Google Scholar]
  45. Mao, W.J.; Xiong, Y.Q.; Shao, Y.J.; Brzozowski, M.J.; He, Q.; Di, H.F.; Fan, Z.W.; Mao, Y.J.; Fang, W.J. Reworking of a Caledonian (Early Paleozoic) granodiorite porphyry in a collisional zone in South China and its contribution for tungsten mineralization. J. Asian Earth Sci. 2024, 276, 106356. [Google Scholar] [CrossRef]
  46. Wilson, M. Igneous Etrogenesis a Global Tectonic Approach, 1st ed.; Springer: Dordrecht, The Netherlands, 1989. [Google Scholar]
  47. Frost, B.R.; Frost, C.D. A geochemical classification for feldspathic igneous rocks. J. Petrol. 2008, 49, 1955–1969. [Google Scholar] [CrossRef]
  48. Shand, S.J. Eruptive Rocks, Their Genesis, Composition, Classification, and Their Relation to Ore-Deposits with a Chapter on Meteorite, 3rd ed.; John Wiley & Sons: New York, NY, USA, 1943. [Google Scholar]
  49. Taylor, S.R.; McLennan, S.M. The Continental Crust: Its Composition and Evolution; Blackwell Scientific: Oxford, UK, 1985. [Google Scholar]
  50. Boynton, W.V. Cosmochemistry of the rare earth elements: Meteoric studies. In Rare Earth Element Geochemistry; Henderson, P.E., Ed.; Elsever: Amsterdam, The Netherlands, 1984; pp. 63–114. [Google Scholar]
  51. McDonough, W.F.; Sun, S.S. The composition of the Earth. Chem. Geol. 1995, 120, 223–253. [Google Scholar] [CrossRef]
  52. Chappell, B.W.; White, A.J.R. Two contrasting granite types: 25 years later. Aust. J. Earth Sci. 2001, 48, 489–499. [Google Scholar] [CrossRef]
  53. Chappell, B.W.; White, A.J.R. I- and S-type granites in the Lachlan Fold Belt. Earth Environ. Sci. Trans. R. Soc. Edinb. 1992, 83, 1–26. [Google Scholar]
  54. Song, S.W.; Zhu, D.C.; Wang, Q.; Cawood, P.A.; Zhan, Q.Y.; Li, S.M.; Zhang, L.L.; Zhao, Z.D. Generation of syn-collisional S-type granites in collision zones: An example from the Late Triassic Tanggula Batholith in northern Tibet. Gondwana Res. 2022, 104, 185–198. [Google Scholar] [CrossRef]
  55. Huang, L.C.; Jiang, S.Y. Highly fractionated S-type granites from the giant Dahutang tungsten deposit in Jiangnan Orogen, Southeast China: Geochronology, petrogenesis and their relationship with W-mineralization. Lithos 2014, 202–203, 207–226. [Google Scholar] [CrossRef]
  56. Whalen, J.B.; Currie, K.L.; Chappell, B.W. A-type granites: Geochemical characteristics, discrimination and petrogenesis. Contrib. Mineral. Petrol. 1987, 95, 407–419. [Google Scholar] [CrossRef]
  57. Wu, F.Y.; Liu, X.C.; Ji, W.Q.; Wang, J.M.; Yang, L. Highly fractionated granites: Recognition and research. Sci. China Earth Sci. 2017, 60, 1201–1219. [Google Scholar] [CrossRef]
  58. Imeokparia, E.G. Ba/Rb and Rb/Sr ratios as indicators of magmatic fractionation, postmagmatic alteration and mineralization—Afu younger granite complex, northern Nigeria. Geochem. J. 1981, 15, 209–219. [Google Scholar] [CrossRef]
  59. Ballouard, C.; Poujol, M.; Boulvais, P.; Branquet, Y.; Tartèse, R.; Vigneresse, J. -L. Nb-Ta fractionation in peraluminous granites: A marker of the magmatic-hydrothermal transition. Geology 2016, 44, 231–234. [Google Scholar] [CrossRef]
  60. Liu, J.; Zheng, Y.Y.; Gao, S.B.; Jiang, J.S.; Cao, H.W. Zircon U-Pb dating, geochemistry, and Sr-Nd-Pb-Hf isotopes of the subvolcanic intrusion from Beina Pb-Zn-(Ag) deposit in the southern Lhasa terrane, Tibet: Implications for petrogenesis and mineralization. Geol. J. 2019, 54, 2064–2083. [Google Scholar] [CrossRef]
  61. Zhao, Z.H.; Xiong, X.L.; Han, X.D.; Wang, Y.X.; Qiang, W.; Bao, Z.W.; Borming, J. Controls on the REE tetrad effect in granites: Evidence from the Qianlishan and Baerzhe Granites, China. Geochem. J. 2002, 36, 527–543. [Google Scholar]
  62. Fan, C.X.; Xu, C.; Shi, A.G.; Smith, M.P.; Kynicky, J.; Wei, C.W. Origin of heavy rare earth elements in highly fractionated peraluminous granites. Geochim. Cosmochim. Acta 2023, 343, 371–383. [Google Scholar] [CrossRef]
