The Effect of K-Fertilization and Irrigation on the Composition of Cultivated Soils: Examples from Israel
Abstract
:1. Introduction
2. Materials and Methods
2.1. Sampling Sites
2.1.1. Gilat Permanent Plot Experiment
2.1.2. Bet Dagan Permanent Plot Experiment
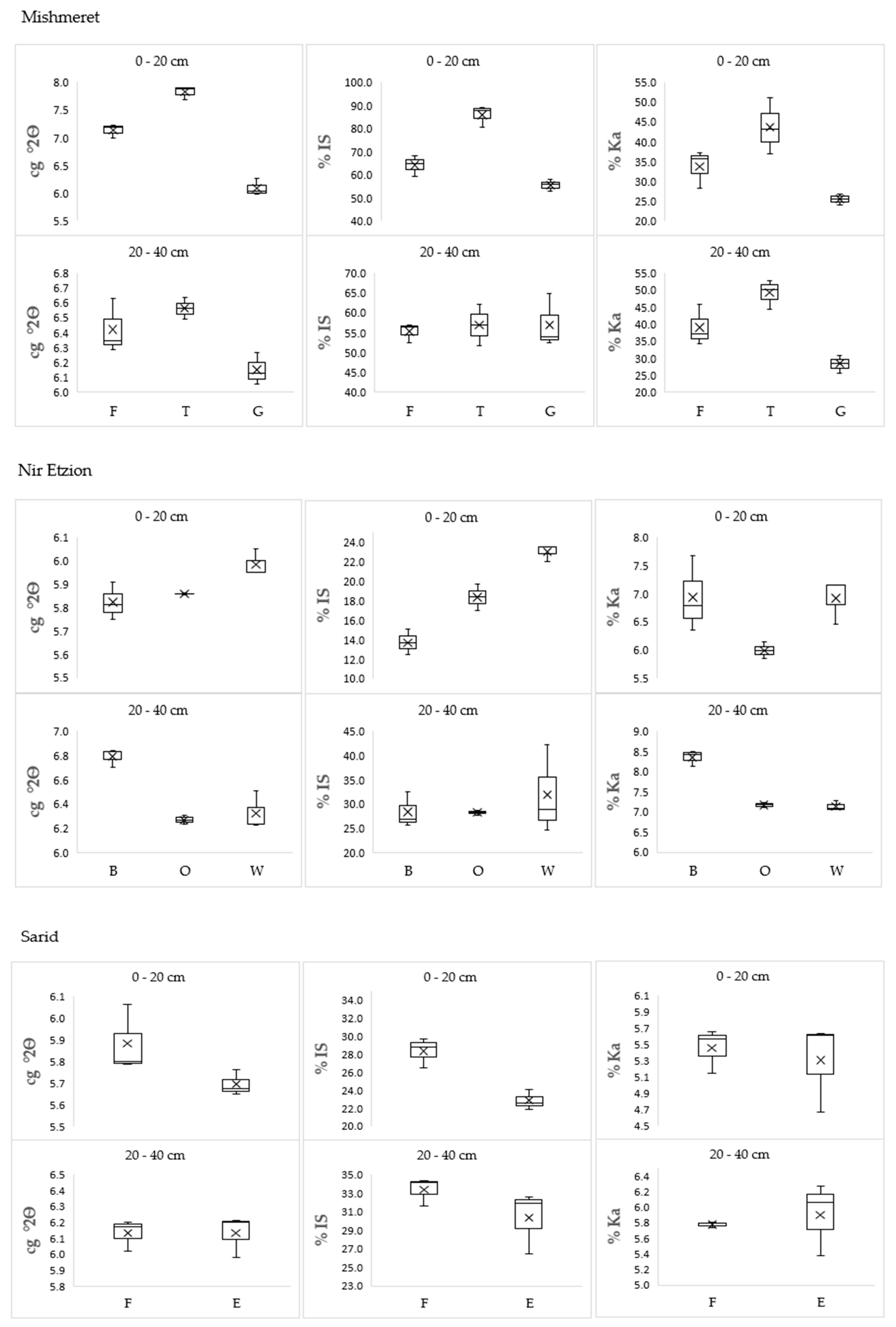
2.1.3. Mishmeret
2.1.4. Nir Etzion
2.1.5. Sarid
2.2. Sampling and Sample Processing
2.2.1. X-ray Diffraction (XRD)
2.2.2. Quantitative Evaluation of the Clay Fraction
2.2.3. Chemical Composition
3. Results
3.1. Bulk Mineralogical Composition
3.2. Chemical Composition
3.3. Clay Fraction Mineralogical Composition
3.4. Relative Quantitative Analysis of the Clay Fraction
4. Discussion
4.1. Composition of Lowland Soils—The Natural Processes
4.2. Effect of Irrigation
4.3. Effect of Fertilization
5. Conclusions
- Natural changes in the composition of the clayey soils studied from the semi-arid to the Mediterranean climate regimes, from south to north, included reduced amounts of calcite, quartz, and feldspars and increased phyllosilicates. Mixed layer IS phases became more smectitic northward and palygorskite disappeared.
- Application of K caused diverse behavior of the IS phases in the fine-textured soils. Quantitative XRD analysis estimated either a negative or a positive K balance in certain soil depths and fertilization levels at the same site. However, under high fertilization levels in the permanent plots, which led to high plant mass production and high K consumption, illitization declined.
- Irrigation affected soils by dissolving calcite and transforming phyllosilicates, enhancing the smetitization of source IS phases at one site and kaolinite formation at another two sites.
- The rather balanced K in the two permanent plot experiments after more than 30 years is due to the crop rotation applied and the dominance of IS phases in the clay fraction. The latter parameter is also the main reason for the small changes in K balance in the single-plant plots. This emphasizes the importance of IS minerals as a dynamic K pool that responds to plant needs.
- An exceptional pedological system took place in the sandy soil with a small clay fraction, where kaolinite and illite amounts were higher than in the clayey soils. Fertilization enhanced the natural process of contemporaneous transformation of source IS phases into both kaolinite and illite, resulting in a positive K balance.
Author Contributions
Funding
Data Availability Statement
Acknowledgments
Conflicts of Interest
References
- Huang, P. Chemistry of potassium in soils. In Chemical Processes in Soils; Tabatabai, M., Sparks, D., Eds.; Soil Science Society of America: Madison, WI, USA, 2005; pp. 227–292. [Google Scholar]
- Simonsson, M.; Andersson, S.; Andrist-Rangel, Y.; Hillier, S.; Mattsson, L.; Öborn, I. Potassium release and fixation as a function of fertilizer application rate and soil parent material. Geoderma 2007, 140, 188–198. [Google Scholar] [CrossRef]
- Zörb, C.; Senbayram, M.; Peiter, E. Potassium in agriculture–status and perspectives. J. Plant Physiol. 2014, 171, 656–669. [Google Scholar] [CrossRef] [PubMed]
- Ravina, I.; Markus, Z. The effect of high exchangeable potassium percentage on soil properties and plant growth. Plant Soil 1975, 42, 661–672. [Google Scholar] [CrossRef]
- Holthusen, D.; Peth, S.; Horn, R. Impact of potassium concentration and matric potential on soil stability derived from rheological indicators. Soil Tillage Res. 2010, 111, 75–85. [Google Scholar] [CrossRef]
- Chen, Y.; Banin, A.; Borochovitch, A. Effect of potassium on soil structure in relation to hydraulic conductivity. Dev. Soil Sci. 1983, 12, 135–147. [Google Scholar]
- Syers, J.K. Potassium in soils: Current concepts. In Proceedings of the IPI Golden Jubilee Congress, Feed the Soil to Feed the People: The Role of Potash in Sustainable Agriculture, Basel, Switzerland, 8–10 October 2002; pp. 301–310. [Google Scholar]
- Bell, M.J.; Ransom, M.D.; Thompson, M.L.; Hinsinger, P.; Florence, A.M.; Moody, P.W.; Guppy, C.N. Considering Soil Potassium Pools with Dissimilar Plant Availability. In Improving Potassium Recommendations for Agricultural Crops; Murrell, T.S., Mikkelsen, R.L., Sulewski, G., Norton, R., Thompson, M.L., Eds.; Springer International Publishing: Cham, Switzerland, 2021; pp. 163–190. [Google Scholar]
- Andrist-Rangel, Y.; Simonsson, M.; Andersson, S.; Öborn, I.; Hillier, S. Mineralogical budgeting of potassium in soil: A basis for understanding standard measures of reserve potassium. J. Plant Nutr. Soil Sci. 2006, 169, 605–615. [Google Scholar] [CrossRef]
- Naumann, T.E.; Elliott, W.C.; Wample, J.M. K-Ar age constraints on the origin of micaceous minerals in Savannah River Site soils, South Carolina, USA. Clays Clay Miner. 2012, 60, 496–506. [Google Scholar] [CrossRef]
- Bourbia, S.M.; Barré, P.; Kaci, M.B.N.; Derridj, A.; Velde, B. Potassium status in bulk and rhizospheric soils of olive groves in North Algeria. Geoderma 2013, 197, 161–168. [Google Scholar] [CrossRef]
- Yuan, T.L.; Zelazny, L.W.; Ratanaprasatporn, A. Potassium status of selected Paleudults in the lower Coastal Plain. Soil Sci. Soc. Am. J. 1976, 40, 229–233. [Google Scholar] [CrossRef]
- Pal, D.K.; Srivastava, P.; Durge, S.L.; Bhattacharyya, T. Role of weathering of fine-grained micas in potassium management of Indian soils. Appl. Clay Sci. 2001, 20, 39–52. [Google Scholar] [CrossRef]
- Yanai, J.; Inoue, N.; Nakao, A.; Kasuya, M.; Ando, K.; Oga, T.; Takayama, T.; Hasukawa, H.; Takehisa, K.; Takamoto, A.; et al. Use of soil nonexchangeable potassium by paddy rice with clay structural changes under long-term fertilizer management. Soil Use Manag. 2023, 39, 785–793. [Google Scholar] [CrossRef]
- Levy, G.J.; Bar-Tal, A. Alkali metals in soils. In Encyclopedia of Soils in the Environment, 2nd ed.; Goss, M., Oliver, M., Eds.; Elsevier: London, UK, 2023; Volume 2, pp. 116–125. [Google Scholar]
- Barré, P.; Velde, B.; Catel, N.; Abbadie, L. Soil–plant potassium transfer: Impact of plant activity on clay minerals as seen from X-ray diffraction. Plant Soil 2007, 292, 137–146. [Google Scholar] [CrossRef]
- Barré, P.; Velde, B.; Abbadie, L. Dynamic role of “illite-like” clay minerals: In temperate soils: Facts and hypotheses. Biogeochemistry 2007, 82, 77–88. [Google Scholar] [CrossRef]
- Austin, J.C.; Richter, D.D.; Schroeder, P.A. Quantification of mixed-layer clays in multiple saturation states using NEWMOD2: Implications for the potassium uplift hypothesis in the SE United States. Clays Clay Miner. 2020, 68, 67–80. [Google Scholar] [CrossRef]
- Ross, G.J.; Phillips, P.A.; Culley, J.L.R. Transformation of vermiculite to pedogenic mica by fixation of potassium and ammonium in a six-year field manure application experiment. Can. J. Soil Sci. 1985, 65, 599–603. [Google Scholar] [CrossRef]
