Geochemical and Volcanological Criteria in Assessing the Links between Volcanism and VMS Deposits: A Case on the Iberian Pyrite Belt, Spain
Abstract
:1. Introduction
2. Geological Setting
3. Geology of the VSC in the EAVC Area
3.1. Structural Features
3.2. Petrographic and Volcanological Description: Interpretation of the VSC Volcanic Rocks
4. Whole-Rock Geochemistry and U–Pb Dating
4.1. Analytical Methods
4.2. Major Element Geochemistry
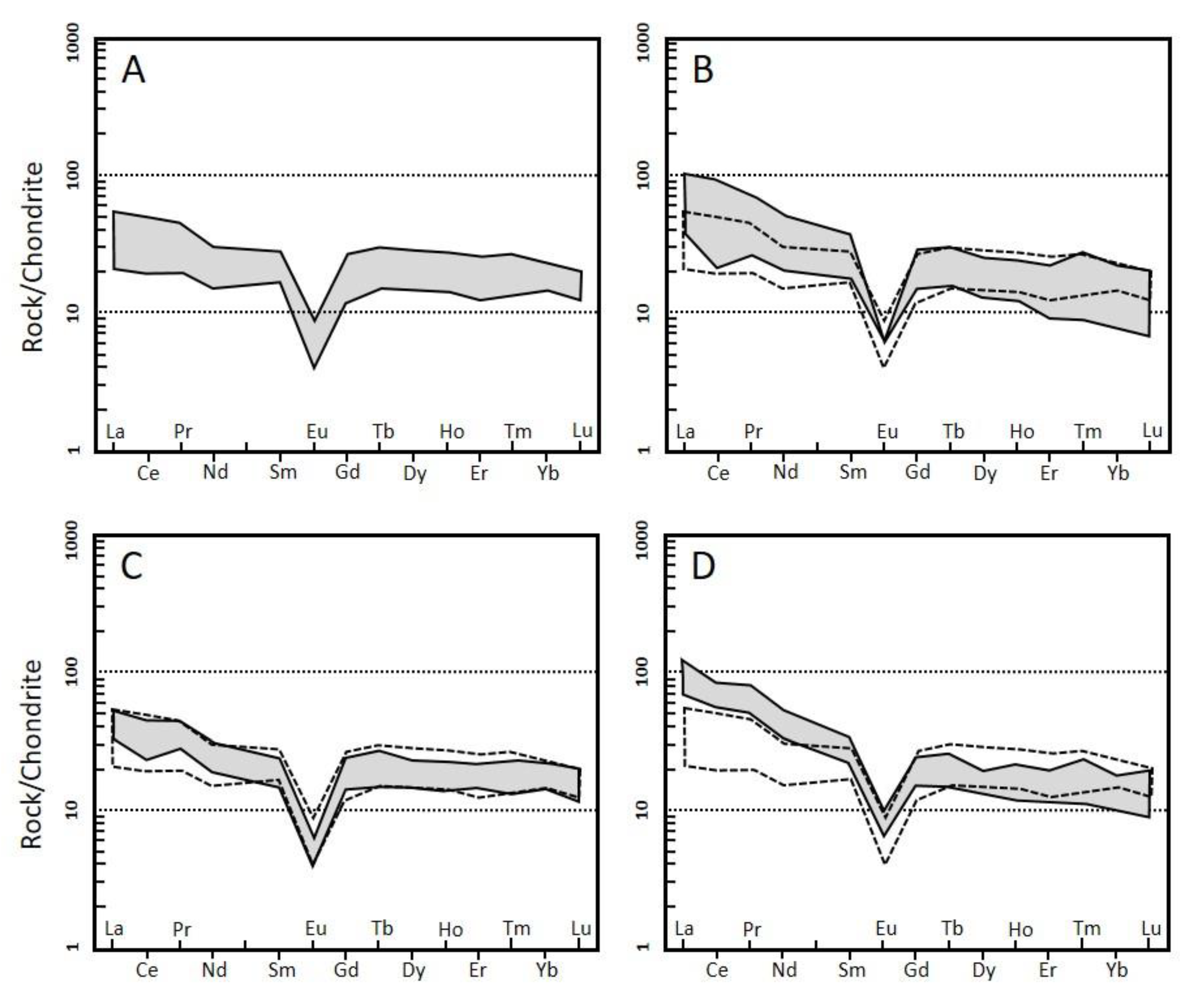
4.3. Trace Element Geochemistry
4.4. Nd Isotope Geochemistry
4.5. U–Pb Dating
5. Discussion
5.1. Geochemical Features and Nd Signatures of the EAVC Felsic Rocks
5.2. The EAVC Volcanic Architecture and U–Pb Dating
5.3. Basin Compartmentalization of the IPB
6. Conclusions
Author Contributions
Funding
Acknowledgments
Conflicts of Interest
Appendix A
| Pyrocl. breccia | Pyrocl. breccia | Pyrocl. breccia | Basic rock | Basic rock | Basic rock | Basic rock | Basic rock | Basic rock | Basic rock | Basic rock | Basic rock | Basic rock | Rhyol. | Rhyol. | Rhyol. | Rhyol. | Rhyol. | Rhyol. | Rhyol. | Rhyol. | Rhyol. | Rhyol. | Rhyol. | Rhyol. | Rhyol. | Rhyol. | Rhyol. | Rhyol. | Rhyol. | Rhyol. | |
|---|---|---|---|---|---|---|---|---|---|---|---|---|---|---|---|---|---|---|---|---|---|---|---|---|---|---|---|---|---|---|---|
| Sample | CV-647 | CV-662 | ISOD-12 | AQ-H | AQ-J | AQ-N | AQ-O | AQ-R | AQ-V | AQ-W | AQ-X | AQ-Y | AQ-Z1 | AQ-A | AQ-B | AQ-C | AQ-D | AQ-E | AQ-F | AQ-G | AQ-I | AQ-K | AQ-L | AQ-M | AQ-P | AQ-Q | AQ-S | AQ-T | AQ-U | AQ-Z | AQ-LL | 
| Major elements (%) | |||||||||||||||||||||||||||||||
| SiO2 | 78.01 | 73.64 | 75.50 | 47.07 | 48.65 | 47.23 | 48.86 | 49.39 | 47.18 | 47.22 | 46.01 | 47.45 | 46.41 | 81.00 | 78.77 | 79.69 | 83.46 | 83.18 | 79.90 | 78.17 | 78.88 | 82.78 | 78.12 | 78.40 | 75.09 | 80.37 | 78.54 | 80.48 | 79.26 | 80.11 | 78.39 | 
| TiO2 | 0.16 | 0.14 | 0.11 | 1.92 | 1.83 | 1.63 | 1.84 | 1.57 | 1.76 | 1.53 | 1.33 | 1.70 | 1.23 | 0.07 | 0.13 | 0.13 | 0.11 | 0.12 | 0.11 | 0.13 | 0.13 | 0.12 | 0.13 | 0.12 | 0.15 | 0.12 | 0.13 | 0.12 | 0.12 | 0.12 | 0.12 | 
| Al2O3 | 12.56 | 12.43 | 12.70 | 16.66 | 16.02 | 16.89 | 15.66 | 17.04 | 14.57 | 16.08 | 16.43 | 15.22 | 17.32 | 11.51 | 12.04 | 11.77 | 10.69 | 11.08 | 11.44 | 12.03 | 12.04 | 11.17 | 11.89 | 11.68 | 12.86 | 11.32 | 11.06 | 10.71 | 11.09 | 12.09 | 11.99 | 
| Fe2O3t | 1.30 | 1.98 | 1.97 | 10.71 | 10.85 | 10.59 | 10.90 | 9.66 | 12.75 | 11.06 | 11.76 | 12.17 | 9.72 | 0.67 | 1.04 | 0.97 | 0.51 | 0.34 | 0.48 | 0.69 | 0.66 | 0.54 | 1.01 | 1.23 | 1.58 | 1.08 | 1.62 | 0.63 | 0.84 | 0.70 | 0.87 | 
| MnO | 0.03 | 0.06 | −0.01 | 0.18 | 0.22 | 0.17 | 0.19 | 0.15 | 0.22 | 0.19 | 0.18 | 0.21 | 0.15 | −0.01 | −0.01 | −0.01 | −0.01 | −0.01 | −0.01 | −0.01 | −0.01 | −0.01 | −0.01 | 0.06 | 0.01 | −0.01 | 0.04 | −0.01 | −0.01 | −0.01 | 0.02 | 
| MgO | 0.48 | 0.75 | 0.83 | 7.03 | 5.60 | 7.73 | 6.16 | 6.53 | 8.40 | 7.87 | 7.55 | 7.91 | 9.20 | 0.68 | 0.27 | 0.25 | 0.34 | 0.20 | 0.20 | 0.29 | 0.25 | 0.27 | 0.21 | 0.19 | 0.35 | 0.30 | 0.24 | 0.22 | 0.29 | 0.33 | 0.26 | 
| CaO | 0.17 | 0.89 | 0.06 | 9.52 | 8.29 | 9.12 | 9.20 | 7.88 | 9.71 | 10.84 | 8.93 | 10.38 | 8.93 | 0.05 | 0.15 | 0.06 | 0.02 | 0.02 | 0.11 | 0.03 | 0.10 | −0.01 | 0.18 | 0.20 | 0.28 | 0.12 | 0.19 | 0.02 | 0.14 | 0.14 | 0.18 | 
| Na2O | 6.76 | 4.84 | −0.02 | 3.12 | 4.68 | 3.25 | 3.69 | 4.07 | 2.44 | 2.29 | 3.73 | 2.54 | 3.35 | 0.25 | 0.70 | 0.53 | 0.13 | 0.24 | 0.81 | 0.57 | 0.69 | 0.13 | 1.27 | 2.46 | 0.40 | 1.26 | 0.55 | 0.36 | 0.36 | 2.66 | 0.69 | 
