Wild Plants for the Phytostabilization of Phosphate Mine Waste in Semi-Arid Environments: A Field Experiment
Abstract
1. Introduction
2. Materials and Methods
2.1. Field Experimental Design
2.2. Plant Species
2.3. Plant and Soil Sampling
2.4. Soil and Plant Tissue Analyses
2.5. Phytoremediation Factors and Phytostabilization Efficiency
2.6. Statistical Analysis
3. Results and Discussions
3.1. Trace Element Content in Substrate
3.2. Plant Biomass
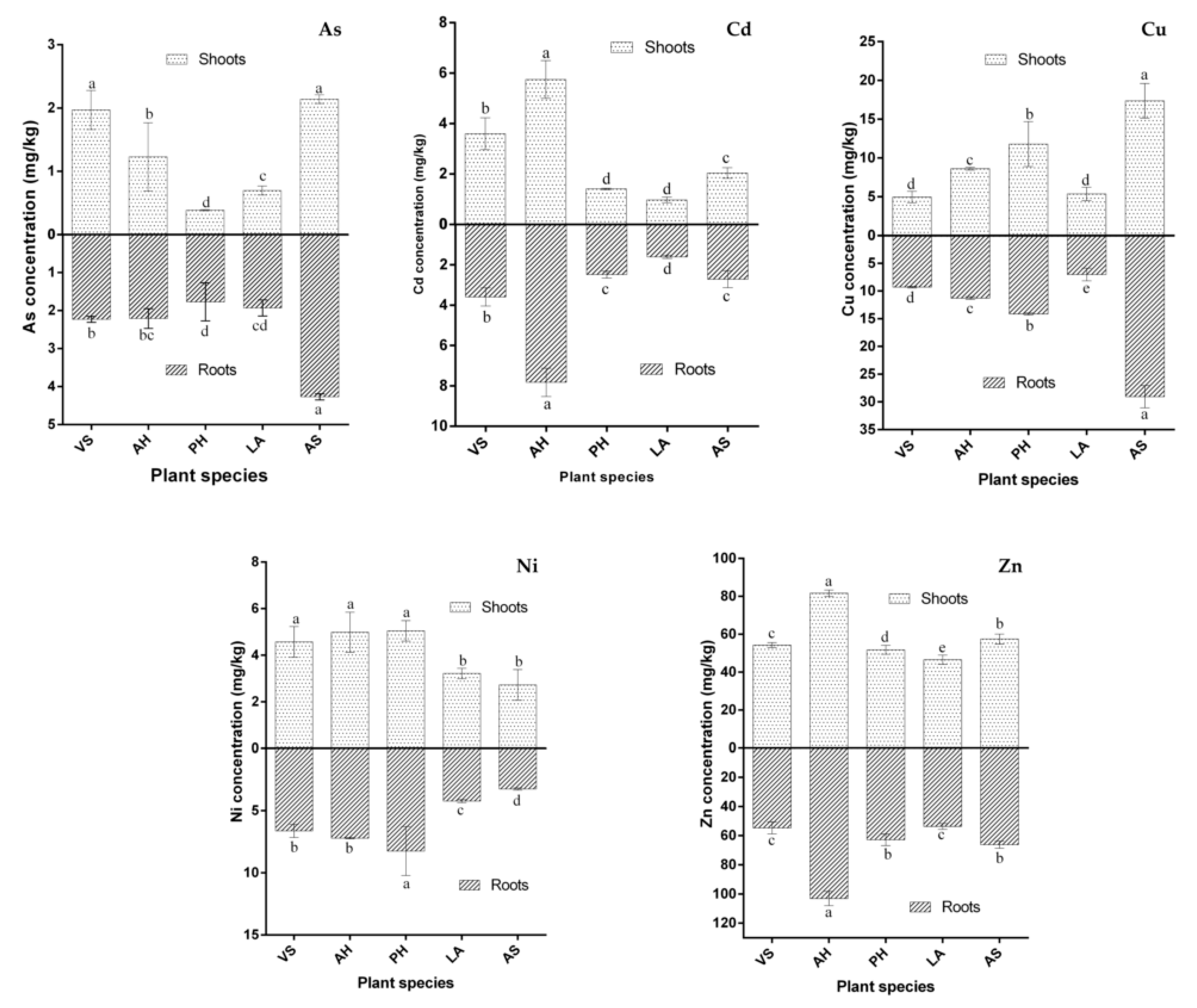
3.3. Trace Element Concentrations in Plant Species
3.4. Bioconcentration and Translocation Factors
3.5. Candidate Local Plant Species for Phytostabilization
4. Conclusions
Author Contributions
Funding
Data Availability Statement
Acknowledgments
Conflicts of Interest
References
- Khalil, A.; Hanich, L.; Hakkou, R.; Lepage, M. GIS-based environmental database for assessing the mine pollution: A case study of an abandoned mine site in Morocco. J. Geochem. Explor. 2014, 144, 468–477. [Google Scholar] [CrossRef]
- United States Geological Survey (USGS). Mineral Commodity Summaries 2020; United States Geological Survey: Reston, VA, USA, 2020; ISBN 9781411343627.