- Pernes-Debuyser, A.; Pernes, M.; Velde, B.; Tessier, D. Soil mineralogy evolution in the INRA 42 plots experiment (Versailles, France). Clays Clay Miner. 2003, 51, 577–584. [Google Scholar] [CrossRef]
- Khormali, F.; Rezaei, F.; Rahimzadeh, N.; Hosseinifard, S.J.; Dordipour, E. Rhizosphere-induced weathering of minerals in loess-derived soils of Golestan Province, Iran. Geoderma Reg. 2015, 5, 34–43. [Google Scholar] [CrossRef]
- Bain, D.C.; Griffen, D.T. Possible effects of land use on the clay mineralogy of a brown forest soil. Clay Miner. 2002, 37, 663–670. [Google Scholar] [CrossRef]
- Tye, A.M.; Kemp, S.J.; Poulton, P.R. Responses of soil clay mineralogy in the Rothamsted Classical Experiments in relation to management practice and changing land use. Geoderma 2009, 153, 136–146. [Google Scholar] [CrossRef]
- Barré, P.; Velde, B.; Fontaine, C.; Catel, N.; Abbadie, L. Which 2:1 clay minerals are involved in the soil potassium reservoir? Insights from potassium addition or removal experiments on three temperate grassland soil clay assemblages. Geoderma 2008, 146, 216–223. [Google Scholar] [CrossRef]
- Paul, R.; Karthikeyan, K.; Vasu, D.; Sahoo, S.; Tiwary, P.; Gaikwad, S.S.; Chandran, P. Predicament in identifying clay palygorskite in Vertisols of Chhattisgarh basin, India. Clay Res. 2020, 39, 77–88. [Google Scholar] [CrossRef]
- Sandler, A. Clay distribution over the landscape of Israel: From the hyper-arid to the Mediterranean climate regimes. Catena 2013, 110, 119–132. [Google Scholar] [CrossRef]
- Yaalon, D.H.; Ganor, E. The influence of dust on soils during the Quaternary. Soil Sci. 1973, 116, 146–155. [Google Scholar] [CrossRef]
- Dan, J. The effect of dust deposition on the soils of the land of Israel. Quat. Int. 1990, 5, 107–113. [Google Scholar] [CrossRef]
- Yaalon, D.H.; Nathan, Y.; Koyumdjisky, H.; Dan, J. Weathering and catenary differentiation of clay minerals in soils on various parent materials in Israel. Proc. Int. Clay Conf. Jerus. 1966, 1, 187–198. [Google Scholar]
- Dan, J. Soil chronosequences in Israel. Catena 1983, 10, 287–319. [Google Scholar] [CrossRef]
- Verheye, W.H.; De La Rosa, D. Mediterranean soils. Encycl. Land Use Land Cover Soil Sci. 2009, 7, 96–120. [Google Scholar]
- Sandler, A.; Meunier, A.; Velde, B. Mineralogical and chemical variability of mountain red/brown Mediterranean soils. Geoderma 2015, 239–240, 156–167. [Google Scholar] [CrossRef]
- Tsatskin, A.; Sandler, A.; Porat, N. Toposequence of sandy soils in the northern coastal plain of Israel: Polygenesis and complexity of pedogeomorphic development. Geoderma 2013, 197, 87–97. [Google Scholar] [CrossRef]
- Sandler, A.; Taitel-Goldman, N.; Ezersky, V. Sources and formation of iron minerals in eastern Mediterranean coastal sandy soils–A HRTEM and clay mineral study. Catena 2023, 220, 106644. [Google Scholar] [CrossRef]
- Bergh, E.L.; Calderon, F.J.; Clemensen, A.K.; Durso, L.; Eberly, J.O.; Halvorson, J.J.; Jin, V.L.; Margenot, A.J.; Stewart, C.E.; Van Pelt, S.; et al. Time in a bottle: Use of soil archives for understanding long-term soil change. Soil Sci. Soc. Am. J. 2022, 86, 520–527. [Google Scholar] [CrossRef]
- Bar-Yosef, B.; Kafkafi, U. The Long-Term Permanent Plot Experiments in Israel; The International Potash Institute: Zug, Switzerland, 2016. [Google Scholar]
- Bar-Yosef, B.; Akiri, B. Sodium bicarbonate extraction to estimate nitrogen, phosphorus, and potassium availability in soils. Soil Sci. Soc. Am. J. 1978, 42, 319–323. [Google Scholar] [CrossRef]
- Inoue, A.; Bouchet, A.; Velde, B.; Meunier, A. Convenient technique for estimating smectite layer percentage in randomly interstratified illite/smectite minerals. Clays Clay Miner. 1989, 37, 227–234. [Google Scholar] [CrossRef]
- Lanson, B. Decomposition of experimental X-ray diffraction patterns (profile fitting): A convenient way to study clay minerals. Clays Clay Miner. 1997, 45, 132–146. [Google Scholar] [CrossRef]
- Nachum, S.; Talesnick, M.; Weisberg, E.; Zaidenberg, R. Development of swelling induced shear and slickensides in Vertisols. Geoderma 2002, 409, 115629. [Google Scholar] [CrossRef]
- Koyumdjiski, H.; Dan, J.; Soriano, S.; Nissim, N. Selected Soil Profiles From Israel; Volcani Center: Bet Dagan, Israel, 1988; 244p. (In Hebrew) [Google Scholar]
- Singer, A. The Soils of Israel; Springer: Berlin, Germany; New York, NY, USA, 2007; 306p. [Google Scholar]
- Sandler, A.; Avnaim-Katav, S. Unique clay assemblages in the Levant basin (Haifa Bay) subsurface reflect a land–sea transition zone and restricted environments throughout the last ~1 m.y. Mar. Geol. 2015, 370, 113–124. [Google Scholar] [CrossRef]
- Lucke, B.; Sandler, A.; Vanselow, K.A.; Bruins, H.J.; Abu-Jaber, N.; Bäumler, R.; Porat, N.; Kouki, P. Composition of Modern Dust and Holocene Aeolian Sediments in Archaeological Structures of the Southern Levant. Atmosphere 2019, 10, 762. [Google Scholar] [CrossRef]
- Crouvi, O.; Amit, R.; Enzel, Y.; Porat, N.; Sandler, A. Sand dunes as a major proximal dust source for late Pleistocene loess in the Negev Desert, Israel. Quat. Res. 2008, 70, 275–282. [Google Scholar] [CrossRef]
- Yaalon, D.H.; Wieder, M. Pedogenic palygorskite in some arid brown (calciorthid) soils of Israel. Clay Miner. 1976, 11, 73–80. [Google Scholar] [CrossRef]
- Haliva-Cohen, A.; Stein, M.; Goldstein, S.L.; Sandler, A.; Starinsky, A. Sources and transport routes of fine detritus material to the Late Quaternary Dead Sea basin. Quat. Sci. Rev. 2012, 50, 55–70. [Google Scholar] [CrossRef]
- Dan, J.; Fine, P.; Lavee, H. Soils of the Land of Israel; The “ERETZ” Series Geographic Research & Publication; Tel Aviv University: Tel Aviv, Israel, 2007; 309p, (In Hebrew, with English summary). [Google Scholar]
- Nordt, L.; Wilding, L.; Lynn, W.L.; Crawford, C. Vertisol genesis in a humid climate in the coastal plain of Texas, U.S.A. Geoderma 2004, 122, 83–102. [Google Scholar] [CrossRef]
- Barré, P.; Berger, G.; Velde, B. How element translocation by plants may stabilize illitic clays in the surface of temperate soils. Geoderma 2009, 151, 22–30. [Google Scholar] [CrossRef]
- Hong, H.; Churchman, G.J.; Gu, Y.; Yin, K.; Wang, C. Kaolinite–smectite mixed-layer clays in the Jiujiang red soils and their climate significance. Geoderma 2012, 173, 75–83. [Google Scholar] [CrossRef]
- Oliveira, D.P.; Sartor, L.R.; Júnior, V.S.; Corrêa, M.M.; Romero, R.E.; Andrade, G.R.P.; Ferreira, T.O. Weathering and clay formation in semi-arid calcareous soils from Northeastern Brazil. Catena 2018, 162, 325–332. [Google Scholar] [CrossRef]
