Occurrence and Release of Trace Elements in Pyrite-Rich Waste Rock
Abstract
1. Introduction
2. Materials and Methods
2.1. Waste Rock
2.2. Leaching of Waste Rock
2.3. Trace Element Association
2.4. Secondary Mineral Formation
2.4.1. Solid-Phase Sequential Extraction
2.4.2. Geochemical and Mass Calculations
3. Results and Discussion
3.1. Waste Rock Characterization
3.2. Sulfide Oxidation and Subsequent Element Mobilization
3.2.1. First Year
3.2.2. Second Year
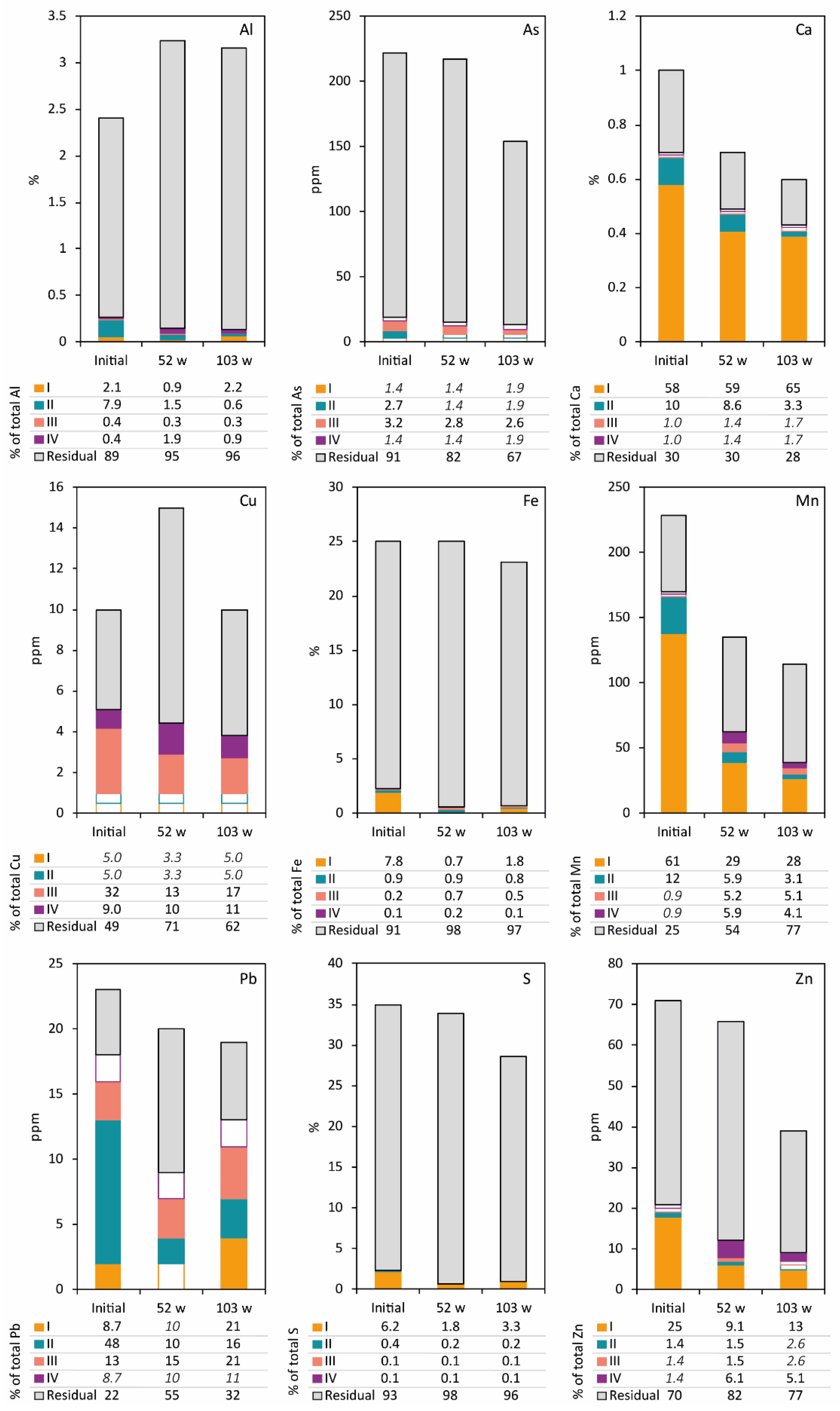
3.3. Occurrence and Mobility of Trace Elements
3.4. Implications
4. Conclusions
- Trace elements found at elevated levels in the waste rock coincide with those found in pyrite, either as impurities or as inclusions. Hence, trace element content in a single mineral can have a noticeable impact on the chemistry of the waste rock as a whole, especially if that mineral has a high abundance in the whole rock;
- Waste rock leachate showed high element concentrations despite relatively low abundance in the solid phase. An estimation showed that approximately 78% Cu, 72% Zn, and 16% As had been depleted after only two years of leaching;
- The high leachability and low retention in secondary minerals after only two years of leaching suggest that metals such as Cu and Zn are highly interesting elements to be recovered by accelerating the sulfide oxidation, despite their overall low abundance in the waste rock. However, the viability of such measures needs to be further studied;
- Leaching of this waste rock, although selectively sampled, clearly shows that applying preventive measures to inhibit the sulfide oxidation during the delay time from mining to remediation is crucial for limiting the overall environmental impact.
