Next Article in Journal
Mineral Prospectivity Maps for Critical Metals in the Clean Energy Transition: Examples for Hydrothermal Copper and Nickel Systems in the Carajás Province
Previous Article in Journal
Hydrometallurgical Recovery of Critical Metal Indium from Scrap LCD Panels
Previous Article in Special Issue
An Occurrence of Pyroxmangite in the NYF Granitic Pegmatite of the Gabal El-Bakriya Intrusion, Arabian–Nubian Shield
 
 
Font Type:
Arial Georgia Verdana
Font Size:
Aa Aa Aa
Line Spacing:
Column Width:
Background:
Article

Petrogenesis of the Chamuhan Intrusion in the Southern Great Xing’an Range: Constraints from Zircon U-Pb Dating and Petrogeochemistry

1
Hebei Province Collaborative Innovation Center for Strategic Critical Mineral Research, Hebei GEO University, Shijiazhuang 050031, China
2
Inner Mongolia Research Institute of Geological Survey, Hohhot 010020, China
3
MNR Key Laboratory of Metallogeny and Mineral Assessment, Institute of Mineral Resources, Chinese Academy of Geological Sciences, Beijing 100037, China
4
School of the Earth Sciences and Resources, China University of Geosciences, Beijing 100083, China
*
Authors to whom correspondence should be addressed.
Minerals 2025, 15(10), 1085; https://doi.org/10.3390/min15101085
Submission received: 9 September 2025 / Revised: 14 October 2025 / Accepted: 15 October 2025 / Published: 18 October 2025
(This article belongs to the Special Issue Igneous Rocks and Related Mineral Deposits)

Abstract

The Southern Great Xing’an Range (SGXR), an important W–Sn polymetallic metallogenic belt in northern China, hosts multiphase magmatism and has witnessed recent discoveries of multiple tungsten–tin polymetallic deposits. The W–Sn mineralization in this area is intimately associated with Early Cretaceous highly fractionated granites. The Chamuhan deposit, a small-sized W–Mo polymetallic deposit in SGXR, is genetically linked to a concealed fine-grained porphyritic alkali feldspar granite intrusion. In this study, we present the LA-ICP-MS zircon U-Pb ages, whole-rock geochemical, and electron probe microanalysis (EPMA) mineral chemistry to constrain the petrogenesis and metallogenic implications of this granite. Zircon U–Pb dating yields a crystallization age of 141.3 ± 1.2 Ma, consistent with molybdenite Re–Os ages. The granite is characterized by elevated SiO2 (76.9–79.1 wt%) and total alkalis (7.3–8.5 wt%), and exhibits peraluminous high-K calc-alkaline affinity (A/CNK = 1.37–1.57). Geochemical signatures reveal enrichment in large ion lithophile elements (LILEs, e.g., Rb, Th, U) coupled with depletion in high-field strength elements (HFSEs, e.g., Ba, Sr, P, Eu, Ti, Nb, Ta), and are accompanied by right-sloping REE patterns with LREE enrichment and HREE depletion. EPMA data indicate that the mica in the intrusion is primarily zinnwaldite and Li-rich phengite, whereas the plagioclase occurs as albite. The feldspar thermobarometry yields crystallization temperatures of 689–778 °C and 313 MPa–454 MPa, while the melt H2O content and oxygen fugacity are 8.61–11.1 wt% and −22.58–−14.48, respectively. These geochemical signatures indicate that the granites are highly fractionated I-type granites with extensive fractional crystallization of various minerals like plagioclase, K-feldspar, and apatite, etc. From the Late Jurassic to the Early Cretaceous, the subduction and rollback of the Paleo-Pacific Ocean plate resulted in extensional tectonic environments in eastern China. Asthenospheric upwelling and lower crustal melting generated parental magmas, wherein progressive fractional crystallization during ascent concentrated ore-forming elements and volatiles within residual melts. This process played a key role in the formation of the Chamuhan deposit, exemplifying the metallogenic potential of highly evolved granitic systems in the SGXR.

1. Introduction

The Southern Great Xing’an Range (SGXR) is situated at the intersection of the Paleo-Asian, Mongolia-Okhotsk, and Paleo-Pacific tectonic regimes. With intense tectonic–magmatic activity and favorable metallogenic conditions, this region is a significant non-ferrous metallogenic area in northern China [1,2,3,4,5]. The traditional dominant ore types in this region are Pb–Zn–Ag. In recent years, exploration has discovered multiple tin–polymetallic deposits in the peripheral and deep zones of Pb–Zn–Ag deposits. The Sn-polymetallic and Pb–Zn–Ag mineralization share the same mineralization ages, with ore-forming fluids exhibiting continuous evolutionary characteristics that represent distinct mineralization stages in a unified metallogenic system, as demonstrated by: the Baiyinchagan Sn–Ag–Cu–Pb–Zn deposit [6], Huaaobaote Sn–Cu–Pb–Zn–Ag deposit [7], and Dajing Sn–Cu–Pb–Zn–Ag deposit [8]. The Pb–Zn–Ag deposits and the W–Sn polymetallic deposits in SGXR, both formed during the Early Cretaceous (~140 Ma) peak metallogenic episode, share a common extensional tectonic setting driven by Paleo-Pacific slab rollback. The metallogenic intrusions of W–Sn polymetallic deposits in the SGXR are primarily hidden at depth, complicating their identification and leading to controversy regarding some deposits’ petrogenetic and mineralization ages [9,10]. Moreover, the W–Sn polymetallic deposits in the SGXR are mainly Sn-dominated, with relatively few W-rich deposits, and W–Sn enrichment varies by an order of magnitude. Currently, the mechanisms responsible for the differential enrichment of W and Sn remain poorly understood; petrogenetic studies of ore-forming intrusions associated with W-rich deposits would elucidate the geochemical disparities between W ore-forming intrusions and Sn ore-forming intrusions, advancing our comprehension of the regional W-Sn metallogenic regularity and the mechanisms of differential W–Sn enrichment in this region [11,12].
W–Sn mineralization in South China is commonly associated with a granitic complex [13,14,15]. Traditionally, the supplementary intrusion has been interpreted as representing residual magmas derived from fractional crystallization of the predominant intrusion. However, recent studies suggest that supplementary intrusion formation may be linked to underplated mafic magmatic activity. The residual magma composition gradually approaches the cotectic point of the granite system due to intense fractional crystallization induced by magmatic activity. At this stage, magma is primarily stored as crystal mush, but minor external heating (e.g., mantle-derived magma) can trigger its remobilization [16]. As magma ascends in multiple phases, it facilitates the extraction of residual magma, driving fractional crystallization and forming highly differentiated granites and W–Sn deposits. The Chamuhan deposit, a small-sized W–Mo polymetallic deposit located in the SGXR, is associated with the Chamuhan granitic complex. This intrusion comprises shallow-level predominant intrusion of white medium-grained biotite monzogranite (WMG), pinkish medium-grained biotite monzogranite (PMG), and a deep-seated supplementary intrusion of fine-grained porphyritic alkali feldspar granite (FAG). Geochronological and geochemical analyses of WMG and PMG, which were intruded by ore-bearing veins, yield crystallization ages of 144 ± 2 Ma, which predate the mineralization age of 139.3 ± 1.5 Ma. [17]. Geochemical data reveal high W and Mo contents in WMG, but depletion of the same elements in FAG, indicating these elements were leached out during the interaction of the parental magma with hydrothermal fluid. WMG served as structurally controlled conduits for ore-forming fluids, with mineralization finally formed at the upper part of the intrusion [18]. This paper reports the petrography, LA-ICP-MS zircon U-Pb age, geochemistry, and EPMA data for mica and feldspar minerals from FAG. Our objectives are to: (1) constrain the emplacement chronology and petrogenetic classification of the intrusion, (2) decipher its magmatic evolutionary processes, and (3) elucidate the genetic relationships between highly fractionated granites and W-polymetallic mineralization in the SGXR.

2. Regional Geology

The SGXR is situated within the suture zone that separates the Siberian Craton from the North China Craton (Figure 1a). This region is bounded by major tectonic belts: the Erenhot–Hegenshan suture zone to the north, the Xar Moron fault to the south (which delineates the northern margin of the North China Craton), and the Nenjiang–Balihan fault to the east. Its western boundary is generally located in the Xilinhot–East Ujimqin Banner area [19]. Geodynamically, the SGXR records the Paleozoic subduction and closure of the Paleo-Asian Ocean, as evidenced by the development of EW-trending fold-thrust systems (Figure 1b). These include prominent anticlinoria and synclinoria, such as the Mishengmiao anticlinoria and the Linxi synclinoria, as well as deep faults (e.g., Erenhot–Hegenshan and Xar Moron deep faults). During the Mesozoic, the SGXR experienced significant tectonic reworking due to the far-field effects of Paleo-Pacific subduction, resulting in the formation of NE–NNE-trending faults, including the Nenjiang–Balihan fault, and NNE-trending faults, including the main ridge and western slope faults of the Great Xing’an Range [20]. The superposition of Mesozoic structures onto pre-existing Paleozoic frameworks created a complex grid-like structural architecture, which subsequently controlled the spatial–temporal distribution of granitic complexes and deposits throughout the region [21] (Figure 1b).
The exposed strata in the SGXR include Proterozoic, Paleozoic, Mesozoic, and Cenozoic (Figure 1b). The Proterozoic strata are dominated by the Xilin Gol Complex, which is distributed in Xilinhot and the southern regions of West Ujimqin Banner [22]. The Paleozoic strata include the Lower Paleozoic and Upper Paleozoic, which are extensively distributed in this region. The Lower Paleozoic strata mainly consist of marine volcanic and terrigenous clastic rock, including andesite, dacite, metamorphic sandstone, and siltstone. The Upper Paleozoic strata are mainly comprised of marine-terrigenous sandstone, siltstone, slate, carbonate rock, and intermediate-acid volcanic rock. The Mesozoic strata are widely distributed in this region and include a volcano-sedimentary sequence consisting of terrestrial clastic rocks, volcanic clastic rocks, and continental volcanic rocks. The Cenozoic strata are primarily distributed in the western part of SGXR and comprise Quaternary sediments. Magmatic activity in the SGXR occurred primarily during the Late Paleozoic and Mesozoic, with the latter being predominant. Influenced by the Mesozoic subduction of the Paleo-Pacific plate, this region experienced large-scale magmatism, which peaked in the Late Jurassic to Early Cretaceous and produced a lithological assemblage dominated by syenogranite, monzogranite, and alkaline granite. In contrast, Paleozoic magmatism, triggered by subduction of the Paleo-Asian Ocean, was extensive during the Carboniferous and Permian. Carboniferous diorites and granodiorites exhibit low-K tholeiitic to calc-alkaline geochemical signatures, while Early–Middle Permian granites are characteristically high-K calc-alkaline. Collectively, these magmatic records imply slab break-off following the closure of the Paleo-Asian Ocean [23].
The Chamuhan area, located in the SGXR, exposed strata comprising Permian, Jurassic, Cretaceous, and Quaternary units. The Permian comprises the Dashizhai Formation (volcanoclastic and siltstone), Shoushangou Formation (siltstone), Zhesi Formation (shale, sandstone, and slate), and Linxi Formation (sandstone, slate, and shale). The Jurassic includes the Manketouebo Formation (felsic volcanic and pyroclastic rocks), Manitu Formation (intermediate volcanic rocks-pyroclastic rock), and Xinmin Formation (rhyolite and rhyolitic volcaniclastic rocks). The Cretaceous includes the Baiyangaolao Formation, comprised of felsic volcanic rock and pyroclastic rock, while the Quaternary features regionally extensive heterogeneous sediments, dominated by eluvial–deluvial materials with minor surface humic soils [24,25].
The NE-trending Chamuhan fault traverses the eastern sector of the Chamuhan deposit, controlling the spatial distribution and alteration of granitic rocks in the area. Magmatic activity occurred in two principal episodes: Carboniferous-Permian and Jurassic-Cretaceous. Carboniferous-Permian intrusions, comprising sparsely distributed diorite porphyry, are localized in the northwestern part of the Chamuhan area. Jurassic-Cretaceous intrusions evolved in two phases: an initial emplacement of granite porphyry and rhyolite porphyry in the southeast, followed by biotite syenogranite and biotite monzogranite concentrically distributed around the Chamuhan deposit.
Figure 1. The geotectonic units of the southern section of the Great Xing’an Range ((a). modified after [26]). The regional geological map of the southern section of the Great Xing’an Range ((b). modified after [27]), and the geological map of the Chamuhan area ((c). modified after [28]). Names of numbered Sn-polymetallic deposits: 1 = Bayan Qagan Dongshan giant-sized Sn–Ag–Pb–Zn–Cu–Sb deposit; 2 = Maodeng-Xiaogushan medium-sized Sn–Cu deposit; 3 = Huaaobaote giant-sized Pb–Zn–Ag–Sn–Cu deposit; 4 = Chamuhan small-sized W–Mo polymetallic deposit; 5 = Weilasituo large-sized Sn–Li–Rb–Nb–Ta–Cu–Zn deposit; 6 = Anle medium-size Sn–Cu deposit; 7 = Huanggang giant-sized Sn–Fe deposit; 8 = Laopandaobeihou medium-sized Sn–Pb–Zn–Ag deposit; 9 = Daolundaba medium-sized Cu–W–Sn–Ag deposit; 10 = Dongshanwan small-sized Sn–Ag–Pb–Zn deposit; 11 = Baogaigou small-sized Sn deposit.
Figure 1. The geotectonic units of the southern section of the Great Xing’an Range ((a). modified after [26]). The regional geological map of the southern section of the Great Xing’an Range ((b). modified after [27]), and the geological map of the Chamuhan area ((c). modified after [28]). Names of numbered Sn-polymetallic deposits: 1 = Bayan Qagan Dongshan giant-sized Sn–Ag–Pb–Zn–Cu–Sb deposit; 2 = Maodeng-Xiaogushan medium-sized Sn–Cu deposit; 3 = Huaaobaote giant-sized Pb–Zn–Ag–Sn–Cu deposit; 4 = Chamuhan small-sized W–Mo polymetallic deposit; 5 = Weilasituo large-sized Sn–Li–Rb–Nb–Ta–Cu–Zn deposit; 6 = Anle medium-size Sn–Cu deposit; 7 = Huanggang giant-sized Sn–Fe deposit; 8 = Laopandaobeihou medium-sized Sn–Pb–Zn–Ag deposit; 9 = Daolundaba medium-sized Cu–W–Sn–Ag deposit; 10 = Dongshanwan small-sized Sn–Ag–Pb–Zn deposit; 11 = Baogaigou small-sized Sn deposit.
Minerals 15 01085 g001