| K2O | 0.04 | 1.64 | 4.27 | 0.73 | 0.40 | 0.80 | 0.48 | 0.90 | 0.21 | 0.40 | 0.06 | 0.35 | 0.28 | 4.09 | 5.93 | 5.24 | 3.14 | 2.86 | 6.44 | 7.31 | 5.92 | 3.20 | 5.98 | 4.58 | 8.14 | 4.07 | 6.85 | 6.34 | 7.13 | 2.38 | 6.26 | 
| P2O5 | 0.04 | 0.18 | 0.14 | 0.17 | 0.19 | 0.17 | 0.18 | 0.17 | 0.16 | 0.13 | 0.13 | 0.16 | 0.14 | 0.05 | 0.13 | 0.06 | 0.05 | 0.09 | 0.12 | 0.05 | 0.08 | 0.09 | 0.13 | 0.13 | 0.16 | 0.11 | 0.13 | 0.05 | 0.14 | 0.13 | 0.15 | 
| LOI | 0.85 | 2.01 | 2.58 | 2.95 | 3.55 | 2.65 | 2.25 | 2.85 | 2.10 | 2.25 | 3.70 | 2.05 | 3.90 | 1.65 | 0.95 | 1.40 | 1.65 | 1.95 | 0.46 | 0.85 | 1.30 | 1.80 | 1.10 | 0.70 | 1.10 | 1.30 | 0.65 | 1.05 | 0.70 | 1.35 | 1.05 | 
| Sum | 100.40 | 98.56 | 98.13 | 100.06 | 100.28 | 100.23 | 99.41 | 100.21 | 99.50 | 99.86 | 99.81 | 100.14 | 100.63 | 100.01 | 100.10 | 100.09 | 100.09 | 100.07 | 100.06 | 100.11 | 100.04 | 100.08 | 100.01 | 99.75 | 100.12 | 100.04 | 100.00 | 99.97 | 100.06 | 100.00 | 99.98 | 
| Trace element (ppm) | |||||||||||||||||||||||||||||||
| Rb | 1.5 | 122 | 197 | 30 | 9 | 34 | 11 | 29 | 7 | 9 | 2 | 13 | 7 | 144 | 220 | 211 | 150 | 133 | 199 | 205 | 187 | 144 | 231 | 161 | 186 | 148 | 252 | 202 | 246 | 121 | 227 | 
| Sr | 117 | 31.7 | 7.1 | 211 | 330 | 199 | 179 | 251 | 126 | 150 | 171 | 150 | 180 | 10.6 | 41.6 | 25.3 | 25.6 | 61.8 | 50.7 | 32.3 | 38.4 | 28 | 36.4 | 39 | 22.5 | 42.6 | 37.1 | 44.1 | 38.8 | 48.7 | 41.7 | 
| Ba | 37 | 154 | 337 | 115 | 143 | 80 | 131 | 187 | 71 | 56 | 61 | 110 | 100 | 476 | 583 | 429 | 265 | 292 | 548 | 528 | 911 | 199 | 450 | 517 | 710 | 720 | 1030 | 1440 | 593 | 443 | 487 | 
| Zr | 125 | 99 | 66 | 135 | 134 | 142 | 127 | 129 | 101 | 82 | 73 | 92 | 99 | 70 | 102 | 96 | 83 | 98 | 99 | 109 | 100 | 85 | 102 | 100 | 124 | 89 | 102 | 96 | 99 | 98 | 106 | 
| Y | 56 | 53 | 22.8 | 36 | 38 | 36 | 35 | 34 | 34 | 30 | 19 | 31 | 23 | 32 | 58 | 36 | 36 | 49 | 36 | 53 | 42 | 50 | 39 | 40 | 48 | 32 | 40 | 27 | 39 | 50 | 45 | 
| Nb | 6.7 | 7.7 | 6 | −2 | 3 | 3 | 2 | 4 | 5 | 3 | 5 | 3 | 2 | 8 | 10 | 10 | 10 | 8 | 10 | 10 | 10 | 8 | 11 | 10 | 8 | 9 | 11 | 9 | 10 | 10 | 9 | 
| Sc | 5 | 9 | 6 | 34.4 | 39 | 31.4 | 41.9 | 33.2 | 42.7 | 38.4 | 28.8 | 40.7 | 25.2 | 4.6 | 6.6 | 6.5 | 5.3 | 4.2 | 5.9 | 5.1 | 5 | 5.2 | 6.6 | 6.5 | 7.2 | 5.6 | 6.5 | 5.2 | 5.8 | 7.2 | 3.6 | 
| V | 11 | 9 | 19 | 257 | 278 | 212 | 296 | 235 | 312 | 278 | 220 | 301 | 185 | 4 | 4 | 4 | 3 | 3 | 4 | 4 | 3 | 4 | 5 | 5 | 6 | 4 | 7 | 5 | 5 | 6 | 5 | 
| Cr | 27 | 10 | 100 | 317 | 334 | 271 | 219 | 279 | 191 | 257 | 242 | 242 | 346 | 86 | 146 | 116 | 146 | 168 | 232 | 226 | 229 | 159 | 161 | 266 | 240 | 110 | 202 | 166 | 177 | 150 | 230 | 
| Co | 1.4 | 0.5 | 0.8 | 31 | 31 | 33 | 29 | 27 | 41 | 37 | 40 | 37 | 35 | 2 | 1 | −1 | −1 | −1 | −1 | −1 | −1 | −1 | 1 | 2 | 3 | −1 | 3 | −1 | −1 | −1 | 1 | 
| Ni | −10 | −10 | −5 | 100 | 59 | 109 | 31 | 57 | 91 | 82 | 119 | 73 | 143 | 4 | 4 | 3 | 2 | 3 | 19 | 10 | 4 | 4 | 3 | 6 | 5 | 3 | 9 | 4 | 4 | 3 | 5 | 
| Li | nd | nd | 10 | 53 | 21 | 47 | 13 | 23 | 39 | 24 | 50 | 35 | 24 | 8 | 13 | 15 | 7 | 6 | 5 | 10 | 7 | 4 | 18 | 14 | 10 | 12 | 11 | 6 | 12 | 6 | 10 | 
| Cu | −10 | −10 | 12 | 52.3 | 38.7 | 69.1 | 44 | 31 | 62.5 | 52.2 | 82.1 | 58.4 | 37.1 | 10.8 | 5.9 | 4.7 | 3.2 | 4.6 | 4.1 | 6.8 | 4.5 | 2.9 | 2.6 | 5.2 | 7.2 | 2.9 | 5.3 | 3.9 | 3.5 | 3.4 | 6.1 | 
| Hf | 4.1 | 3.4 | 3 | 2 | 3 | 1 | 3 | 1 | 2 | 3 | 2 | 2 | 2 | −1 | −1 | 2 | 1 | 3 | 2 | 2 | 2 | 2 | −1 | 1 | −1 | 1 | 2 | 2 | 1 | −1 | −1 | 
| Ta | 0.78 | 0.65 | 0.6 | −1 | 4 | 1 | 2 | 1 | 1 | −1 | −1 | −1 | −1 | −1 | −1 | −1 | −1 | −1 | 1 | 1 | −1 | −1 | 2 | 1 | 2 | −1 | −1 | −1 | −1 | −1 | −1 | 
| Pb | 8 | 124 | −5 | 18 | 13 | 11 | 11 | 12 | 12 | 11 | 18 | 13 | 14 | 11 | 23 | 24 | 17 | 18 | 19 | 13 | 18 | 17 | 20 | 22 | 31 | 16 | 30 | 52 | 22 | 15 | 26 | 