Author Contributions
Funding
Data Availability Statement
Acknowledgments
Conflicts of Interest
References
- Park, I.; Tabelin, C.B.; Jeon, S.; Li, X.; Seno, K.; Ito, M.; Hiroyoshi, N. A review of recent strategies for acid mine drainage prevention and mine tailings recycling. Chemosphere 2019, 219, 588–606. [Google Scholar] [CrossRef]
- Kefeni, K.K.; Msagati, T.A.M.; Mamba, B.B. Acid mine drainage: Prevention, treatment options, and resource recovery: A review. J. Clean. Prod. 2017, 151, 475–493. [Google Scholar] [CrossRef]
- INAP (The International Network for Acid Prevention) Global Acid Rock Drainage (GARD) Guide. Available online: http://www.gardguide.com/images/5/5f/TheGlobalAcidRockDrainageGuide.pdf (accessed on 18 January 2021).
- Zhang, Y.L.; Evangelou, V.P. Formation of ferric hydroxide-silica coatings on pyrite and its oxidation behavior. Soil Sci. 1998, 163, 53–62. [Google Scholar] [CrossRef]
- Nyström, E.; Kaasalainen, H.; Alakangas, L. Prevention of sulfide oxidation in waste rock by the addition of lime kiln dust. Environ. Sci. Pollut. Res. 2019, 26, 25945–25957. [Google Scholar] [CrossRef] [PubMed]
- Abraitis, P.K.; Pattrick, R.A.D.; Vaughan, D.J. Variations in the compositional, textural and electrical properties of natural pyrite: A review. Int. J. Miner. Process. 2004, 74, 41–59. [Google Scholar] [CrossRef]
- Alakangas, L.; Andersson, E.; Mueller, S. Neutralization/prevention of acid rock drainage using mixtures of alkaline by-products and sulfidic mine wastes. Environ. Sci. Pollut. Res. 2013, 20, 7907–7916. [Google Scholar] [CrossRef]
- Nyström, E.; Kaasalainen, H.; Alakangas, L. Suitability study of secondary raw materials for prevention of acid rock drainage generation from waste rock. J. Clean. Prod. 2019. [Google Scholar] [CrossRef]
- Sahoo, P.K.; Tripathy, S.; Panigrahi, M.K.; Equeenuddin, S.M. Inhibition of acid mine drainage from a pyrite-rich mining waste using industrial by-products: Role of neo-formed phases. Water Air Soil Pollut. 2013, 224, 1–11. [Google Scholar] [CrossRef]
- Pérez-López, R.; Nieto, J.M.; Álvarez-Valero, A.M.; de Almodóvar, G.R. Mineralogy of the hardpan formation processes in the interface between sulfide-rich sludge and fly ash: Applications for acid mine drainage mitigation. Am. Mineral. 2007, 92, 1966–1977. [Google Scholar] [CrossRef]
- Paton, C.; Hellstrom, J.; Paul, B.; Woodhead, J.; Hergt, J. Iolite: Freeware for the visualisation and processing of mass spectrometric data. J. Anal. At. Spectrom. 2011, 26, 2508–2518. [Google Scholar] [CrossRef]
- Pearce, N.J.G.; Perkins, W.T.; Westgate, J.A.; Gorton, M.P.; Jackson, S.E.; Neal, C.R.; Chenery, S.P. A compilation of new and published major and trace element data for NIST SRM 610 and NIST SRM 612 glass reference materials. Geostand. Newsl. 1997, 21, 115–144. [Google Scholar] [CrossRef]
