Tracking and Evaluating the Concentrations of Natural Radioactivity According to Chemical Composition in the Precambrian and Mesozoic Granitic Rocks in the Jangsu-gun Area, Central Southwestern South Korea
Abstract
1. Introduction
2. Geological Setting
3. Analytical Methods
4. Results
4.1. U-Pb Geochronology
4.2. Geochemistry
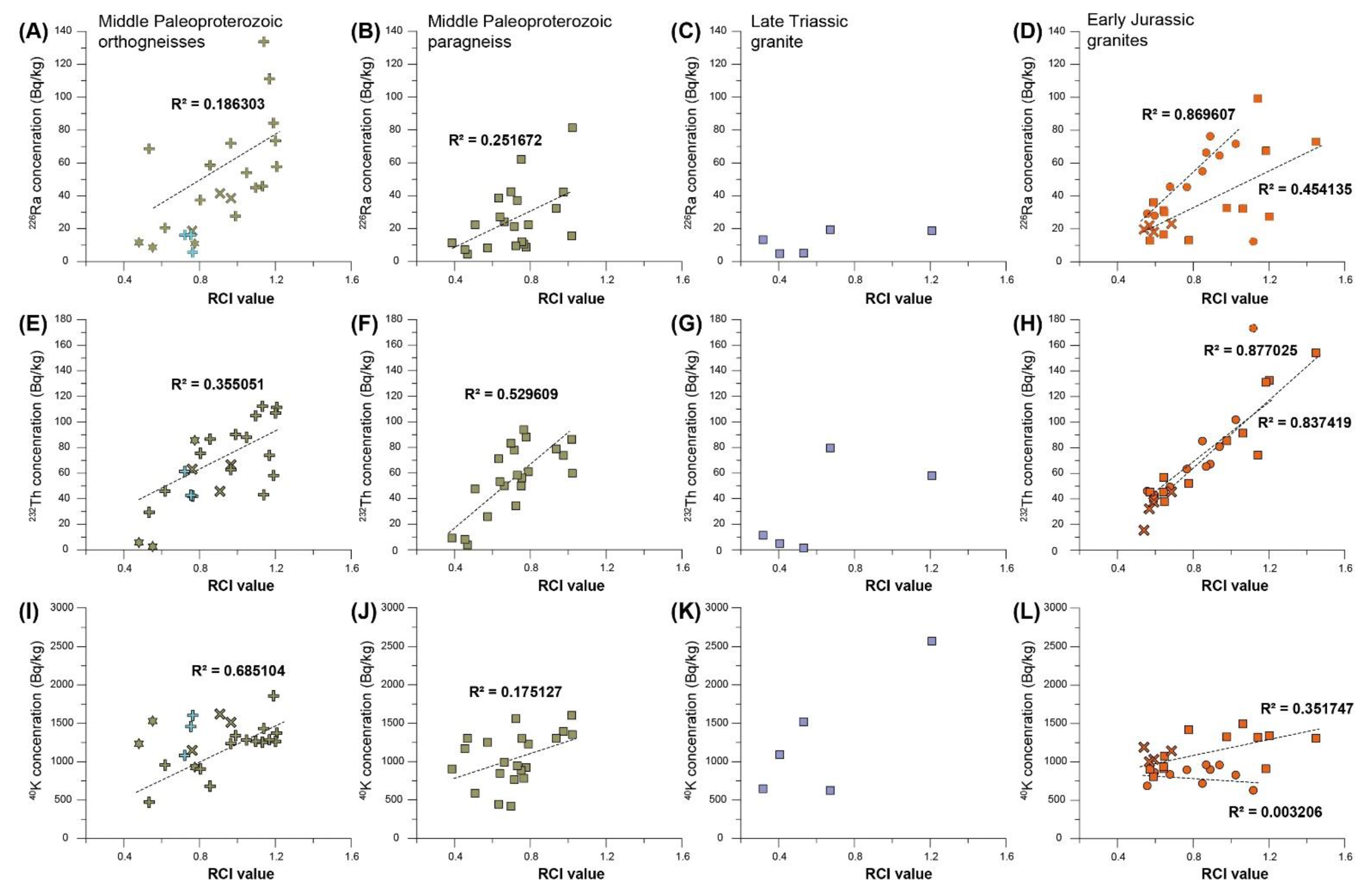
4.3. Gamma Nuclide Analysis
5. Discussion
5.1. Petrogeneses of the Middle Paleoproterozoic Orthogneiss, Late Triassic Granite and Early Jurassic Granitic Rocks of the Jangsu-gun Area
5.2. Tracking of NORMs from the Granitic Rocks in the Jangsu-gun Area
6. Conclusions
Supplementary Materials
Author Contributions
Funding
Institutional Review Board Statement
Informed Consent Statement
Data Availability Statement
Acknowledgments
Conflicts of Interest
References
- Mason, B.; Moore, C.B. Principles of Geochemistry, 4th ed.; John Wiley: New York, NY, USA, 1982. [Google Scholar]
- Hwang, J. Occurrence of U-minerals and source of U in Groundwater in Daebo granite, Daejeon area. J. Eng. Geol. 2013, 23, 399–407, (In Korean with English abstract). [Google Scholar] [CrossRef]
- Kim, M.S.; Kim, T.S.; Kim, H.K.; Kim, D.S.; Jeong, D.H.; Ju, B.K.; Hong, J.K.; Kim, H.J.; Park, S.H.; Jeong, C.H.; et al. Study on temporal decay characteristics of naturally occurring radionuclides in groudwater in two mica granite area. J. Soil Groundw. Environ. 2013, 18, 19–31, (In Korean with English abstract). [Google Scholar] [CrossRef][Green Version]
- Yun, S.W.; Lee, J.; Park, Y. Occurrence of radionuclides in groundwater of Korea according to geologic condition. J. Eng. Geol. 2016, 26, 71–78, (In Korean with English abstract). [Google Scholar] [CrossRef]
- Hwang, J. Geological Review on the distribution and source of uraniferous groundwater in South Korea. J. Eng. Geol. 2018, 28, 593–603, (In Korean with English abstract). [Google Scholar]
- Kim, S.W. Concentration of Radioactive Materials for the Phanerozoic Plutonic Rocks in Korea and Its Implication. Econ. Environ. Geol. 2020, 53, 565–583, (In Korean with English abstract). [Google Scholar]
- Hwang, J.; Moon, S.-H. Geochemistry of U and Th of Mesozoic granites in South Korea: Implications of occurrences of different U-host minerals and dissolved U and Rn between Jurassic and Cretaceous granite aquifers. Geosci. J. 2021, 25, 183–195. [Google Scholar] [CrossRef]
- Kee, W.S.; Kim, S.W.; Jeong, Y.J.; Kwon, S. Characteristics of Jurassic continental arc magmatism in South Korea: Tectonic implications. J. Geol. 2010, 118, 305–323. [Google Scholar] [CrossRef]