  63. Barbarin, B. A review of the relationships between granitoid types, their origins and their geodynamic environments. Lithos 1999, 46, 605–626. [Google Scholar] [CrossRef]
  64. Ting, C.Y.; Liang, L.; Chao, W.; Qiang, Y.W.; Hui, Z.X. Geochemical, zircon U-Pb dating and Hf isotope compositions studies for Tatelekebulake granite in South Altyn Tagh. Acta Petrol. Sin. 2010, 26, 3259–3271, (In Chinese with English Abstract). [Google Scholar]
  65. Jung, S.; Pfänder, J.r.A. Source composition and melting temperatures of orogenic granitoids: Constraints from CaO/Na2O, Al2O3/TiO2 and accessory mineral saturation thermometry. Eur. J. Mineral. 2007, 19, 859–870. [Google Scholar] [CrossRef]
  66. Barth, M.G.; McDonough, W.F.; Rudnick, R.L. Tracking the budget of Nb and Ta in the continental crust. Chem. Geol. 2000, 165, 197–213. [Google Scholar] [CrossRef]
  67. Gao, S.; Luo, T.C.; Zhang, B.R.; Zhang, H.F.; Han, Y.w.; Zhao, Z.D.; Hu, Y.K. Chemical composition of the continental crust as revealed by studies in East China. Geochim. Cosmochim. Acta 1998, 62, 1959–1975. [Google Scholar] [CrossRef]
  68. Rudnick, R.L.; Gao, S. 3.01—Composition of the Continental Crust. In Treatise on Geochemistry; Holland, H.D., Turekian, K.K., Eds.; Pergamon: Oxford, UK, 2003; pp. 1–64. [Google Scholar]
  69. Laurent, O.; Martin, H.; Moyen, J.F.; Doucelance, R. The diversity and evolution of late-Archean granitoids: Evidence for the onset of “modern-style” plate tectonics between 3.0 and 2.5 Ga. Lithos 2014, 205, 208–235. [Google Scholar] [CrossRef]
  70. Douce, A.E.P. What do experiments tell us about the relative contributions of crust and mantle to the origin of granitic magmas? Geol. Soc. Lond. Spec. Publ. 1999, 168, 55–75. [Google Scholar] [CrossRef]
  71. Li, Z.X.; Bogdanova, S.V.; Collins, A.S.; Davidson, A.; Waele, B.D.; Ernst, R.E.; Fitzsimons, I.C.W.; Fuck, R.; Gladkochub, D.P.; Jacobs, J.; et al. Assembly, configuration, and break-up history of Rodinia: A synthesis. Precambrian Res. 2008, 160, 179–210. [Google Scholar] [CrossRef]
  72. Li, Z.X.; Wartho, J.A.; Occhipinti, S.; Zhang, C.L.; Li, X.H.; Wang, J.; Bao, C. Early history of the eastern Sibao Orogen (South China) during the assembly of Rodinia: New mica 40 Ar/39 Ar dating and SHRIMP U-Pb detrital zircon provenance constraints. Precambrian Res. 2007, 159, 79–94. [Google Scholar] [CrossRef]
  73. Zhang, H.; Li, T.D.; Xie, Y.; Zhang, C.H.; Gao, L.Z.; Geng, S.; Chen, T.Y.; You, G.Q. Geochronology and Tectonic Evolution of the West Section of the Jiangnan Orogenic Belt. Acta Geol. Sin.-Engl. Ed. 2015, 89, 1497–1515. [Google Scholar]
  74. Zhang, Y.; Wang, Y.; Zhang, Y.; Zhang, A. Neoproterozoic assembly of the Yangtze and Cathaysia blocks: Evidence from the Cangshuipu Group and associated rocks along the Central Jiangnan Orogen, South China. Precambrian Res. 2015, 269, 18–30. [Google Scholar] [CrossRef]
  75. Li, Z.X.; Li, X.H.; Zhou, H.; Kinny, P.D. Grenvillian continental collision in south China: New SHRIMP U-Pb zircon results and implications for the configuration of Rodinia. Geology 2002, 30, 163–166. [Google Scholar] [CrossRef]
  76. Pisarevsky, S.A.; Wingate, M.T.D.; Powell, C.M.; Johnson, S.; Evans, D. Models of Rodinia assembly and fragmentation. Geol. Soc. Lond. Spec. Publ. 2003, 206, 35–55. [Google Scholar] [CrossRef]
  77. Zhang, C.; Liu, D.D.; Zeng, J.H.; Jiang, S.; Luo, Q.; Kong, X.Y.; Yang, W.; Liu, L.F. Nd-O-Hf isotopic decoupling in S-type granites: Implications for ridge subduction. Lithos 2019, 332–333, 261–273. [Google Scholar] [CrossRef]
  78. Watson, E.B.; Harrison, T.M. Zircon saturation revisited: Temperature and composition effects in a variety of crustal magma types. Earth Planet. Sci. Lett. 1983, 64, 295–304. [Google Scholar] [CrossRef]