- Savard, D.; Bouchard-Boivin, B.; Barnes, S.J.; Garbe-Schönberg, D. UQAC-FeS: A new series of base metal sulfide quality control reference material for LA-ICP-MS analysis. In Proceedings of the 10th International Conference on the Analysis of Geological and Environmental Materials, Sydney, Australia, 8–13 July 2018. [Google Scholar]
- Wilson, S.A.; Ridley, W.I.; Koenig, A.E. Development of sulfide calibration standards for the laser ablation inductively-coupled plasma mass spectrometry technique. J. Anal. At. Spectrom. 2002, 17, 406–409. [Google Scholar] [CrossRef]
- Dold, B. Speciation of the most soluble phases in a sequential extraction procedure adapted for geochemical studies of copper sulfide mine waste. J. Geochem. Explor. 2003, 80, 55–68. [Google Scholar] [CrossRef]
- Parkhurst, D.L.; Appelo, C.A.J. User’s guide to PHREEQC—A computer program for speciation, batch-reaction, one-dimensional transport, and inverse geochemical calculations. US Geol. Surv. Water-Resour. Investig. Rep. 1999, 99, 4259. [Google Scholar]
- Ball, J.W.; Nordstrom, D.K. User’s manual for WATEQ4F with revised thermodynamic database and test cases for calculating speciation of major, trace and redox elements in natural waters. US Geol. Surv. 1991, 189, 91–183. [Google Scholar]
- Maest, A.S.; Nordstrom, D.K. A geochemical examination of humidity cell tests. Appl. Geochem. 2017, 81, 109–131. [Google Scholar] [CrossRef]
- Stefánsson, A. Iron(III) hydrolysis and solubility at 25 °C. Environ. Sci. Technol. 2007, 41, 6117–6123. [Google Scholar] [CrossRef] [PubMed]
- Majzlan, J.; Navrotsky, A.; Schwertmann, U. Thermodynamics of iron oxides: Part III. Enthalpies of formation and stability of ferrihydrite (~Fe(OH)3), schwertmannite (~FeO(OH)3/4(SO4)1/8), and e-Fe2O3. Geochim. Cosmochim. Acta 2004, 68, 1049–1059. [Google Scholar] [CrossRef]
- Bigham, J.M.; Schwertmann, U.; Traina, S.J.; Winland, R.L.; Wolf, M. Schwertmannite and the chemical modeling of iron in acid sulfate waters. Geochim. Cosmochim. Acta 1996, 60, 2111–2121. [Google Scholar] [CrossRef]
- Nordstrom, D.K. Mine waters: Acidic to circumneutral. Elements 2011, 7, 393–398. [Google Scholar] [CrossRef]
- Singer, P.C.; Stumm, W. Acidic Mine Drainage: The Rate-Determining Step. Science 1970, 167, 1121–1123. [Google Scholar] [CrossRef]
- Wilson, D.; Amos, R.T.; Blowes, D.W.; Langman, J.B.; Ptacek, C.J.; Smith, L.; Sego, D.C. Diavik waste rock project: A conceptual model for temperature and sulfide-content dependent geochemical evolution of waste rock—Laboratory scale. Appl. Geochem. 2018, 89, 160–172. [Google Scholar] [CrossRef]