- Kim, S.W.; Kwon, S.; Koh, H.J.; Yi, K.; Jeong, Y.; Santosh, M. Geotectonic framework of Permo-Triassic magmatism within the Korean Peninsula. Gondwana Res. 2011, 20, 865–889. [Google Scholar] [CrossRef]
- Kim, S.W.; Kwon, S.; Koh, K.; Yi, K.; Cho, D.-L.; Kee, W.-S.; Kim, B.C. Geochronological and geochemical implications of Early to Middle Jurassic continental adakitic arc magmatism in the Korean Peninsula. Lithos 2015, 227, 225–240. [Google Scholar] [CrossRef]
- Kee, W.S.; Kim, S.W.; Hong, P.S.; Lee, B.C.; Cho, D.R.; Byun, U.H.; Ko, K.; Kwon, C.W.; Kim, H.C.; Jang, Y.; et al. Geologic Map of Korea (1:1,000,000); Korea Institute of Geoscience and Mineral Resources: Daejeon, Korea, 2019. [Google Scholar]
- Oh, C.W.; Lee, B.C.; Yi, S.; Ryu, H.I. Correlation of Paleoproterozoic igneous and metamorphic events of the Korean Peninsula and China; Its implication to the tectonics of Northeast Asia. Precambrian Res. 2019, 326, 344–362. [Google Scholar] [CrossRef]
- Cheong, A.C.; Jo, H.J. Tectonomagmatic evolution of a Jurassic Cordilleran flare-up along the Korean Peninsula: Geochronological and geochemical constraints from granitoid rocks. Gondwana Res. 2020, 88, 21–44. [Google Scholar] [CrossRef]
- Cho, D.L.; Lee, B.C.; Oh, C.W. Petrogenesis of Paleoproterozoic (2.02–1.96 Ga) metagranitoids in the southwestern Yeongnam Massif, Korean Peninsula, and their significance for the tectonic history of northeast Asia: Insights from zircon U–Pb–Hf isotope and whole-rock geochemical compositions. Precambrian Res. 2020, 340, 105631. [Google Scholar]
- Kim, S.W.; Kwon, S.; Jeong, Y.-J.; Kee, W.-S.; Lee, B.C.; Byun, U.H.; Ko, K.; Cho, D.-L.; Hong, P.S.; Park, S.-I.; et al. The Middle Permian to Triassic tectono-magmatic systems in the southern Korean Peninsula. Gondwana Res. 2020, in press. [Google Scholar] [CrossRef]
- Wilson, M. Magmatic differentiation. J. Geol. Soc. 1993, 150, 611–624. [Google Scholar] [CrossRef]
- Cuney, M. Uranium and thorium: The extreme diversity of the resources of the world’s energy minerals. In Non-Renewable Resource Issues; Springer: Dordrecht, The Netherlands, 2012; pp. 91–129. [Google Scholar]
- Cuney, M. Felsic magmatism and uranium deposits. Bull. Soc. Geol. Fr. 2014, 185, 75–92. [Google Scholar] [CrossRef]
- Gelman, S.E.; Deering, C.D.; Bachmann, O.; Huber, C.; Gutiérrez, F.J. Identifying the crystal graveyards remaining after large silicic eruptions. Earth Planet. Sci. Lett. 2014, 403, 299–306. [Google Scholar] [CrossRef]
- Guidelines on the Radon Reduction and Management of Construction Material; Joint Ministries (Ministry of Environment, Ministry of Land, Infrastructure and Transport, and Nuclear Safety Committee): Sejong City, Korea, 2019; p. 21. (In Korean)