3. Deposit Geology and Characteristics of Related Rock Bodies

3.1. Ore Deposit Geology

The Chamuhan deposit is a small-sized W–Mo polymetallic deposit dominated by W, located in the Huanggang–Ganzhuermiao metallogenic belt, SGXR. The deposit contains proven reserves of 3102.44 tons WO3 and 45.2 tons Sn, with corresponding average grades of 0.2% WO3 and 0.2% Sn. Geographically, the deposit falls under the administrative jurisdiction of Hexigten Banner, Chifeng city, Inner Mongolia Autonomous Region, approximately 300 km northwest of Chifeng city. Coordinate referencing identifies the deposit at 117°27′49″ E longitude and 43°43′30″ N latitude.
The exposed strata in the Chamuhan ore district include the Upper Permian Linxi Formation, the Upper Jurassic Manitu Formation, and the Lower Cretaceous Baiyingaolao Formation (Figure 2a). The Upper Permian Linxi Formation is distributed on both sides of medium-grained granite; it consists of black slate with different degrees of sericitization and chloritization near the ore body. The Manitu Formation is distributed as an NE-trending belt in the western part of the ore district, consisting of basalt, andesite, and andesitic breccia-bearing tuff. The Baiyingaolao Formation is sparsely exposed in the northern part of the ore district, consisting of felsic volcanic rocks and pyroclastic rocks. The Quaternary sediments in the ore area are relatively thin, primarily composed of grayish-black humus soil, with interlayers of gravel-bearing red soil beneath the humus soil layer. The intrusive rocks developed in the ore district mainly comprise WMG, covering an area of approximately 0.15 km2. The intrusion is emplaced into the Linxi Formation slate along the southeast direction. The structural setting in the ore district is dominated by two sets: NNE-trending faults and NW-trending faults. The NNE-trending faults are the primary ore-controlling structures within the ore district. The NW-trending faults are oblique thrust faults, with fault gouge and schistosity developed on both sides of the fault plane.
The Chamuhan deposit hosts over 50 predominantly low-grade and small-scale veins, with 12 economically viable ore bodies delineated. W-Mo mineralization is present in the Chamuhan granite, specifically hosted within the WMG phase of the Chamuhan intrusion. These ore bodies, measuring up to 150 m in length and 1–2 m in width, are primarily NE-trending veins (Figure 2b). The ore minerals in tungsten ore bodies (WO3 up to 5.92%) are mainly wolframite and cassiterite, followed by minor bismuthinite, arsenopyrite, and scheelite. Gangue minerals primarily include quartz, fluorite, muscovite, topaz, and tourmaline. Disseminated tin mineralization occurs near the tungsten ore bodies, with a maximum grade of tin reaching 0.97%. The molybdenum ore bodies are located to the west of the tungsten ore bodies, with an average grade of 0.08%. The primary ore minerals are molybdenite and pyrite, accompanied by minor cassiterite and chalcopyrite. Gangue minerals mainly consist of quartz and feldspar, with accessory minerals including muscovite, fluorite, and tourmaline.

3.2. Geology and Petrography of the Chamuhan Intrusions

The Chamuhan intrusion is composed of WMG, PMG, and FAG (Figure 2b). The contact relationship between the WMG and PMG is characterized by intrusive emplacement into the Upper Permian Linxi Formation slate. Contextual evidence suggests they are contemporaneous phases of the same granitic complex emplaced at ~144 ± 2 Ma, exhibiting either gradational intrusive contacts without significant tectonic disruption; meanwhile, the FAG remains concealed but structurally connected as the source intrusion. The tungsten–tin and molybdenum ore veins in the Chamuhan deposit are predominantly hosted within WMG, exhibiting progressive greisenization, albitization, and silicification that diminishes with distance from the ore veins. The surface of the FAG exhibits a light red color with a massive structure and porphyritic texture (Figure 3a,b). It is composed of k-feldspar (50%–60%), quartz (30%–40%), and plagioclase (5%–10%). Accessory minerals, constituting approximately 2% of the total rock volume, include muscovite, monazite, zircon, and apatite. The porphyritic texture of the FAG is characterized by phenocrysts of perthite and quartz, with grain sizes ranging from 0.8 to 1 mm. The perthite phenocrysts occur as euhedral–subhedral lath-shaped with well-developed perthitic textures, while quartz phenocrysts display xenomorphic-granular textures. The groundmass consists of interlocking quartz, muscovite, and plagioclase grains (Figure 3c,d). Some perthite phenocrysts within the FAG present with minor kaolinization, while the groundmass shows slight sericitization.

4. Sampling and Analytical Methods

4.1. Sampling

Nine FAG samples were collected from the Chamuhan intrusion. Zircon was collected from one sample (CY1), eight samples (CY10–CY17) were analyzed for major and trace elements, and two samples (CY12 and CY13) for mica and feldspar EPMA analysis.

4.2. Zircon U-Pb Dating

One sample was crushed and elutriated, and then separated using conventional heavy liquid (sodium polytungstate) and magnetic separation at Tuoxuan Geological Exploration Technology Co., Ltd., Langfang, China. Large, crack-free, transparent zircon crystals were selected under a binocular microscope. These zircon crystals were mounted in epoxy resin discs and polished to expose the ablation surface for scanning electron microscope–cathodoluminescence (SEM-CL) imaging and zircon LA-ICP-MS U-Pb dating. The SEM-CL imaging and zircon LA-ICP-MS U-Pb analyses were performed at Beijing Yanduzhongshi Geological Analysis Laboratories Co., Ltd. (Beijing, China) Analyses were conducted using an Analytik Jena PlasmaQuant MC-ICP-MS(manufactured by Analytik Ltd. in Jena, Germany) and a 193 nm NWR ArF excimer laser(manufactured by Analytik Ltd. in Jena, Germany); each acquisition incorporated 15 s background (gas blank), followed by 40 s laser ablation. Ablation parameters were: 35 μm spot size, 6 Hz frequency, and 4.0 J/cm2 energy density. Uncertainties for the weighted mean age are reported at the 2σ confidence level. The U-Pb concordia ages and weighted mean age calculations were made using Isoplot software (version 4.15) [29].

4.3. Major and Trace Element Analyses

The Beijing Yanduzhongshi Geological Analysis Laboratories Co., Ltd. analyzed major and trace elements. For major elements analyses, using a Leeman Prodigy inductively (manufactured by Leeman Labs in Hudson, NH, USA) coupled plasma optical emission spectroscopy (ICP-OES) with a high dispersion grating system, the standard samples were the US Geological Survey rock standards BCR-1 and AVG-2. An Agilent-7500a ICP–MS was used for the trace elements, with the standard samples GSR1 and BCR-1 from the US Geological Survey. The analytical uncertainties for major element oxides were around 1%, and for trace elements, they were better than 5%. The detailed analytical process was introduced by Pei [30].

4.4. Electron Probe Microanalysis

The rock probe samples were prepared in Langfang Tuoxuan Geological Exploration Technology Co., Ltd. The EMPA of feldspar and mica was completed at the Institute of Regional Geological Survey, Langfang, Hebei Province, using a JEOL JXA-8230 microprobe (manufactured by JEOL Ltd. in Tokyo, Japan) with an accelerating voltage of 15 kV, a beam current of 10 nA, and a beam spot of 1–5 μm. The background counting time was 20 s, and the analysis accuracy was around 0.01%.

5. Results

5.1. Zircon U-Pb Age

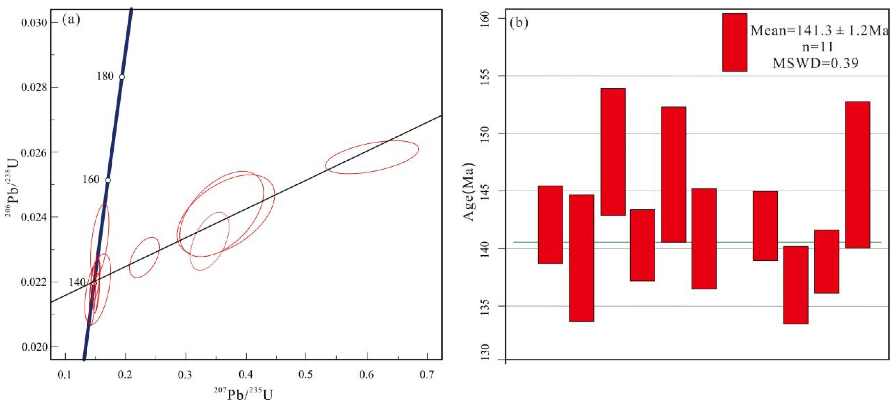
Eleven zircon grains were selected from one FAG sample (CY1) for LA-ICP-MS U-Pb dating. CL images (Figure 4) reveal that the zircon grains are subhedral, with no magmatic oscillatory zoning. The intense blackness in zircon cathodoluminescence (CL) images from the FAG results from extreme uranium enrichment (U = 9923–24,946 ppm), which suppresses luminescence. The length/width ratio of zircon grains was 1:1 to 1:2, and particle sizes are 50–60 μm. Zircon exhibits high Th (517 ppm–25,022 ppm) and U (9923 ppm–24,946 ppm) contents. The Th/U ratios of zircon grains indicate a magmatic origin. Magmatic zircons typically exhibit Th/U values of 0.2–1.0, whereas metamorphic zircons generally show values less than 0.1 [31]. The FAG zircons yield Th/U ratios ranging from 0.44 to 1.00 (average 0.77), consistent with a magmatic origin. The LA-ICP-MS zircon U-Pb dating results are reported in Table 1. Eleven spots from the eleven zircon grains show that 206Pb/238U age data are plotted within the field on the diagram between 137.5 and 153.4 Ma (Figure 5a), defining a weighted mean 206Pb/238U age of 141.3 ± 1.2Ma (MSWD = 0.39, Figure 5b). The 141 Ma age is interpreted as the crystallization age of the FAG in the Chamuhan intrusion.

5.2. EPMA of Mica and Feldspar

The EPMA data for mica from the FAG are presented in Table 2, with those for plagioclase and K-feldspar in Table 3 and Table 4, respectively. The types of mica samples are the zinnwaldite and Li-rich phengite (Figure 6a). The SiO2 content of mica is 42.3%–46.3%, the TiO2 content is 0.01%–0.4%, the Al2O3 content is 31.1%–35.8%, the FeO content is 2.75%–6.65%, and the F content is 1.92%–2.94%. The plagioclase samples have high Ab values (96.0–98.5) and low An values (0.84–3.20) and Or values (0.66–0.89), classifying them as albite. The K-feldspar samples have high Or values (92.9–98.0) and low An values (0.01–0.05) and Ab values (1.96–7.10), suggesting they are orthoclase (Figure 6b).

5.3. Whole-Rock Geochemistry

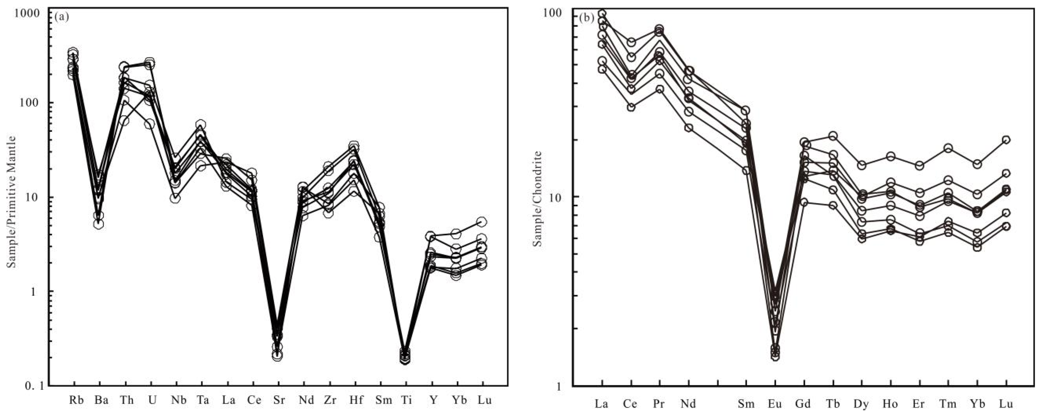
The whole-rock major elements and trace elements of the FAG in the Chamuhan intrusion are listed in Table 5. All sample LOI values are less than 1 wt%, indicating that the samples exhibit minimal effects of alteration and weathering processes. The FAG shows high SiO2 (76.95%–79.14%), Al2O3 (11.9%–12.6%), and Na2O + K2O (7.3%–8.5%) contents; Na2O and K2O values are 3.36%–4.60% and 3.89%–4.86%, respectively. The FAG has low FeOT (0.20%–0.74%), CaO (0.22%–0.66%), MgO (0.03%–0.09%), TiO2 (0.04%–0.06%), and P2O5 contents (0.01%–0.02%). The Differentiation Index (DI) and Solidification Index (SI) are 95.49–97.75 and 0.44–1.16, respectively. All samples plot within the alkali granite field of the R1R2 diagram (Figure 7a). In the TAS diagram, samples are concentrated in the granite field (Figure 7b), and in the SiO2-K2O diagram, samples fall into the high-K calc-alkaline series field (Figure 7c). As evidenced in the A/CNK-A/NK diagram (Figure 7d), the samples are strongly peraluminous, with A/CNK values between 1.37 and 1.57. The FAG samples have low ΣREE values (65.57 ppm–102.06 ppm). LREE values and HREE values are 46.80 ppm–95.25 ppm and 6.79 ppm–15.62 ppm, respectively. The LREE/HREE ratio ranges from 4.97 to 10.91, and the LaN/YbN ratio ranges from 5.05 to 14.86. The FAG samples exhibit negative Eu anomalies, as indicated by δEu values (δEu = E u N   S m N × G d N ) ranging from 0.08 to 0.19. The primitive mantle-normalized trace spider diagram (Figure 8a) shows that they are enriched in Rb, Th, and U and depleted in Sr, Ba, Zr, and Nb. The chondrite-normalized rare earth element distribution diagram indicates that the REE patterns are right-leaning shapes (Figure 8b).