- Mehahad, M.S.; Bounar, A. Phosphate mining, corporate social responsibility and community development in the Gantour Basin, Morocco. Extr. Ind. Soc. 2020, 7, 170–180. [Google Scholar] [CrossRef]
- Lottermoser, B.G. Mine Wastes: Characterization, Treatment and Environmental Impacts, 3rd ed.; Springer: Berlin/Heidelberg, Germany, 2010; ISBN 9783642124181. [Google Scholar]
- Hamilton, S.J.; Buhl, K.J. Selenium in the Blackfoot, Salt, and Bear River Watersheds. Environ. Monit. Assess. 2005, 104, 309–339. [Google Scholar] [CrossRef] [PubMed]
- Ouakibi, O.; Loqman, S.; Hakkou, R.; Benzaazoua, M. The Potential Use of Phosphatic Limestone Wastes in the Passive Treatment of AMD: A Laboratory Study. Mine Water Environ. 2013, 32, 266–277. [Google Scholar] [CrossRef]
- Hakkou, R.; Benzaazoua, M.; Bussière, B. Acid mine drainage at the abandoned kettara mine (Morocco): 1. Environmental characterization. Mine Water Environ. 2008, 27, 145–159. [Google Scholar] [CrossRef]
- Moukannaa, S.; Loutou, M.; Benzaazoua, M.; Vitola, L.; Alami, J.; Hakkou, R. Recycling of phosphate mine tailings for the production of geopolymers. J. Clean. Prod. 2018, 185, 891–903. [Google Scholar] [CrossRef]
- Haneklaus, N.; Bayok, A.; Fedchenko, V.; Kelley, R. Phosphate rocks and nuclear proliferation. Sci. Glob. Secur. 2017, 25, 143–158. [Google Scholar] [CrossRef]
- Tulsidas, H.; Gabriel, S.; Kiegiel, K.; Haneklaus, N. Uranium resources in EU phosphate rock imports. Resour. Policy 2019, 61, 151–156. [Google Scholar] [CrossRef]
- Hakkou, R.; Benzaazoua, M.; Bussie, B. Laboratory Evaluation of the Use of Alkaline Phosphate Wastes for the Control of Acidic Mine Drainage. Mine Water Environ. 2009, 206–218. [Google Scholar] [CrossRef]
- Bossé, B.; Bussière, B.; Hakkou, R.; Maqsoud, A.; Benzaazoua, M. Assessment of Phosphate Limestone Wastes as a Component of a Store-and-Release Cover in a Semiarid Climate. Mine Water Environ. 2013, 32, 152–167. [Google Scholar] [CrossRef]
- Hakkou, R.; Benzaazoua, M.; Bussière, B. Acid mine drainage at the abandoned kettara mine (Morocco): 2. Mine waste geochemical behavior. Mine Water Environ. 2008, 27, 160–170. [Google Scholar] [CrossRef]
- Lottermoser, B.G. Recycling, reuse and rehabilitation of mine wastes. Elements 2011, 7, 405–410. [Google Scholar] [CrossRef]
- Knidiri, J.; Bussière, B.; Hakkou, R.; Bossé, B.; Maqsoud, A.; Benzaazoua, M. Hydrogeological behaviour of an inclined store-and-release cover experimental cell made with phosphate mine wastes. Can. Geotech. J. 2016, 54, 102–116. [Google Scholar] [CrossRef]
- Bruneel, O.; Mghazli, N.; Hakkou, R.; Dahmani, I.; Filali Maltouf, A.; Sbabou, L. In-depth characterization of bacterial and archaeal communities present in the abandoned Kettara pyrrhotite mine tailings (Morocco). Extremophiles 2017, 21, 671–685. [Google Scholar] [CrossRef] [PubMed]