- EC (European Comission). Radiation Protection 112—Radiological Protection Principles Concerning the Natural Radioactivity of Building Materials; European Commission: Luxembourg, 1999; ISBN 92-828-8376-0. [Google Scholar]
- Kim, K.-B.; Chwae, U.; Hwang, J.H.; Kim, J.H. Geological Report of the Osu Sheet (1:50,000); Korea Institute of Geology, Mining and Materials: Daejeon, Korea, 1984; p. 38, (In Korean with English summary). [Google Scholar]
- Hong, S.H.; Yun, W. Geological Report of the Changkye Sheet (1:50,000); Korea Institute of Geology, Mining and Materials: Daejeon, Korea, 1993; p. 17, (In Korean with English summary). [Google Scholar]
- Kim, K.-B.; Chwae, U. Geological Report of the Hamyang Sheet (1:50,000); Korea Institute of Geology, Mining and Materials: Daejeon, Korea, 1994; p. 16, (In Korean with English summary). [Google Scholar]
- Paton, C.; Woodhead, J.D.; Hellstrom, J.C.; Hergt, J.M.; Greig, A.; Maas, R. Improved laser ablation U-Pb zircon geochronology through robust downhole fractionation correction. Geochem. Geophys. Geosyst. 2010, 11, Q0AA06. [Google Scholar] [CrossRef]
- Paton, C.; Hellstrom, J.; Paul, B.; Woodhead, J.; Hergt, J. Iolite: Freeware for the visualization and processing of mass spectrometric data. J. Anal. At. Spectrom. 2011, 26, 2508–2518. [Google Scholar] [CrossRef]
- Ludwig, K.R. User’s Manual for Isoplot 3.6: A Geochronological Toolkit for Microsoft Excel; Berkeley Geochronology Center Special Publication 2008; Berkeley Geochronology Center: Berkeley, CA, USA, 2008. [Google Scholar]
- Ludwig, K.R. User’s Manual for SQUID 2; Berkeley Geochronology Center Special Publication 2009; Berkeley Geochronology Center: Berkeley, CA, USA, 2009. [Google Scholar]
- Middlemost, E.A.K. Naming materials in the magma/igneous rock system. Earth Sci. Rev. 1994, 37, 215–224. [Google Scholar] [CrossRef]
- Shand, S.J. The Erutive Rocks: Their Genesis, Composition, and Classification, with a Chapter on Meteorites, 2nd ed.; John Wiley & Sons: New York, NY, USA, 1947; 444p. [Google Scholar]
- Sun, S.; McDonough, W.F. Chemical and isotopic systematics of oceanic basalts: Implications for mantle composition and processes Basins. In Magmatism in the Ocean Basins; Saunders, A.D., Norry, M.J., Eds.; Special Publications 42; Geological Society of London: London, UK, 1989; pp. 313–345. [Google Scholar]
- Pearce, J.A.; Harris, N.B.W.; Tindle, A.G. Trace element discrimination diagrams for the tectonic interpretation of granitic rocks. J. Petrol. 1984, 25, 956–983. [Google Scholar] [CrossRef]