- Stein, M.; Starinsky, A.; Katz, A.; Goldstein, S.L.; Machlus, M.; Schramm, A. Strontium isotopic, chemical, and sedimentological evidence for the evolution of Lake Lisan and the Dead Sea. Geochim. Cosmochim. Acta 1997, 61, 3975–3992. [Google Scholar] [CrossRef]
- Fedoroff, N.; Courty, M.A. Revisiting the genesis of red Mediterranean soils. Turk. J. Earth Sci. 2013, 22, 359–375. [Google Scholar] [CrossRef]
- Belmaker, R.; Lazar, B.; Stein, M.; Taha, N.; Bookman, R. Constraints on aragonite precipitation in the Dead Sea from geochemical measurements of flood plumes. Quat. Sci. Rev. 2019, 221, 105876. [Google Scholar] [CrossRef]
- Tamir, G.; Shenker, M.; Heller, H.; Bloom, P.R.; Fine, P.; Bar-Tal, A. Dissolution and re-crystallization processes of active calcium carbonate in soil developed on tufa. Soil Sci. Soc. Am. J. 2012, 76, 1606–1613. [Google Scholar] [CrossRef]
- Fine, P.; Mingelgrin, U. Release of phosphorus from waste-activated sludge. Soil Sci. Soc. Am. J. 1996, 60, 505–511. [Google Scholar] [CrossRef]
- Nikolskii, Y.N.; Aidarov, I.P.; Landeros-Sanchez, C.; Pchyolkin, V.V. Impact of long-term freshwater irrigation on soil fertility. Irrig. Drain. 2019, 68, 993–1001. [Google Scholar] [CrossRef]
- Rengasamy, P. Irrigation water quality and soil structural stability: A perspective with some new insights. Agronomy 2018, 8, 72. [Google Scholar] [CrossRef]
- Tributh, H.V.; Boguslawski, E.V.; Lieres, A.V.; Steffens, D.; Mengel, K. Effect of potassium removal by crops on transformation of illitic clay minerals. Soil Sci. 1987, 143, 404–409. [Google Scholar] [CrossRef]
- Hayashi, S.; Hara, M.; Katoh, M. Improvement on plant uptake of inorganic nutrients fertilized by migration of water-soluble organic matter from animal manure-based compost. J. Soil Sci. Plant Nut. 2022, 22, 3399–3413. [Google Scholar] [CrossRef]
- Whitter, E.; Johansson, G. Potassium uptake from the subsoil by green manure crops. Biol. Agric. Hortic. 2001, 19, 127–141. [Google Scholar] [CrossRef]
- Hinsinger, P.; Bell, M.J.; Kovar, J.L.; White, P.J. Rhizosphere processes and root traits determining the acquisition of soil potassium. In Improving Potassium Recommendations for Agricultural Crops; Murrell, T.S., Mikkelsen, R.L., Sulewski, G., Norton, R., Thompson, M.L., Eds.; Springer: Cham, Switzerland, 2021; pp. 99–117. [Google Scholar]
- Turpault, M.P.; Righi, D.; Utérano, C. Clay minerals: Precise markers of the spatial and temporal variability of the biogeochemical soil environment. Geoderma 2008, 147, 108–115. [Google Scholar] [CrossRef]
- Adamo, P.; Pierre, B.; Vincenza, C.; Bruce, V. Short term clay mineral release and re-capture of potassium in a Zea mays field experiment. Geoderma 2016, 264, 54–60. [Google Scholar]
- Jalali, M.; Merikhpour, H.; Kaledhonkar, M.J.; Van Der Zee, S.E.A.T.M. Effects of wastewater irrigation on soil sodicity and nutrient leaching in calcareous soils. Agric. Water Manag. 2008, 95, 143–153. [Google Scholar] [CrossRef]
- Arienzo, M.; Christen, E.W.; Quayle, W.; Kumar, A. A review of the fate of potassium in the soil–plant system after land application of wastewaters. J. Hazard. Mater. 2009, 164, 415–422. [Google Scholar] [CrossRef]
- Bar-Tal, A.; Feigenbaum, S.; Sparks, D.L. Potassium-salinity interactions in irrigated corn. Irrig. Sci. 1991, 12, 27–35. [Google Scholar] [CrossRef]
- Singh, B.; Goulding, K.W.T. Changes with time in the potassium content and phyllosilicates in the soil of the Broadbalk continuous wheat experiment at Rothamsted. Eur. J. Soil Sci. 1997, 48, 651–659. [Google Scholar] [CrossRef]
- Velde, B.; Peck, T. Clay mineral changes in the Morrow Experimental Plots, University of Illinois. Clays Clay Miner. 2002, 50, 364–370. [Google Scholar] [CrossRef]









| Site Name | Geography/ Geomorphology | Coodinations | Cultivation | Years | Soil Type | pH | Texture | m.a.p.* | Elevation | |
|---|---|---|---|---|---|---|---|---|---|---|
| E | N | mm | m a.s.l. | |||||||
| Gilat | Northwestern Negev; loessial plain | 31.3531 | 34.6649 | Experimental plots | 1961–1994 | Calcic Haploxeralf | 8.2 | Loam | 275 | 175 |
| (Loamy Loess) | ||||||||||
| Bet Dagan | Eastern Coastal Plain; alluvial plain | 32.0124 | 34.8549 | Experimental plots | 1961–1993 | Chromic Haploxerert | 7.8 | Silty clay | 600 | 30 |
| (Vertisol) | ||||||||||
| Mishmeret | Coastal Plain; sand plain | 32.2276 | 34.9209 | Private farm; tomatoes | 1965–2009 | Typic Rhodoxeralf | 7.5 | Loamy sand | 600 | 70 |
| (Hamra) | ||||||||||
| Nir Etzion | Mt. Carmel foothills; alluvial plain | 32.7050 | 34.9704 | Kib. banana plant | 1958–2008 | Typic Chromoxeret | 8.0 | Clay | 625 | 30 |
| (Vertisol) | ||||||||||
| Sarid | Yizre’el Valley; margins of alluvial plain | 32.6589 | 35.2220 | Kib. grapefruit orchard | 1992–2007 | Typic Chromoxeret | 7.9 | Clay | 500 | 80 |
| (2a) Gilat. | |||||
| Lab No. | Type | Plot | Year | Fertilizers * | |
| 0–20 cm | |||||
| F0–20 | Fallow | 2006 | - | ||
| F1 0–20 | Fallow | 2008 | - | ||
| F2 0–20 | Fallow | 2008 | - | ||
| D | Control | 24 | 1987 | M0, N0 | |
| E | Control | 24 | 1987 | M0, N0 | |
| G | Control | 21 | 1987 | M0, N0 | |
| J | Control | 38 | 1987 | M0, N0 | |
| A | 3 | 1987 | M0, N3 | ||
| C | 18 | 1987 | M2, N0 | ||
| H | 34 | 1987 | M2, N0 | ||
| L | 43 | 1987 | M2, N0 | ||
| N | 92 | 1987 | M2, N0 | ||
| B | 13 | 1987 | M2, N3 | ||
| I | 36 | 1987 | M2, N3 | ||
| K | 42 | 1987 | M2, N3 | ||
| M | 57 | 1987 | M2, N3 | ||
| 20–40 cm | |||||
| F 20-40 | Fallow | 2006 | - | ||
| F1 20-40 | Fallow | 2008 | - | ||
| F2 20-40 | Fallow | 2008 | - | ||
| Q | Control | 21 | 1987 | M0, N0 | |
| R | Control | 24 | 1987 | M0, N0 | |
| U | Control | 38 | 1987 | M0, N0 | |
| P | 18 | 1987 | M2, N0 | ||
| S | 34 | 1987 | M2, N0 | ||
| W | 43 | 1987 | M2, N0 | ||
| Y | 92 | 1987 | M2, N0 | ||
| O | 13 | 1987 | M2, N3 | ||
| T | 36 | 1987 | M2, N3 | ||
| V | 42 | 1987 | M2, N3 | ||
| X | 57 | 1987 | M2, N3 | ||
| * N3 = 120–390 kg N ha−1 annual rate, 6450 kg N ha−1 1963–1987 (accumulated); M2 = 0–720 kg (Organic N) ha−1 annual rate, 5520 kg (Organic N), ha−1 + 7200 kg K ha−1 1963–1987 (accumulated); K was applied as KCl 0–230 kg, 2390 kg ha−1 K 1963–1987 (accumulated); P = 0–100 K ha−1 highly variable annual rates. M—manure; N—nitrogen. | |||||
| (2b) Bet Dagan. | |||||
| Lab No. | Type | Block | Plot | Year | Fertilizers * |
| 0–20 cm | |||||
| F1 0-20 | Fallow | 2006 | - | ||
| F2 0-20 | Fallow | 2006 | - | ||
| F3 0-20 | Fallow | 2006 | - | ||
| A | Control | III | 9 | 1965 | [N,P,K]0 |
| B | Control | III | 9 | 1993 | [N,P,K]0 |
| G | Control | II | 73 | 1995 | [N,P,K]0 |
| J | Control | III | 9 | 1963 | [N,P,K]0 |
| K | Control | III | 9 | 1996 | [N,P,K]0 |
| AE | I | 41 | 1993 | N3, P4, K0 + gM | |
| AF | I | 76 | 1996 | N3, P4, K0 + gM | |
| AG | V | 80 | 1996 | N3, P4, K0 + gM | |