  79. Janoušek, V.; Finger, F.; Roberts, M.; Frýda, J.; Pin, C.; Dolejš, D. Deciphering the petrogenesis of deeply buried granites: Whole-rock geochemical constraints on the origin of largely undepleted felsic granulites from the Moldanubian Zone of the Bohemian Massif. Earth Environ. Sci. Trans. R. Soc. Edinb. 2004, 95, 141–159. [Google Scholar] [CrossRef]
  80. Kong, L.Z.; Jiang, Y.D.; Li, P.F.; Collett, S.; Xiao, M. Devonian subduction retreat recorded in the Chinese Altai Orogen: Petro-structural and geochronological constraints from orogenic lower crust migmatite-granite complexes. J. Asian Earth Sci. 2023, 244, 105540. [Google Scholar] [CrossRef]
  81. Liu, C.F.; Zhou, Z.G.; Wang, G.S.; Wu, C.; Li, H.Y.; Ma, S.W. Carboniferous ridge subduction in the Xingmeng Orogenic Belt: Constraints from geochronological, geochemical, and Sr-Nd-Hf isotopic analysis of strongly peraluminous granites and gabbro-diorites in the Xilinhot micro-continent. Geosci. Front. 2021, 12, 101103. [Google Scholar] [CrossRef]
  82. Peng, P.; Guo, J.H.; Windley, B.F.; Liu, F.; Chu, Z.; Zhai, M.G. Petrogenesis of Late Paleoproterozoic Liangcheng charnockites and S-type granites in the central-northern margin of the North China Craton: Implications for ridge subduction. Precambrian Res. 2012, 222–223, 107–123. [Google Scholar] [CrossRef]
  83. Iwamori, H. Thermal effects of ridge subduction and its implications for the origin of granitic batholith and paired metamorphic belts. Earth Planet. Sci. Lett. 2000, 181, 131–144. [Google Scholar] [CrossRef]
  84. Thompson, A.B. Some time-space relationships for crustal melting and granitic intrusion at various depths. In Understanding Granites: Integrating New and Classical Techniques; Castro, A., Fernández, C., Vigneresse, J.L., Eds.; Geological Society of London: London, UK, 1999; pp. 7–25. [Google Scholar]
Figure 1. (a) A brief geological map of the South China Craton showing the location of the studied Paoma granite [29]. (b) A simplified geological map for the WYB [27]. (c) The geological map of the south part of the Paoma granitic pluton showing the sample locations.
Figure 1. (a) A brief geological map of the South China Craton showing the location of the studied Paoma granite [29]. (b) A simplified geological map for the WYB [27]. (c) The geological map of the south part of the Paoma granitic pluton showing the sample locations.
Minerals 15 00188 g001
Figure 2. The representative optical field photographs of Paoma granite. (a) Specimen of the fine-grained biotite monzogranite; (b) the plagioclase megacrysts; (c,d) the weathering face and fresh rock of Paoma granite, where an enclave is highlighted by the red line; (e) the fine-grained biotite monzogranite in out-crop scale; and (f) the fine-grained biotite monzogranite unconformably overlain by layered Quaternary strata comprising coarse sand, boulders, and pebbly cobbles.
Figure 2. The representative optical field photographs of Paoma granite. (a) Specimen of the fine-grained biotite monzogranite; (b) the plagioclase megacrysts; (c,d) the weathering face and fresh rock of Paoma granite, where an enclave is highlighted by the red line; (e) the fine-grained biotite monzogranite in out-crop scale; and (f) the fine-grained biotite monzogranite unconformably overlain by layered Quaternary strata comprising coarse sand, boulders, and pebbly cobbles.
Minerals 15 00188 g002
Figure 3. (a) U-Pb concordia plot and (b) weighted mean ages of representative zircons from the Paoma granite.
Figure 3. (a) U-Pb concordia plot and (b) weighted mean ages of representative zircons from the Paoma granite.
Minerals 15 00188 g003