6. Discussion

6.1. Petrogenic Age

The mineralization age of the Chamuhan W–Mo polymetallic deposit has been extensively studied, with Re–Os isotope dating of molybdenite yielding ages of 140.5 ± 1.1 Ma and 139.5 ± 1.5 Ma [28,38], indicating an Early Cretaceous formation. However, the crystallization age of the ore-forming intrusion remains unclear. Zhang et al. [18] conducted a detailed geochronological and geochemical study on the WMG, PMG, and FAG within the Chamuhan intrusion, and their data, including geochemical and δ18O isotopes, indicate that the FAG represents a more evolved melt compared to the WMG and PMG. Zircon and monazite U-Pb dating by Zhang et al. [18] yielded consistent ages of 143–144 Ma for the WMG and PMG. However, determining a reliable age for the FAG proved challenging due to intense hydrothermal alteration, which resulted in porous, metamorphic zircons. Among fourteen analytical spots, only three yielded ages consistent with the WMG and PMG (143 ± 2 Ma, 145 ± 2 Ma, 143 ± 1 Ma), while the remainder showed significant scatter down to 100 ± 1 Ma, rendering the dataset inconclusive. Furthermore, monazite grains exhibited complex hydrothermal age zoning [39], preventing them from reliably recording the magmatic crystallization age. In this study, we targeted pristine, magmatic zircon grains from the FAG with uniform internal textures and obtained a robust weighted mean 206Pb/238U age of 141.3 ± 1.2 Ma, which we interpret as the crystallization age of the FAG. This new age is consistent with the mineralization age of the Chamuhan deposit, confirming a genetic link between the granite emplacement and ore formation.
In comparison, the crystallization ages of the ore-forming intrusions and the mineralization ages of numerous recently discovered tungsten–tin polymetallic deposits within the SGXR—including the Daolundaba Cu–W–Sn–Ag deposit, the Weilasituo Sn deposit, the Huanggang Fe–Sn deposit, the Baiyinhan W–Mo deposit, and the Dongshanwan W–Mo–Sn deposit—are predominantly Early Cretaceous (Table 6). This concentration of ages strongly suggests a genetic link between tungsten–tin mineralization and the emplacement of highly fractionated granites during the Early Cretaceous in this region. Molybdenite Re–Os dating from the Chamuhan deposit is consistent with the zircon U–Pb dating results within analytical uncertainties, indicating that both the intrusion and the deposit formed during the Early Cretaceous. The age data combined with geological characteristics and chronological studies support that FAG is the ore-forming intrusion for the Chamuhan W–Mo polymetallic deposit.

6.2. Petrogenesis

6.2.1. Petrogenetic Type

The genetic classification of granites encompasses I-, S-, M-, and A-types, reflecting distinct magmatic origins and petrogenetic processes [48,49]. The FAG is peraluminous (A/CNK = 1.36–1.56), depleted in Ba, Sr, Ti, and P, and exhibits a pronounced negative Eu anomaly. Although both S-type and highly fractionated I-type granites can be peraluminous, their origins differ: S-types derive from partial melting of aluminous metasedimentary protoliths, which typically contain minerals such as cordierite, garnet, or corundum [50], whereas highly fractionated I-types acquire their composition through extreme fractional crystallization of metaluminous magmas. This distinction is further reflected geochemically: S-type granites typically show depletion in Th and Y with negative Rb–Th–Y correlations due to early monazite crystallization, whereas highly fractionated I-types display elevated Th and Y with positive Rb–Th and Rb–Y correlations [51,52]. Petrographic observations reveal that the FAG lacks typical peraluminous minerals (e.g., cordierite, garnet) except for minor muscovite (Figure 3). Geochemically, it shows a positive Rb–Th/Y correlation (Figure 9), supporting its classification as a highly fractionated I-type rather than S-type granite [53,54].
In the (Na2O + K2O)/CaO vs. Zr + Nb + Ce + Y discrimination diagram, the FAG plots within the field of fractionated granites (Figure 10a). In the 10,000 × Ga/Al vs. Zr diagram, data fall near the boundary between A-type and I-/S-type fields (Figure 10b). The A-type signatures in some diagrams are acquired through extensive fractional crystallization of an original I-type melt, which can drive the residual magma into compositional fields that overlap with A-type granites. The granite shows characteristic features of high fractionation, including low ratios of geochemically coherent elements (Zr/Hf = 16–21; Nb/Ta = 6.6–8.5), low total REE contents, LREE enrichment with low LREE/HREE ratios (avg. 7.3), and significant negative Eu anomalies [49,55]. These features collectively indicate that the Chamuhan granite underwent high-degree magmatic differentiation.
Highly fractionated I-type and A-type granites exhibit highly similar geochemical characteristics and are often difficult to distinguish [56]. Due to advanced differentiation, highly fractionated granites possess chemical and mineral compositions similar to those of low eutectic granite, resulting in comparable geochemical features. As a result, conventional petrogenetic discrimination diagrams often fail in distinguishing highly fractionated I-type and A-type granites. However, according to Wang et al. [57], A-type granites are characterized by higher total iron contents (>1%) and higher emplacement temperatures (average 840 °C). The FAG displayed a considerably lower total iron content (average 0.4%), far below that of typical A-type granites [58]. Calculations using ternary feldspar geothermobarometry [59,60] yield emplacement pressures ranging from 313 MPa to 454 MPa and temperatures between 689 °C and 778 °C. These values are consistent with the average temperature of 796 °C obtained from whole-rock zircon saturation thermometry, and all are lower than the mean temperature of 840 °C for A-type granites [58]. In addition, the average 10,000 Ga/Al ratio of Chamuhan granite is 2.9, which is lower than the average 10,000 × Ga/Al ratio (3.75) proposed for A-type granite by Whalen et al. [61]. The total Zr + Nb + Ce + Y values (average 234.86 ppm) of the granites are also significantly lower than the minimum threshold of 350 ppm for A-type granites proposed by Whalen et al. [61]. In summary, based on the comprehensive evidence—including the absence of Al-rich minerals, a positive Rb-Th/Y correlation, low iron content, moderate emplacement temperatures, and low Ga/Al ratios and Zr + Nb + Ce + Y values—the FAG intrusion is more likely to be the highly differentiated I-type granite.
Figure 10. Discriminant diagram of granite type (a) (Na2O + K2O)/CaO vs. Zr + Nb + Ce + Y discrimination diagram [51]; (b) 10,000 × Ga/Al vs. Zr diagram [59].
Figure 10. Discriminant diagram of granite type (a) (Na2O + K2O)/CaO vs. Zr + Nb + Ce + Y discrimination diagram [51]; (b) 10,000 × Ga/Al vs. Zr diagram [59].
Minerals 15 01085 g010

6.2.2. Magmatic Evolution and Metallogenesis

To simulate the mineral phases produced during crystallization differentiation, the fractional crystallization process of the FAG was modeled based on Rayleigh fractionation, and the thermodynamic software GeoPS in conjunction with the melt model of Holland et al. [62]. Combined with its crystallization conditions, the magmatic evolution was simulated over a pressure of 500 MPa and a temperature range of 600 to 1200 °C. As shown in the separating crystallization trend diagram and thermodynamic phase diagram, the fractional crystallization of plagioclase results in depletion of Sr and Eu in the residual melt and an increase in the Rb/Sr ratio (Figure 11a). Similarly, crystallization of K-feldspar led to Ba depletion, while crystallization of Ti-bearing minerals (e.g., titanite, ilmenite, and rutile) caused Ti depletion (Figure 11a). The crystallization of accessory minerals (e.g., muscovite, biotite, garnet) reduced the total REE content and Zr/Hf ratios (Figure 11b). In summary, these diagrams reflected the magma experienced crystallization of quartz, plagioclase, K-feldspar, muscovite, biotite, albite, garnet, ilmenite, and rutile.
In geochemistry, Zr/Hf and Nb/Ta are termed “twin elements” due to their similar ionic properties, leading to CHARAC behavior. During magmatic differentiation, ligand complexation in evolved melts causes their ratios to decrease [65,66], making these ratios key indicators of magma evolution. Ballouard et al. [67] proposed Nb/Ta < 5 as a threshold for fluid-altered granites, helping distinguish magmatic–hydrothermal from fractionation-dominated systems, while Zr/Hf = 26 and Y/Ho < 24 denote hydrothermal input (Figure 12a) [68,69]. Instead of following CHARAC behavior, evolved and volatile-rich systems (enriched in H2O, F, and B) commonly exhibit non-CHARAC signatures, as fluid–melt interactions preferentially fractionate high-field-strength element pairs [70,71]. This results in systematically lowered ratios such as Zr/Hf (16–21) and Nb/Ta (6.68–8.53) (Figure 12b), as well as Y/Ho (23–32, avg. 26) in the FAG (Figure 12c). Low Zr/Hf, Nb/Ta, and Y/Ho ratios and high Cs concentration reflect a high degree of fractionation [72], and the tetrad effect values can reflect the evolution degree of granite. High tetrad effect values in FAG (TE1,3 = 0.93–0.99) further confirm evolved melt conditions (Figure 12d). All ratios deviate from chondritic values and decrease systematically, supporting extensive fractional crystallization with minimal magmatic–hydrothermal influence in the FAG.
The water content of the FAG, calculated using the plagioclase hygrometer of Waters and Lange [74], ranges from 8.61% to 11.1%. EMPA data reveal that fluorine (F) content in muscovite ranges from 1.92% to 2.94%, and lithium (Li) content ranges from 1.19% to 1.72%, suggesting that the parental magma was a volatile-rich system. When granitic magmas are enriched in volatiles such as H2O, F, and Li, the solidus temperature of the magma is significantly reduced [75,76], resulting in prolonged fractional crystallization and more extensive magmatic evolution. The type of mica in granite can reflect its evolutionary degree. The transition from muscovite to zinnwaldite represents a progressive increase in the evolutionary degree of granitic magma [77]. The FAG contains zinnwaldite and Li-rich phengite, indicating that the FAG has undergone a high degree of evolution.
Candela et al. [78] emphasized that tungsten deposit formation is associated with reduced magmas, as the partitioning of tungsten during fractional crystallization is influenced by magma oxygen fugacity. Under reducing conditions, tungsten behaves as an incompatible element during crystal-melt distribution and becomes enriched in the residual melt through magmatic crystallization differentiation. This study estimates the oxygen fugacity of the magma using Ce and Eu in zircon [79], yielding logfO2 values of −22.58 to −14.48 (average −18.1) for the FAG, indicating that the magma was characterized by low oxygen fugacity. Thompson et al. [80] summarized the occurrence relationship between Cu, Cu–Mo, Mo, W, and Sn mineralization and alkaline–calc-alkaline magmatic rocks with different oxidation states in several typical deposits around the world. They concluded that different metal combinations are distributed based on magma fractionation degree and oxidation state [81]. The magmatic oxygen fugacity logfO2 of FAG falls within the range of W-Mo mineralization (−22–−12). From the perspective of magmatic evolution, the magma experienced continuous fractional crystallization of minerals such as plagioclase and K-feldspar (Figure 11), leading to further enrichment of ore-forming elements (including W, Sn, Mo) and volatiles (F, Cl) in the residual melt. The accumulation of volatiles reduces magma viscosity and solidus temperature, resulting in further magma evolution [82]. During the late stage of magmatic evolution, volatile-rich fluids are exsolved and separated from the melt [83]. The experimental petrological results show that the D W f l u i d / m e l t in a peraluminous melt with high H2O content (10 wt%) is ninefold higher than those with low H2O content (2 wt%) [84]. Thermodynamic experiments demonstrate that when mHF > 2, D W f l u i d / m e l t increases linearly with the molar concentration of HF in the medium [85]. At 800 °C and 100 MPa, D W f l u i d / m e l t = 0.37 in 1 mol/L NaCl, D M o f l u i d / m e l t = 1.70, in aqueous solution, D W f l u i d / m e l t = 0.07, D M o f l u i d / m e l t = 0.13. The distribution coefficients of Mo and W show a positive linear correlation with the chloride (Cl) concentration, indicating that high Cl systems enhance the mobility of Mo and W into the fluid phase [86,87]. Furthermore, the addition of F to the melt significantly increases the non-bridging oxygen (NBO) content, thereby promoting the solubility of WO42− in the melt [88,89]. In summary, the melt with high H2O, F, and Cl contents facilitates the enrichment of W–Mo in the magmatic–hydrothermal system. The plagioclase hygrometer results indicate that the H2O contents of the FAG range from 8.61% to 11.1% (average 9.64%). EPMA data of mica show F contents between 1.92% and 2.94%, indicating that high water and F contents enhanced the enrichment of ore-forming elements.
Thermodynamic experiments demonstrate that temperature and pH influence tungsten (W) speciation during migration [90]. Acidic solutions promote the formation of polymeric tungstate species (e.g., HW6O5−21 and W6O2−19), the stability of which increases at temperatures above 200 °C. In neutral/alkaline solutions at temperatures exceeding 300 °C, monomeric tungstate species (e.g., WO, HWO 4 , H2WO4, and alkali metal tungstate complexes) become the dominant forms of W [91]. Molybdenum may migrate as MoO2Cl+ in Cl-rich fluids [92]. Han [28] concluded, based on fluid inclusion studies of the Chamuhan deposit, that the ore-forming fluids were characterized by high temperature, high salinity, and CO2-rich compositions. The close association of tungsten ore bodies with fluorite indicates the ore-forming fluid was rich in F and Cl. The Chamuhan deposit contains pervasive greisenization. During the late magmatic stage, fluids exsolved from residual melts migrated upward, triggering greisenization at the top of the granite. Reaction (1) consumes H+ to form mica and quartz, which increases the pH of the fluid and consequently destabilizes polymeric tungstate species, converting them into monomeric forms. CO2 plays a dual role in high-temperature, high-pressure hydrothermal fluids by enhancing the solubility of tungsten (W) and stabilizing precipitating cations (e.g., Fe2+, Mn2+, Ca2+) [91]. Decompression during the upward migration of fluids caused boiling and CO2 degassing, destabilizing WO42− along with cations such as Fe2+ and Mn2+. The ensuing Reaction (2) was responsible for the precipitation of wolframite ([Fe,Mn]WO4) from the reaction of WO42− with Fe2+ and Mn2+ [88,93,94]. The paragenesis of pyrrhotite and arsenopyrite indicates a reducing environment, which reduced Mo6+ to Mo4+ and SO42− to S2−, leading to the precipitation of molybdenite (MoS2) [95]. Fluid–melt interaction is the critical trigger for ore deposition, where exsolution of late-stage F-Cl-rich hydrothermal fluids—facilitated by the high melt H2O content (8.6–11.1 wt%) and reduced conditions (logfO2 = 22.6 to −14.5)—efficiently scavenge W-Mo from the melt (enhanced by F-complexation) and precipitate them via pH shifts (greisenization) into the vein system. Fractional crystallization removes Sr, Eu, and Ca from the melt, suppressing scheelite (CaWO4) formation. In the F-rich hydrothermal system, Ca2+ preferentially forms fluorite with F. Scheelite precipitation occurs only under high Ca2+ and low F conditions. This selective mineralization accounts for the common paragenesis of wolframite with fluorite and the predominance of wolframite over scheelite in the Chamuhan deposit.
2 Na [ AlSi 3 O 8 ] + K [ AlSi 3 O 8 ] + 2 H + = KAl 2 [ AlSi 3 O 10 ] ( OH ) 2 + 6 SiO 2 + 2 Na +
HWO 4 + FeCl 2 ( aq ) = FeWO 4 + 2 Cl + H +