| Th | 23.7 | 13.4 | 5.6 | 1.8 | 0.5 | 1.9 | 1.5 | −0.5 | −0.5 | −0.5 | −0.5 | 0.6 | 4 | 10.4 | 16.5 | 15.6 | 14 | 13 | 16.7 | 20.7 | 13.4 | 12.9 | 14.4 | 9.7 | 17.2 | 10.5 | 12.3 | 14 | 13.4 | 5.4 | 15.5 | 
| U | 7.29 | 6.63 | 3.45 | 2.5 | 1.8 | −0.5 | 1.6 | 1.1 | 0.6 | −0.5 | −0.5 | 1 | 1 | 3.1 | 2.1 | 4.7 | 2.5 | 6.8 | 4.4 | 5.4 | 2.2 | 2.4 | 2.3 | 2.5 | 5.7 | 2.4 | 2.5 | 4.4 | 3.8 | 3.5 | 4.5 | 
| La | 34.9 | 15.5 | 12.6 | 6.7 | 10.4 | 6.6 | 9 | 9.3 | 7.2 | 6.6 | 7 | 6.7 | 6.8 | 6.9 | 13.7 | 14.9 | 14 | 13.5 | 13.7 | 14.9 | 15.6 | 13.8 | 16.5 | 13.2 | 17.8 | 13.5 | 14.1 | 12.2 | 14.1 | 14 | 14 | 
| Ce | 80 | 38.2 | 18.5 | 19.6 | 26.8 | 19.4 | 22.7 | 23.4 | 18.5 | 16.6 | 16.1 | 16.9 | 16.6 | 16.6 | 32.1 | 35.5 | 33.3 | 33 | 33.4 | 36.1 | 37 | 32.8 | 40.2 | 31.7 | 42.7 | 30.6 | 33.2 | 27.8 | 33.7 | 32.1 | 33 | 
| Pr | 8.18 | 4.26 | 2.96 | 3 | 3.7 | 3 | 3.2 | 3.4 | 2.7 | 2.4 | 2.2 | 2.6 | 2.4 | 2.2 | 3.8 | 4.3 | 3.9 | 3.9 | 3.9 | 4.2 | 4.4 | 3.9 | 4.8 | 3.7 | 5 | 3.6 | 3.9 | 3.2 | 3.9 | 3.9 | 3.8 | 
| Nd | 32.7 | 15.5 | 12.8 | 16.2 | 18.5 | 16.4 | 16.2 | 16.4 | 13.9 | 12.8 | 10.5 | 13.4 | 11.4 | 9.6 | 15.1 | 16.3 | 15.4 | 16.1 | 16 | 16 | 17 | 15.3 | 18.1 | 14.8 | 19.2 | 13.8 | 15.5 | 11.5 | 15.5 | 15.5 | 15.6 | 
| Sm | 7.53 | 5.01 | 3.6 | 5.1 | 5.4 | 4.9 | 4.9 | 4.8 | 4.6 | 3.8 | 2.8 | 4 | 3.3 | 3.8 | 5.5 | 4.9 | 3.9 | 5.1 | 4.8 | 5.4 | 4.6 | 4.3 | 4.8 | 4.6 | 5.6 | 3.9 | 4.8 | 3.3 | 4.3 | 5.1 | 4.7 | 
| Eu | 0.47 | 0.48 | 0.48 | 1.78 | 1.81 | 1.69 | 1.53 | 1.45 | 1.53 | 1.56 | 1.1 | 1.49 | 1.27 | 0.31 | 0.67 | 0.46 | 0.37 | 0.63 | 0.5 | 0.64 | 0.58 | 0.51 | 0.53 | 0.47 | 0.59 | 0.4 | 0.52 | 0.51 | 0.58 | 0.47 | 0.43 | 
| Gd | 8.08 | 5.6 | 4.17 | 6.2 | 6.7 | 5.8 | 5.9 | 5.6 | 5.4 | 4.8 | 3.4 | 5.3 | 4 | 4.4 | 7.3 | 5.1 | 4.1 | 6.2 | 4.9 | 6.9 | 5.2 | 6 | 5.3 | 5 | 6.2 | 4.2 | 5.1 | 3.3 | 4.7 | 6.1 | 5.4 | 
| Tb | 1.43 | 1.17 | 0.75 | 1 | 1 | 0.9 | 0.9 | 0.9 | 0.9 | 0.8 | 0.6 | 0.9 | 0.6 | 0.9 | 1.4 | 1 | 0.8 | 1.2 | 1 | 1.4 | 1.1 | 1.3 | 1 | 1 | 1.2 | 0.8 | 1 | 0.7 | 0.9 | 1.2 | 1.1 | 
| Dy | 8.68 | 8.01 | 4.37 | 6.6 | 7.1 | 6.6 | 6.6 | 6.5 | 6.2 | 5.6 | 3.7 | 5.7 | 4.2 | 6 | 9.5 | 6.7 | 5.5 | 8.4 | 6.6 | 9.6 | 7.5 | 9.4 | 7.1 | 6.8 | 8.2 | 5.8 | 6.8 | 5 | 7 | 8.5 | 8.2 | 
| Ho | 1.71 | 1.69 | 0.86 | 1.35 | 1.43 | 1.33 | 1.32 | 1.25 | 1.23 | 1.16 | 0.72 | 1.22 | 0.83 | 1.12 | 1.9 | 1.39 | 1.23 | 1.62 | 1.33 | 1.89 | 1.56 | 1.78 | 1.42 | 1.39 | 1.78 | 1.13 | 1.36 | 1 | 1.45 | 1.67 | 1.64 | 
| Er | 5.02 | 4.64 | 2.09 | 4.1 | 4.1 | 4.1 | 3.9 | 3.9 | 3.7 | 3.3 | 2.1 | 3.6 | 2.7 | 3.5 | 5.8 | 4 | 4.4 | 4.9 | 4.1 | 5.7 | 4.8 | 5 | 4.3 | 4.2 | 5.3 | 3.6 | 4.4 | 2.8 | 4.3 | 4.9 | 4.9 | 
| Tm | 0.83 | 0.75 | 0.27 | 0.6 | 0.5 | 0.6 | 0.5 | 0.5 | 0.5 | 0.4 | 0.3 | 0.5 | 0.3 | 0.5 | 0.8 | 0.6 | 0.6 | 0.7 | 0.6 | 0.8 | 0.6 | 0.7 | 0.6 | 0.6 | 0.8 | 0.5 | 0.6 | 0.4 | 0.6 | 0.7 | 0.7 | 
| Yb | 4.83 | 4.95 | 1.7 | 3.8 | 3.8 | 3.8 | 3.9 | 3.4 | 3.4 | 3.1 | 1.8 | 3.1 | 2.3 | 3.3 | 5 | 4.2 | 4.4 | 4.8 | 4.2 | 5.1 | 4.5 | 4.6 | 4.1 | 4.2 | 5.1 | 3.7 | 4.1 | 3.2 | 4.2 | 4.7 | 4.7 | 
| Lu | 0.67 | 0.7 | 0.23 | 0.51 | 0.52 | 0.5 | 0.47 | 0.48 | 0.42 | 0.45 | 0.23 | 0.46 | 0.37 | 0.43 | 0.65 | 0.53 | 0.56 | 0.61 | 0.5 | 0.64 | 0.55 | 0.61 | 0.5 | 0.51 | 0.61 | 0.45 | 0.63 | 0.43 | 0.58 | 0.68 | 0.68 | 
| Ga | 16 | 18 | 19 | 20 | 22 | 19 | 17 | 17 | 21 | 20 | 19 | 20 | 16 | 20 | 17 | 17 | 17 | 16 | 16 | 16 | 16 | 16 | 17 | 16 | 19 | 17 | 16 | 13 | 18 | 17 | 16 | 
| Tl | 0.13 | 0.55 | 0.6 | 0.2 | −0.1 | 0.2 | −0.1 | 0.2 | 0.1 | 0.1 | −0.1 | −0.1 | −0.1 | 0.5 | 0.9 | 1 | 0.6 | 0.8 | 1.1 | 0.9 | 1.1 | 0.6 | 1.1 | 0.8 | 0.8 | 0.8 | 1.9 | 1.8 | 1.3 | 0.6 | 1.1 | 