| C | I | 85 | 1993 | N4, P4, K2 | |
| D | V | 89 | 1993 | N4, P4, K2 | |
| H | II | 86 | 1964 | N4, P2, K2 | |
| I | II | 86 | 1995 | N4, P2, K2 | |
| L | III | 20 | 1963 | N4, P3, K2 | |
| M | III | 20 | 1995 | N4, P3, K2 | |
| N | IV | 25 | 1963 | N4, P3, K2 | |
| O | IV | 25 | 1995 | N4, P3, K2 | |
| V | V | 44 | 1996 | N4, P4, K2 + M | |
| W | I | 15 | 1996 | N4, P4, K2 + M | |
| Y | II | 41 | 1996 | N4, P4, K2 + M | |
| Z | III | 40 | 1996 | N4, P4, K2 + M | |
| 20–40 cm | |||||
| F1 20-40 | Fallow | 2006 | - | ||
| F2 20-40 | Fallow | 2006 | - | ||
| F3 20-40 | Fallow | 2006 | - | ||
| P | Control | II | 73 | 1995 | [N,P,K]0 |
| Q | Control | III | 9 | 1996 | [N,P,K]0 |
| R | III | 20 | 1995 | N4, P3, K2 | |
| S | IV | 25 | 1995 | N4, P3, K2 | |
| T | II | 86 | 1995 | N4, P2, K2 | |
| AB | I | 15 | 1996 | N4, P4, K2 + M | |
| AC | II | 41 | 1996 | N4, P4, K2 + M | |
| AD | III | 40 | 1996 | N4, P4, K2 + M | |
| * N0, N3 and N4 = 0, 180 and 240 kg N ha−1 annual rate, P0, P3 and P4 0, 36, 72 kg P ha−1 annual rate, K0 and K2 = 0 and 320 K ha−1 annual rate; M—manure; N—nitrogen; P—phosphorous; K—potassium; gM—green manure. | |||||
| (2c) Mishmeret. | |||||
| Lab no. | Type | Year | Fertilizers * | ||
| 0–20 cm | |||||
| YTF | Fallow | 2008 | - | ||
| YTF a | Fallow | 2008 | - | ||
| YTF b | Fallow | 2008 | - | ||
| YT 1 | Tomatoes | 2008 | Fert. + M | ||
| YT 1a | Tomatoes | 2008 | Fert. + M | ||
| YT 1b | Tomatoes | 2008 | Fert. + M | ||
| 5–20 cm | |||||
| YTG | Grass lawn | 2009 | - | ||
| YTG a | Grass lawn | 2009 | - | ||
| YTG b | Grass lawn | 2009 | - | ||
| 20–40 cm | |||||
| YTF | Fallow | 2008 | - | ||
| YTF a | Fallow | 2008 | - | ||
| YTF b | Fallow | 2008 | - | ||
| YT 1 | Tomatoes | 2008 | Fert. + M | ||
| YT 1a | Tomatoes | 2008 | Fert. + M | ||
| YT 1b | Tomatoes | 2008 | Fert. + M | ||
| YTG | Grass lawn | 2009 | - | ||
| YTG a | Grass lawn | 2009 | - | ||
| YTG b | Grass lawn | 2009 | - | ||
| * N = 180 kg N ha−1 annual rate as KNO3 and Ca(NO3)2; K = 464 kg K ha−1 annual rate as KNO3 + 15 m3 manure; Fert.—K and N fertilizers; M—sheep manure. | |||||
| (2d) Nir Etzion. | |||||
| Lab no. | Type | Year | Fertilizers * | ||
| 0–20 cm | |||||
| NE a | Banana 1 | 2008 | Fert. | ||
| NE b | Banana 2 | 2008 | Fert. | ||
| NE c | Banana 3 | 2008 | Fert. | ||
| NE d | Olive 1 | 2008 | - | ||
| NE e | Olive 2 | 2008 | - | ||
| NE f | Field 1 | 2008 | ? | ||
| NE g | Field 2 | 2008 | ? | ||
| NE h | Field 3 | 2008 | ? | ||
| 20–40 cm | |||||
| NE i | Banana 1 | 2008 | Fert. | ||
| NE j | Banana 2 | 2008 | Fert. | ||
| NE k | Banana 3 | 2008 | Fert. | ||
| NE l | Olive 1 | 2008 | - | ||
| NE m | Olive 2 | 2008 | - | ||
| NE n | Field 1 | 2008 | ? | ||
| NE o | Field 2 | 2008 | ? | ||
| NE p | Field 3 | 2008 | ? | ||
| * N = 500 kg ha−1 annual rate; K = 1500 kg ha−1 annual rate; Fert.—K and N fertilizers; ?—unknown fertilization. | |||||
| (2e) Sarid. | |||||
| Lab no. | Type | Year | Fertilizers * | ||
| 0–20 cm | |||||
| F1 N 0-20 | Fallow | 2007 | - | ||
| F2 N 0-20 | Fallow | 2007 | - | ||
| F3 N 0-20 | Fallow | 2007 | - | ||
| A | 2007 | Effluent + Compost + KCl | |||
| B | 2007 | Effluent + Compost + KCl | |||
| C | 2007 | Effluent + Compost + KCl | |||
| 20–40 cm | |||||
| F1 20-40 | Fallow | 2007 | - | ||
| F2 20-40 | Fallow | 2007 | - | ||
| F3 20-40 | Fallow | 2007 | - | ||
| D | 2007 | Effluent + Compost + KCl | |||
| E | 2007 | Effluent + Compost + KCl | |||
| G | 2007 | Effluent + Compost + KCl | |||
| * Estimated annual rates: N = 170 kg ha−1; K = 275 kg ha−1; P = 110 kg ha−1. | |||||
| Gilat | ||||||||
| Lab No. | Type | Quartz | Calcite | Dolom. | K-Felds. | Plagioc. | Phyllos. | Others |
| 0–20 cm | ||||||||
| F 0–20 | Fallow | 45 | 15–20 | <3 | 10 | 10 | 20 | Cli. |
| F1 0–20 | Fallow | 45 | 15–20 | <2 | 10 | 10 | 15–20 | - |
| F2 0–20 | Fallow | 55 | 15–20 | <2 | 5–10 | 5–10 | 15–20 | - |
| D | Control | 50 | 15 | <2 | 10 | 10 | 15 | Am. |
| E | Control | 45–50 | 15 | <2 | 10–15 | 10 | 15–20 | - |
| A | M0, N3 | 50 | 15 | <2 | 5 | 10–15 | 15–20 | Cli. |
| C | M2, N0 | 50 | 10–15 | <2 | 10 | 10 | 15 | - |
| N | M2, N0 | 50 | 10–15 | <3 | 5 | 10–15 | 15–20 | Cli. Am. |
| B | M2, N3 | 50 | 15 | <3 | 5–10 | 5–10 | 15–20 | - |
| 20–40 cm | ||||||||
| F 20–40 | Fallow | 45 | 15 | <5 | 10–15 | 10–15 | 15 | Am. |
| F1 20–40 | Fallow | 40–45 | 15 | <5 | 10 | 15 | 15–20 | Cli. Am. |
| F2 20–40 | Fallow | 55 | 15 | <2 | 10 | 10 | 15 | - |
| Q | Control | 45 | 15 | 5 | 10–15 | 10 | 15 | Cli. Am. |
| R | Control | 50 | 15 | <3 | 10–15 | 5–10 | 15–20 | Cli. |
| U | Control | 40–45 | 10 | <2 | 10 | 15 | 15 | Am. |
| P | M2, N0 | 50 | 15 | <2 | 5 | 5–10 | 15–20 | Am. |
| S | M2, N0 | 45 | 10–15 | <2 | 15 | 15 | 15 | Cli. Am. |
| W | M2, N0 | 50–55 | 15 | <5 | 5–10 | 15 | 15 | Cli. Am. |
| Y | M2, N0 | 45 | 10–15 | <3 | 5–10 | 15 | 20 | Am. |
| O | M2, N3 | 50–55 | 15 | <2 | 10 | 10–15 | 15 | Cli. Am. |
| T | M2, N3 | 55 | 10–15 | <3 | 10–15 | 5 | 15 | Cli. Am. |
| V | M2, N3 | 55 | 15 | <2 | 5 | 10–15 | 15 | Am. |
| X | M2, N3 | 50–55 | 10 | <2 | 5 | 15 | 20 | Cli. Am. |
| Bet Dagan | ||||||||
| Sample | Type | Quartz | Calcite | Dolom. | K-Felds. | Plagioc. | Phyllos. | Others |
| 0–20 cm | ||||||||
| F1 0–20 | Fallow | 40–45 | 10 | <1 | 5 | <5 | 40–45 | - |
| F2 0–20 | Fallow | 40 | 10 | <1 | 5 | <5 | 45 | - |
| F3 0–20 | Fallow | 40 | 10 | <1 | <3 | 5 | 45 | - |
| A | Control | 40–45 | 5–10 | <1 | 5–10 | 5 | 40 | - |
| B | Control | 40–45 | 10 | - | 5 | 5–10 | 40 | - |
| G | Control | 40 | 10 | <1 | 5–10 | <5 | 40–45 | - |
| J | Control | 40 | 10 | <1 | 5–10 | 5–10 | 40–45 | Am. |
| K | Control | 45 | 10 | - | <3 | 5 | 40–45 | Am. |
| C | N4, P4, K2 | 40 | 10 | <1 | <5 | 5 | 40–45 | - |
| D | N4, P4, K2 | 45 | 5–10 | <1 | 5 | 5 | 40 | - |
| H | N4, P2, K2 | 40 | 10 | <2 | 5 | <5 | 45 | - |
| I | N4, P2, K2 | 40 | 5–10 | - | <5 | <5 | 40–45 | Am. |
| L | N4, P3, K2 | 40–45 | 10 | - | <5 | <5 | 40–45 | - |
| M | N4, P3, K2 | 40–45 | 10 | - | 5 | 5–10 | 40 | - |
| N | N4, P3, K2 | 40–45 | 10 | <2 | 5–10 | <5 | 40 | - |
| O | N4, P3, K2 | 45 | 10 | <1 | <5 | 5 | 40–45 | - |
| V | N4, P4, K2 + M | 40–45 | 5–10 | <1 | 5 | <5 | 40 | - |
| W | N4, P4, K2 + M | 40 | 10 | <1 | <5 | <5 | 40 | - |
| Y | N4, P4, K2 + M | 45 | 10 | <2 | <5 | <5 | 40–45 | - |
| Z | N4, P4, K2 + M | 45 | 5–10 | <1 | <5 | 5 | 40–45 | - |
| 20–40 cm | ||||||||
| F1 20–40 | Fallow | 40–45 | 10 | <1 | <5 | 5 | 45 | Am. |
| F2 20–40 | Fallow | 40 | 10 | <1 | <5 | 5 | 45 | - |
| F3 20–40 | Fallow | 40 | 10 | <2 | <5 | 5–10 | 45 | - |
| P | Control | 40–45 | 10 | <1 | 10 | 5 | 45 | - |
| Q | Control | 35–40 | 10 | <1 | 5–10 | 10 | 40 | - |
| R | N4, P3, K2 | 40–45 | 5–10 | <1 | 5–10 | 10 | 40–45 | Am. |