- Bussière, B.; Aubertin, M.; Mbonimpa, M.; Molson, J.W.; Chapuis, R.P. Field experimental cells to evaluate the hydrogeological behaviour of oxygen barriers made of silty materials. Can. Geotech. J. 2007, 44, 245–265. [Google Scholar] [CrossRef]
- Smirnova, E.; Bussière, B.; Tremblay, F.; Bergeron, Y. Vegetation succession and impacts of biointrusion on covers used to limit acid mine drainage. J. Environ. Qual. 2011, 40, 133–143. [Google Scholar] [CrossRef]
- Mendez, M.O.; Maier, R.M. Phytostabilization of mine tailings in arid and semiarid environments—An emerging remediation technology. Environ. Health Perspect 2008, 116, 278–283. [Google Scholar] [CrossRef]
- Bolan, N.S.; Park, J.H.; Robinson, B.; Naidu, R.; Huh, K.Y. Phytostabilization. A Green Approach to Contaminant Containment; Academic Press: Cambridge, MA, USA, 2011; Volume 112, ISBN 9780123855381. [Google Scholar]
- Aznar-Sánchez, J.; García-Gómez, J.; Velasco-Muñoz, J.; Carretero-Gómez, A. Mining Waste and Its Sustainable Management: Advances in Worldwide Research. Minerals 2018, 8, 284. [Google Scholar] [CrossRef]
- Zine, H.; Midhat, L.; Hakkou, R.; El Adnani, M.; Ouhammou, A. Guidelines for a phytomanagement plan by the phytostabilization of mining wastes. Sci. Afr. 2020, 10, e00654. [Google Scholar] [CrossRef]
- Heckenroth, A.; Rabier, J.; Dutoit, T.; Torre, F.; Prudent, P.; Laffont-Schwob, I. Selection of native plants with phytoremediation potential for highly contaminated Mediterranean soil restoration: Tools for a non-destructive and integrative approach. J. Environ. Manag. 2016, 183, 850–863. [Google Scholar] [CrossRef]
- Midhat, L.; Ouazzani, N.; Hejjaj, A.; Ouhammou, A.; Mandi, L. Accumulation of heavy metals in metallophytes from three mining sites (Southern Centre Morocco) and evaluation of their phytoremediation potential. Ecotoxicol. Environ. Saf. 2019, 169, 150–160. [Google Scholar] [CrossRef] [PubMed]
- Midhat, L.; Ouazzani, N.; Esshaimi, M.; Ouhammou, A.; Mandi, L. Assessment of heavy metals accumulation by spontaneous vegetation: Screening for new accumulator plant species grown in Kettara mine-Marrakech, Southern Morocco. Int. J. Phytoremediation 2017, 19, 191–198. [Google Scholar] [CrossRef] [PubMed]
- Mahar, A.; Wang, P.; Ali, A.; Awasthi, M.K.; Lahori, A.H.; Wang, Q.; Li, R.; Zhang, Z. Challenges and opportunities in the phytoremediation of heavy metals contaminated soils: A review. Ecotoxicol. Environ. Saf. 2016, 126, 111–121. [Google Scholar] [CrossRef] [PubMed]
- Barbosa, B.; Fernando, A.L. Aided Phytostabilization of Mine Waste; Elsevier Inc.: Oxford, UK, 2018; ISBN 9780128129876. [Google Scholar]