6.3. Tectonic Setting

The SGXR is characterized by a complex tectonic setting situated at the confluence of the Paleo-Asian and Paleo-Pacific metallogenic domains, which was also influenced by the subduction and closure of the Mongol-Okhotsk Ocean. The genesis and tectonic setting of Mesozoic magmatic rocks in the SGXR remain debated, primarily between two viewpoints: (1) Paleo-Pacific subduction accompanied by slab rollback processes [70,96], or (2) post-collisional extension triggered by the closure of the Mongol-Okhotsk oceanic basin [97,98].
Mao et al. [99] proposed that multiple large-scale metallogenic events occurred during the Mesozoic in northern China, with three high-intensity metallogenic episodes (160–200 Ma, ~140 Ma, and ~120 Ma) identified along the Northern margin of the North China Craton and the Southern Great Xing’an Range. These episodes correspond to three major geodynamic events: (1) collisional orogeny, (2) tectonic regime transition, and (3) large-scale lithospheric delamination. The geodynamic framework in northern China at ~140 Ma corresponds to a period of tectonic regime transition, which transformed from a compressional environment to an extensional environment driven by complex tectonic interactions. Combined with the Yb vs. Ta-Rb tectonic discrimination diagram, most data points fall in the fields of syn-collision and post-orogenic granites [100] (Figure 13a,b). Data points on the R1-R2 diagram are concentrated in the post-orogenic granites (Figure 13c), while SiO2-log[CaO/(K2O + Na2O)] diagrams exhibit data points that fall in the extensional area (Figure 13d). These geochemical indicators collectively suggest that previous studies widely supported the SGXR in a fully extensional environment in the Mesozoic [101,102,103]. Therefore, the Chamuhan intrusion was formed under the background of an extensional environment. The formation mechanism of the extensional environment in the study area is influenced by the subduction of the Paleo-Pacific plate, the subduction and closure of the Mongolia-Okhotsk Ocean, or the combined control of the two, though this remains a controversial issue.
The Mongol-Okhotsk Ocean underwent scissor-like closure from west to east during the Triassic, leading to the collision between the Siberian Craton and the North China-Amur Block. This collision formed the Mongol-Okhotsk Orogen, the youngest major orogenic belt in Northeast Asia. Following this orogeny, the assembly of continental blocks in Northeast Asia was completed, marking a transition to intraplate tectonic evolution. However, the precise timing of the final closure of the Mongol-Okhotsk Ocean remains controversial [106,107,108]. Middle Jurassic paleomagnetic data from the northern margin of the North China Craton indicate a paleolatitude of 61.7° ± 9.1°, consistent with contemporaneous positions of the Siberian Craton [109]. Sorokin et al. [110] conducted zircon U-Pb dating of metasedimentary rocks from the Mongol-Okhotsk basin, which revealed an absence of ages younger than 171 Ma. Based on this geochronological evidence, they proposed that the final closure of the Mongol-Okhotsk Ocean occurred at the Early–Middle Jurassic (Figure 14a). Wang et al. [111] used the extensive data analysis to reconstruct the regional paleogeographic structure and evolution history. By constructing a zircon age database and applying digital mapping techniques, they traced the migration of major magmatic provinces across Asia. Their results, based on the spatial distribution of Jurassic–Cretaceous igneous rocks, suggest that the influence of the Mongol-Okhotsk tectonic system is confined to central and northern Mongolia–Transbaikalia and eastern Mongolia–Great Xing’an Ranges. Wu et al. [39] proposed that the Late Jurassic to Early Cretaceous igneous rocks in the SGXR are predominantly aligned in a NNE orientation. This orientation is oblique relative to the Mongol-Okhotsk orogenic belt but generally parallel to the Pacific-Eurasian plate boundary, implying that the Early Cretaceous magmatism in this region was likely associated with the subduction of the Paleo-Pacific Plate. This evidence collectively suggests that the Mongol-Okhotsk Ocean closed by the Early–Middle Jurassic and that its subsequent tectonic influence did not extend to the SGXR. There is no consistent spatiotemporal correlation between the Chamuhan intrusion and the subduction or closure of the Mongolia-Okhotsk Ocean. Instead, the Middle Jurassic calc-alkaline volcanic associations in eastern Jilin–Heilongjiang and bimodal igneous rock suites in the Lesser Xing’an–Zhangguangcai Range signal the onset of the Paleo-Pacific tectonic influence [112,113]. By the Early Cretaceous, rollback of the Paleo-Pacific slab induced an extensional regime in the SGXR (Figure 14a). Asthenosphere upwelling triggered partial melting of the lower crust, generating magma that subsequently underwent high-degree fractional crystallization, ultimately forming the W–Sn polymetallic deposits in this region (Figure 14b).

7. Conclusions

1. LA-ICP-MS zircon U-Pb dating of the Chamuhan FAG yields an age of 141.3 ± 1.2 Ma, indicating that the Chamuhan intrusion formed during the Early Cretaceous.
2. The Chamuhan FAG shows high SiO2 and total alkali contents, with enrichments in Rb, Th, and U, and depletions in Sr, Ba, Ti, and P. Its petrogenetic classification corresponds to a highly fractionated I-type granite.
3. The formation of the Chamuhan FAG involved fractional crystallization of quartz, plagioclase, K-feldspar, muscovite, biotite, albite, garnet, ilmenite, and rutile.
4. The Chamuhan FAG crystallized within an extensional regime triggered by Paleo-Pacific subduction. Extensive fractional crystallization enriched the magma in trace elements and volatiles, which were later transported by hydrothermal fluids to form vein-type W polymetallic ore bodies in the upper part of the intrusion.

Author Contributions

Conceptualization, Y.S. and G.C.; methodology, Y.S.; software, Y.S., T.L., Y.L. (Yuze Li). and Y.S.; validation, G.C., T.L. and G.W.; formal analysis, Y.S., T.Z., J.W. and Y.L. (Yingjie Li); writing—Y.S.; writing—review and editing: G.C., T.L. and G.W.; investigation, Y.S., G.C., G.W., C.L., Y.L. (Yingjie Li) and Y.W.; resources, G.C., G.W. and T.L.; data collection, G.C. and G.W.; data curation: G.C. and G.W.; visualization, Y.S., T.L. and Y.W.; supervision, G.C., G.W. and Y.S.; project administration and funding acquisition, G.C. All authors have read and agreed to the published version of the manuscript.

Funding

This research was funded by the National Natural Science Foundation of China (Grant No. 42202080), the Open Project Program of Hebei Province Collaborative Innovation Center for Strategic Critical Mineral Research, Hebei GEO University, China (Grant No. HGUXT2025-3), the Doctoral Research Initiation Fund Project of Hebei GEO University (Grant No. BQ2024017), and the Project of China Chemicalgeology and Mine Bureau Inner Mongolia S-Pb-Zn Polymetallic Ore Deep Prospecting Technology Innovation Team (No. ZHTD202402).

Data Availability Statement

Data are contained within the article.

Acknowledgments

We thank the anonymous reviewers and the Managing Editor, for their valuable and constructive comments, which have helped to improve our manuscript.

Conflicts of Interest

The authors declare no conflicts of interest.

