Simulation and Observations of Audio Magnetotelluric Measurements over Water-Covered Areas
Abstract
1. Introduction
2. Technology of Separated Electric and Magnetic Channels
3. Numerical Simulation of Separated Electric and Magnetic Channels
3.1. Inhomogeneous Geoelectric Model
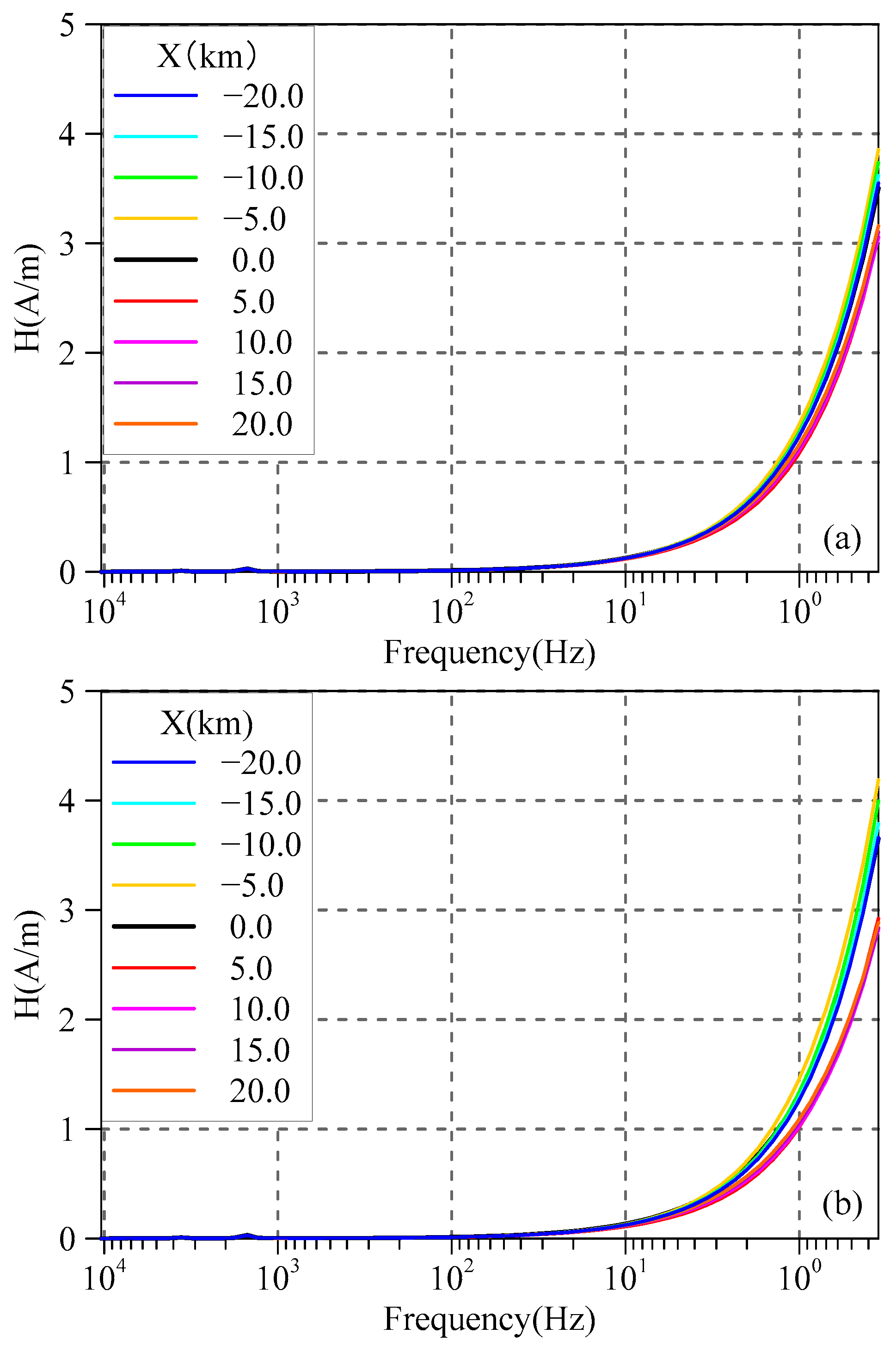
3.2. Water Body Model
4. AMT Observation Experiments Using Separated Electric and Magnetic Channels
4.1. Magnetic Channel Comparison Experiment
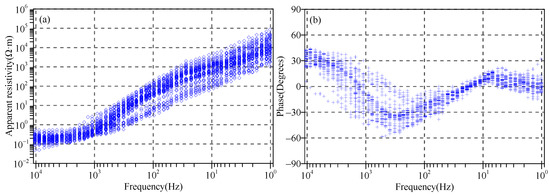
4.2. Profile Experiment
5. Discussion
6. Conclusions
Author Contributions
Funding
Data Availability Statement
Acknowledgments
Conflicts of Interest
References
- Teng, J.W. Strengthening exploration of metallic minerals in the second depth space of the crust, accelerating development and industrialization of new geophysical technology and instrumental equipment. Prog. Geophys. 2010, 25, 729–748. [Google Scholar]
- Xue, G.; Chen, W.; Wu, X.; Yan, S.; Guo, W. A Near-Source Electromagnetic Method for Deep Ore Explorations. Minerals 2022, 12, 1208. [Google Scholar] [CrossRef]
- Zhang, P.X. Salt Lakes in Qaidam Basin, 1st ed.; Science Publishing House: Beijing, China, 1987; pp. 143–148. [Google Scholar]
- Liu, C.L.; Jiao, P.C.; Wang, M.L. A tentative discussion on exploration model for potash deposits in basins of China. Miner. Depos. 2010, 29, 581–592. [Google Scholar]
- Wang, K.; Zhang, Y.; Han, J.H.; Ma, L.C.; Zheng, M.P.; Wu, Y.; Yang, B.W. Distribution and Genesis of Potassium-Bearing Minerals in Lop Nor Playa, Xinjiang, China. Minerals 2023, 13, 560. [Google Scholar] [CrossRef]
- Cagniard, L. Basic theory of the magnetotelluric method of geophysical prospecting. Geophysics 1953, 63, 605–636. [Google Scholar] [CrossRef]
- Filloux, J.H. Techniques and instrumentation for the study of natural electromagnetic induction at sea. Phys. Earth Planet. Inter. 1973, 7, 323–338. [Google Scholar] [CrossRef]
- Bnnett, D.J.; Filloux, J.H. Magnetotelluric deep electrical sounding and resistivity. Rev. Geophys. Space Phys. 1975, 13, 197–203. [Google Scholar] [CrossRef]
- Filloux, J.H. North pacific magnetotelluric experiments. J. Geomagn. Geoelectr. 1980, 32, SI33–SI43. [Google Scholar] [CrossRef]
- Chave, A.D.; Filloux, J.H. Electromagnetic induction field in the deep ocean off California: Oceanic and ionospheric sources. Geophys. J. Int. 1984, 77, 143–171. [Google Scholar] [CrossRef]
- Eidesmo, T.; Ellingsrud, S.; MacGregor, L.M.; Constable, S.; Sinha, M.C.; Johansen, S.; Kong, F.N.; Westerdahl, H. Sea bed logging (SBL), a new method for remote and direct identification of hydrocarbon filled layers in deepwater areas. First Break 2002, 20, 144–152. [Google Scholar]
- Constable, S. Ten years of marine CSEM for hydrocarbon exploration. Geophysics 2010, 75, 75A67–75A81. [Google Scholar] [CrossRef]