- Amos, R.T.; Blowes, D.W.; Bailey, B.L.; Sego, D.C.; Smith, L.; Ritchie, A.I.M. Waste-rock hydrogeology and geochemistry. Appl. Geochem. 2015, 57, 140–156. [Google Scholar] [CrossRef]
- Langman, J.B.; Moore, M.L.; Ptacek, C.J.; Smith, L.; Sego, D.; Blowes, D.W. Diavik waste rock project: Evolution of mineral weathering, element release, and acid generation and neutralization during a five-year humidity cell experiment. Minerals 2014, 4, 257–278. [Google Scholar] [CrossRef]
- Bigham, J.M.; Nordstrom, D.K. Iron and Aluminum Hydroxysulfates from Acid Sulfate Waters. Rev. Minral. Geochem. 2000, 40, 351–393. [Google Scholar] [CrossRef]
- Plumlee, G.S. The environmental geology of mineral deposits. In The Environmental Geochemistry of Mineral Deposits, Part A: Processes, Techniques, and Health Issues; Plumlee, G.S., Logsdon, M.J., Eds.; Reviews in Economic Geology; Society of Economic Geologists: Littleton, CO, USA, 1999; Volume 6, pp. 71–116. [Google Scholar] [CrossRef]
- Jambor, J.L.; Nordstrom, D.K.; Alpers, C.N. Metal-sulfate salts from sulfide mineral oxidation. Rev. Minral. Geochem. 2000, 40, 302–350. [Google Scholar] [CrossRef]
- Hutchison, I.; Ellison, R. Mine Waste Management; Lewis Publishers: Boca Raton, FL, USA, 1992. [Google Scholar]
- McKibben, M.A.; Tallant, B.A.; del Angel, J.K. Kinetics of inorganic arsenopyrite oxidation in acidic aqueous solutions. Appl. Geochem. 2008, 23, 121–135. [Google Scholar] [CrossRef]
- Lapakko, K.A.; Engstrom, J.N.; Antonson, D.A. Effects of particle size on drainage quality from three lithologies. In Proceedings of the 7th International Conference on Acid Rock Drainage 2006, ICARD—Also Serves as the 23rd Annual Meetings of the American Society of Mining and Reclamation, St. Louis, MO, USA, 26–30 March 2006; Volume 2, pp. 1026–1050. [Google Scholar]
- Krauskopf, K.B.; Bird, D.K. Introduction to Geochemistry; McGraw-Hill: New York, NY, USA, 1995. [Google Scholar]
- Rimstidt, J.D.; Chermak, J.A.; Gagen, P.M. Rates of Reaction of Galena, Sphalerite, Chalcopyrite, and Arsenopyrite with Fe(III) in Acidic Solutions; ACS Symposium Series. In Environmental Geochemistry of Sulfide, Oxidation; Alpers, C.N., Blowes, D.W., Eds.; American Chemical Society: Washington, DC, USA, 1994; Volume 1, pp. 2–13. [Google Scholar] [CrossRef]
- Kwong, Y.T.J.; Swerhone, G.W.; Lawrence, J.R. Galvanic sulphide oxidation as a metal-leaching mechanism and its environmental implications. Geochem. Explor. Environ. Anal. 2003, 3, 337–343. [Google Scholar] [CrossRef]
- Nordstrom, D.K.; Alpers, C.N. Negative pH, efflorescent mineralogy, and consequences for environmental restoration at the Iron Mountain Superfund site, California. Proc. Natl. Acad. Sci. USA 1999, 96, 3455–3462. [Google Scholar] [CrossRef] [PubMed]
- Evangelou, V.P. Pyrite Oxidation and Its Control; CRC Press: Boca Raton, FL, USA, 1995. [Google Scholar]