| S | N4, P3, K2 | 35–40 | 10 | - | 5–10 | 10 | 40 | Am. |
| T | N4, P2, K2 | 35–40 | 10 | - | 5–10 | <5 | 45 | - |
| AB | N4, P4, K2 + M | 35–40 | 10 | <1 | 5 | 5–10 | 45 | Am. |
| AC | N4, P4, K2 + M | 40 | 10 | <1 | 5 | 5 | 45 | Am. |
| AD | N4, P4, K2 + M | 40 | 10 | - | 5 | <5 | 45 | Am. |
| Mishmeret | ||||||||
| Sample | Type | Quartz | Calcite | Dolom. | K-Felds. | Plagioc. | Phyllos. | Others |
| 0–20 cm | ||||||||
| YTF 0–20 | Fallow | 85 | <0.5 | <0.5 | 5 | <5 | 5 | - |
| YTFa 0–20 | Fallow | 85–90 | <0.5 | <0.5 | <5 | <5 | 5–10 | - |
| YTFb 0–20 | Fallow | 90 | - | - | <3 | <5 | 5 | - |
| YT1 | Tomatoes | 85–90 | <0.5 | <0.5 | <5 | <5 | 5–10 | - |
| YT1a | Tomatoes | 85–90 | <0.5 | <0.5 | <5 | <3 | 5–10 | - |
| YT1b | Tomatoes | 85 | <0.5 | - | <3 | 5 | 10 | - |
| 5–20 cm | ||||||||
| YTG | Grass lawn | 85–90 | - | <0.5 | 5 | <3 | 5–10 | Gyp. |
| YTG a | Grass lawn | 80 | - | - | 5 | 5–10 | 5–10 | Gyp. |
| YTG b | Grass lawn | 80–85 | <5 | ? | 5 | <3 | 10 | - |
| 20–40 cm | ||||||||
| YTG | Grass lawn | 85–90 | - | - | <5 | <3 | 5–10 | Goe. |
| YTG a | Grass lawn | 90 | - | - | <5 | <3 | 10 | Gyp. |
| YTG b | Grass lawn | 85–90 | <0.5 | - | <5 | <3 | 5–10 | - |
| Nir Etsion | ||||||||
| Sample | Type | Quartz | Calcite | Dolom. | K-Felds. | Plagioc. | Phyllos. | Others |
| 0–20 cm | ||||||||
| NE a | Banana 1 | 40 | 10 | <0.5 | <3 | <3 | 40 | Goe. |
| NE b | Banana 2 | 45 | 20 | <1 | 5 | <5 | 30 | - |
| NE c | Banana 3 | 40 | 5–10 | <1 | 5 | 5 | 45 | Goe. |
| NE d | Olive 1 | 45 | 15 | - | <3 | <5 | 30–35 | Goe. Am. |
| NE e | Olive 2 | 40–45 | 15 | <0.5 | <5 | <5 | 35–40 | - |
| NE f | Field 1 | 40 | 15 | <0.5 | <5 | 5 | 35–40 | Goe. |
| NE g | Field 2 | 40 | 15 | <0.5 | <5 | <5 | 35–40 | - |
| NE h | Field 3 | 45 | 15 | - | <3 | <5 | 35 | - |
| 20–40 cm | ||||||||
| NE i | Banana 1 | 35–40 | 10 | - | 5 | 5 | 40–45 | Am. |
| NE j | Banana 2 | 45 | 20 | - | <5 | <3 | 30 | - |
| NE k | Banana 3 | 40–45 | 5–10 | <3 | <5 | 5 | 45 | Am. |
| NE l | Olive 1 | 40–45 | 15 | - | <5 | 5 | 40–45 | - |
| NE m | Olive 2 | 40 | 15 | <1 | 5 | <3 | 35–40 | - |
| NE n | Field 1 | 40 | 15 | - | 5 | <5 | 35–40 | Goe. |
| NE o | Field 2 | 35–40 | 15 | - | 5 | 5 | 40–45 | Goe. |
| NE p | Field 3 | 40–45 | 25 | ? | <3 | <3 | 30–35 | Goe. |
| Sarid | ||||||||
| Sample | Type | Quartz | Calcite | Dolom. | K-Felds. | Plagioc. | Phyllos. | Others |
| 0–20 cm | ||||||||
| F1 0–20 | Fallow | 30 | 20 | - | ? | <5 | 45 | - |
| F2 0–20 | Fallow | 25 | 20–25 | <3 | 5 | 5 | 45 | Am. |
| F3 0–20 | Fallow | 25 | 20–25 | <1 | <3 | <3 | 50 | - |
| A | ECK | 25–30 | 20 | - | <5 | <3 | 45–50 | - |
| B | ECK | 25–30 | 20–25 | <1 | ? | ? | 45–50 | - |
| C | ECK | 25–30 | 20 | <1 | <3 | <3 | 45–50 | - |
| 20–40 cm | ||||||||
| F1 20–40 | Fallow | 25–30 | 20 | - | - | <5 | 50 | - |
| F2 20–40 | Fallow | 25–30 | 20–25 | - | <5 | 5 | 50 | - |
| F3 20–40 | Fallow | 25–30 | 20–25 | - | - | <3 | 50 | - |
| D | ECK | 25 | 20 | - | 5 | <5 | 50–55 | - |
| E | ECK | 25–30 | 20–25 | - | <3 | <3 | 50 | - |
| G | ECK | 25–30 | 20 | - | <3 | - | 50 | - |
| (4a) Gilat | |||||||||||
| 0–20 | |||||||||||
| F 0-20 | F1 0-20 | F2 0-20 | D | G | J | A | C | ||||
| SiO2 | 59.4 | 60.7 | 61.9 | 65.2 | 64.6 | 64.6 | 62.5 | 65.0 | |||
| Al2O3 | 6.9 | 6.4 | 6.3 | 6.7 | 6.9 | 7.0 | 6.9 | 6.3 | |||
| Fe2O3 | 3.3 | 3.0 | 3.4 | 2.8 | 3.2 | 2.9 | 3.1 | 3.0 | |||
| TiO2 | 0.8 | 0.8 | 0.7 | 0.8 | 0.8 | 0.8 | 0.8 | 0.8 | |||
| CaO | 13.2 | 12.0 | 11.9 | 10.1 | 10.1 | 10.2 | 11.3 | 10.0 | |||
| MgO | 2.0 | 1.9 | 1.8 | 1.7 | 1.7 | 1.8 | 1.8 | 1.6 | |||
| MnO | 0.05 | 0.1 | 0.1 | 0.05 | 0.06 | 0.06 | 0.05 | 0.05 | |||
| Na2O | 0.7 | 0.8 | 0.8 | 0.7 | 0.9 | 0.9 | 0.8 | 0.7 | |||
| K2O | 1.2 | 1.3 | 1.2 | 1.2 | 1.2 | 1.3 | 1.1 | 1.1 | |||
| P2O5 | 0.1 | 0.1 | <0.1 | 0.1 | 0.1 | 0.2 | 0.1 | 0.2 | |||
| SO3 | <0.1 | <0.1 | <0.1 | <0.1 | <0.1 | <0.1 | <0.1 | <0.1 | |||
| LOI | 12.8 | 12.7 | 12.5 | 10.6 | 10.1 | 10.3 | 11.9 | 10.9 | |||
| Total | 100.5 | 99.7 | 100.5 | 100.0 | 99.7 | 100.0 | 100.4 | 99.7 | |||
| H | L | N | B | I | K | M | |||||
| SiO2 | 64.5 | 63.5 | 62.2 | 63.8 | 63.8 | 65.0 | 64.1 | ||||
| Al2O3 | 6.9 | 6.9 | 7.1 | 6.6 | 6.8 | 6.9 | 7.0 | ||||
| Fe2O3 | 2.9 | 2.9 | 2.9 | 2.7 | 3.4 | 3.3 | 3.3 | ||||
| TiO2 | 0.8 | 0.8 | 0.8 | 0.8 | 0.8 | 0.8 | 0.8 | ||||
| CaO | 10.3 | 10.4 | 11.5 | 10.5 | 10.2 | 9.9 | 9.7 | ||||
| MgO | 1.7 | 1.8 | 1.9 | 1.7 | 1.7 | 1.7 | 1.7 | ||||
| MnO | 0.06 | 0.06 | 0.06 | 0.05 | 0.06 | 0.06 | 0.06 | ||||
| Na2O | 0.9 | 0.9 | 0.8 | 0.8 | 0.9 | 0.9 | 0.9 | ||||
| K2O | 1.3 | 1.3 | 1.3 | 1.2 | 1.2 | 1.2 | 1.3 | ||||
| P2O5 | 0.2 | 0.2 | 0.2 | 0.2 | 0.2 | 0.2 | 0.2 | ||||
| SO3 | <0.1 | <0.1 | <0.1 | <0.1 | <0.1 | <0.1 | <0.1 | ||||
| LOI | 10.5 | 10.6 | 11.5 | 11.1 | 10.8 | 10.0 | 10.3 | ||||
| Total | 100.0 | 99.3 | 100.3 | 99.5 | 99.9 | 100.0 | 99.4 | ||||
| 20–40 | |||||||||||
| F 20-40 | F1 20-40 | F2 20-40 | Q | R | U | P | |||||
| SiO2 | 59.2 | 62.0 | 60.8 | 59.2 | 63.9 | 64.0 | 61.4 | ||||
| Al2O3 | 6.8 | 6.6 | 6.6 | 6.9 | 6.7 | 7.0 | 6.6 | ||||
| Fe2O3 | 2.8 | 2.8 | 3.2 | 2.9 | 2.9 | 3.1 | 2.5 | ||||
| TiO2 | 0.8 | 0.8 | 0.8 | 0.8 | 0.8 | 0.9 | 0.8 | ||||
| CaO | 13.4 | 11.5 | 12.2 | 13.3 | 11.1 | 10.2 | 12.4 | ||||
| MgO | 1.8 | 1.7 | 1.9 | 1.8 | 1.7 | 1.7 | 1.7 | ||||
| MnO | 0.06 | 0.1 | 0.1 | 0.06 | 0.05 | 0.06 | 0.05 | ||||
| Na2O | 0.8 | 0.8 | 0.8 | 0.6 | 0.6 | 0.6 | 0.6 | ||||
| K2O | 1.2 | 1.2 | 1.2 | 1.2 | 1.3 | 1.3 | 1.2 | ||||
| P2O5 | 0.1 | 0.1 | 0.1 | 0.1 | 0.1 | 0.2 | 0.1 | ||||
| SO3 | <0.1 | <0.1 | <0.1 | <0.1 | <0.1 | <0.1 | <0.1 | ||||
| LOI | 13.3 | 11.9 | 12.5 | 12.9 | 11.0 | 10.8 | 12.1 | ||||
| Total | 100.3 | 99.5 | 100.1 | 99.8 | 100.2 | 99.9 | 99.5 | ||||
| S | W | Y | O | T | V | X | |||||
| SiO2 | 63.0 | 63.5 | 61.0 | 63.3 | 63.0 | 64.0 | 64.0 | ||||
| Al2O3 | 7.0 | 7.0 | 7.1 | 6.9 | 6.8 | 7.0 | 7.3 | ||||
| Fe2O3 | 3.0 | 3.1 | 3.0 | 3.1 | 2.7 | 2.9 | 3.2 | ||||
| TiO2 | 0.9 | 0.9 | 0.8 | 0.8 | 0.8 | 0.9 | 0.9 | ||||
| CaO | 10.6 | 10.5 | 11.9 | 10.7 | 10.8 | 10.4 | 10.0 | ||||
| MgO | 1.8 | 1.7 | 1.8 | 1.7 | 1.7 | 1.7 | 1.7 | ||||
| MnO | 0.06 | 0.06 | 0.06 | 0.06 | 0.06 | 0.06 | 0.06 | ||||
| Na2O | 0.6 | 0.7 | 0.6 | 0.7 | 0.6 | 0.6 | 0.6 | ||||
| K2O | 1.3 | 1.3 | 1.3 | 1.3 | 1.3 | 1.3 | 1.4 | ||||
| P2O5 | 0.2 | 0.2 | 0.2 | 0.2 | 0.2 | 0.2 | 0.2 | ||||
| SO3 | <0.1 | <0.1 | <0.1 | <0.1 | <0.1 | <0.1 | <0.1 | ||||
| LOI | 11.7 | 10.5 | 12.0 | 10.9 | 11.5 | 10.7 | 10.4 | ||||
| Total | 100.2 | 99.5 | 99.8 | 99.7 | 99.5 | 99.8 | 99.8 | ||||
| (4b) Bet Dagan | |||||||||||
| 0–20 | |||||||||||
| F1 | F2 | F3 | A | B | G | J | K | C | D | ||
| SiO2 | 62.6 | 62.0 | 61.9 | 63.1 | 62.6 | 62.9 | 63.4 | 63.6 | 61.6 | 64.3 | |
| Al2O3 | 11.1 | 11.0 | 11.0 | 10.5 | 10.4 | 11.0 | 10.9 | 10.8 | 10.2 | 10.5 | |