Appendix B
| Laboratory Number | Fraction | Weight (mg)  | U (ppm)  | Pb* (pg)  | PbC (pg)  | Th/U | Atomic Ratios | Age (Ma) | |||||||||||
|---|---|---|---|---|---|---|---|---|---|---|---|---|---|---|---|---|---|---|---|
| 206Pb/204Pb | 206Pb/238U | ±2σ | 207Pb/235U | ±2σ | 207Pb/206Pb | ±2σ | 206Pb/238U | ±2σ | 207Pb/235U | ±2σ | 207Pb/206Pb | ±2σ | |||||||
| ISOD-11 Rhyolite (El Almendro–Villanueva de los Castillejos area) Location (7°15′45.46″ O; 37°30′46.58″ N) | |||||||||||||||||||
| MAH7208 | Z1 | 1.4 | 183 | 15.3 | 0.26 | 0.55 | 3574 | 0.05645 | 0.00011 | 0.41773 | 0.00176 | 0.053668 | 0.000179 | 354.0 | 0.7 | 354.4 | 1.3 | 357.2 | 7.5 | 
| MAH7209 | Z2 | 0.8 | 249 | 10.0 | 0.13 | 0.18 | 5233 | 0.05623 | 0.00011 | 0.41630 | 0.00145 | 0.053692 | 0.000135 | 352.7 | 0.7 | 353.4 | 1.0 | 358.1 | 5.7 | 
| MAH7210 | Z3 | 0.8 | 32 | 2.7 | 0.12 | 3.12 | 830 | 0.05680 | 0.00027 | 0.43183 | 0.00684 | 0.055134 | 0.000781 | 356.2 | 1.6 | 364.5 | 4.9 | 417.7 | 31.7 | 
| MAH8011 | Z4 | 0.4 | 473 | 10.9 | 0.60 | 0.22 | 1216 | 0.05542 | 0.00011 | 0.41039 | 0.00417 | 0.053706 | 0.000498 | 347.7 | 0.7 | 349.2 | 3.0 | 358.8 | 21.0 | 
| MAH8012 | Z5 | 0.3 | 278 | 4.9 | 0.39 | 0.17 | 864 | 0.05653 | 0.00013 | 0.41808 | 0.00593 | 0.053635 | 0.000702 | 354.5 | 0.8 | 354.7 | 4.3 | 355.8 | 29.7 | 
| ISOD-12 Pyroclastic breccia (El Almendro–Villanueva de los Castillejos area) Location (7°16′11.53″ O; 37°30′34.09″ N) | |||||||||||||||||||
| MAH7174b | Z1 | 1.7 | 414 | 37.2 | 1.01 | 0.20 | 2469 | 0.05668 | 0.00014 | 0.41940 | 0.00239 | 0.053664 | 0.000252 | 355.4 | 0.9 | 355.6 | 1.7 | 357.0 | 10.6 | 
| MAH7175 | Z2 | 0.6 | 419 | 14.2 | 0.50 | 0.11 | 1957 | 0.05672 | 0.00011 | 0.42173 | 0.00278 | 0.053928 | 0.000312 | 355.6 | 0.7 | 357.3 | 2.0 | 368.1 | 13.0 | 
| MAH7176 | Z3 | 1.1 | 125 | 14.3 | 0.48 | 3.50 | 1051 | 0.05674 | 0.00012 | 0.42119 | 0.00500 | 0.053839 | 0.000587 | 355.8 | 0.7 | 356.9 | 3.6 | 364.3 | 24.7 | 
| Rock Type | Location | Sample | Sm (ppm) | Nd (ppm) | 147Sm/144Nd | 143Nd/144Nd (±)(Measured) | εNd (age) | TDM (Ma) | 
|---|---|---|---|---|---|---|---|---|
| Rhyolite | 7°15′45.46″ O; 37°30′46.58″ N | ISOD-11 | 4.62 | 15.8 | 0.1769 | 0.512356 (7) | −4.6 | 3273 | 
| Pyroclastic breccia  | 7°16′11.53″ O; 37°30′34.09″ N | ISOD-12 | 4.72 | 17.2 | 0.1655 | 0.512342 (7) | −4.4 | 2547 | 
References
- Allen, R.L.; Weihed, P.; Blundell, D.; Crawford, T.; Davidson, G.; Galley, A.; Gibson, H.; Hannington, M.; Herzig, P.; Large, R.; et al. Global comparisons of volcanic-hosted massive sulphide districts. In The Timing and Location of Major Ore Deposits in An Evolving Orogen; Blundel, D., Neubauer, F., von Quadt, A., Eds.; The Geological Society: London, UK, 2002; pp. 13–37. [Google Scholar]
 - Piercey, S.J. Lithogeochemistry of Volcanic Rocks Associated with Volcanogenic Massive Sulphide Deposits and Applications to Exploration. In Submarine Volcanism and Mineralization: Modern through Ancient; Cousens, B., Piercey, S.J., Eds.; Geological Association of Canada: St. John’s, NL, Canada, 2009; pp. 15–40. [Google Scholar]
 - Barrie, C.T.; Hannington, M.D. Classification of volcanic-associated massive sulfide deposits based on host-rock composition. In Volcanic-Associated Massive Sulfide Deposits—Processes and Examples in Modern and Ancient Settings; Barrie, C.T., Hannington, M.D., Eds.; Reviews in Economic Geology: Litleton, CO, USA, 1999; Volume 8, pp. 1–11. [Google Scholar]