- Gil-Loaiza, J.; White, S.A.; Root, R.A.; Solís-Dominguez, F.A.; Hammond, C.M.; Chorover, J.; Maier, R.M. Phytostabilization of mine tailings using compost-assisted direct planting: Translating greenhouse results to the field. Sci. Total Environ. 2016, 565, 451–461. [Google Scholar] [CrossRef] [PubMed]
- Clemente, R.; Walker, D.J.; Pardo, T.; Martínez-Fernández, D.; Bernal, M.P. The use of a halophytic plant species and organic amendments for the remediation of a trace elements-contaminated soil under semi-arid conditions. J. Hazard. Mater. 2012, 223–224, 63–71. [Google Scholar] [CrossRef]
- Parraga-Aguado, I.; Gonzalez-Alcaraz, M.N.; Alvarez-Rogel, J.; Jimenez-Carceles, F.J.; Conesa, H.M. The importance of edaphic niches and pioneer plant species succession for the phytomanagement of mine tailings. Environ. Pollut. 2013, 176, 134–143. [Google Scholar] [CrossRef]
- National Academy of Sciences. Mineral Tolerance of Animals; Second Revised Edition; National Academies Press: Cambridge, MA, USA, 2005; ISBN 0309096545. [Google Scholar]
- Larchevêque, M.; Desrochers, A.; Bussière, B.; Cartier, H.; David, J. Revegetation of Non-Acid-Generating, Thickened Tailings with Boreal Trees: A Greenhouse Study. J. Environ. Qual. 2013, 42, 351–360. [Google Scholar] [CrossRef]
- Proteau, A.; Guittonny, M.; Bussière, B.; Maqsoud, A. Aboveground and belowground colonization of vegetation on a 17-year-old cover with capillary barrier effect built on a boreal mine tailings storage facility. Minerals 2020, 10, 704. [Google Scholar] [CrossRef]
- Córdova, S.; Neaman, A.; González, I.; Ginocchio, R.; Fine, P. The effect of lime and compost amendments on the potential for the revegetation of metal-polluted, acidic soils. Geoderma 2011, 166, 135–144. [Google Scholar] [CrossRef]
- Acosta, J.A.; Abbaspour, A.; Martínez, G.R.; Martínez-Martínez, S.; Zornoza, R.; Gabarrón, M.; Faz, A. Phytoremediation of mine tailings with Atriplex halimus and organic/inorganic amendments: A five-year field case study. Chemosphere 2018, 204, 71–78. [Google Scholar] [CrossRef]
- Hamza, Z.; Rachid, H.; Mariam, E.A.; Kamal, L.; Sara, E.; Rachid, A.B.; Laila, M.; Papazoglou, E.G.; Kenza, L.; Mohamed, H.; et al. Phytostabilization of store-and-release cover made with phosphate mine wastes in arid and semiarid climate using wild local plants. Remediat. J. 2020, rem.21662. [Google Scholar] [CrossRef]
- Aubert, G. Méthodes d’analyses des sols. In Centre National de Documentation Pédagogique, 2nd ed.; Centre Régional de Documentation Pédagogique de Marseille: Marsseille, France, 1978; p. 191. [Google Scholar]
- Qualité du sol—Dosage des Eléments Traces dans des Extraits de sol par Spéctrométrie D’émission Atomique avec Plasma Induit par Haute Fréquence (ICP-AES); ISO 22036: Geneva, Switzerland, 2008.