- Bateman, P.C.; Chappell, B.W. Crystallization, fractionation, and solidification of the Tuolumne intrusive series, Yosemite National Park, California. Geol. Soc. Am. Bull. 1979, 90, 465–482. [Google Scholar] [CrossRef]
- Ballouard, C.; Poujol, M.; Boulvais, P.; Branquet, Y.; Tartèse, R.; Vigneresse, J.L. Nb-Ta fractionation in peraluminous granites: A marker of the magmatic-hydrothermal transition. Geology 2016, 44, 231–234. [Google Scholar] [CrossRef]
- David, A.W.; Calvin, F.M. Accessory mineral behavior during differentiation of a granite suite: Monazite, xenotime and zircon in the Sweetwater Wash pluton, southeastern California, USA. Chem. Geol. 1993, 110, 49–67. [Google Scholar]
- Karel, B. Monazite and zircon as major carriers of Th, U, and Y in peraluminous granites: Examples from the Bohemian Massif. Miner. Petrol. 2016, 110, 767–785. [Google Scholar]














Publisher’s Note: MDPI stays neutral with regard to jurisdictional claims in published maps and institutional affiliations. |
© 2021 by the authors. Licensee MDPI, Basel, Switzerland. This article is an open access article distributed under the terms and conditions of the Creative Commons Attribution (CC BY) license (https://creativecommons.org/licenses/by/4.0/).
Share and Cite
Kim, S.W.; Kee, W.-S.; Lee, S.; Lee, B.C.; Byun, U.H. Tracking and Evaluating the Concentrations of Natural Radioactivity According to Chemical Composition in the Precambrian and Mesozoic Granitic Rocks in the Jangsu-gun Area, Central Southwestern South Korea. Minerals 2021, 11, 684. https://doi.org/10.3390/min11070684
Kim SW, Kee W-S, Lee S, Lee BC, Byun UH. Tracking and Evaluating the Concentrations of Natural Radioactivity According to Chemical Composition in the Precambrian and Mesozoic Granitic Rocks in the Jangsu-gun Area, Central Southwestern South Korea. Minerals. 2021; 11(7):684. https://doi.org/10.3390/min11070684
Chicago/Turabian StyleKim, Sung Won, Weon-Seo Kee, Saro Lee, Byung Choon Lee, and Uk Hwan Byun. 2021. "Tracking and Evaluating the Concentrations of Natural Radioactivity According to Chemical Composition in the Precambrian and Mesozoic Granitic Rocks in the Jangsu-gun Area, Central Southwestern South Korea" Minerals 11, no. 7: 684. https://doi.org/10.3390/min11070684
APA StyleKim, S. W., Kee, W.-S., Lee, S., Lee, B. C., & Byun, U. H. (2021). Tracking and Evaluating the Concentrations of Natural Radioactivity According to Chemical Composition in the Precambrian and Mesozoic Granitic Rocks in the Jangsu-gun Area, Central Southwestern South Korea. Minerals, 11(7), 684. https://doi.org/10.3390/min11070684