 - Leistel, J.M.; Marcoux, E.; Thiéblemont, E.; Quesada, C.; Sánchez, A.; Almodóvar, G.R.; Pascual, E.; Saez, R. The volcanic-hosted massive sulphide deposits of the Iberian Pyrite Belt. Miner. Depos. 1998, 33, 2–30. [Google Scholar] [CrossRef]
 - Saez, R.; Pascual, E.; Toscano, M.; Almodovar, G.R. The Iberian type of volcano-sedimentary massive sulphide deposits. Miner. Depos. 1999, 5–6, 549–570. [Google Scholar] [CrossRef]
 - Tornos, F. Environment of formation and styles of volcanogenic massive sulfides: The Iberian Pyrite Belt. Ore Geol. Rev. 2006, 28, 259–307. [Google Scholar] [CrossRef]
 - Lesher, C.M.; Goodwin, A.M.; Campbell, I.H.; Gorton, M.P. Trace-element geochemistry of ore-associated and barren, felsic metavolcanic rocks in the Superior province, Canada. Can. J. Earth Sci. 1986, 23, 222–237. [Google Scholar] [CrossRef]
 - Barrie, C.T.; Ludden, J.N.; Green, T.H. Geochemistry of volcanic rocks associated with Cu-Zn and Ni-Cu deposits in the Abitibi Subprovince. Econ. Geol. 1993, 88, 1341–1358. [Google Scholar] [CrossRef]
 - Lentz, D.R. Petrogenetic evolution of felsic volcanic sequences associated with Phanerozoic volcanic-hosted massive sulphide systems: The role of extensional geodynamics. Ore Geol. Rev. 1998, 12, 289–327. [Google Scholar] [CrossRef]
 - Hart, T.R.; Gibson, H.L.; Lesher, M. Trace element geochemistry and petrogenesis of felsic volcanic rocks associated with volcanogenic massive Cu-Zn-Pb sulfide deposits. Econ. Geol. 2004, 99, 1003–1013. [Google Scholar] [CrossRef]
 - Piercey, S.J.; Peter, J.M.; Mortensen, J.K.; Paradis, S.; Murphy, D.C.; Tucker, T.L. Petrology and U-Pb geochronology of footwall porphyritic rhyolites from the Wolverine volcanogenic massive sulfide deposit, Yukon, Canada: Implications for the genesis of massive sulfide deposits in continental margin environments. Econ. Geol. 2008, 103, 5–33. [Google Scholar] [CrossRef]
 - Valenzuela, A.; Donaire, T.; Pin, C.; Toscano, M.; Hamilton, M.; Pascual, E. Geochemistry and U-Pb dating of felsic volcanic rocks in the Riotinto-Nerva unit, Iberian Pyrite Belt, Spain: Crustal thinning, progressive crustal melting and massive sulphide genesis. J. Geol. Soc. 2011, 168, 717–731. [Google Scholar] [CrossRef]
 - Codeço, M.S.; Mateus, A.; Figueiras, J.; Rodrigues, P.; Gonçalves, L. Development of the Ervidel-Roxo and Figueirinha-Albernoa volcanic sequences in the Iberian Pyrite Belt, Portugal: Metallogenic and geodynamic implications. Ore Geol. Rev. 2018, 98, 80–108. [Google Scholar] [CrossRef]
 - Donaire, T.; Pascual, E.; Saez, R.; Pin, C.; Hamilton, M.A.; Toscano, M. Geochemical and Nd isotopic signature of felsic volcanic rocks as a proxy of volcanic-hosted massive sulphide deposits in the Iberian Pyrite Belt (SW, Spain): The Paymogo Volcano-Sedimentary Alignment. Ore Geol. Rev. 2020, 120, 103408. [Google Scholar] [CrossRef]
 - Horikoshi, E. Volcanic activity related to the formation of the Kuroko-type deposits in the Kosaka district, Japan. Miner. Depos. 1969, 4, 321–345. [Google Scholar] [CrossRef]
 - Cas, R.A.F. Submarine volcanism: Eruption styles, products, and relevance to understanding the host-rock successions to volcanic-hosted massive sulfide deposits. Econ. Geol. 1992, 87, 511–541. [Google Scholar] [CrossRef]
 - Gibson, H.L.; Morton, R.L.; Hudak, G.J. Submarine volcanic processes, deposits, and environments favorable for the location of volcanic associated massive sulfide deposits. In Volcanic-Associated Massive Sulfide Deposits: Processes and Examples in Modern and Ancient Settings; Barrie, C.T., Hannington, M.D., Eds.; Reviews in Economic Geology; Society of Economic Geologists: Littleton, CO, USA, 1999; Volume 8, pp. 13–51. [Google Scholar]