References

  1. Ying, J.F.; Zhou, X.H.; Zhang, L.C.; Wang, F. Geochronological Framework of Mesozoic Volcanic Rocks in the Great Xing’an Range, NE China, and Their Geodynamic Implications. J. Asian Earth Sci. 2010, 39, 786–793. [Google Scholar] [CrossRef]
  2. Li, S.; Chung, S.; Wang, T.; Wilde, S.A.; Chu, M.; Guo, Q. Tectonic Significance and Geodynamic Processes of Large-scale Early Cretaceous Granitoid Magmatic Events in the Southern Great Xing’an Range, North China. Tectonics 2017, 36, 615–633. [Google Scholar] [CrossRef]
  3. Zhou, Z.; Mao, J.; Stuart, F.M.; Chen, X.; Wilde, S.A.; Ouyang, H.; Gao, X.; Zhao, J. The Role of Mantle Melting in Granite-Associated Hydrothermal Systems: He–Ar Isotopes in Fluids Responsible for Sn–Ag–Pb–Zn Mineralization in Northeast China. Min. Depos. 2023, 58, 1421–1443. [Google Scholar] [CrossRef]
  4. Mi, K.; Lü, Z.; Yan, T.; Yao, X.; Ma, Y.; Lin, C. Zircon Geochronological and Geochemical Study of the Baogaigou Tin Deposits, Southern Great Xing’an Range, Northeast China: Implications for the Timing of Mineralization and Ore Genesis. Geol. J. 2020, 55, 5062–5081. [Google Scholar] [CrossRef]
  5. Zhao, P.; Chu, X.; Williams-Jones, A.E.; Mao, J.; Yuan, S. The role of phyllosilicate partial melting in segregating W and Sn deposits in W-Sn metallogenic provinces. Geology 2022, 50, 783–792. [Google Scholar] [CrossRef]
  6. Shang, Z.; Chen, Y.; Guo, X. Felsic Igneous Rocks in the Hua’aobaote Pb–Zn–Ag Polymetallic Orefield, Southern Great Xing’an Range: Genesis, Metallogenetic and Tectonic Significance. Acta Geol. Sin. 2022, 96, 221–239. [Google Scholar] [CrossRef]
  7. Li, S.; Li, Z.; Chen, G.; Yi, H.; Yang, F.; Lü, X.; Shi, J.; Dou, H.; Wu, G. Age, Fluid Inclusion, and H–O–S–Pb Isotope Geochemistry of the Superlarge Huaaobaote Ag–Pb–Zn Deposit in the Southern Great Xing’an Range, NE China. Minerals 2023, 13, 939. [Google Scholar] [CrossRef]
  8. Liu, Y.; Jiang, B.; Chen, Y.; Wu, L.; Zuo, Y.; Liu, Z. Genesis of Cu-Sn Mineralization in the Shuangjianzishan Super-Large Silver Deposit, Inner Mongolia: Trace Element Constraints from Chalcopyrite and Cassiterite. Appl. Sci. 2024, 14, 3822. [Google Scholar] [CrossRef]
  9. Zeng, Q.; Liu, J.; Zhang, Z.; Jia, C.; Yu, C.; Ye, J.; Liu, H. Geology and Lead-Isotope Study of the Baiyinnuoer Zn-Pb-Ag Deposit, South Segment of the Da Hinggan Mountains, Northeastern China. Resour. Geol. 2009, 59, 170–180. [Google Scholar] [CrossRef]
  10. Zhao, Q.; Xiao, R.; Zhang, D.; Wang, J.; Zhang, Y.; Li, P. Petrogenesis and Tectonic Setting of Ore-Associated Intrusive Rocks in the Baiyinnuoer Zn–Pb Deposit, Southern Great Xing’an Range (NE China): Constraints from Zircon U–Pb Dating, Geochemistry, and Sr–Nd–Pb Isotopes. Minerals 2019, 10, 19. [Google Scholar] [CrossRef]
  11. Yuan, S.; Williams-Jones, A.E.; Romer, R.L.; Zhao, P.; Mao, J. Protolith-Related Thermal Controls on the Decoupling of Sn and W in Sn-W Metallogenic Provinces: Insights from the Nanling Region, China. Econ. Geol. 2019, 114, 1005–1012. [Google Scholar] [CrossRef]
  12. Zhao, P.; Yuan, S.; Williams-Jones, A.E.; Romer, R.L.; Yan, C.; Song, S.; Mao, J. Temporal Separation of W and Sn Mineralization by Temperature-Controlled Incongruent Melting of a Single Protolith: Evidence from the Wangxianling Area, Nanling Region, South China. Econ. Geol. 2022, 117, 667–682. [Google Scholar] [CrossRef]
  13. Xie, W.; Zeng, Q.D.; Wang, R.L.; Wu, J.J.; Zhang, Z.M.; Li, F.C.; Zhang, Z. Spatial-Temporal Distribution and Tectonic Setting of Mesozoic W-Mineralized Granitoids in the Xing-Meng Orogenic Belt, NE China. Int. Geol. Rev. 2022, 64, 1845–1884. [Google Scholar] [CrossRef]
  14. Yuan, S.; Peng, J.; Hu, R.; Li, H.; Shen, N.; Zhang, D. A Precise U–Pb Age on Cassiterite from the Xianghualing Tin-Polymetallic Deposit (Hunan, South China). Min. Depos. 2008, 43, 375–382. [Google Scholar] [CrossRef]
  15. Yuan, S.; Williams-Jones, A.E.; Mao, J.; Zhao, P.; Yan, C.; Zhang, D. The origin of the zhangjialong tungsten deposit, South China: Implications for W-Sn mineralization in large granite batholiths. Econ. Geol. 2018, 113, 1193–1208. [Google Scholar] [CrossRef]
  16. Huber, C.; Bachmann, O.; Manga, M. Homogenization Processes in Silicic Magma Chambers by Stirring and Mushification (Latent Heat Buffering). Earth Planet. Sci. Lett. 2009, 283, 38–47. [Google Scholar] [CrossRef]
  17. Zhai, D.; Liu, J.; Cook, N.J.; Wang, X.; Yang, Y.; Zhang, A.; Jiao, Y. Mineralogical, Textural, Sulfur and Lead Isotope Constraints on the Origin of Ag-Pb-Zn Mineralization at Bianjiadayuan, Inner Mongolia, NE China. Min. Depos. 2019, 54, 47–66. [Google Scholar] [CrossRef]
  18. Zhang, L.; Jiang, S.; Bagas, L.; Han, N.; Liu, Y.; Liu, Y. Element Behaviour during Interaction of Magma and Fluid: A Case Study of Chamuhan Granite, and Implications on the Genesis of W–Mo Mineralisation. Lithos 2019, 343, 31–44. [Google Scholar] [CrossRef]
  19. Li, Y.; Zhou, H.; Brouwer, F.M.; Wijbrans, J.R.; Zhong, Z.; Liu, H. Tectonic Significance of the Xilin Gol Complex, Inner Mongolia, China: Petrological, Geochemical and U–Pb Zircon Age Constraints. J. Asian Earth Sci. 2011, 42, 1018–1029. [Google Scholar] [CrossRef]
  20. Wu, H.-R.; Yang, H.; Zhu, Y.-S.; Santosh, M.; Chen, Z.-Y.; Ji, Z.; Zhang, Z.-C.; Ge, W.-C. Zircon and Apatite as Tracers of Physicochemical Differences between Barren and Rare Metal Plutons in Granite-Pegmatite Systems. Geol. Soc. Am. Bull. 2025, 137, 2982–2998. [Google Scholar] [CrossRef]
  21. Zhu, X.; Lu, M. Fault Structures and Magmatic Intrusions Inferred from Magnetic Data for the Southern Great Xing’an Range, Northern China. Ore Geol. Rev. 2021, 135, 104206. [Google Scholar] [CrossRef]
  22. Zhang, P.; Fang, H.; Zhong, Q.; Zhang, X.; Yuan, Y.; Liu, J. Structural Features and Tectonic Evolution of the Nenjiang–Balihan Fault in the Western Margin of the Songliao Basin, NE China, Inferred from 2D Inversion of Magnetotelluric Data. J. Asian Earth Sci. 2021, 206, 104628. [Google Scholar] [CrossRef]
  23. Ouyang, H.; Mao, J.; Zhou, Z.; Su, H. Late Mesozoic Metallogeny and Intracontinental Magmatism, Southern Great Xing’an Range, Northeastern China. Gondwana Res. 2015, 27, 1153–1172. [Google Scholar] [CrossRef]
  24. Zhang, J.H.; Gao, S.; Ge, W.C.; Wu, F.Y.; Yang, J.H.; Wilde, S.A.; Li, M. Geochronology of the Mesozoic Volcanic Rocks in the Great Xing’an Range, Northeastern China: Implications for Subduction-Induced Delamination. Chem. Geol. 2010, 276, 144–165. [Google Scholar] [CrossRef]
  25. Zhang, H.; Zhang, H.; Shen, S.; Zhao, Z.; Qiu, L.; Chen, S.; Zhang, J.; Gong, F.; Li, Y.; Zheng, Y.; et al. Volcanic Age and Geochemistry of the Permian Linxi Formation in Northeast China: Implications for the Tectonic Evolution of the Paleo-Asian Ocean. Lithosphere 2023, 2023, 1–20. [Google Scholar] [CrossRef]
  26. Ge, W.; Wu, F.; Zhou, C.; Zhang, J. Porphyry Cu-Mo Deposits in the Eastern Xing’an-Mongolian Orogenic Belt: Mineralization Ages and Their Geodynamic Implications. Chin. Sci. Bull. 2007, 52, 3416–3427. [Google Scholar] [CrossRef]
  27. Xu, Z.G.; Chen, M.C.; Wang, D.H.; Chen, Z.H.; Li, H.M. China Metallogenic Belt Division Scheme; Geology Press: Beijing, China, 1989; pp. 1–103. (In Chinese) [Google Scholar]
  28. Han, N. The Study on the Metallogenesis of the Chamuhan W-Mo Deposit, Hexigten Banner, Inner Mongolia. Ph.D. Thesis, Chinese Academy of Geological Sciences, Beijing, China, 2022. (In Chinese). [Google Scholar]
  29. Vermeesch, P. IsoplotR: A Free and Open Toolbox for Geochronology. Geosci. Front. 2018, 9, 1479–1493. [Google Scholar] [CrossRef]
  30. Pei, Q.-M.; Zhang, S.-T.; Hayashi, K.; Cao, H.-W.; Li, D.; Tang, L.; Hu, X.-K.; Li, H.-X.; Fang, D.-R. Permo–Triassic Granitoids of the Xing’an–Mongolia Segment of the Central Asian Orogenic Belt, Northeast China: Age, Composition, and Tectonic Implications. Int. Geol. Rev. 2018, 60, 1172–1194. [Google Scholar] [CrossRef]
  31. Rubatto, D. Zircon Trace Element Geochemistry: Partitioning with Garnet and the Link between U–Pb Ages and Metamorphism. Chem. Geol. 2002, 184, 123–138. [Google Scholar] [CrossRef]
  32. De La Roche, H.; Leterrier, J.; Grandclaude, P.; Marchal, M. A Classification of Volcanic and Plutonic Rocks Using R1-R2 Diagram and Major-Element Analyses—Its Relationships with Current Nomenclature. Chem. Geol. 1980, 29, 183–210. [Google Scholar] [CrossRef]
  33. Tischendorf, G.; Gottesmann, B.; Förster, H.-J.; Trumbull, R.B. On Li-Bearing Micas: Estimating Li from Electron Microprobe Analyses and an Improved Diagram for Graphical Representation. Mineral. Mag. 1997, 61, 809–834. [Google Scholar] [CrossRef]
  34. Deer, W.A.; Howie, R.A.; Zussman, J. An Introduction to the Rock-Forming Minerals, 3rd ed.; The Minerological Society: London, UK, 2013; pp. 1–492. [Google Scholar]
  35. Middlemost, E.A.K. Naming Materials in the Magma/Igneous Rock System. Earth-Sci. Rev. 1994, 37, 215–224. [Google Scholar] [CrossRef]
  36. Peccerillo, A.; Taylor, S.R. Geochemistry of Eocene Calc-Alkaline Volcanic Rocks from the Kastamonu Area, Northern Turkey. Contrib. Mineral. Petrol. 1976, 58, 63–81. [Google Scholar] [CrossRef]
  37. Maniar, P.D.; Piccoli, P.M. Tectonic Discrimination of Granitoids. Geol. Soc. Am. Bull. 1989, 101, 635–643. [Google Scholar] [CrossRef]
  38. Sun, Y.; Li, B.; Sun, F.; Ding, Q.; Wang, B.; Li, Y.; Wang, K. Mineralization Events in the Xiaokele Porphyry Cu (–Mo) Deposit, NE China: Evidence from Zircon U–Pb and K-feldspar Ar–Ar Geochronology and Petrochemistry. Resour. Geol. 2020, 70, 254–272. [Google Scholar] [CrossRef]
  39. Bergemann, C.A.; Gnos, E.; Berger, A.; Janots, E.; Whitehouse, M.J. Dating Tectonic Activity in the Lepontine Dome and Rhone-Simplon Fault Regions through Hydrothermal Monazite-(Ce). Solid Earth 2020, 11, 199–222. [Google Scholar] [CrossRef]
  40. Chen, G.; Wu, G.; Li, T.; Liu, R.; Li, R.; Li, Y.; Yang, F. Mineralization of the Daolundaba Cu–Sn–W–Ag Deposit in the Southern Great Xing’an Range, China: Constraints from Geochronology, Geochemistry, and Hf Isotope. Ore Geol. Rev. 2021, 133, 104117. [Google Scholar] [CrossRef]
  41. Wu, G.; Liu, R.L.; Chen, G.Z.; Li, T.G.; Li, R.H.; Li, Y.L.; Yang, F.; Zhang, T. Mineralization of the Weilasituo rare metaltin-polymetallic ore deposit in Inner Mongolia: Insights from fractional crystallization of granitic magmas. Acta Petrol. Sin. 2021, 37, 637–664. (In Chinese) [Google Scholar]
  42. Wang, F.; Bagas, L.; Jiang, S.; Liu, Y. Geological, Geochemical, and Geochronological Characteristics of Weilasituo Sn-Polymetal Deposit, Inner Mongolia, China. Ore Geol. Rev. 2017, 80, 1206–1229. [Google Scholar] [CrossRef]
  43. Wang, C.; Shao, Y.; Zhang, X.; Dick, J.; Liu, Z. Trace Element Geochemistry of Magnetite: Implications for Ore Genesis of the Huanggangliang Sn-Fe Deposit, Inner Mongolia, Northeastern China. Minerals 2018, 8, 195. [Google Scholar] [CrossRef]
  44. Zhou, Z.H.; Mao, J.W.; Lyckberg, P. Geochronology and Isotopic Geochemistry of the A-Type Granites from the Huanggang Sn–Fe Deposit, Southern Great Hinggan Range, NE China: Implication for Their Origin and Tectonic Setting. J. Asian Earth Sci. 2012, 49, 272–286. [Google Scholar] [CrossRef]
  45. Wang, R.; Zeng, Q.; Zhang, Z.; Guo, Y.; Lu, J. Fluid Evolution, H-O Isotope and Re-Os Age of Molybdenite from the Baiyinhan Tungsten Deposit in the Eastern Central Asian Orogenic Belt, NE China, and Its Geological Significance. Minerals 2020, 10, 664. [Google Scholar] [CrossRef]
  46. Zeng, Q.D.; Sun, Y.; Chu, S.X.; Duan, X.X.; Liu, J. Geochemistry and Geochronology of the Dongshanwan Porphyry Mo–W Deposit, Northeast China: Implications for the Late Jurassic Tectonic Setting. J. Asian Earth Sci. 2015, 97, 472–485. [Google Scholar] [CrossRef]
  47. Zhang, Z.; Ji, Z.; Ge, W.; Yang, H.; Wu, H.; Wang, Y. Contribution Discrepancy of Two Distinct Wall Rocks to Wolframite Mineralization from Dongshanwan Quartz-Vein Tungsten Deposit, Southern Great Xing’an Range, China. Ore Geol. Rev. 2023, 163, 105800. [Google Scholar] [CrossRef]
  48. Azman, A.G. The Western Belt Granite of Peninsular Malaysia: Some Emergent Problems on Granite Classification and Its Implication. Geosci. J. 2000, 4, 283–293. [Google Scholar] [CrossRef]
  49. Bucher, K.; Seelig, U. Bristen Granite: A Highly Differentiated, Fluorite-Bearing A-Type Granite from the Aar Massif, Central Alps, Switzerland. Swiss J. Geosci. 2018, 111, 317–340. [Google Scholar] [CrossRef]
  50. Chappell, B.W.; White, A.J.R. Two Contrasting Granite Types: 25 Years Later. Aust. J. Earth Sci. 2001, 48, 489–499. [Google Scholar] [CrossRef]
  51. Sylvester, P.J. Post-Collisional Alkaline Granites. J. Geol. 1989, 97, 261–280. [Google Scholar]
  52. Wu, F.; Jahn, B.; Wilde, S.A.; Lo, C.H.; Yui, T.F.; Lin, Q.; Ge, W.; Sun, D. Highly Fractionated I-Type Granites in NE China (I): Geochronology and Petrogenesis. Lithos 2003, 66, 241–273. [Google Scholar] [CrossRef]
  53. King, P.L.; White, A.J.R.; Chappell, B.W.; Allen, C.M. Characterization and Origin of Aluminous A-Type Granites from the Lachlan Fold Belt, Southeastern Australia. J. Petrol. 1997, 38, 371–391. [Google Scholar] [CrossRef]
  54. Sardinha, A.S.; Barros, C.E.D.M.; Krymsky, R. Geology, Geochemistry, and U–Pb Geochronology of the Archean (2.74Ga) Serra Do Rabo Granite Stocks, Carajás Metallogenetic Province, Northern Brazil. J. S. Am. Earth Sci. 2006, 20, 327–339. [Google Scholar] [CrossRef]
  55. Gelman, S.E.; Deering, C.D.; Bachmann, O.; Huber, C.; Gutiérrez, F.J. Identifying the Crystal Graveyards Remaining after Large Silicic Eruptions. Earth Planet. Sci. Lett. 2014, 403, 299–306. [Google Scholar] [CrossRef]
  56. Zhao, X.-F.; Zhou, M.-F.; Li, J.-W.; Wu, F.-Y. Association of Neoproterozoic A- and I-Type Granites in South China: Implications for Generation of A-Type Granites in a Subduction-Related Environment. Chem. Geol. 2008, 257, 1–15. [Google Scholar] [CrossRef]
  57. Aspinall, W.P.; Woo, G.; Voight, B.; Baxter, P.J. Evidence-Based Volcanology: Application to Eruption Crises. J. Volcanol. Geotherm. Res. 2003, 128, 273–285. [Google Scholar] [CrossRef]