- Key, K. Marine electromagnetic studies of seafloor resources and tectonics. Surv. Geophys. 2012, 33, 135–167. [Google Scholar] [CrossRef]
- Constable, S. Review paper: Instrumentation for marine magnetotelluric and controlled source electromagnetic sounding. Geophys. Prospect. 2013, 61, 505–532. [Google Scholar] [CrossRef]
- Li, T.L.; Lin, J.; Wang, D.P.; Liu, C.F.; Zeng, X.Z. Study on Sea-Land Electromagnetic Noise and Beach Magnetotelluric Sounding, 1st ed.; Geophysics Publishing House: Beijing, China, 2001; pp. 79–92. [Google Scholar]
- Deng, M.; Liu, F.L.; Zhang, Q.S.; Chen, K. Long-span and Multi-point Synchronizing Data Acquisition for Seafloor Magnetotelluric Based on Union of Marine and Land. Sci. Technol. Rev. 2006, 24, 28–32. [Google Scholar]
- He, Z.X.; Sun, W.B.; Kong, F.S.; Wang, X.F. Marine electromagnetic approach. Oil Geophys. Prospect. 2006, 41, 45l–457. [Google Scholar]
- Li, Y.G.; Constable, S. Transient electromagnetic in shallow water: Insights from 1D modeling. Chin. J. Geophys. 2010, 53, 737–742. [Google Scholar]
- Shen, J.S.; Zhan, L.S.; Wang, P.F.; Ma, C.; Lian, F.M. Theoretic analysis and numerical simulation of effects of airwave interaction on the marine controlled source electromagnetic exploration. Chin. J. Geophys. 2012, 55, 2473–2488. [Google Scholar]
- Yin, C.C.; Ben, F.; Liu, Y.H.; Huang, W.; Cai, J. MCSEM 3D modeling for arbitrarily anisotropic media. Chin. J. Geophys. 2014, 57, 4110–4122. [Google Scholar]
- Yang, J.; Liu, Y.; Wu, X.P. 3D simulation of marine CSEM using vector finite element method on unstructured grids. Chin. J. Geophys. 2015, 58, 2827–2838. [Google Scholar]
- Nyquist, J.E.; Freyer, P.A.; Toran, L. Stream bottom resistivity tomography to map ground-water discharge. GroundWater 2008, 46, 561–569. [Google Scholar] [CrossRef]
- Tsourlos, P.; Tsokas, G.N. Underwater resistivity surveying for sludge layer parametrization. In Proceedings of the 1st International Conference on Advances in Mineral Resources Management and Environmental Geotechnology, Crete, Greece, 7–9 June 2004. [Google Scholar]
- Dahlin, T.; Loke, M.H. Underwater ERT surveying in water with resistivity layering with example of application to site investigation for a rock tunnel in central Stockholm. Near Surf. Geophys. 2018, 16, 230–237. [Google Scholar] [CrossRef]
- Mollidor, L.; Tezkan, B.; Bergers, R.; Löhken, J. Float-transient electromagnetic method: In-loop transient electromagnetic measurements on Lake Holzmaar, Germany. Geophys. Prospect. 2013, 61, 1056–1064. [Google Scholar] [CrossRef]
- Byrdina, S.; Vandemeulebrouck, J.; Rath, V.; Silva, C.; Hogg, C.; Kiyan, D.; Viveiros, F.; Eleuterio, J.; Gresse, M. Resistivity structure of the Furnas hydrothermal system (Azores archipelago, Portugal) from AMT and ERT imaging. In Proceedings of the EGU General Assembly Conference, Vienna, Austria, 17–22 April 2016. [Google Scholar]