| Fe2O3 | 5.6 | 5.5 | 5.4 | 5.4 | 5.2 | 5.7 | 5.4 | 5.5 | 5.6 | 5.2 | |
| TiO2 | 1.3 | 1.2 | 1.3 | 1.2 | 1.2 | 1.3 | 1.3 | 1.4 | 1.2 | 1.3 | |
| CaO | 5.8 | 6.5 | 6.1 | 5.8 | 5.8 | 5.9 | 6.0 | 5.8 | 5.8 | 5.2 | |
| MgO | 1.6 | 1.7 | 1.7 | 1.5 | 1.5 | 1.7 | 1.7 | 1.7 | 1.5 | 1.4 | |
| MnO | 0.12 | 0.10 | 0.12 | 0.11 | 0.10 | 0.12 | 0.12 | 0.12 | 0.10 | 0.11 | |
| Na2O | 0.5 | 0.4 | 0.5 | 0.5 | 0.4 | 0.5 | 0.5 | 0.5 | 0.4 | 0.4 | |
| K2O | 1.2 | 1.1 | 1.2 | 1.1 | 1.1 | 1.1 | 1.1 | 1.2 | 1.0 | 1.1 | |
| P2O5 | 0.2 | 0.1 | 0.2 | 0.1 | 0.1 | 0.1 | 0.1 | 0.2 | 0.2 | 0.2 | |
| SO3 | <0.1 | <0.1 | <0.1 | <0.1 | <0.1 | <0.1 | <0.1 | <0.1 | <0.1 | <0.1 | |
| LOI | 9.8 | 10.2 | 10.0 | 10.8 | 11.2 | 9.4 | 8.9 | 9.1 | 11.8 | 9.7 | |
| Total | 99.8 | 99.8 | 99.4 | 100.1 | 99.6 | 99.7 | 99.4 | 99.9 | 99.4 | 99.4 | |
| H | I | L | M | N | O | V | W | Y | Z | ||
| SiO2 | 62.1 | 62.0 | 63.4 | 64.2 | 63.7 | 64.9 | 63.6 | 61.5 | 64.4 | 64.4 | |
| Al2O3 | 11.8 | 11.3 | 10.8 | 10.9 | 10.7 | 10.8 | 10.7 | 11.1 | 10.7 | 10.7 | |
| Fe2O3 | 5.9 | 5.7 | 5.3 | 5.2 | 5.2 | 5.4 | 5.2 | 5.9 | 5.2 | 5.2 | |
| TiO2 | 1.4 | 1.4 | 1.4 | 1.4 | 1.3 | 1.4 | 1.3 | 1.3 | 1.3 | 1.3 | |
| CaO | 6.0 | 5.5 | 6.0 | 5.4 | 5.8 | 5.5 | 6.0 | 6.4 | 5.3 | 5.3 | |
| MgO | 1.7 | 1.7 | 1.6 | 1.6 | 1.6 | 1.5 | 1.5 | 1.6 | 1.5 | 1.5 | |
| MnO | 0.13 | 0.13 | 0.12 | 0.12 | 0.12 | 0.12 | 0.12 | 0.13 | 0.12 | 0.12 | |
| Na2O | 0.4 | 0.4 | 0.5 | 0.5 | 0.6 | 0.5 | 0.5 | 0.5 | 0.5 | 0.5 | |
| K2O | 1.2 | 1.2 | 1.2 | 1.2 | 1.1 | 1.2 | 1.1 | 1.2 | 1.2 | 1.2 | |
| P2O5 | 0.2 | 0.2 | 0.2 | 0.2 | 0.2 | 0.2 | 0.2 | 0.2 | 0.2 | 0.2 | |
| SO3 | <0.1 | <0.1 | <0.1 | <0.1 | <0.1 | <0.1 | <0.1 | <0.1 | <0.1 | <0.1 | |
| LOI | 9.4 | 9.9 | 9.0 | 8.8 | 9.1 | 8.7 | 9.9 | 10.0 | 9.3 | 9.3 | |
| Total | 100.2 | 99.4 | 99.5 | 99.5 | 99.4 | 100.2 | 100.1 | 99.8 | 99.7 | 99.7 | |
| 20–40 | |||||||||||
| F1 20-40 | F2 20-40 | F3 20-40 | P | Q | R | S | T | AB | AC | AD | |
| SiO2 | 60.7 | 60.4 | 60.5 | 62.5 | 64.0 | 64.6 | 64.3 | 62.0 | 61.5 | 64.1 | 60.6 |
| Al2O3 | 11.5 | 11.6 | 11.6 | 11.4 | 10.8 | 10.7 | 10.7 | 11.5 | 11.5 | 10.7 | 11.4 |
| Fe2O3 | 6.5 | 5.9 | 5.8 | 5.8 | 5.4 | 5.7 | 5.3 | 6.3 | 6.0 | 5.9 | 6.1 |
| TiO2 | 1.3 | 1.3 | 1.3 | 1.3 | 1.3 | 1.3 | 1.3 | 1.3 | 1.3 | 1.3 | 1.3 |
| CaO | 6.3 | 6.5 | 6.5 | 6.1 | 5.9 | 5.4 | 5.4 | 5.6 | 6.5 | 5.7 | 6.2 |
| MgO | 1.7 | 1.7 | 1.7 | 1.7 | 1.6 | 1.5 | 1.5 | 1.6 | 1.7 | 1.5 | 1.7 |
| MnO | 0.13 | 0.12 | 0.13 | 0.12 | 0.12 | 0.12 | 0.12 | 0.12 | 0.13 | 0.12 | 0.13 |
| Na2O | 0.3 | 0.3 | 0.4 | 0.3 | 0.3 | 0.3 | 0.3 | 0.3 | 0.6 | 0.6 | 0.5 |
| K2O | 1.2 | 1.2 | 1.2 | 1.1 | 1.2 | 1.2 | 1.2 | 1.2 | 1.1 | 1.1 | 1.2 |
| P2O5 | 0.2 | 0.2 | 0.2 | 0.2 | 0.2 | 0.2 | 0.2 | 0.2 | 0.2 | 0.2 | 0.2 |
| SO3 | <0.1 | <0.1 | <0.1 | <0.1 | <0.1 | <0.1 | <0.1 | <0.1 | <0.1 | <0.1 | <0.1 |
| LOI | 10.2 | 10.3 | 10.2 | 9.5 | 9.1 | 9.1 | 9.2 | 9.6 | 9.8 | 9.0 | 10.7 |
| Total | 100.0 | 99.5 | 99.5 | 100.0 | 99.9 | 100.1 | 99.5 | 99.7 | 100.3 | 100.2 | 100.0 |
| (4c) Mishmeret. | |||||||||||
| 0–20 | 5–20 | ||||||||||
| YTF | YT a | YTFb | YT-1 | YT-1a | YT-1b | YTG | YTGa | YTGb | |||
| SiO2 | 90.5 | 91.1 | 92.0 | 88.8 | 89.7 | 88.2 | 89.0 | 88.5 | 89.8 | ||
| Al2O3 | 3.4 | 3.6 | 3.4 | 4.2 | 4.0 | 4.7 | 3.8 | 3.7 | 3.7 | ||
| Fe2O3 | 1.5 | 1.7 | 1.4 | 2.2 | 1.8 | 2.3 | 1.3 | 1.4 | 1.4 | ||
| TiO2 | 0.3 | 0.3 | 0.2 | 0.5 | 0.5 | 0.5 | 0.3 | 0.5 | 0.3 | ||
| CaO | 0.7 | 0.7 | 0.5 | 0.7 | 0.6 | 0.6 | 0.7 | 0.6 | 0.8 | ||
| MgO | 0.3 | 0.3 | 0.2 | 0.3 | 0.3 | 0.3 | 0.2 | 0.2 | 0.2 | ||
| MnO | 0.0 | 0.0 | 0.0 | 0.0 | 0.0 | 0.0 | 0.0 | 0.0 | 0.0 | ||
| Na2O | 0.3 | 0.2 | 0.3 | 0.3 | 0.2 | 0.2 | 0.2 | 0.2 | 0.2 | ||
| K2O | 0.7 | 0.6 | 0.7 | 0.7 | 0.7 | 0.7 | 0.5 | 0.6 | 0.5 | ||
| P2O5 | 0.1 | < 0.1 | ≤ 0.1 | 0.2 | 0.2 | 0.2 | <0.1 | <0.1 | <0.1 | ||
| L.O.I. | 2.1 | 1.8 | 1.7 | 2.6 | 2.4 | 2.6 | 3.7 | 3.7 | 3.0 | ||
| Total | 99.8 | 100.4 | 100.4 | 100.4 | 100.4 | 100.3 | 99.7 | 99.4 | 99.9 | ||
| 20–40 | |||||||||||
| YTF 20-40 | YTFa 20-40 | YTFb 20-40 | YT-1 | YT-1a | YT-1b | YTG | YTGa | YTGb | |||
| SiO2 | 89.2 | 89.7 | 90.8 | 89.0 | 90.0 | 88.7 | 89.4 | 88.3 | 90.5 | ||
| Al2O3 | 4.3 | 4.2 | 3.7 | 4.0 | 3.8 | 4.3 | 4.4 | 5.0 | 4.2 | ||
| Fe2O3 | 1.9 | 1.9 | 1.7 | 2.3 | 2.0 | 2.0 | 1.8 | 1.9 | 1.8 | ||
| TiO2 | 0.4 | 0.4 | 0.3 | 0.4 | 0.5 | 0.5 | 0.4 | 0.5 | 0.3 | ||
| CaO | 0.6 | 0.5 | 0.5 | 0.6 | 0.5 | 0.7 | 0.5 | 0.5 | 0.4 | ||
| MgO | 0.3 | 0.3 | 0.2 | 0.3 | 0.2 | 0.3 | 0.2 | 0.2 | 0.2 | ||
| MnO | 0.0 | 0.0 | 0.0 | 0.0 | 0.0 | 0.0 | 0.0 | 0.0 | 0.0 | ||
| Na2O | 0.4 | 0.3 | 0.3 | 0.3 | 0.3 | 0.3 | 0.2 | 0.2 | 0.1 | ||
| K2O | 0.7 | 0.6 | 0.6 | 0.7 | 0.7 | 0.7 | 0.6 | 0.6 | 0.5 | ||
| P2O5 | 0.2 | 0.2 | 0.2 | 0.2 | 0.2 | 0.2 | <0.1 | <0.1 | <0.1 | ||
| L.O.I. | 2.3 | 1.9 | 1.7 | 2.6 | 2.3 | 2.6 | 2.3 | 2.4 | 2.1 | ||
| Total | 100.3 | 100.0 | 100.0 | 100.4 | 100.5 | 100.3 | 99.8 | 99.6 | 100.0 | ||
| (4d) Nir Etsion. | |||||||||||
| 0–20 | |||||||||||
| NEa | NEb | NEc | NEd | NEe | NEf | NEg | NEh | ||||
| SiO2 | 54.5 | 56.2 | 57.5 | 50.9 | 52.6 | 51.4 | 51.9 | 50.5 | |||
| Al2O3 | 13.1 | 8.5 | 13.7 | 11.8 | 11.1 | 12.6 | 12.4 | 12.5 | |||
| Fe2O3 | 7.0 | 4.6 | 8.0 | 6.0 | 6.4 | 6.9 | 6.5 | 7.3 | |||
| TiO2 | 1.4 | 0.8 | 1.4 | 1.2 | 1.2 | 1.3 | 1.2 | 1.3 | |||
| CaO | 6.4 | 12.6 | 4.6 | 10.5 | 9.3 | 8.6 | 9.0 | 9.6 | |||
| MgO | 1.8 | 1.3 | 1.8 | 1.4 | 1.4 | 1.8 | 1.8 | 1.8 | |||
| MnO | 0.2 | 0.1 | 0.2 | 0.1 | 0.1 | 0.1 | 0.1 | 0.1 | |||
| Na2O | 0.4 | 0.4 | 0.4 | 0.3 | 0.3 | 0.3 | 0.3 | 0.3 | |||
| K2O | 1.4 | 0.9 | 1.4 | 1.1 | 1.1 | 1.4 | 1.5 | 1.6 | |||
| P2O5 | 0.3 | 0.1 | 0.2 | 0.1 | 0.1 | 0.3 | 0.3 | 0.3 | |||
| LOI | 13.7 | 14.8 | 11.1 | 16.7 | 16.8 | 15.0 | 15.3 | 15.0 | |||
| Total | 100.1 | 100.4 | 100.2 | 100.1 | 100.4 | 99.6 | 100.4 | 100.2 | |||
| 20–40 | |||||||||||
| NEi | NEj | NEk | NEl | NEm | NEn | NEo | NEp | ||||
| SiO2 | 55.5 | 56.5 | 57.0 | 54.4 | 52.5 | 50.8 | 52.0 | 45.3 | |||
| Al2O3 | 13.2 | 9.2 | 14.0 | 13.0 | 12.5 | 12.8 | 13.3 | 11.7 | |||
| Fe2O3 | 7.7 | 4.6 | 8.1 | 6.8 | 6.8 | 6.9 | 8.0 | 6.2 | |||
| TiO2 | 1.4 | 0.9 | 1.4 | 1.3 | 1.3 | 1.3 | 1.3 | 1.1 | |||
| CaO | 6.0 | 12.2 | 5.4 | 8.9 | 10.1 | 10.3 | 8.3 | 15.2 | |||
| MgO | 1.7 | 1.2 | 1.7 | 1.5 | 1.4 | 1.7 | 1.8 | 1.6 | |||
| MnO | 0.2 | 0.1 | 0.2 | 0.1 | 0.1 | 0.1 | 0.1 | 0.1 | |||
| Na2O | 0.3 | 0.4 | 0.4 | 0.3 | 0.3 | 0.3 | 0.3 | 0.3 | |||
| K2O | 1.3 | 0.9 | 1.4 | 1.0 | 1.0 | 1.2 | 1.1 | 1.0 | |||
| P2O5 | 0.2 | 0.1 | 0.2 | 0.1 | 0.1 | 0.3 | 0.2 | 0.2 | |||
| LOI | 13.0 | 14.5 | 10.7 | 13.1 | 14.4 | 14.8 | 14.0 | 17.8 | |||
| Total | 100.4 | 100.5 | 100.4 | 100.5 | 100.5 | 100.4 | 100.4 | 100.5 | |||
| (4e) Sarid. | |||||||||||
| 0–20 | |||||||||||
| F1 0–20 | F2 0–20 | F3 0–20 | A | B | C | ||||||
| SiO2 | 42.4 | 42.3 | 42.3 | 44.2 | 42.0 | 42.0 | |||||
| Al2O3 | 10.5 | 10.9 | 10.7 | 11.3 | 10.6 | 10.8 | |||||