- Evangelou, V.P.; Zhang, Y.L. A review: Pyrite oxidation mechanisms and acid mine drainage prevention. Crit. Rev. Environ. Sci. Technol. 1995, 25, 141–199. [Google Scholar] [CrossRef]
- Chopard, A.; Plante, B.; Benzaazoua, M.; Bouzahzah, H.; Marion, P. Geochemical investigation of the galvanic effects during oxidation of pyrite and base-metals sulfides. Chemosphere 2017, 166, 281–291. [Google Scholar] [CrossRef]
- Mehta, A.P.; Murr, L.E. Kinetic study of sulfide leaching by galvanic interaction between chalcopyrite, pyrite, and sphalerite in the presence of T. ferrooxidans (30 °C) and a thermophilic microorganism (55 °C). Biotechnol. Bioeng. 1982, 24, 919–940. [Google Scholar] [CrossRef]
- Majima, H. How oxidation affects selective flotation of complex sulphide ores. Can. Metall. Q. 1969, 8, 269–273. [Google Scholar] [CrossRef]
- Sidenko, N.V.; Sherriff, B.L. The attenuation of Ni, Zn and Cu, by secondary Fe phases of different crystallinity from surface and ground water of two sulfide mine tailings in Manitoba, Canada. Appl. Geochem. 2005, 20, 1180–1194. [Google Scholar] [CrossRef]
- Jambor, J.L. The environmental geochemistry of sulfide mine-wastes. In Mineralogy of Sulfide-Rich Tailings and Their Oxidation Products; Blowes, D.W., Jambor, J.L., Eds.; Mineralogical Association of Canada: Nepean, ON, Canada, 1994. [Google Scholar]
- Cook, N.J.; Ciobanu, C.L.; Pring, A.; Skinner, W.; Shimizu, M.; Danyushevsky, L.; Saini-Eidukat, B.; Melcher, F. Trace and minor elements in sphalerite: A LA-ICPMS study. Geochim. Cosmochim. Acta 2009, 73, 4761–4791. [Google Scholar] [CrossRef]
- U.S.EPA (Environmental Protection Agency). National Primary Drinking Water Regulations, EPA 816-F-09-004. Available online: https://www.epa.gov/sites/production/files/2016-06/documents/npwdr_complete_table.pdf (accessed on 9 October 2019).
- Peter, A.L.J.; Viraraghavan, T. Thallium: A review of public health and environmental concerns. Environ. Int. 2005, 31, 493–501. [Google Scholar] [CrossRef] [PubMed]
- Lin, T.S.; Nriagu, J. Revised hydrolysis constants for thallium(I) and thallium(III) and the environmental implications. J. Air Waste Manage. Assoc. 1998, 48, 151–156. [Google Scholar] [CrossRef]
- Dold, B. Basic concepts of environmental geochemistry of sulfide mine-waste. Mineralogía, geoquímica y geomicrobiología para el manejo ambiental de desechos mineros. XXIV Curso Latinoam. Metalog. 2005, 22, 1–36. [Google Scholar]
- Huminicki, D.M.C.; Rimstidt, J.D. Iron oxyhydroxide coating of pyrite for acid mine drainage control. Appl. Geochem. 2009, 24, 1626–1634. [Google Scholar] [CrossRef]







| Fraction | Approach | Preferentially Dissolved Minerals |
|---|---|---|