- Temminghoff, E.J.M.; Houba, V.J.G. (Eds.) Plant Analysis Procedures, 2nd ed.; Kluwer Academic Publishers: Dordrecht, The Nethrlands, 2004; ISBN 1402027699. [Google Scholar]
- Ali, H.; Khan, E.; Sajad, M.A. Phytoremediation of heavy metals-Concepts and applications. Chemosphere 2013, 91, 869–881. [Google Scholar] [CrossRef]
- Kabata-Pendias, A.; Pendias, H. Biogeochemistry of Trace Elements, 2nd ed.; CRC Press: Boca Raton, FL, USA, 2001; ISBN 0849315751. [Google Scholar]
- Kabata-Pendias, A. Trace Elements in Soils and Plants; CRC Press: Boca Raton, FL, USA, 2010; p. 467. [Google Scholar]
- Kloke, A.; Sauerbeck, D.R.; Vetter, H. The Contamination of Plants and Soils with Heavy Metals and the Transport of Metals in Terrestrial Food Chains. In Changing Metal Cycles and Human Health; Springer: Berlin/Heidelberg, Germany, 1984; pp. 113–141. [Google Scholar] [CrossRef]
- De Luís, M.; Francisca García-Cano, M.; Cortina, J.; Raventós, J.; Carlos González-Hidalgo, J.; Rafael Sánchez, J. Climatic trends, disturbances and short-term vegetation dynamics in a Mediterranean shrubland. For. Ecol. Manag. 2001, 147, 25–37. [Google Scholar] [CrossRef]
- Sakkir, S.; Shah, J.N.; Cheruth, A.J.; Kabshawi, M. Phenology of desert plants from an arid gravel plain in eastern United Arab Emirates. J. Arid Land 2015, 7, 54–62. [Google Scholar] [CrossRef]
- Bragato, C.; Brix, H.; Malagoli, M. Accumulation of nutrients and heavy metals in Phragmites australis (Cav.) Trin. ex Steudel and Bolboschoenus maritimus (L.) Palla in a constructed wetland of the Venice lagoon watershed. Environ. Pollut. 2006, 144, 967–975. [Google Scholar] [CrossRef]
- Wong, M. Ecological restoration of mine degraded soils, with emphasis on metal contaminated soils. Chemosphere 2003, 50, 775–780. [Google Scholar] [CrossRef]
- Conesa, H.M.; Moradi, A.B.; Robinson, B.H.; Kühne, G.; Lehmann, E.; Schulin, R. Response of native grasses and Cicer arietinum to soil polluted with mining wastes: Implications for the management of land adjacent to mine sites. Environ. Exp. Bot. 2009, 65, 198–204. [Google Scholar] [CrossRef]
- Moreno-Jiménez, E.; Vázquez, S.; Carpena-Ruiz, R.O.; Esteban, E.; Peñalosa, J.M. Using Mediterranean shrubs for the phytoremediation of a soil impacted by pyritic wastes in Southern Spain: A field experiment. J. Environ. Manag. 2011, 92, 1584–1590. [Google Scholar] [CrossRef]
- Zhang, Y.; Liu, J.; Zhou, Y.; Gong, T.; Wang, J.; Ge, Y. Enhanced phytoremediation of mixed heavy metal (mercury)-organic pollutants (trichloroethylene) with transgenic alfalfa co-expressing glutathione S-transferase and human P450 2E1. J. Hazard. Mater. 2013, 260, 1100–1107. [Google Scholar] [CrossRef]
- Zheljazkov, V.D.; Jeliazkova, E.A.; Kovacheva, N.; Dzhurmanski, A. Metal uptake by medicinal plant species grown in soils contaminated by a smelter. Environ. Exp. Bot. 2008, 64, 207–216. [Google Scholar] [CrossRef]
- Pandey, J.; Verma, R.K.; Singh, S. Suitability of aromatic plants for phytoremediation of heavy metal contaminated areas: A review. Int. J. Phytoremediation 2019, 21, 405–418. [Google Scholar] [CrossRef] [PubMed]
- Lee, C.S.; Nzioka, A.M.; Kim, Y.J.; Sakong, J. Evaluation of bioconcentration factors of metals and non-metals in crops and soil from abandoned mines in Korea. Contemp. Probl. Ecol. 2017, 10, 583–590. [Google Scholar] [CrossRef]