 - Soriano, C.; Marti, J. Facies analysis of volcano-sedimentary successions hosting massive sulphide deposits in the Iberian Pyrite Belt, Spain. Econ. Geol. 1999, 94, 867–882. [Google Scholar] [CrossRef]
 - Allen, R.L.; Weihed, P.; Svenson, S. Setting of Zn–Cu–Au–Ag massive sulfide deposits in the evolution and facies architecture of a 1.9 Ga marine volcanic arc, Skellefte District, Sweden. Econ. Geol. 1997, 91, 1022–1053. [Google Scholar] [CrossRef] [Green Version]
 - McPhie, J.; Allen, R.L. Submarine, silicic, syn-eruptive pyroclastic units in the Mount Read Volcanics, western Tasmania: Influence of vent setting and proximity on lithofacies characteristics. In Explosive Subaqueous Volcanism; White, J., Smellie, J.L., Clague, D.A., Eds.; Geophysical Monograph Series; AGU: Washington, DC, USA, 2003; Volume 140, pp. 245–258. [Google Scholar]
 - Valenzuela, A.; Donaire, T.; González-Roldán, M.; Toscano, M.; Pascual, E. Volcanic architecture in the Odiel river area and the volcanic environment in the Riotinto-Nerva Unit, Iberian Pyrite Belt, Spain. J. Volcanol. Geotherm. Res. 2011, 202, 29–46. [Google Scholar] [CrossRef]
 - Donaire, T.; Pascual, E.; Saez, R.; Toscano, M. Facies architecture and palaeoenvironmental constraints of subaqueous felsic volcanism in the Iberian Pyrite Belt: The Paymogo Volcano-Sedimentary Alignment. J. Volcanol. Geotherm. Res. 2020, 405, 107045. [Google Scholar] [CrossRef]
 - Schermerhorn, L.J.G. An outline stratigraphy of the Iberian Pyrite Belt. Bol. Geol. Min. España 1971, 82, 23–52. [Google Scholar]
 - Moreno, C.; Sierra, S.; Saez, R. Evidence for catastrophism at the Famennian-Dinantian boundary in the Iberian Pyrite Belt. In Recent Advances in Lower Carboniferous Geology; Strogen, P., Sommerville, I.D., Jones, G.L., Eds.; Geological Society Special Publication: London, UK, 1997; Volume 107, pp. 153–162. [Google Scholar]
 - Boogaard, M.V.D.; Schermerhorn, L.J.G. Conodont faunas from Portugal and southwestern Spain. Part 4: Famennian conodont fauna near Nerva (Rio Tinto). Scripta. Geol. 1980, 56, 1–14. [Google Scholar]
 - Routhier, P.; Aye, F.; Boyer, C.; Lecolle, M.; Moliere, P.; Picot, P.; Roger, G. La ceinture sud-iberique a amas sulfures dans sa partie espagnole mediane. Tableau geologique et metallogenique. Synthese sur le type amas sulfures volcano-sedimentaires. Mémories BRGM 1978, 94, 266. [Google Scholar]
 - Munhá, J.; Kerrich, R. Sea water-basalt interaction in spilites from the Iberian Pyrite Belt. Contrib. Mineral. Petrol. 1980, 73, 191–200. [Google Scholar] [CrossRef]
 - Mitjavila, J.; Martí, J.; Soriano, C. Magmatic evolution and tectonic setting of the Iberian Pyrite Belt volcanism. J. Petrol. 1997, 38, 727–755. [Google Scholar] [CrossRef]
 - Thiéblemont, D.; Pascual, E.; Stein, G. Magmatism in the Iberian Pyrite Belt: Petrological constraints on a metallogenetic model. Miner. Depos. 1998, 33, 98–110. [Google Scholar] [CrossRef]
 - Rosa, C.J.P.; McPhie, J.; Relvas, J.M.R.S. Type of volcanoes hosting the massive sulfide deposits of the Iberian Pyrite Belt. J. Volcanol. Geotherm. Res. 2010, 194, 107–126. [Google Scholar] [CrossRef]
 - Rosa, C.J.P.; McPhie, J.; Relvas, J.M.R.S.; Pereira, Z.; Oliveira, T.; Pacheco, N. Facies analyses and volcanic setting of the giant Neves Corvo massive sulfide deposit, Iberian Pyrite Belt, Portugal. Miner. Depos. 2008, 43, 449–466. [Google Scholar] [CrossRef]
 - Pereira, Z.; Saez, R.; Pons, J.M.; Oliveira, J.T.; Moreno, C. Edad devónica (Struniense) de las mineralizaciones de Aznalcóllar (Faja Pirítica Ibérica) en base a palinología. Geogaceta 1996, 20, 1609–1612. [Google Scholar]