Figure 4. (a) A/CNK—A/NK plot [48]; (b) SiO2 vs. (Na2O + K2O) diagram for classification of plutonites; (c) SiO2 vs. FeOt/(FeOt + MgO) plot [47]; and (d) SiO2 vs. MALI diagram [47].
Figure 4. (a) A/CNK—A/NK plot [48]; (b) SiO2 vs. (Na2O + K2O) diagram for classification of plutonites; (c) SiO2 vs. FeOt/(FeOt + MgO) plot [47]; and (d) SiO2 vs. MALI diagram [47].
Minerals 15 00188 g004
Figure 5. (a) Chondrite-normalized REE patterns [50] and (b) primitive mantle-normalized multi-element spider diagram [51].
Figure 5. (a) Chondrite-normalized REE patterns [50] and (b) primitive mantle-normalized multi-element spider diagram [51].
Minerals 15 00188 g005
Figure 6. (a) Na2O versus K2O diagram [52] and (b) ACF graph distinguishing S-type granite from I-type granite [53,54].
Figure 6. (a) Na2O versus K2O diagram [52] and (b) ACF graph distinguishing S-type granite from I-type granite [53,54].
Minerals 15 00188 g006
Figure 7. Rb vs. Sr (a), Ba vs. Rb (b) [58], and the multiple plots of SiO2 against Ba, Rb, and Sr (ce) in the rocks of the Paoma granites.
Figure 7. Rb vs. Sr (a), Ba vs. Rb (b) [58], and the multiple plots of SiO2 against Ba, Rb, and Sr (ce) in the rocks of the Paoma granites.
Minerals 15 00188 g007
Figure 8. (a) (Nb/Ta)—(Zr/Hf) variation graph of Paoma granites [57] and (b) (CaO/Na2O) versus (Rb/Sr) graph [60].
Figure 8. (a) (Nb/Ta)—(Zr/Hf) variation graph of Paoma granites [57] and (b) (CaO/Na2O) versus (Rb/Sr) graph [60].
Minerals 15 00188 g008
Figure 9. (a) Ternary diagram Al2O3/(FeOt + MgO); 3*CaO; 5*(K2O/Na2O) [69] and (b) binary plot of Al2O3 + FeOt + MgO + TiO2 vs. Al2O3/(FeOt + MgO + TiO2) [70].
Figure 9. (a) Ternary diagram Al2O3/(FeOt + MgO); 3*CaO; 5*(K2O/Na2O) [69] and (b) binary plot of Al2O3 + FeOt + MgO + TiO2 vs. Al2O3/(FeOt + MgO + TiO2) [70].
Minerals 15 00188 g009
Figure 10. (a) (Cao/Al2O3) vs. (CaO + Al2O3) diagram and (b) the zircon saturation temperature plot against Zr concentrations based on the whole-rock analysis to distinguish between ridge-subduction-related granites and post-collision-related granites (after [77]).
Figure 10. (a) (Cao/Al2O3) vs. (CaO + Al2O3) diagram and (b) the zircon saturation temperature plot against Zr concentrations based on the whole-rock analysis to distinguish between ridge-subduction-related granites and post-collision-related granites (after [77]).
Minerals 15 00188 g010
Figure 11. A “slab window” driven by ridge subduction formed in the WYB ~830 Ma. For the petrogenesis and tectonic background of Guandaoshan gabbros, please read Mabi et al., 2024 [26].
Figure 11. A “slab window” driven by ridge subduction formed in the WYB ~830 Ma. For the petrogenesis and tectonic background of Guandaoshan gabbros, please read Mabi et al., 2024 [26].
Minerals 15 00188 g011
Table 1. In situ zircon U-Pb dating data by LA-ICP-MS for the Paoma granite in the western Yangtze Block.
Table 1. In situ zircon U-Pb dating data by LA-ICP-MS for the Paoma granite in the western Yangtze Block.
Spot No.ThUTh/UPb207/Pb206Pb206/U238Pb207/U235Pb207/Pb206Pb206/U238Pb207/U235Conc.
µg/gRatioRatioRatioAge (Ma)Age (Ma)Age (Ma)
4604.6619.70.980.13980.00140.14900.00082.87250.01702224.517.2895.64.61374.74.465%
5203.0530.10.380.06090.00070.13710.00081.15150.0081636.822.9828.04.3777.93.8106%
6292.7529.00.550.06070.00060.13150.00071.10000.0076628.322.7796.14.1753.43.7106%
7163.4248.00.660.06420.00070.13620.00081.20630.0100748.924.3823.34.4803.54.6102%
8406.21073.00.380.17950.00170.09880.00052.44530.01342648.016.0607.53.11256.04.048%
10680.31354.20.500.07550.00080.06880.00040.71580.00461080.520.4429.02.3548.22.778%
11666.93221.50.210.09850.00100.03680.00020.49890.00291595.018.3232.71.2410.92.057%
12167.5533.90.310.09100.00090.13120.00071.64600.01071447.019.5794.54.1988.04.180%
13684.82425.40.280.09690.00100.07810.00041.04310.00601565.518.3484.72.5725.53.067%