| I Water soluble fraction | Deionized water leach (L/S 50, 1 h) | Hydrous metal sulfates, gypsum, etc. |
| II Exchangeable fraction | Ammonium acetate leach (pH 4.5, 2 h) | Adsorbed and exchangeable ions, calcite, etc. |
| III Fe(III) oxyhydroxides | Cold ammonium oxalate leach (pH 3, 1 h in darkness) | Easily reducible Fe–Mn–Al(hydr)oxides and hydroxysulfates |
| IV Fe(III) oxides | Hot ammonium oxalate leach (pH 3, 2 h, 80 °C) | Remaining Fe–Mn–Al(hydr)oxides |
| Mineral | Formula | 1 | 2 | 3 | 4 | Average | Stdv. |
|---|---|---|---|---|---|---|---|
| % | % | % | % | % | % | ||
| Pyrite | FeS2 | 74 | 62 | 63 | 65 | 66 | 5.3 |
| Quartz | SiO2 | 15 | 17 | 19 | 16 | 17 | 1.7 |
| Muscovite | KAl2(Si3Al)O10(OH)2 | 2 | 10 | 6 | 7 | 6 | 3 |
| Chlorite | (Mg,Fe,Li)6AlSi3O10(OH)8 | 3 | 3 | 4 | 5 | 4 | 0.8 |
| Calcite | CaCO3 | 2 | 1 | 1 | 0.1 | 1 | 0.9 |
| Dravite | NaMg3Al6(Si6O18)(BO3)3(OH)3OH | 0.2 | 0.4 | 1 | 0.5 | 0.4 | 0.2 |
| Kaolinite | Al2Si2O5(OH)4 | 0.1 | 0.4 | 0.3 | 0.3 | 0.3 | 0.1 |
| Albite | NaAlSi3O8 | 0.2 | 0.3 | 0.3 | 0.4 | 0.3 | 0.1 |
| Flourite | CaF2 | 0.3 | 0.01 | 0.1 | 0.1 | 0.1 | 0.1 |
| Oligoclase | (Na,Ca)[Al(Si,Al)Si2O8) | 0.04 | 0.1 | 0.1 | 0.2 | 0.09 | 0.05 |
| Apatite | Ca5(PO4)3(F,Cl,OH) | 0.01 | 0.1 | 0.01 | 0.03 | 0.03 | 0.02 |
| Anatase | TiO2 | 0.004 | 0.02 | 0.01 | 0.01 | 0.01 | 0.009 |
| Clinopyroxene | (Mg,Fe,Mn,Li,Ca,Na)(Al,Fe,Ti,Cr,V,Zr,Sc,Zn,Mg,Mn)(Si,Al)2O6 | 0.01 | 0.005 | 0.01 | 0.005 | 0.006 | 0.002 |
| Allanite | (Ce,Ca,Y,La)2(Al,Fe+3)3(SiO4)3(OH) | 0.005 | 0.01 | 0.01 | 0.005 | 0.006 | 0.002 |
| Anorthite | CaAl2Si2O8 | 0.003 | 0.001 | 0.004 | 0.002 | 0.003 | 0.001 |
| Sanidine | K(AlSi3O8) | 0.001 | 0.002 | 0.001 | 0.001 | 0.001 | 0.0006 |
| Chalcopyrite | CuFeS2 | 0.001 | 0.001 | 0.002 | 0.0004 | 0.001 | 0.0008 |
| Biotite | K(Mg,Fe)3(AlSi3O10)(F,OH)2 | 0.001 | 0.001 | 0.001 | 0.001 | 0.0009 | 0.0002 |
| Bournonite | PbCuSbS3 | 0.001 | - | - | 0.00001 | 0.0004 | 0.0006 |
| Sphalerite | (Zn,Fe)S | 0.001 | 0.0002 | 0.0001 | 0.0001 | 0.0003 | 0.0003 |
| Arsenopyrite | FeAsS | 0.001 | 0.00004 | 0.0001 | - | 0.0002 | 0.0003 |
| Pyrrhotite | Fe1−xS (x = 0 to 0.2) | 0.0004 | 0.0003 | 0.0003 | 0.00002 | 0.0002 | 0.002 |
| Element | Average | Mine Area | Average | |
|---|---|---|---|---|
| % | Waste Rock | Min. | Max. | Earth’s Crust |
| Al | 3 | 1 | 16 | 8 |
| Ca | 1 | 0.01 | 20 | 3 |
| Fe | 14 | 0.2 | 34 | 5 |
| K | 0.4 | 0.01 | 6 | 2.6 |
| Mg | 1 | 0.05 | 15 | 2.1 |
| Na | 0.3 | 0.007 | 4 | 2.4 |
| P | 0.01 | 0.0004 | 0.2 | 0.1 |
| Stotal | 27 | 0.01 | 39 | 0.05 |
| Si | 13 | 6 | 28 | 27 |
| Ti | 0.1 | 0.02 | 1 | 0.5 |
| mg/kg | ||||
| As | 193 | 1 | 18,000 | 2 |
| Ag | 1 | <0.1 | 32 | 0.07 |
| Au | <0.01 | <0.0005 | 0.8 | 0.004 |
| B | 5 | - | - | 10 |
| Ba | 88 | <0.5 | 1670 | 430 |
| Be | 0.2 | - | - | 3 |