  58. KEby, G.N. The A-Type Granitoids: A Review of Their Occurrence and Chemical Characteristics and Speculations on Their Petrogenesis. Lithos 1990, 26, 115–134. [Google Scholar] [CrossRef]
  59. Green, N.L.; Usdansky, S.I. Ternary feldspar mixing relations and thermobarometry. Am. Mineral. 1986, 71, 1101–1108. [Google Scholar]
  60. Benisek, A.; Dachs, E.; Kroll, H. A Ternary Feldspar-Mixing Model Based on Calorimetric Data: Development and Application. Am. Mineral. 2004, 89, 1496–1504. [Google Scholar] [CrossRef]
  61. Whalen, J.B.; Currie, K.L.; Chappell, B.W. A-Type Granites: Geochemical Characteristics, Discrimination and Petrogenesis. Contrib Miner. Petrol. 1987, 95, 407–419. [Google Scholar] [CrossRef]
  62. Holland, T.J.B.; Green, E.C.R.; Powell, R. Melting of Peridotites through to Granites: A Simple Thermodynamic Model in the System KNCFMASHTOCr. J. Petrol. 2018, 59, 881–900. [Google Scholar] [CrossRef]
  63. Xiang, H.; Connolly, J.A.D. GeoPS: An Interactive Visual Computing Tool for Thermodynamic Modelling of Phase Equilibria. J. Metamorph. Geol. 2022, 40, 243–255. [Google Scholar] [CrossRef]
  64. Li, X.-H.; Klyukin, Y.I.; Steele-MacInnis, M.; Fan, H.-R.; Yang, K.-F.; Zoheir, B. Phase Equilibria, Thermodynamic Properties, and Solubility of Quartz in Saline-Aqueous-Carbonic Fluids: Application to Orogenic and Intrusion-Related Gold Deposits. Geochim. Cosmochim. Acta 2020, 283, 201–221. [Google Scholar] [CrossRef]
  65. Jochum, K.P.; Seufert, H.M.; Spettel, B.; Palme, H. The Solar-System Abundances of Nb, Ta, and Y, and the Relative Abundances of Refractory Lithophile Elements in Differentiated Planetary Bodies. Geochim. Cosmochim. Acta 1986, 50, 1173–1183. [Google Scholar] [CrossRef]
  66. Deering, C.D. Trace Element Indicators of Crystal Accumulation in Silicic Igneous Rocks. Earth Planet. Sci. Lett. 2010, 297, 324–331. [Google Scholar] [CrossRef]
  67. Ballouard, C.; Poujol, M.; Boulvais, P.; Branquet, Y.; Tartèse, R.; Vigneresse, J.-L. Nb-Ta Fractionation in Peraluminous Granites: A Marker of the Magmatic-Hydrothermal Transition. Geology 2016, 44, 231–234. [Google Scholar] [CrossRef]
  68. Ke, L.; Zhang, H.; Liu, J.; Zhai, D.; Guo, D.; Yang, J.; Tan, Q.; Xu, Y.; Zhang, M.; Wang, S. Fluid Inclusion, H-O, S, Pb and Noble Gas Isotope Studies of the Aerhada Pb–Zn–Ag Deposit, Inner Mongolia, NE China. Ore Geol. Rev. 2017, 88, 304–316. [Google Scholar] [CrossRef]
  69. Dong, Y.; Ge, W.; Tian, D.; Ji, Z.; Yang, H.; Bi, J.; Wu, H.; Hao, Y. Geochronology and Geochemistry of Early Cretaceous Granitic Plutons in the Xing’an Massif, Great Xing’an Range, NE China: Petrogenesis and Tectonic Implications. Acta Geol. Sin. 2019, 93, 1500–1521. [Google Scholar] [CrossRef]
  70. Bau, M. Controls on the Fractionation of Isovalent Trace Elements in Magmatic and Aqueous Systems: Evidence from Y/Ho, Zr/Hf, and Lanthanide Tetrad Effect. Chem. Geol. 1985, 48, 43–55. [Google Scholar] [CrossRef]
  71. Lehmann, B. Formation of Tin Ore Deposits: A Reassessment. Lithos 2021, 402–403, 105756. [Google Scholar] [CrossRef]
  72. Wen, C.M.; Zhao, P.L.; Grondahl, C.; Tsay, A.; Zajacz, Z.; Yuan, S.D. Cesium partitioning between granitic melts and aqueous fluids: Is Cs in hydrothermal fluids an accurate proxy of the degree of fractionation of parental magmas? Geochim. Cosmochim. Acta 2025, 396, 159–169. [Google Scholar] [CrossRef]
  73. Irber, W. The Lanthanide Tetrad Effect and Its Correlation with K/Rb, Eu/Eu*, Sr/Eu, Y/Ho, and Zr/Hf of Evolving Peraluminous Granite Suites. Geochim. Cosmochim. Acta 1999, 63, 489–508. [Google Scholar] [CrossRef]
  74. Waters, L.E.; Lange, R.A. An Updated Calibration of the Plagioclase-Liquid Hygrometer-Thermometer Applicable to Basalts through Rhyolites. Am. Mineral. 2015, 100, 2172–2184. [Google Scholar] [CrossRef]
  75. Giordano, D.; Dingwell, D.B.; Romano, C. Viscosity of a Teide phonolite in the welding interval. J. Volcanol. Geotherm. Res. 2000, 103, 239–245. [Google Scholar] [CrossRef]
  76. Thomas, R.; Förster, H.J.; Heinrich, W. The behaviour of boron in a peraluminous granite-pegmatite system and associated hydrothermal solutions: A melt and fluid-inclusion study. Contrib. Mineral. Petrol. 2003, 144, 457–472. [Google Scholar] [CrossRef]
  77. Roda, E.; Keller, P.; Pesquera, A.; Fontan, F. Micas of the Muscovite–Lepidolite Series from Karibib Pegmatites, Namibia. Mineral. mag. 2007, 71, 41–62. [Google Scholar] [CrossRef]
  78. Candela, P.A. Controls on Ore Metal Ratios in Granite-Related Ore Systems: An Experimental and Computational Approach. Trans. R. Soc. Edinb. Earth Sci. 1992, 83, 317–326. [Google Scholar]
  79. Trail, D. Ce and Eu Anomalies in Zircon as Proxies for the Oxidation State of Magmas. Geochim. Cosmochim. Acta 2012, 97, 70–87. [Google Scholar] [CrossRef]
  80. Thompson, J.F.H.; Sillitoe, R.H.; Baker, T.; Lang, J.R.; Mortensen, J.K. Intrusion-Related Gold Deposits Associated with Tungsten-Tin Provinces. Min. Depos. 1999, 34, 323–334. [Google Scholar] [CrossRef]
  81. Yuan, S.; Williams-Jones, A.E.; Bodnar, R.J.; Zhao, P.; Zajacz, Z.; Chou, I.-M.; Mao, J. The Role of Magma Differentiation in Optimizing the Fluid-Assisted Extraction of Copper to Generate Large Porphyry-Type Deposits. Sci. Adv. 2025, 11, 927–933. [Google Scholar] [CrossRef]
  82. Li, J.; Huang, X.-L.; Fu, Q.; Li, W.-X. Tungsten Mineralization during the Evolution of a Magmatic-Hydrothermal System: Mineralogical Evidence from the Xihuashan Rare-Metal Granite in South China. Am. Mineral. 2021, 106, 443–460. [Google Scholar] [CrossRef]
  83. Zhao, P.; Zajacz, Z.; Tsay, A.; Yuan, S. Magmatic-Hydrothermal Tin Deposits Form in Response to Efficient Tin Extraction upon Magma Degassing. Geochim. Cosmochim. Acta 2022, 316, 331–346. [Google Scholar] [CrossRef]
  84. Qiu, Y.; Wang, X.; Lu, J.; Chou, I.-M.; Wan, Y.; Zhang, R.; Zhang, W.; Sun, R. In Situ Observations of Tungsten Speciation and Partitioning Behavior during Fluid Exsolution from Granitic Melt. Sci. Bulletin. 2022, 67, 2358–2368. [Google Scholar] [CrossRef]
  85. Chen, Z.L.; Peng, S.L. The experimental Result of W and Sn flow-melting distribution and its genetic significance. Geol. Rev. 1994, 40, 284–294. (In Chinese) [Google Scholar]
  86. Guan, S.J.; Zhang, H.; Tang, Y.; Zhang, J.Y. An experimental study on the partitioning of molybdenum and tungsten between granitic melt and coexisting aqueous fluid at 100 MPa and 800 °C. Geo Chim. 2011, 40, 516–524. (In Chinese) [Google Scholar]
  87. Zhao, P.; Zajacz, Z.; Tsay, A.; Chu, X.; Cheng, Q.M.; Yuan, S.D. The partitioning behavior of Mo during magmatic fluid exsolution and its implications for Mo mineralization. Geochim. Cosmochim. Acta 2022, 339, 115–126. [Google Scholar] [CrossRef]
  88. Mysen, B. Relationships between Silicate Melt Structure and Petrologic Processes. Earth-Sci. Rev. 1990, 27, 281–365. [Google Scholar] [CrossRef]
  89. Keppler, H.; Wyllie, P.J. Partitioning of Cu, Sn, Mo, W, U, and Th between Melt and Aqueous Fluid in the Systems Haplogranite-H/O-HCl and Haplogranite-H2O-HF. Contrib. Miner. Petrol. 1991, 109, 139–150. [Google Scholar]
  90. Carocci, E.; Truche, L.; Cathelineau, M.; Caumon, M.-C.; Bazarkina, E.F. Tungsten (VI) Speciation in Hydrothermal Solutions up to 400 °C as Revealed by in-Situ Raman Spectroscopy. Geochim. Cosmochim. Acta 2022, 317, 306–324. [Google Scholar] [CrossRef]
  91. Wang, X.; Qiu, Y.; Lu, J.; Chou, I.-M.; Zhang, W.; Li, G.; Hu, W.; Li, Z.; Zhong, R. In Situ Raman Spectroscopic Investigation of the Hydrothermal Speciation of Tungsten: Implications for the Ore-Forming Process. Chem. Geol. 2020, 532, 119299. [Google Scholar] [CrossRef]
  92. Ulrich, T.; Mavrogenes, J. An Experimental Study of the Solubility of Molybdenum in H2O and KCl–H2O Solutions from 500 °C to 800 °C, and 150 to 300 MPa. Geochim. Cosmochim. Acta. 2008, 72, 2316–2330. [Google Scholar] [CrossRef]
  93. Gibert, F.; Moine, B.; Schott, J.; Dandurand, J.-L. Modeling of the Transport and Deposition of Tungsten in the Scheelite-Bearing Calc-Silicate Gneisses of the Montagne Noire, France. Contrib. Mineral. Petrol. 1992, 112, 371–384. [Google Scholar] [CrossRef]
  94. Wood, S.A.; Samson, I.M. The Hydrothermal Geochemistry of Tungsten in Granitoid Environments: I. Relative Solubilities of Ferberite and Scheelite as a Function of T, P, pH, and mNaCl. Econ. Geol. 2000, 95, 143–182. [Google Scholar] [CrossRef]
  95. Jin, C.; Gao, X.-Y.; Chen, W.T.; Zhao, T.-P. Magmatic-Hydrothermal Evolution of the Donggou Porphyry Mo Deposit at the Southern Margin of the North China Craton: Evidence from Chemistry of Biotite. Ore Geol. Rev. 2018, 92, 84–96. [Google Scholar] [CrossRef]
  96. Ruan, B.; Lv, X.; Yang, W.; Liu, S.; Yu, Y.; Wu, C.; Adam, M.M.A. Geology, Geochemistry and Fluid Inclusions of the Bianjiadayuan Pb–Zn–Ag Deposit, Inner Mongolia, NE China: Implications for Tectonic Setting and Metallogeny. Ore Geol. Rev. 2015, 71, 121–137. [Google Scholar] [CrossRef]
  97. Ouyang, H.G. Metallogenesis of Bairendaba-Weilasituo Silver-Polytmetallic Deposit and Its Geodynamic Setting, in the Southern Segment of Great Xing’an Range, NE China. Ph.D. Thesis, China University of Geosciences, Beijing, China, 2013. (In Chinese). [Google Scholar]
  98. Li, Y.; Liu, Z.; Shao, Y.; Liu, L.; Chen, K.; Zhao, H.; You, S.; He, M. Garnet Geochronology, Major and Trace Element Geochemistry of the Huanggangliang Fe-Sn Polymetallic Deposit, NE China. Ore Geol. Rev. 2024, 168, 106048. [Google Scholar] [CrossRef]
  99. Mao, J.W.; Xie, G.Q.; Zhang, Z.H.; Li, X.F.; Wang, X.T.; Zhang, C.Q.; Li, Y.F. Mesozoic large-scale metallogenic pulses in North China and corresponding gcadynalllie settings. Acta Petrol. Sin. 2005, 21, 171–190. (In Chinese) [Google Scholar]
  100. Bonin, B.; Azzouni-Sekkal, A.; Bussy, F.; Ferrag, S. Alkali-Calcic and Alkaline Post-Orogenic (PO) Granite Magmatism: Petrologic Constraints and Geodynamic Settings. Lithos 1998, 45, 45–70. [Google Scholar] [CrossRef]
  101. Wang, J.F.; Li, Y.J.; Li, H.Y.; Dong, P.P. Zircon U-Pb dating of the Shijiangshan Late Jurassic-Early Cretaceous A-type granite in Xi Ujimqin Banner of Inner Mongolia and its tectonic setting. Geol. Bull. China 2018, 37, 382–396. (In Chinese) [Google Scholar]
  102. Deng, C.; Sun, D.; Han, J.; Chen, H.; Li, G.; Xiao, B.; Li, R.; Feng, Y.; Li, C.; Lu, S. Late-Stage Southwards Subduction of the Mongol-Okhotsk Oceanic Slab and Implications for Porphyry Cu Mo Mineralization: Constraints from Igneous Rocks Associated with the Fukeshan Deposit, NE China. Lithos 2019, 326, 341–357. [Google Scholar] [CrossRef]
  103. Deng, C.; Sun, D.; Ping, X.; Huang, H.; Zhang, L.; Lu, S. Geochemistry of Early Cretaceous Volcanic Rocks in the Northeastern Great Xing’an Range, Northeast China and Implication for Geodynamic Setting. Int. Geol. Rev. 2019, 61, 1594–1612. [Google Scholar] [CrossRef]
  104. Pearce, J.A.; Harris, N.B.W.; Tindle, A.G. Trace Element Discrimination Diagrams for the Tectonic Interpretation of Granitic Rocks. J. Petrol. 1984, 25, 957–983. [Google Scholar] [CrossRef]
  105. Batchelor, R.A.; Bowden, P. Petrogenetic Interpretation of Granitoid Rock Series Using Multicationic parameters. Chem. Geol. 1985, 48, 43–55. [Google Scholar] [CrossRef]
  106. Mo, S.G.; Han, M.L.; Li, J.T. Compositions and Orogenic Processes of Mongolia-Okhotsk Orogen. J. Shandong Univ. Sci. Technol. 2005, 24, 50–52+64. (In Chinese) [Google Scholar]
  107. Zhao, P.; Xue, B.; Chen, Y. Mongolia-Okhotsk Ocean: Evolution and final closure. Sci. Sin. Terrae 2023, 53, 2541–2559. (In Chinese) [Google Scholar]
  108. Kong, J.G.; Zhang, G.B.; Zhang, W.D.; Wang, Q.L.; Dong, J.S.; Chen, X.K.; He, Y.L. Geochronology and geochemistry of Late Jurassic granodiorite in Huma area of northern segment of Da Hinggan Ling (Mts): Constraints on tectonic evolution of Mongolia-Okhotsk Ocean. World Geol. 2024, 43, 171–192. (In Chinese) [Google Scholar]
  109. Zhao, P.; Xu, B.; Chen, Y. Evolution and Final Closure of the Mongol-Okhotsk Ocean. Sci. China Earth Sci. 2023, 66, 2497–2513. [Google Scholar] [CrossRef]
  110. Sorokin, A.A.; Zaika, V.A.; Kovach, V.P.; Kotov, A.B.; Xu, W.; Yang, H. Timing of Closure of the Eastern Mongol–Okhotsk Ocean: Constraints from U–Pb and Hf Isotopic Data of Detrital Zircons from Metasediments along the Dzhagdy Transect. Gondwana Res. 2020, 81, 58–78. [Google Scholar] [CrossRef]
  111. Wang, T. Granitic Record of the Assembly of the Asian Continent. Earth-Sci. Rev. 2023, 237, 104298. [Google Scholar] [CrossRef]
  112. Zhang, G.; Xie, W.; Wen, S.; Gong, E.; Guo, R.; Tang, T. Petrogenesis and Tectonic Implications of Late Mesozoic Volcanic Rocks in the Northern and Central Great Xing’an Range, NE China: Constraints from Geochronology and Geochemistry. Geol. J. 2020, 55, 8282–8308. [Google Scholar] [CrossRef]
  113. Feng, Z.; Sun, D.; Yue, Y.; Mao, A.; Tian, L.; Sun, C.; Gou, J. Petrogenesis of Highly Differentiated I-type Volcanic Rocks: Reinjection of High-temperature Magma—An Example from Suolun Silicic Volcanic Rocks, Central Great Xing’an Range, China. Geol. J. 2020, 55, 6677–6695. [Google Scholar] [CrossRef]
Figure 2. Geological map of the Chamuhan ore deposit ((a), modified after [24]) exploration line profile ((b), modified after [24]).
Figure 2. Geological map of the Chamuhan ore deposit ((a), modified after [24]) exploration line profile ((b), modified after [24]).
Minerals 15 01085 g002
Figure 3. Field photograph, hand specimens, and photomicrographs of FAG in the Chamuhan intrusion: (a) Field photograph showing a typical outcrop of FAG in the Chamuhan intrusion; (b) FAG hand specimens, primarily composed of K-feldspar, plagioclase, and quartz; (c) FAG exhibiting perthitic K-feldspar development. Plagioclase displays subhedral–euhedral tabular morphology. Phenocrysts comprise perthite and quartz, while the matrix consists of plagioclase, quartz, and muscovite. Slight sericitization occurs in interstitial spaces between plagioclase and quartz; (d) Porphyritic-like texture observed in fine-grained alkali-feldspar granite, with perthite phenocrysts and fine-grained quartz-muscovite matrix. Prominent perthitic texture developed in K-feldspar.; Ms = muscovite; Pl = plagioclase; Pth = perthite; Qz = quartz.