| Fe2O3 | 5.4 | 6.2 | 5.5 | 6.6 | 5.6 | 6.3 | |||||
| TiO2 | 1.0 | 1.1 | 1.1 | 1.1 | 1.0 | 1.0 | |||||
| CaO | 16.2 | 15.2 | 16.1 | 13.9 | 14.9 | 15.0 | |||||
| MgO | 1.9 | 2.2 | 2.0 | 2.2 | 2.1 | 2.3 | |||||
| MnO | 0.11 | 0.11 | 0.11 | 0.12 | 0.13 | 0.12 | |||||
| Na2O | 0.3 | 0.3 | 0.3 | 0.3 | 0.3 | 0.4 | |||||
| K2O | 1.0 | 1.0 | 1.1 | 1.2 | 1.2 | 1.4 | |||||
| P2O5 | 0.2 | 0.3 | 0.2 | 0.6 | 1.1 | 0.7 | |||||
| SO3 | <0.1 | <0.1 | <0.1 | <0.1 | <0.1 | 0.1 | |||||
| L.O.I | 20.7 | 20.2 | 20.0 | 18.5 | 20.7 | 20.2 | |||||
| Total | 99.7 | 99.8 | 99.4 | 100.0 | 99.6 | 100.3 | |||||
| 20–40 | |||||||||||
| F1 20-40 | F2 20-40 | F3 20-40 | D | E | G | ||||||
| SiO2 | 47.3 | 46.1 | 45.3 | 47.1 | 46.0 | 46.4 | |||||
| Al2O3 | 11.9 | 11.6 | 11.4 | 11.9 | 11.4 | 11.7 | |||||
| Fe2O3 | 7.0 | 6.9 | 6.9 | 7.0 | 6.2 | 7.0 | |||||
| TiO2 | 1.1 | 1.1 | 1.1 | 1.1 | 1.1 | 1.1 | |||||
| CaO | 11.8 | 12.0 | 13.5 | 11.6 | 12.8 | 11.4 | |||||
| MgO | 2.2 | 2.2 | 2.1 | 2.3 | 2.3 | 2.3 | |||||
| MnO | 0.1 | 0.1 | 0.1 | 0.1 | 0.1 | 0.1 | |||||
| Na2O | 0.3 | 0.3 | 0.3 | 0.3 | 0.3 | 0.3 | |||||
| K2O | 1.0 | 1.1 | 1.0 | 1.3 | 1.3 | 1.3 | |||||
| P2O5 | <0.1 | 0.1 | 0.1 | 0.4 | 0.6 | 0.4 | |||||
| SO3 | <0.1 | <0.1 | <0.1 | <0.1 | <0.1 | <0.1 | |||||
| L.O.I | 17.3 | 18.5 | 18.7 | 17.3 | 18.1 | 18.2 | |||||
| Total | 100.0 | 100.0 | 100.4 | 100.4 | 100.0 | 100.3 | |||||
| Gilat | |||||||
| Sample | IS | Saddle | Kaolinite | Illite * | Chlorite | Palygorskite | Quartz |
| 0–20 cm | |||||||
| F 0-20 | 50–55 | 0.83 | 15–20 | 10 | <3 | 15 | ? |
| F1 0-20 | 60–65 | 1 | 15–20 | 5–10 | <3 | 10 | - |
| F2 0-20 | 60–65 | 0.86 | 15–20 | 5–10 | <3 | 10 | - |
| D | 50–55 | 0.98 | 25 | 5–10 | <3 | 10 | ? |
| E | 50–55 | 0.98 | 25 | 10 | <3 | 10 | ? |
| G | 55 | 0.95 | 20–25 | 5–10 | <3 | 5–10 | <1 |
| J | 50–55 | 0.92 | 25 | 10 | <3 | 5–10 | <1 |
| A | 55 | 0.93 | 20 | 10 | <3 | 10 | ? |
| B | 50 | 0.97 | 20–25 | 10 | <3 | 10 | ? |
| C | 50–55 | 0.93 | 20–25 | 10 | <3 | 10 | ? |
| H | 55 | 0.97 | 20–25 | 10 | <3 | 5–10 | ? |
| I | 50–55 | 0.94 | 25 | 5–10 | <3 | 10 | <1 |
| K | 55 | 0.92 | 20 | 10 | <3 | 10 | <1 |
| L | 50 | 1 | 20–25 | 10–15 | <3 | 10 | ? |
| M | 55 | 0.94 | 25 | 10 | <3 | 5–10 | - |
| N | 50–55 | 0.99 | 20 | 5–10 | <3 | 10–15 | ? |
| 20–40 cm | |||||||
| F 20-40 | 55 | 0.86 | 20 | 5–10 | <3 | 10 | ? |
| F1 20-40 | 60-65 | 0.95 | 15–20 | 5–10 | <3 | 10 | ? |
| F2 20-40 | 55 | 0.75 | 20 | 5–10 | <3 | 10 | ? |
| Q | 50 | 0.83 | 20–25 | 10–15 | <3 | 10–15 | - |
| R | 50 | 0.86 | 20 | 10–15 | <3 | 10 | - |
| U | 60 | 0.92 | 20 | 5 | <3 | 10 | - |
| O | 50–55 | 0.9 | 20–25 | 10 | <3 | 10 | - |
| P | 50 | 0.82 | 20 | 10 | <5 | 10 | <2 |
| S | 55 | 0.92 | 20 | 5–10 | <3 | 10–15 | ? |
| T | 50–55 | 0.88 | 20 | 10 | <3 | 15 | ? |
| V | 55-60 | 0.91 | 20 | 5 | <3 | 10 | ? |
| W | 45–50 | 0.87 | 20–25 | 10–15 | <3 | 10–15 | <2 |
| Y | 50–55 | 0.91 | 20 | 10 | <3 | 10–15 | ? |
| Bet Dagan | |||||||
| Sample | IS | Saddle | Kaolinite | Illite | Chlorite | Quartz | Goethite |
| 0–20 cm | |||||||
| F1 0-20 | 80–85 | 0.39 | 15 | <3 | <3 | ? | - |
| F2 0–20 | 80–85 | 0.53 | 10–15 | <5 | <3 | ? | ? |
| F3 0–20 | 80–85 | 0.46 | 10 | <5 | <3 | ? | ? |
| A | 80 | 0.51 | 10–15 | <5 | <3 | ? | ? |
| B | 80 | 0.56 | 10–15 | <5 | <3 | ? | ? |
| G | 80 | 0.41 | 15 | <5 | <3 | - | ? |
| J | 85 | 0.37 | 10–15 | ? | <3 | - | ? |
| K | 80–85 | 0.44 | 10–15 | ? | <3 | ? | ? |
| C | 80–85 | 0.50 | 10–15 | <5 | <3 | ? | ? |
| D | 80 | 0.55 | 10–15 | <3 | <3 | ? | ? |
| E | 80–85 | 0.54 | 10 | <5 | <3 | ? | ? |
| H | 80–85 | 0.35 | 10–15 | ? | <3 | ? | - |
| I | 85 | 0.45 | 10 | <3 | <3 | ? | ? |
| L | 80 | 0.38 | 10–15 | <3 | <3 | <1 | <3 |
| M | 80–85 | 0.41 | 10–15 | <3 | <3 | ? | ? |
| N | 80–85 | 0.39 | 10–15 | <3 | <3 | ? | ? |
| O | 80 | 0.38 | 15 | <5 | <3 | ? | ? |
| V | 80–85 | 0.46 | 10–15 | <3 | <3 | - | ? |
| W | 80 | 0.44 | 15 | <3 | <3 | - | - |
| Y | 80–85 | 0.49 | 10–15 | ? | <3 | - | ? |
| Z | 80–85 | 0.50 | 10–15 | <3 | <3 | - | - |
| 20–40 cm | |||||||
| F1 20-40 | 80–85 | 0.50 | 10–15 | <3 | <3 | <1 | <3 |
| F2 20-40 | 80–86 | 0.48 | 15 | ? | <3 | ? | ? |
| F3 20-40 | 80–86 | 0.41 | 10–15 | <3 | <3 | ? | - |
| P | 85 | 0.42 | 15 | ? | <3 | - | - |
| Q | 80 | 0.31 | 15 | <3 | <3 | ? | - |
| R | 80–85 | 0.45 | 10–15 | <3 | <3 | <1 | <3 |
| S | 80–85 | 0.39 | 10–15 | <3 | <3 | - | ? |
| T | 85 | 0.42 | 10–15 | <3 | <3 | ? | ? |
| AB | 85 | 0.47 | 10 | ? | <3 | ? | ? |
| AC | 85 | 0.48 | 10 | ? | <3 | - | - |
| AD | 85 | 0.44 | 10 | ? | <3 | ? | - |
| AE | 80–85 | 0.51 | 10 | <3 | <3 | <1 | <3 |
| AF | 80 | 0.50 | 10–15 | <3 | <3 | <1 | <3 |
| AG | 80 | 0.45 | 10–15 | <3 | <3 | <1 | <3 |
| Mishmeret | |||||||
| Sample | IS | Saddle | Kaolinite | Illite * | KaS | Quartz | Goethite |
| 0–20 cm | |||||||
| YTF1 0-20 | 40 | >1 | 35 | 15 | ~5 | <1 | <5 |
| YTF1a 0-20 | 40 | >1 | 40 | 15 | ~5 | <1 | <5 |
| YTF1b 0-20 | 40 | >1 | 35 | 15 | ~5 | <1 | <3 |
| YT1 | 25 | >1 | 45 | 20 | ~5 | <3 | ~5 |
| YT1a | 25 | >1 | 45 | 20 | ~5 | <3 | ~5 |
| YT1b | 30 | >1 | 40 | 20 | ~5 | <3 | ~5 |
| 5–20 cm | |||||||
| YTG 5-20 | 55 | >1 | 35 | 5–10 | <5 | <1 | <3 |
| YTG a 5-20 | 55 | >1 | 35 | 5–10 | <5 | ? | <3 |
| YTG b 5-20 | 55–60 | 0.98 | 30–35 | 5–10 | <5 | ? | <3 |
| 20–40 cm | |||||||
| YTF1 20-40 | 45 | >1 | 40 | 10 | ~5 | <1 | <3 |
| YTF1a 20-40 | 50 | >1 | 35 | 10 | ~5 | <1 | <3 |
| YTF1b 20-40 | 40 | >1 | 40 | 15 | ~5 | <1 | <3 |
| YT1 | 30 | >1 | 45 | 15 | ~5 | <3 | ~5 |
| YT1a | 25 | >1 | 50 | 15 | ~5 | <3 | <5 |
| YT1b | 35 | >1 | 40 | 15 | ~5 | <3 | ~5 |
| YTG | 60 | 0.95 | 30–35 | 5–10 | <5 | <1 | <3 |
| YTG a | 60 | >1 | 30 | 5 | <5 | <1 | <5 |
| YTG b | 60–65 | >1 | 30 | <5 | <5 | ? | <5 |
| Nir Etsion | |||||||
| Sample | IS | Saddle | Kaolinite | Illite | Chlorite | Quartz | Goethite |
| NE a | 75 | 0.72 | 15 | 5 | <3 | ? | ? |
| NE b | 75–80 | 0.68 | 10–15 | 5 | <3 | - | ? |
| NE c | 80 | 0.67 | 10–15 | <5 | <3 | <1 | ? |
| NE d | 75–80 | 0.72 | 10–15 | <5 | <5 | <1 | - |
| NE e | 80 | 0.72 | 10–15 | <5 | ? | <1 | - |
| NE f | 75–80 | 0.62 | 10–15 | <5 | <5 | ? | ? |
| NE g | 75–80 | 0.72 | 10–15 | <5 | <3 | - | - |
| NE h | 75 | 0.61 | 15 | <5 | <5 | <1 | <3 |
| 20–40 cm | |||||||
| NE i | 75 | 0.68 | 15 | 5–10 | <5 | <1 | ? |
| NE j | 75–80 | 0.65 | 15 | 5 | <5 | <1 | ? |
| NE k | 75 | 0.70 | 15 | 5 | <3 | ? | - |
| NE l | 75–80 | 0.67 | 10–15 | <3 | 5 | <1 | ? |
| NE m | 75 | 0.57 | 15 | 5 | <3 | <1 | ? |
| NE n | 75 | 0.61 | 15 | <5 | <5 | ? | ? |
| NE o | 80 | 0.56 | 15 | <5 | ? | - | - |
| NE p | 75 | 0.63 | 10–15 | 5 | <5 | ? | - |
| Sarid | |||||||
| Sample | IS | Saddle | Kaolinite | Illite | Chlorite | Quartz | Goethite |
| 0–20 cm | |||||||
| F1 0-20 | 85 | 0.66 | 10 | <3 | <3 | ? | ? |