14198.5623.70.320.08570.00090.12610.00071.49090.00941332.319.6765.74.0926.73.883%
18316.31197.60.260.28310.00270.12630.00074.93020.02603380.314.8766.93.91807.44.542%
19221.1229.40.960.37890.00370.23900.001312.48010.06843827.514.51381.26.92641.25.252%
20274.81060.10.260.06020.00060.08690.00050.72120.0049611.522.4537.12.8551.32.997%
21223.81490.80.150.11150.00110.08620.00051.32460.00761823.617.7533.12.8856.53.362%
22138.8680.40.200.06070.00060.12190.00071.02070.0071630.222.5741.63.9714.33.5104%
24234.32032.20.120.14880.00140.07250.00041.48710.00822331.716.4451.42.4925.13.349%
25639.2553.31.160.06170.00070.12640.00071.07430.0077662.022.7767.54.0740.83.8104%
26220.22280.60.100.05650.00060.08200.00040.63840.0038470.421.9508.22.6501.32.4101%
27545.81374.30.400.07920.00080.05750.00030.62780.00431178.120.5360.41.9494.72.773%
28543.01737.40.310.11480.00110.11550.00061.82810.00991877.117.1704.83.61055.63.667%
Table 2. Concentrations of major (wt. %) and trace (ppm) elements of the Paoma granite.
Table 2. Concentrations of major (wt. %) and trace (ppm) elements of the Paoma granite.
Sample PM205-6H1PM205-8H1PM205-12H1PM205-14H1PM205-3H1D226-5H1
SiO269.1469.4367.4466.9269.0871.02
TiO20.410.350.690.360.740.36
Al2O313.913.9314.7113.6614.2114.03
Fe2O33.623.044.873.684.993.04
FeO0.0480.0340.0340.048NANA
MnO0.0470.0580.0690.140.060.05
MgO0.890.791.590.541.020.47
CaO0.360.370.653.080.821.25
Na2O2.251.92.292.982.362.52
K2O5.616.454.893.635.95.89
P2O50.130.120.180.130.170.12
H2O+1.191.171.680.89NullNull
LOI1.221.241.743.320.350.93
Total98.898.9100.899.499.799.7
Ba765952764461704687
Co18.626.814.913.37.123.37
Cr24.921.433.520.615.97.04
Cs6.678.316.4819.95.354.67
Cu10.816.28.055.25.65.59
Ga23.42324.222.52221.2
Hf7.36.47.777.535.17
Nb7.43.911.45.516.513
Pb27.329.411.88.52144.1
Rb289297239263250245
Sc7.86.210.66.610.56.01
Sn5.27.14.96.18.265.77
Sr90.410179.666.288.897.6
Ta3.23.13.13.11.451.23
Th32.83431.330.736.134.2
U3.44.33.83.84.613.2
V46.546.557.83334.916.8
Zn44.296.970.480.359.752.4
Zr257231293227281187
La85.985.277.964.467.659.6
Ce169166155141140125
Pr19.31917.915.516.614.7
Nd72.370.567.658.859.752.4
Sm14.914.114.113.312.310.9
Eu2.22.261.961.681.491.35
Gd13.112.112.711.7119.8
Tb2.11.92.091.981.711.57
Dy11.810.312.211.79.989.01
Ho2.232.022.512.3521.81
Er7.576.48.337.575.364.83
Tm0.950.811.081.020.80.72
Yb5.924.966.796.184.924.24
Lu0.780.660.940.830.720.63
Table 3. Characteristics of the meta-sedimentary rocks of the Tangtang Formation of the Huili Group in the region.
Table 3. Characteristics of the meta-sedimentary rocks of the Tangtang Formation of the Huili Group in the region.
Rock TypesLithologyStructureTextureNumber of SamplesMinerals (%)Protoliths
PelticCarbonaceousMeta-FeldsparMeta-QuartzCalciteDolomiteChloriteSericiteAnkeriteMetallic Minerals
SchistSericite–quartz schistSchistose structureLepidoblastic texture2 0–2 48–69 28–48 0–3Mudstone and silty mudstone
PhylliteSericite phyllitePhyllitic structureLepidoblastic texture11 0–61–285–20 0–20–547–9310–3
Silty sericite phyllite5 rare28–47 1–452–741–2Minor
Sand–contained sericite phyllite1 rare22 rare77 Minor
Silt–contained sericite phyllite1 23 3741
SlateSlatePlaty structurePelitic texture295–99 3 2 0–1
Silty slate270–79 20–30 0–1
Quartz rocksAnkerite–contained quartz rockMassive structureGranular crystalloblastic texture1 77 320 Quartz sandstones
Chlorite–contained quartz rock1 91 72
Quartz rock2 90–98 2–9 1
Sericite–quartz rock2 90 10
Disclaimer/Publisher’s Note: The statements, opinions and data contained in all publications are solely those of the individual author(s) and contributor(s) and not of MDPI and/or the editor(s). MDPI and/or the editor(s) disclaim responsibility for any injury to people or property resulting from any ideas, methods, instructions or products referred to in the content.