- Yogeshwar, P.; Küpper, M.; Tezkan, B.; Rath, V.; Kiyan, D.; Byrdina, S.; Cruz, J.V.; Andrade, C.; Viveiros, F. Innovative Boat-Towed Transient Electromagnetics-Investigation of the Furnas Volcanic Lake Hydrothermal System, Azores. Geophysics 2019, 85, 41–56. [Google Scholar] [CrossRef]
- Liu, J.X.; Mao, X.C.; Zhang, Y.S. Underwater magnetotelluric sounding method. Geophys. Geochem. Explor. 1997, 21, 74–76. [Google Scholar]
- Ding, J.R.; Wang, Y.; Yu, P.; Wang, J.L.; Hao, T.Y. MT Surveying Test of Synchronous Acquisition by Separated Electric and Magnetic Channels on Shallow Sea. Oil Geophys. Prospect. 2006, 41, 107–110. [Google Scholar]
- Yang, S. Computation of Apparent Resistivity for Separately Acquired Electromagnetic Signals in MT Exploration of Water Domain. Oil Geophys. Prospect. 2006, 41, 592–595. [Google Scholar]
- Xu, J.R.; Liu, J.X.; Li, A.Y.; Yang, S.; Liu, H.F.; Weng, J.B. Liquid effect upon electromagnetic fields in water area MT exploration. J. Cent. South Univ. Sci. Technol. 2007, 38, 567–573. [Google Scholar]
- Feng, N.; Tong, T.G.; Zuo, G.Q. The Application of dual-frequency IP in engineering geological survey on water area. West-China Explor. Eng. 2006, 18, 187–188. [Google Scholar]
- Ni, L.; Chen, D.H.; Xu, H.W.; Zhang, H.; Jin, W.J.; Zhang, W.H.; Lin, D.M. Electrical exploration on water region used in the geophysical prospecting cross the river and lake. Prog. Geophys. 2012, 27, 2710–2715. [Google Scholar]
- Liu, H.Y. The application of DC resistivity to shallow marine engineering exploration. Geophys. Geochem. Explor. 2013, 37, 756–760. [Google Scholar]
- Fu, X.M.; Tan, X.J.; Lei, Y.C. The Application of Integrated Geophysical Methods to Water Crossing Project. Chin. J. Eng. Geophys. 2013, 10, 175–179. [Google Scholar]
- Zhang, Y.S.; Li, B.; Zhang, J.L. The application of the transient electromagnetic method to the waters geological investigation. Geophys. Geochem. Explor. 2016, 40, 160–162. [Google Scholar]
- Meng, Q.L. Application of towing transient electromagnetic method of waters in the geological investigation of the Muping Xiangjiang Bridge. In Proceedings of the 2018 National Engineering Survey Conference, Xi’an, China, 21–24 June 2018. [Google Scholar]
- Jiang, J. Application of towed TEM method in shallow waters geotechnical investigation. Coal Geol. China 2019, 31, 103–107. [Google Scholar]
- Qi, P.; Yin, Y.; Jin, S.; Wei, W.; Xu, L.; Dong, H.; Huang, J. Three-Dimensional Audio-Magnetotelluric Imaging including Surface Topography of the Cimabanshuo Porphyry Copper Deposit, Tibet. Minerals 2021, 11, 1424. [Google Scholar] [CrossRef]
- Pitiya, R.; Lu, M.; Chen, R.; Nong, G.; Chen, S.; Yao, H.; Shen, R.; Jiang, E. Audio Magnetotellurics Study of the Geoelectric Structure across the Zhugongtang Giant Lead–Zinc Deposit, NW Guizhou Province, China. Minerals 2022, 12, 1552. [Google Scholar] [CrossRef]