| F2 0–20 | 85 | 0.57 | 10–15 | <5 | <3 | ? | ? |
| F3 0–20 | 85 | 0.65 | 10–15 | <3 | <3 | - | - |
| A | 80–85 | 0.64 | 10–15 | <3 | <3 | - | ? |
| B | 85 | 0.67 | 10–15 | <3 | <3 | - | - |
| C | 85–90 | 0.76 | 10–15 | <3 | <3 | - | - |
| 20–40 cm | |||||||
| F1 20-40 | 80 | 0.55 | 15 | <5 | <3 | - | - |
| F2 20-40 | 80–85 | 0.50 | 15 | <3 | <3 | - | - |
| F3 20-40 | 80–85 | 0.49 | 10–15 | <3 | <3 | - | - |
| D | 80–85 | 0.51 | 15 | 5 | <3 | ? | - |
| E | 80–85 | 0.50 | 10 | <5 | <3 | ? | - |
| G | 80–85 | 0.59 | 10–15 | <3 | <3 | - | - |
| Gilat | ||||
| Sample | Type | %Ka | cg °2θ | %IS |
| 0–20 cm | ||||
| F 0-20 | Fallow | 26.5 | 6.65 | 63.0 |
| F1 0-20 | Fallow | 15.5 | 6.76 | 43.4 |
| F2 0-20 | Fallow | 12.4 | 6.63 | 42.9 |
| D | Control | 16.9 | 6.64 | 49.8 |
| E | Control | 14.4 | 6.83 | 60.9 |
| G | Control | 15.7 | 6.35 | 40.0 |
| J | Control | 16.8 | 6.49 | 46.6 |
| A | M0, N3 | 14.5 | 6.85 | 58.2 |
| C | M2, N0 | 15.0 | 6.85 | 62.3 |
| H | M2, N0 | 14.4 | 6.40 | 45.5 |
| L | M2, N0 | 15.4 | 6.44 | 43.6 |
| N | M2, N0 | 14.6 | 6.68 | 51.7 |
| B | M2, N3 | 17.0 | 6.83 | 66.3 |
| I | M2, N3 | 14.9 | 6.43 | 46.3 |
| K | M2, N3 | 14.3 | 6.57 | 53.1 |
| M | M2, N3 | 15.5 | 6.50 | 43.6 |
| 20–40 cm | ||||
| F 20-40 | Fallow | 13.1 | 6.64 | 47.4 |
| F1 20-40 | Fallow | 12.2 | 6.58 | 40.1 |
| F2 20-40 | Fallow | 12.8 | 6.48 | 45.8 |
| Q | Control | 14.4 | 6.52 | 52.4 |
| R | Control | 13.1 | 6.67 | 66.0 |
| U | Control | 15.4 | 6.65 | 73.4 |
| P | M2, N0 | 16.0 | 6.62 | 56.8 |
| S | M2, N0 | 14.5 | 6.69 | 68.7 |
| W | M2, N0 | 13.7 | 6.64 | 59.1 |
| Y | M2, N0 | 14.3 | 6.78 | 72.6 |
| O | M2, N3 | 15.2 | 6.47 | 51.2 |
| T | M2, N3 | 13.8 | 6.56 | 62.3 |
| V | M2, N3 | 14.9 | 6.69 | 63.1 |
| X | M2, N3 | 14.8 | 6.75 | 58.1 |
| Bet Dagan | ||||
| Sample | Type | %Ka | cg °2θ | %IS |
| 0–20 cm | ||||
| F1 0–20 | Fallow | 6.7 | 6.04 | 22.1 |
| F2 0–20 | Fallow | 6.5 | 6.10 | 22.0 |
| F3 0–20 | Fallow | 6.1 | 6.18 | 28.3 |
| A | Control | 6.3 | 6.01 | 21.7 |
| B | Control | 5.6 | 5.93 | 28.8 |
| G | Control | 6.2 | 5.74 | 24.4 |
| J | Control | 6.2 | 5.90 | 17.6 |
| K | Control | 6.6 | 6.15 | 28.0 |
| C | N4, P4, K2 | 6.5 | 6.02 | 20.3 |
| D | N4, P4, K2 | 6.4 | 6.03 | 20.0 |
| H | N4, P2, K2 | 6.0 | 5.69 | 23.4 |
| I | N4, P2, K2 | 6.0 | 5.64 | 19.2 |
| L | N4, P3, K2 | 5.6 | 5.99 | 23.9 |
| M | N4, P3, K2 | 6.8 | 5.79 | 20.2 |
| N | N4, P3, K2 | 6.6 | 5.80 | 27.8 |
| O | N4, P3, K2 | 6.3 | 5.79 | 28.5 |
| V | N4, P4, K2 + M | 6.1 | 5.65 | 15.7 |
| W | N4, P4, K2 + M | 7.2 | 5.83 | 21.5 |
| Y | N4, P4, K2 + M | 6.8 | 5.77 | 18.4 |
| Z | N4, P4, K2 + M | 6.2 | 5.70 | 14.0 |
| 20–40 cm | ||||
| F1 20-40 | Fallow | 6.4 | 6.22 | 29.0 |
| F2 20-40 | Fallow | 7.2 | 6.24 | 37.8 |
| F3 20-40 | Fallow | 7.6 | 6.25 | 39.7 |
| P | Control | 5.9 | 6.09 | 38.6 |
| Q | Control | 7.0 | 6.19 | 34.5 |
| R | N4, P3, K2 | 6.8 | 6.22 | 39.6 |
| S | N4, P3, K2 | 6.4 | 6.22 | 29.0 |
| T | N4, P2, K2 | 8.1 | 6.15 | 28.0 |
| AB | N4, P4, K2 + M | 7.3 | 6.31 | 29.6 |
| AC | N4, P4, K2 + M | 6.5 | 6.27 | 33.6 |
| AD | N4, P4, K2 + M | 7.0 | 6.17 | 28.6 |
| Mishmeret | ||||
| Sample | Type | %Ka | cg °2θ | %IS |
| 0–20 cm | ||||
| YTF1 0-20 | Fallow | 35.8 | 7.23 | 65.0 |
| YTF1a 0-20 | Fallow | 28.2 | 7.19 | 68.1 |
| YTF1b 0-20 | Fallow | 37.3 | 6.99 | 59.3 |
| YT1 | Tomatoes | 43.1 | 7.91 | 87.9 |
| YT1a | Tomatoes | 51.1 | 7.88 | 80.6 |
| YT1b | Tomatoes | 36.9 | 7.68 | 89.2 |
| 5–20 cm | ||||
| YTG 5-20 | Grass lawn | 24.1 | 6.27 | 57.8 |
| YTG a 5-20 | Grass lawn | 25.6 | 6.03 | 55.7 |
| YTG b 5-20 | Grass lawn | 26.9 | 5.99 | 52.7 |
| 20–40 cm | ||||
| YTF1 20-40 | Fallow | 37.0 | 6.28 | 56.5 |
| YTF1a 20-40 | Fallow | 34.3 | 6.35 | 57.0 |
| YTF1b 20-40 | Fallow | 45.8 | 6.63 | 52.5 |
| YT1 | Tomatoes | 44.4 | 6.56 | 57.0 |
| YT1a | Tomatoes | 52.9 | 6.64 | 62.2 |
| YT1b | Tomatoes | 50.3 | 6.49 | 51.7 |
| YTG | Grass lawn | 28.6 | 6.05 | 53.9 |
| YTG a | Grass lawn | 30.9 | 6.13 | 52.4 |
| YTG b | Grass lawn | 25.7 | 6.27 | 64.8 |
| Nir Etsion | ||||
| Sample | Type | %Ka | cg °2θ | %IS |
| 0–20 cm | ||||
| NE a | Banana 1 | 7.7 | 5.75 | 15.0 |
| NE b | Banana 2 | 6.3 | 5.81 | 12.4 |
| NE c | Banana 3 | 6.8 | 5.91 | 13.6 |
| NE d | Olive 1 | 6.1 | 5.86 | 17.0 |
| NE e | Olive 2 | 5.8 | 5.86 | 19.7 |
| NE f | Field 1 | 7.1 | 5.95 | 23.6 |
| NE g | Field 2 | 7.1 | 5.95 | 23.6 |
| NE h | Field 3 | 6.5 | 6.05 | 22.0 |
| 20–40 cm | ||||
| NE i | Banana 1 | 8.5 | 6.70 | 32.5 |
| NE j | Banana 2 | 8.1 | 6.84 | 25.7 |
| NE k | Banana 3 | 8.4 | 6.83 | 26.9 |
| NE l | Olive 1 | 7.1 | 6.23 | 28.8 |
| NE m | Olive 2 | 7.2 | 6.30 | 27.7 |
| NE n | Field 1 | 7.1 | 6.24 | 28.8 |
| NE o | Field 2 | 7.1 | 6.23 | 24.6 |
| NE p | Field 3 | 7.3 | 6.51 | 42.3 |
| Sarid | ||||
| Sample | Type | %Ka | cg °2θ | %IS |
| 0–20 cm | ||||
| F1 0–20 | Fallow | 5.6 | 5.79 | 29.7 |
| F2 0–20 | Fallow | 5.1 | 5.80 | 26.5 |
| F3 0–20 | Fallow | 5.7 | 6.06 | 28.8 |
| A | ECK. | 5.6 | 5.65 | 21.9 |
| B | ECK. | 4.7 | 5.67 | 24.0 |
| C | ECK. | 5.6 | 5.76 | 22.6 |
| 20–40 cm | ||||
| F1 20-40 | Fallow | 5.7 | 6.02 | 31.6 |
| F2 20-40 | Fallow | 5.8 | 6.17 | 34.2 |
| F3 20-40 | Fallow | 5.8 | 6.20 | 34.4 |
| D | ECK. | 5.4 | 5.98 | 31.9 |
| E | ECK. | 6.3 | 6.21 | 26.5 |
| G | ECK. | 6.1 | 6.20 | 32.6 |
Disclaimer/Publisher’s Note: The statements, opinions and data contained in all publications are solely those of the individual author(s) and contributor(s) and not of MDPI and/or the editor(s). MDPI and/or the editor(s) disclaim responsibility for any injury to people or property resulting from any ideas, methods, instructions or products referred to in the content. |
© 2023 by the authors. Licensee MDPI, Basel, Switzerland. This article is an open access article distributed under the terms and conditions of the Creative Commons Attribution (CC BY) license (https://creativecommons.org/licenses/by/4.0/).
Share and Cite
Sandler, A.; Fine, P.; Bar-Tal, A. The Effect of K-Fertilization and Irrigation on the Composition of Cultivated Soils: Examples from Israel. Minerals 2023, 13, 1547. https://doi.org/10.3390/min13121547
Sandler A, Fine P, Bar-Tal A. The Effect of K-Fertilization and Irrigation on the Composition of Cultivated Soils: Examples from Israel. Minerals. 2023; 13(12):1547. https://doi.org/10.3390/min13121547
Chicago/Turabian StyleSandler, Amir, Pinchas Fine, and Asher Bar-Tal. 2023. "The Effect of K-Fertilization and Irrigation on the Composition of Cultivated Soils: Examples from Israel" Minerals 13, no. 12: 1547. https://doi.org/10.3390/min13121547
APA StyleSandler, A., Fine, P., & Bar-Tal, A. (2023). The Effect of K-Fertilization and Irrigation on the Composition of Cultivated Soils: Examples from Israel. Minerals, 13(12), 1547. https://doi.org/10.3390/min13121547