 - González, F.; Playford, G.; Moreno, C. Upper Devonian biostratigraphy of the Iberian Pyrite Belt, southwest Spain. Part One: Miospores. Palaeontogr. Abt. 2005, 273, 1–51. [Google Scholar] [CrossRef]
 - Barrie, C.T.; Amelin, Y.; Pascual, E. U–Pb geochronology of VMS mineralisation in the Iberian Pyrite Belt. Miner. Depos. 2002, 37, 684–703. [Google Scholar] [CrossRef]
 - Silva, J.B.; Oliveira, J.T.; Ribeiro, A. Structural outline. South Portuguese Zone. In Pre-Mesozoic Geology of Iberia; Dallmeyer, R.D., Martinez Garcia, E., Eds.; Springer: Berlin, Germany, 1990; pp. 348–363. [Google Scholar]
 - Oliveira, J.T. South Portuguese Zone: Introduction. Stratigraphy and synsedimentary tectonism. In PreMesozoic Geology of Iberia; Dallmeyer, R.D., Martinez García, E., Eds.; Springer: Berlin, Germany, 1990; pp. 333–347. [Google Scholar]
 - Moreno, C. Las facies Culm del Anticlinorio de Puebla de Guzmán (Huelva). Unpublished Ph.D. Thesis, University of Granada, Granada, Spain, 1986; 370p. [Google Scholar]
 - Mantero, E.M.; García Navarro, E.; Alonso-Chaves, F.M.; Martín Parra, L.M.; Matas, J.; Azor, J. La Zona Sudportuguesa: Propuesta para la división de un bloque continental en dominios. Geogaceta 2007, 43, 27–30. [Google Scholar]
 - Mantero, E.M.; Alonso-Chaves, F.M.; García-Navarro, E.; Azor, A. Tectonic style and structural analysis of the Puebla de Guzmán Antiform (Iberian Pyrite Belt, South Portuguese Zone, SW Spain). Geol. Soc. Lond. 2011, 349, 203–222. [Google Scholar] [CrossRef]
 - Rosa, C.J.P. Facies architecture of the Volcanic Sedimentary Complex of the Iberian Pyrite Belt, Portugal and Spain. Unpublished Ph.D. Thesis, University of Tasmania, Hobart, Australia, 2007; 357p. [Google Scholar]
 - Valenzuela, A.; Donaire, T.; Pascual, E. The Villanueva de los Castillejos section. In Field Trip Guide “The Geology of the Volcanic-Hosted Massive Sulphide of the Iberian Pyrite Belt” GEODE–Global Comparison Massive Sulphide Project; Tornos, F., Relvas, J.M.R.S., Almodóvar, G., Eds.; Aracena, Huelva, Spain, 2003; pp. 40–42. [Google Scholar]
 - Macías-Gutiérrez, G. Petrografía del Complejo Vulcano-Sedimentario en el sector de El Almendro-Villanueva de Los Castillejos (Faja Pirítica Ibérica). Unpublished BSc. Thesis, University of Huelva, Huelva, Spain, 2019; 41p. [Google Scholar]
 - McPhie, J.; Doyle, M.; Allen, R.L. Volcanic Textures: A Guide to the Interpretation of Textures in Volcanic Rocks; Centre for Ore Deposit and Exploration Studies, University of Tasmania: Hobart, Australia, 1993; 196p. [Google Scholar]
 - Ludwig, K.R. User´s Manual for Isoplot 3.00 a Geochronological Toolkit for Microsoft Excel; Special Publication Berkeley Geochronology Center: Berkeley, CA, USA, 2003; Volume 4, p. 74. [Google Scholar]
 - Pin, C.; Binon, M.; Belin, J.M.; Barbarin, B.; Clemens, J.D. Origin of microgranular enclaves in granitoids: Equivocal Sr-Nd evidence from Hercynian rocks in the Massif Central (France). J. Geophys. Res. 1990, 95, 17821–17828. [Google Scholar] [CrossRef]
 - Jacobsen, S.B.; Wasserburg, G.J. A two-reservoir recycling model for mantle-crustal evolution. Geophysics 1980, 77, 6298–6302. [Google Scholar]
 - Depaolo, D.J. Implication of correlated Nd and Sr isotopic variations for the chemical evolution of the crust and mantle. Earth Planet. Sci. Lett. 1979, 43, 201–211. [Google Scholar] [CrossRef]
 - Junta de Andalucía. Project: Investigación Geológica y Cartografía Básica en la Faja Pirítica y Áreas Aledañas; Junta de Andalucía & Instituto Geológico y Minero de España: Madrid, Spain, 1999.