Figure 3. Field photograph, hand specimens, and photomicrographs of FAG in the Chamuhan intrusion: (a) Field photograph showing a typical outcrop of FAG in the Chamuhan intrusion; (b) FAG hand specimens, primarily composed of K-feldspar, plagioclase, and quartz; (c) FAG exhibiting perthitic K-feldspar development. Plagioclase displays subhedral–euhedral tabular morphology. Phenocrysts comprise perthite and quartz, while the matrix consists of plagioclase, quartz, and muscovite. Slight sericitization occurs in interstitial spaces between plagioclase and quartz; (d) Porphyritic-like texture observed in fine-grained alkali-feldspar granite, with perthite phenocrysts and fine-grained quartz-muscovite matrix. Prominent perthitic texture developed in K-feldspar.; Ms = muscovite; Pl = plagioclase; Pth = perthite; Qz = quartz.
Minerals 15 01085 g003
Figure 4. Zircon cathodoluminescence images of FAG, indicating the location of analytical points and 206Pb/238U corresponding ages.
Figure 4. Zircon cathodoluminescence images of FAG, indicating the location of analytical points and 206Pb/238U corresponding ages.
Minerals 15 01085 g004
Figure 5. (a) Concordance diagram and (b) weighted mean plot of zircon 206Pb/238U corresponding age of FAG.
Figure 5. (a) Concordance diagram and (b) weighted mean plot of zircon 206Pb/238U corresponding age of FAG.
Minerals 15 01085 g005
Figure 6. (a) Diagram of FeT + Mn + Ti − AlVI versus Mg–Li for mica minerals [32] and (b) An-Ab-Or diagram for feldspar minerals [33].
Figure 6. (a) Diagram of FeT + Mn + Ti − AlVI versus Mg–Li for mica minerals [32] and (b) An-Ab-Or diagram for feldspar minerals [33].
Minerals 15 01085 g006
Figure 7. Classification diagrams of the FAG in the Chamuhan intrusion. (a) R1-R2 diagram [34]; (b) TAS diagram [35]; (c) SiO2-K2O diagram [36]; (d) A/CNK-A/NK diagram [37].
Figure 7. Classification diagrams of the FAG in the Chamuhan intrusion. (a) R1-R2 diagram [34]; (b) TAS diagram [35]; (c) SiO2-K2O diagram [36]; (d) A/CNK-A/NK diagram [37].
Minerals 15 01085 g007
Figure 8. Primitive mantle-normalized trace spider diagram (a) and chondrite-normalized rare earth element distribution diagram (b) of FAG in the Chamuhan intrusion.
Figure 8. Primitive mantle-normalized trace spider diagram (a) and chondrite-normalized rare earth element distribution diagram (b) of FAG in the Chamuhan intrusion.
Minerals 15 01085 g008
Figure 9. Rb vs. Th (a) and Rb vs. Y (b) diagrams of FAG in the Chamuhan intrusion.
Figure 9. Rb vs. Th (a) and Rb vs. Y (b) diagrams of FAG in the Chamuhan intrusion.
Minerals 15 01085 g009
Figure 11. Separating crystallization trend diagram (a,b) and the thermodynamic phase diagram of mineral and melt phases (c) of the Chamuhan intrusion [63,64]. Ab = albite; Amp = hornblende; Bt = biotite; Kf = K-feldspar; Mgt = magnetite; Pl = plagioclase; Q = quartz; Ru = rutile; Tit = titanite.
Figure 11. Separating crystallization trend diagram (a,b) and the thermodynamic phase diagram of mineral and melt phases (c) of the Chamuhan intrusion [63,64]. Ab = albite; Amp = hornblende; Bt = biotite; Kf = K-feldspar; Mgt = magnetite; Pl = plagioclase; Q = quartz; Ru = rutile; Tit = titanite.
Minerals 15 01085 g011
Figure 12. Discrimination diagrams for evolution degree of granites [73]. (a) Zr/Hf vs. Nb/Ta diagram; (b) Nb/Ta vs. TE1,3 diagram; (c) Zr/Hf vs. TE1,3 diagram; (d) Y/Ho vs. TE1,3 diagram.
Figure 12. Discrimination diagrams for evolution degree of granites [73]. (a) Zr/Hf vs. Nb/Ta diagram; (b) Nb/Ta vs. TE1,3 diagram; (c) Zr/Hf vs. TE1,3 diagram; (d) Y/Ho vs. TE1,3 diagram.
Minerals 15 01085 g012
Figure 13. The tectonic setting discrimination diagrams of the Chamuhan intrusion. (a) Yb vs. Ta-Rb diagram [104]; (b) Y vs. Nb diagram [104]; (c) R1 vs. R2 diagram [105]; (d) SiO2 vs. log[CaO/K2O + Na2O] [105]. ORG = oceanic ridge granites; syn-COLG = syn-collisional granites; VAG = volcanic arc granites; WPG = within-plate granites. 1 = mantle differentiated granites; 2 = pre-collisional granites; 3 = post-collisional uplifting granites; 4 = late-orogenic granites; 5 = anorogenic granites; 6 = syn-collisional granites; 7 = post-orogenic granites.
Figure 13. The tectonic setting discrimination diagrams of the Chamuhan intrusion. (a) Yb vs. Ta-Rb diagram [104]; (b) Y vs. Nb diagram [104]; (c) R1 vs. R2 diagram [105]; (d) SiO2 vs. log[CaO/K2O + Na2O] [105]. ORG = oceanic ridge granites; syn-COLG = syn-collisional granites; VAG = volcanic arc granites; WPG = within-plate granites. 1 = mantle differentiated granites; 2 = pre-collisional granites; 3 = post-collisional uplifting granites; 4 = late-orogenic granites; 5 = anorogenic granites; 6 = syn-collisional granites; 7 = post-orogenic granites.
Minerals 15 01085 g013
Figure 14. Mesozoic Tectonic Evolution Diagram of the Great Xing’an Range (a) Magmatic Evolution and Mineralization Model of the Chamuhan Granitic Complex (b).
Figure 14. Mesozoic Tectonic Evolution Diagram of the Great Xing’an Range (a) Magmatic Evolution and Mineralization Model of the Chamuhan Granitic Complex (b).
Minerals 15 01085 g014
Table 1. Zircon U-Pb LA-ICP-MS results of the FAG from the Chamuhan intrusion.
Table 1. Zircon U-Pb LA-ICP-MS results of the FAG from the Chamuhan intrusion.
Spot noThUTh/UIsotopic RatiosAges/Ma
ppm207Pb/
206Pb
207Pb/
235U
206Pb/238U207Pb/
206Pb
207Pb/
235U
206Pb/
238U
117,94320,8510.86 0.050090.001430.151240.004240.02194 0.00073 194.2 65 142.9 3139.8 4
210,98018,0280.61 0.051410.005200.153720.017340.02177 0.00088 233.7 204 144.9 15138.8 5
351711830.44 0.04854 0.00294 0.15701 0.01229 0.02327 0.00091 99.9 141 147.8 10 148.3 5
419,90522,2800.89 0.04890 0.00168 0.14996 0.00624 0.02207 0.00052 133.9 76 141.8 5140.7 3
520,49120,5211.00 0.10715 0.01627 0.36604 0.06512 0.02406 0.00100 142.66311.8 48 153.2 6
6579499230.58 0.10375 0.00743 0.33923 0.02593 0.02325 0.00072 138.44306.9 29 148.1 4
7945012,3790.76 0.16725 0.01708 0.60814 0.06224 0.02584 0.00041 141.26479.7 37 164.4 2
823,60224,1310.98 0.07229 0.00612 0.23114 0.01995 0.02275 0.00050 140.93210.6 16 145.0 3
910,39815,6400.66 0.04796 0.00102 0.14508 0.00425 0.02157 0.00074 93.0 49 137.5 3 137.5 4
1025,02224,9461.00 0.05026 0.00133 0.15159 0.00434 0.02165 0.00049 201.3 58 143.2 3 138.0 3
1111,08015,5950.71 0.10658 0.01431 0.35909 0.05592 0.02409 0.00106 142.97308.1 39 153.4 6
Table 2. The EPMA data for mica samples from FAG in the Chamuhan intrusion.
Table 2. The EPMA data for mica samples from FAG in the Chamuhan intrusion.
SampleCY12-M1CY12-M2CY12-M3CY12-M4CY12-M5CY13-M1CY13-M2CY13-M3
SiO244.245.443.942.346.345.2345.145.4
TiO20.110.250.130.400.140.290.230.01
Al2O334.231.133.131.232.535.832.134.6
FeO5.054.504.586.653.582.754.554.50
MnO0.110.090.080.170.120.080.080.18
MgO0.763.021.241.952.001.182.110.97
CaO0.010.010.080.020.020.010.020.00
Na2O0.200.140.100.130.160.160.180.10
K2O10.810.78.59.810.310.610.610.8
Cr2O30.010.020.000.050.000.000.020.02
F2.352.942.082.752.551.922.372.24
Cl0.000.010.000.060.020.020.010.00
Total96.896.993.094.296.697.296.497.9
Number of cations calculated on the basis of 11 oxygen atoms
Si2.943.002.992.913.042.953.002.97
AlIV1.050.991.001.080.951.040.991.02
AlVI1.621.431.651.441.561.711.521.64
Ti0.010.010.010.020.0060.010.010.01
Fe3+0.280.240.260.380.190.150.250.24
Mn0.0100.0050.0040.0090.0060.0040.0040.010
Mg0.070.290.120.200.190.110.200.09
Ca0.0010.0010.0050.0010.0010.0010.0010.000
Na0.020.010.010.010.020.020.020.01
K0.910.900.740.860.860.880.900.90
Total6.936.926.816.936.866.906.936.91
MF0.200.530.320.330.490.420.440.26
AlVI + Fe3+ + Ti1.911.691.921.841.771.871.791.89
Fe2+ + Mn0.0060.0050.0040.0090.0060.0040.0040.010
Ti/(Mg + Fe + Ti + Mn)0.010.020.010.030.010.050.020.01
Al/(Al + Mg + Fe + Ti + Mn + Si)0.440.400.430.410.420.450.410.44
Li1.441.601.401.191.721.581.561.60
Li2O3.113.403.022.563.723.413.373.46
Mg − Li−1.37−1.31−1.28−0.99−1.53−1.47−1.35−1.51
Fe + Mn + Ti − AlIV−1.33−1.16−1.38−1.03−1.35−1.54−1.25−1.38
Table 3. The EPMA data for plagioclase samples from FAG in the Chamuhan intrusion.
Table 3. The EPMA data for plagioclase samples from FAG in the Chamuhan intrusion.
SampleCY12-P1CY12-P2CY12-P3CY12-M4CY13-P1CY13-P2CY13-P3CY13-P4CY13-P5
SiO270.169.068.969.766.767.669.369.569.3
Al2O320.319.319.820.420.720.219.819.720.1
CaO0.490.180.410.660.420.700.380.270.48
Na2O11.311.711.311.311.111.610.811.711.4
K2O0.130.120.160.160.150.140.120.140.15
TiO20.000.000.000.000.000.000.000.000.01
FeO0.010.000.010.030.060.010.010.010.01
MgO0.000.010.000.010.000.000.010.010.00
Total102.4100.4100.6102.299.1100.3100.4101.3101.4
Number of cations calculated on the basis of 8 oxygen atoms
Si2.983.002.992.972.942.953.002.992.98
Al1.020.991.011.021.071.041.011.001.02
Ca0.020.010.010.030.010.030.010.010.02
Na0.930.980.950.930.940.980.900.970.95
K0.0070.0060.0080.0080.0080.0070.0060.0070.008
An2.320.841.953.102.033.201.891.252.25
Ab96.998.597.196.097.196.097.397.996.9
Or0.730.660.910.890.860.760.710.770.84
XAn0.020.0080.020.030.020.030.020.010.02
XAb0.970.990.970.960.970.960.970.980.97
ω(H2O)/%9.5710.19.018.6111.18.1210.310.59.44
t(°C)725698739763689778705691729
P(MPa)382347400435321454353313392
Table 4. The EPMA data for K-feldspar samples from FAG in the Chamuhan intrusion.
Table 4. The EPMA data for K-feldspar samples from FAG in the Chamuhan intrusion.
SampleCY12-K1CY12-K2CY12-K3CY12-K4CY12-K5CY13-K1CY13-K2CY13-K3CY13-K4CY13-K5
SiO264.564.464.764.464.364.664.964.664.464.9
Al2O318.118.318.118.018.218.318.418.218.218.3
CaO0.010.010.000.000.000.000.000.000.000.01
Na2O0.410.220.270.270.230.550.380.340.470.81
K2O15.916.716.716.416.216.116.616.616.316.1
TiO20.000.010.010.000.010.000.000.030.000.00
FeO0.020.020.010.020.040.020.040.020.030.03
MgO0.000.010.000.000.000.000.000.000.020.00
Total98.999.699.999.299.099.6100.399.899.5100.1
Number of cations calculated on the basis of 8 oxygen atoms
Si3.002.993.003.003.002.992.992.992.992.99
Al0.991.000.990.991.001.001.000.990.990.99
Ca0.00050.00050.000.000.000.000.000.000.000.0005
Na0.030.010.020.020.020.040.030.030.040.07
K0.940.990.980.970.960.950.970.980.960.94
An0.050.050.000.000.000.000.000.000.000.05
Ab3.771.962.402.442.114.943.363.024.207.10
Or96.197.997.697.597.895.096.696.995.892.8
Table 5. Analysis results of major elements (wt%) and trace elements (ppm) of FAG in the Chamuhan intrusion.
Table 5. Analysis results of major elements (wt%) and trace elements (ppm) of FAG in the Chamuhan intrusion.
Sample No.CY10CY11CY12CY13CY14CY15CY16CY17
SiO277.176.977.978.779.177.876.977.1
Al2O312.412.611.912.212.212.112.312.2
FeOT0.220.310.740.200.410.420.510.40
Na2O3.554.603.743.913.363.904.093.78
MgO0.050.050.090.030.080.050.050.06
P2O50.010.010.010.010.010.020.010.01
K2O4.863.983.894.403.994.334.224.44
CaO0.660.490.450.250.430.220.350.30
TiO20.050.040.050.060.050.050.040.04
MnO0.010.010.020.010.020.010.010.01
LOI0.710.590.770.510.620.610.490.64
Total99.799.799.8100.6100.599.699.399.3
A/NK1.481.471.561.481.661.461.491.49
A/CNK1.371.391.471.431.571.421.431.44
TZr(°C)788760753795814843768854
Rb262.5176.8186.4234.4278.1161.2236.1194.3
Sr11.35.9011.79.009.417.0210.85.58
Ba109.488.986.4154.5145.146.4105.557.2
Th19.97.0011.615.320.226.217.825.9
U4.123.481.603.122.867.203.206.79
Nb23.812.98.8018.818.313.712.916.4
Ta3.081.741.132.352.432.051.522.02
Zr158.8118.897.3162.2179.9273.3122.3302.1
Hf9.706.074.578.769.5112.77.0813.8
Co1.012.065.320.660.451.091.580.44
Ni0.921.663.232.500.981.090.740.99
V1.260.862.381.811.421.531.291.29
Sc2.492.054.421.852.844.163.782.44
Cu2.461.7812.02.881.935.125.673.28
Pb11.912.213.810.85.8820.014.131.4
La12.611.420.615.417.416.122.519.3
Ce21.618.540.823.226.425.934.327.2
Pr4.333.607.475.075.475.647.306.53
Nd13.311.022.315.815.417.122.020.0
Sm2.742.143.812.983.093.564.434.43
Eu0.120.080.140.170.180.080.150.11
Gd2.691.953.452.602.853.173.904.06
Tb0.520.340.490.410.490.570.630.79
Dy2.601.541.901.642.172.512.653.80
Ho0.680.380.430.390.520.600.610.94
Er1.771.031.070.971.331.511.482.46
Tm0.310.190.180.160.240.270.250.46
Yb1.781.110.990.931.421.451.422.57
Lu0.340.210.180.180.280.280.270.51
DI96.197.295.797.795.497.696.997.0
SI0.630.591.160.441.030.620.650.72
ΣREE65.653.5103.970.077.378.8102.193.3
LREE54.846.895.362.768.068.490.877.6
HREE10.76.798.737.329.3410.311.215.6
LREE/HREE5.116.9010.98.587.296.598.084.97
Eu/Eu*0.140.130.120.190.190.080.120.08
LaN/YbN5.067.3514.811.88.777.9611.35.38
TE1,30.950.950.900.920.950.950.930.97
Note: TE1,3 =   C e c n L a c n 2 3 × N d c n 1 3 × P r c n L a c n 1 3 × N d c n 2 3 × T b c n G d c n 2 3 × H o c n 1 3 × D y c n G d c n 1 3 × H o c n 2 3 , Lncn = chondrite-normalized lanthanide concentration.
Table 6. The crystallization and mineralization ages of the major W–Sn polymetallic deposits in the SGXR.
Table 6. The crystallization and mineralization ages of the major W–Sn polymetallic deposits in the SGXR.
DepositMetal AssemblageOre-Causative Intrusion (Ma)Mineralization (Ma)References
DaolundabaCu–W–Sn–AgZircon U–Pb
134–136Ma
Cassiterite U-Pb
134.7 ± 2.8Ma
Chen et al. [40]; Wu et al. [41]
WeilasituoSn–Li–Rb–Cu–ZnZircon U–Pb
137–138Ma
Cassiterite U-Pb
135 ± 6Ma
Wang et al. [42]
HuangganliangSn–FeZircon U–Pb
136.8 ± 0.57Ma
Molybdenite Re-Os
134.9 ± 5.2Ma
Zhai et al. [43]; Zhou et al. [44]
BaiyinhanW–MoZircon U–Pb
139.1 ± 2.5Ma
Molybdenite Re-Os
139.6 ± 7.6Ma
Wang et al. [45]
DongshanwanSn–Ag–Pb–ZnZircon U–Pb
142.2 ± 0.9 Ma
Molybdenite Re-Os
141.3 ± 2.7Ma
Zeng et al. [46]; Zhang et al. [47]
Disclaimer/Publisher’s Note: The statements, opinions and data contained in all publications are solely those of the individual author(s) and contributor(s) and not of MDPI and/or the editor(s). MDPI and/or the editor(s) disclaim responsibility for any injury to people or property resulting from any ideas, methods, instructions or products referred to in the content.