- Wang, N.; Wang, Z.; Sun, Q.; Hui, J. Coal Mine Goaf Interpretation: Survey, Passive Electromagnetic Methods and Case Study. Minerals 2023, 13, 422. [Google Scholar] [CrossRef]
- Zhang, Q.S.; Wang, J.Y.; Ye, J.Y.; Wang, L. A feasibility test of offshore magnetotelluric prospecting in the Leiqiong area. Geol. Prospect. 2006, 42, 64–67. [Google Scholar]
- Chen, L.S.; Wang, G.E. Magnetotelluric Sounding Method, 1st ed.; Geophysics Publishing House: Beijing, China, 1990; pp. 10–22. [Google Scholar]
- Hermance, J.F.; Thayer, R.E. The telluric-magnetotelluric method. Geophysics 1975, 40, 664–668. [Google Scholar] [CrossRef]
- Stodt, J.A.; Hohmann, G.W.; Ting, S.C. The telluric-magnetotelluric method in two- and three-dimensional environments. Geophysics 1981, 46, 1137–1147. [Google Scholar] [CrossRef][Green Version]
- Coggon, J.H. Electromagnetic and electrical modeling by the finite element method. Geophysics 1971, 36, 132–151. [Google Scholar] [CrossRef]
- Bureau of Geology and Mineral Resources of Liaoning Province. Regional Geology of Liaoning Province, 1st ed.; Geophysics Publishing House: Beijing, China, 1989; pp. 252–257. [Google Scholar]
- Zhao, Y.; Chen, X.D.; Huang, Y.; Wang, G.; Li, Y.B.; Zhao, F.G.; Wang, S.M. The development of three-component inductive magnetic field sensor suitable for shallow water work. Geophys. Geochem. Explor. 2019, 43, 1326–1332. [Google Scholar]
















Disclaimer/Publisher’s Note: The statements, opinions and data contained in all publications are solely those of the individual author(s) and contributor(s) and not of MDPI and/or the editor(s). MDPI and/or the editor(s) disclaim responsibility for any injury to people or property resulting from any ideas, methods, instructions or products referred to in the content. |
© 2023 by the authors. Licensee MDPI, Basel, Switzerland. This article is an open access article distributed under the terms and conditions of the Creative Commons Attribution (CC BY) license (https://creativecommons.org/licenses/by/4.0/).
Share and Cite
Wu, Q.; Li, Y.-B.; Mi, H.-Z.; Wang, G.; Zhang, Z.-Y. Simulation and Observations of Audio Magnetotelluric Measurements over Water-Covered Areas. Minerals 2023, 13, 990. https://doi.org/10.3390/min13080990
Wu Q, Li Y-B, Mi H-Z, Wang G, Zhang Z-Y. Simulation and Observations of Audio Magnetotelluric Measurements over Water-Covered Areas. Minerals. 2023; 13(8):990. https://doi.org/10.3390/min13080990
Chicago/Turabian StyleWu, Qiong, Yong-Bo Li, Hong-Ze Mi, Gang Wang, and Zhen-Yu Zhang. 2023. "Simulation and Observations of Audio Magnetotelluric Measurements over Water-Covered Areas" Minerals 13, no. 8: 990. https://doi.org/10.3390/min13080990
APA StyleWu, Q., Li, Y.-B., Mi, H.-Z., Wang, G., & Zhang, Z.-Y. (2023). Simulation and Observations of Audio Magnetotelluric Measurements over Water-Covered Areas. Minerals, 13(8), 990. https://doi.org/10.3390/min13080990