Share and Cite

MDPI and ACS Style

Mabi, A.; Zhong, C.; Li, Y.; Yu, N.; Liu, B.; Lv, F.; Li, G.; Gan, P. Origin and Implication of the Paoma Granite in the Western Yangtze Block, South China Craton. Minerals 2025, 15, 188. https://doi.org/10.3390/min15020188

AMA Style

Mabi A, Zhong C, Li Y, Yu N, Liu B, Lv F, Li G, Gan P. Origin and Implication of the Paoma Granite in the Western Yangtze Block, South China Craton. Minerals. 2025; 15(2):188. https://doi.org/10.3390/min15020188

Chicago/Turabian Style

Mabi, Awei, Changhong Zhong, Yanlong Li, Niuben Yu, Bo Liu, Feifei Lv, Gang Li, and Ping Gan. 2025. "Origin and Implication of the Paoma Granite in the Western Yangtze Block, South China Craton" Minerals 15, no. 2: 188. https://doi.org/10.3390/min15020188

APA Style

Mabi, A., Zhong, C., Li, Y., Yu, N., Liu, B., Lv, F., Li, G., & Gan, P. (2025). Origin and Implication of the Paoma Granite in the Western Yangtze Block, South China Craton. Minerals, 15(2), 188. https://doi.org/10.3390/min15020188

Note that from the first issue of 2016, this journal uses article numbers instead of page numbers. See further details here.

Article Metrics

Back to TopTop