| Bi | 0.2 | <0.1 | 42 | 0.2 |
| Br | <5 | - | - | 3 |
| Cd | 0.2 | <0.1 | 55 | 0.18 |
| Ce | 13 | 4 | 123 | 45 |
| Co | 2 | <1 | 121 | 25 |
| Cr | 51 | <5 | 2513 | 200 |
| Cs | 0.2 | <0.1 | 5 | 2 |
| Cu | 15 | 2 | 15,600 | 60 |
| Dy | 1 | 0.7 | 16 | 4.5 |
| Er | 1 | 0.5 | 11 | - |
| Eu | 1 | 0.2 | 5 | 1.2 |
| Ga | 5 | 3 | 43 | 17 |
| Gd | 1 | 0.8 | 12 | 7 |
| Ge | 0.4 | <1 | 4 | 15 |
| Hf | 1 | 0 | 10 | - |
| Hg | 13 | <0.01 | >200 | 0.08 |
| Ho | 0.2 | 0.2 | 4 | - |
| I | <0.5 | - | - | 0.5 |
| In | - | <0.2 | 4 | 0.1 |
| Ir | <0.01 | - | - | 0.001 |
| La | 6 | 1 | 52 | 6.5–100 |
| Li | 14 | - | - | 30 |
| Lu | 0.1 | 0.1 | 2 | 0.9 |
| Mn | 208 | 77 | 7357 | 900 |
| Mo | 3 | <0.5 | 34 | 2 |
| Nb | 0.2 | <1 | 13 | 20 |
| Nd | 6 | 3 | 53 | 25 |
| Ni | 1 | <0.1 | 864 | 80 |
| Os | <0.01 | - | - | - |
| Pb | 20 | <2 | 5181 | 16 |
| Pd | <0.1 | - | - | 0.01 |
| Pr | 2 | 0.6 | 14 | - |
| Pt | <0.01 | - | - | 0.005 |
| Rb | 6 | <0.5 | 105 | 120 |
| Re | <0.01 | - | - | 0.001 |
| Rh | <0.01 | - | - | - |
| Ru | <0.01 | - | - | - |
| Sb | 24 | 0.2 | 1327 | 0.15–1 |
| Sc | 6 | 1 | 66 | 5–22 |
| Se | <1 | <0.5 | 83 | 0.09 |
| Sm | 1 | 0.6 | 12 | 7 |
| Sn | 0.5 | <1 | 29 | 2.5 |
| Sr | 40 | <0.5 | 396 | 350 |
| Ta | <0.01 | <0.05 | 23 | 2 |
| Tb | 0.2 | 0.1 | 2 | - |
| Te | 0.1 | - | - | 0.00036–0.01 |
| Th | 1 | 0.6 | 11 | 10 |
| Tl | 26 | <0.1 | 75 | 1 |
| Tm | 0.1 | 0.1 | 2 | - |
| U | 2 | 0.5 | 24 | 3 |
| V | 7 | <5 | 212 | 150 |
| W | 1 | 0.1 | 34 | 1 |
| Y | 11 | 4 | 125 | 30 |
| Yb | 1 | 0.4 | 13 | 3 |
| Zn | 74 | 7 | 49,700 | 70 |
| Zr | 65 | 10 | 344 | 160 |
Publisher’s Note: MDPI stays neutral with regard to jurisdictional claims in published maps and institutional affiliations. |
© 2021 by the authors. Licensee MDPI, Basel, Switzerland. This article is an open access article distributed under the terms and conditions of the Creative Commons Attribution (CC BY) license (https://creativecommons.org/licenses/by/4.0/).
Share and Cite
Nyström, E.; Thomas, H.; Wanhainen, C.; Alakangas, L. Occurrence and Release of Trace Elements in Pyrite-Rich Waste Rock. Minerals 2021, 11, 495. https://doi.org/10.3390/min11050495
Nyström E, Thomas H, Wanhainen C, Alakangas L. Occurrence and Release of Trace Elements in Pyrite-Rich Waste Rock. Minerals. 2021; 11(5):495. https://doi.org/10.3390/min11050495
Chicago/Turabian StyleNyström, Elsa, Helen Thomas, Christina Wanhainen, and Lena Alakangas. 2021. "Occurrence and Release of Trace Elements in Pyrite-Rich Waste Rock" Minerals 11, no. 5: 495. https://doi.org/10.3390/min11050495
APA StyleNyström, E., Thomas, H., Wanhainen, C., & Alakangas, L. (2021). Occurrence and Release of Trace Elements in Pyrite-Rich Waste Rock. Minerals, 11(5), 495. https://doi.org/10.3390/min11050495