Share and Cite

MDPI and ACS Style

Song, Y.; Chen, G.; Wu, G.; Li, T.; Zhang, T.; Wang, J.; Li, Y.; Liu, C.; Li, Y.; Wang, Y. Petrogenesis of the Chamuhan Intrusion in the Southern Great Xing’an Range: Constraints from Zircon U-Pb Dating and Petrogeochemistry. Minerals 2025, 15, 1085. https://doi.org/10.3390/min15101085

AMA Style

Song Y, Chen G, Wu G, Li T, Zhang T, Wang J, Li Y, Liu C, Li Y, Wang Y. Petrogenesis of the Chamuhan Intrusion in the Southern Great Xing’an Range: Constraints from Zircon U-Pb Dating and Petrogeochemistry. Minerals. 2025; 15(10):1085. https://doi.org/10.3390/min15101085

Chicago/Turabian Style

Song, Yutong, Gongzheng Chen, Guang Wu, Tiegang Li, Tong Zhang, Jinfang Wang, Yingjie Li, Chenyu Liu, Yuze Li, and Yinlong Wang. 2025. "Petrogenesis of the Chamuhan Intrusion in the Southern Great Xing’an Range: Constraints from Zircon U-Pb Dating and Petrogeochemistry" Minerals 15, no. 10: 1085. https://doi.org/10.3390/min15101085

APA Style

Song, Y., Chen, G., Wu, G., Li, T., Zhang, T., Wang, J., Li, Y., Liu, C., Li, Y., & Wang, Y. (2025). Petrogenesis of the Chamuhan Intrusion in the Southern Great Xing’an Range: Constraints from Zircon U-Pb Dating and Petrogeochemistry. Minerals, 15(10), 1085. https://doi.org/10.3390/min15101085

Note that from the first issue of 2016, this journal uses article numbers instead of page numbers. See further details here.

Article Metrics

Back to TopTop