 - Simancas, J.F. Geología de la extremidad oriental de la zona sudportuguesa. Unpublished Ph.D. Thesis, University of Granada, Granada, Spain, 1983; 439p. [Google Scholar]
 - Sáez, R.; Almodóvar, G.R.; Pascual, E. Geological constraints on massive sulphide genesis in the Iberian Pyrite Belt. Ore Geol. Rev. 1996, 11, 429–451. [Google Scholar] [CrossRef]
 - Winchester, J.A.; Floyd, P.A. Geochemical discrimination of different magma series and their differentiation products using immobile elements. J. Chem. Geol. 1977, 20, 325–343. [Google Scholar] [CrossRef] [Green Version]
 - Sun, S.S.; McDonough, W.F. Chemical and isotopic systematics of oceanic basalts; implications for mantle composition and processes. In Magmatism in the Ocean Basins; Saunders, A.D., Norry, M.J., Eds.; Geological Society of London: London, UK, 1989; Volume 42, pp. 313–345. [Google Scholar]
 - Nakamura, N. Determination of REE, Ba, Fe, Mg, Na, and K in carbonaceous and ordinary chondrites. Geochim. Cosmochim. Acta 1974, 38, 757–775. [Google Scholar] [CrossRef]
 - Tornos, F.; Clavijo, E.G.; Spiro, B. The Filon Norte orebody (Tharsis, Iberian Pyrite Belt): A proximal low-temperature shale-hosted massive sulphide in a thin-skinned tectonic belt. Miner. Depos. 1998, 33, 150–169. [Google Scholar] [CrossRef]
 - Simancas, J.F.; Carbonell, R.; González Lodeiro, F.; Pérez Estaún, A.; Juhlin, C.; Ayarza, P.; Kashubin, A.; Azor, A.; Martínez Poyatos, D.; Almodóvar, G.R.; et al. Crustal structure of the transpressional Variscan orogen of SW Iberia: SW Iberia deep seismic reflection profile (IBERSEIS). Tectonics 2006, 22, 1062. [Google Scholar] [CrossRef]
 - Almodóvar, G.R.; Sáez, R.; Pons, J.; Maestre, A.; Toscano, M.; Pascual, E. Geology and genesis of the Aznalcóllar ore deposits, Iberian Pyrite Belt, Spain. Miner. Dep. 1998, 33, 111–136. [Google Scholar]
 - Boulter, C.A.; Soriano, C.; Zimman, P. The Iberian Pyrite Belt: A mineralized system dismembered by voluminous high-level sills. Terra Nova 2001, 13, 99–104. [Google Scholar] [CrossRef]
 - Donaire, T.; Sáez, R.; Pascual, E. Rhyolitic globular peperites from the Aznalcóllar mining district (Iberian Pyrite Belt, Spain): Physical and chemical controls. J. Volcanol. Geotherm. Res. 2002, 114, 119–128. [Google Scholar] [CrossRef]
 - Cathles, L.M. An analysis of the hydrothermal system responsible for massive sulfide deposition in the Hokuroku basin of Japan. Econ. Geol. Mon. 1983, 5, 439–487. [Google Scholar]
 - Cathles, L.M.; Erendi, A.H.J.; Barrie, C.T. How long can a hydrothermal system be sustained by a single intrusive event? Econ. Geol. 1997, 92, 766–771. [Google Scholar] [CrossRef]
 - Jaffey, A.H.; Flynn, K.F.; Glendenin, L.F.; Bentley, W.C.; Easling, A.M. Precision measurements of half-lives and specific activities of 235U and 238U. Phys. Rev. C 1971, 4, 1889–1906. [Google Scholar] [CrossRef]
 










Publisher’s Note: MDPI stays neutral with regard to jurisdictional claims in published maps and institutional affiliations.  | 
© 2021 by the authors. Licensee MDPI, Basel, Switzerland. This article is an open access article distributed under the terms and conditions of the Creative Commons Attribution (CC BY) license (https://creativecommons.org/licenses/by/4.0/).
Share and Cite
Pascual, E.; Donaire, T.; Toscano, M.; Macías, G.; Pin, C.; Hamilton, M.A. Geochemical and Volcanological Criteria in Assessing the Links between Volcanism and VMS Deposits: A Case on the Iberian Pyrite Belt, Spain. Minerals 2021, 11, 826. https://doi.org/10.3390/min11080826
Pascual E, Donaire T, Toscano M, Macías G, Pin C, Hamilton MA. Geochemical and Volcanological Criteria in Assessing the Links between Volcanism and VMS Deposits: A Case on the Iberian Pyrite Belt, Spain. Minerals. 2021; 11(8):826. https://doi.org/10.3390/min11080826
Chicago/Turabian StylePascual, Emilio, Teodosio Donaire, Manuel Toscano, Gloria Macías, Christian Pin, and Michael Andrew Hamilton. 2021. "Geochemical and Volcanological Criteria in Assessing the Links between Volcanism and VMS Deposits: A Case on the Iberian Pyrite Belt, Spain" Minerals 11, no. 8: 826. https://doi.org/10.3390/min11080826
APA StylePascual, E., Donaire, T., Toscano, M., Macías, G., Pin, C., & Hamilton, M. A. (2021). Geochemical and Volcanological Criteria in Assessing the Links between Volcanism and VMS Deposits: A Case on the Iberian Pyrite Belt, Spain. Minerals, 11(8), 826. https://doi.org/10.3390/min11080826
        
                                                