- El Hasnaoui, S.; Fahr, M.; Keller, C.; Levard, C.; Angeletti, B.; Chaurand, P.; Triqui, Z.E.A.; Guedira, A.; Rhazi, L.; Colin, F.; et al. Screening of native plants growing on a Pb/Zn mining area in eastern Morocco: Perspectives for phytoremediation. Plants 2020, 9, 1458. [Google Scholar] [CrossRef] [PubMed]
- Mattina, M.J.I.; Lannucci-Berger, W.; Musante, C.; White, J.C. Concurrent plant uptake of heavy metals and persistent organic pollutants from soil. Environ. Pollut. 2003, 124, 375–378. [Google Scholar] [CrossRef]
- Nouri, J.; Lorestani, B.; Yousefi, N.; Khorasani, N.; Hasani, A.H.; Seif, F.; Cheraghi, M. Phytoremediation potential of native plants grown in the vicinity of Ahangaran lead-zinc mine (Hamedan, Iran). Environ. Earth Sci. 2011, 62, 639–644. [Google Scholar] [CrossRef]
- Yoon, J.; Cao, X.; Zhou, Q.; Ma, L.Q. Accumulation of Pb, Cu, and Zn in native plants growing on a contaminated Florida site. Sci. Total Environ. 2006, 368, 456–464. [Google Scholar] [CrossRef]
- von Willert, D.J.; Eller, B.M.; Werger, M.J.A.; Brinckmann, E. Desert succulents and their life strategies. Vegetatio 1990, 90, 133–143. [Google Scholar] [CrossRef]
- Krzesłowska, M. The cell wall in plant cell response to trace metals: Polysaccharide remodeling and its role in defense strategy. Acta Physiol. Plant. 2011, 33, 35–51. [Google Scholar] [CrossRef]
- Gajić, G.; Djurdjević, L.; Kostić, O.; Jarić, S.; Mitrović, M.; Pavlović, P. Ecological potential of plants for phytoremediation and ecorestoration of fly ash deposits and mine wastes. Front. Environ. Sci. 2018, 6, 1–24. [Google Scholar] [CrossRef]
- Yang, X.; Feng, Y.; He, Z.; Stoffella, P.J. Molecular mechanisms of heavy metal hyperaccumulation and phytoremediation. J. Trace Elem. Med. Biol. 2005, 18, 339–353. [Google Scholar] [CrossRef]
- Rai, P.K.; Kim, K.H.; Lee, S.S.; Lee, J.H. Molecular mechanisms in phytoremediation of environmental contaminants and prospects of engineered transgenic plants/microbes. Sci. Total Environ. 2020, 705, 135858. [Google Scholar] [CrossRef] [PubMed]
- Grime, J.P. Plant Strategies and Vegetation Processes; John Wiley Sons, Ltd.: Chichester, UK; New York, NY, USA; Brisbane, Australia; Toronto, ON, Canada, 1979; 222p. [Google Scholar]
- Reverchon, F.; Xu, Z.; Blumfield, T.J.; Chen, C.; Abdullah, K.M. Impact of global climate change and fire on the occurrence and function of understorey legumes in forest ecosystems. J. Soils Sediments 2012, 12, 150–160. [Google Scholar] [CrossRef]
- Skousen, J.G.; Johnson, C.D.; Garbutt, K. Natural Revegetation of 15 Abandoned Mine Land Sites in West Virginia. J. Environ. Qual. 1994, 23, 1224–1230. [Google Scholar] [CrossRef]





| Parameter | Unit | Phosphate Mine Waste | Control Soil |
|---|---|---|---|
| As | (mg kg⁻1) | 9.61 ± 1.22 c | 12.66 ± 1.26 c |
| Cd | (mg kg⁻1) | 11.13 ± 1.96 c | 0.41 ± 0.16 d |
| Cu | (mg kg⁻1) | 23.12 ± 2.11 b | 51.48 ± 14.32 a |
| Ni | (mg kg⁻1) | 21.10 ± 2.48 b | 25.21 ± 1.62 c |
| Zn | (mg kg⁻1) | 96.09 ± 11.23 a | 81.50 ± 9.11 a |
| pH | ---- | 7.42 ± 0.4 c | 7.15 ± 0.2 c |
| Electrical conductivity (EC) | (µs/cm) | 285.2 ± 9.4 a | 340.6 ± 6.31 b |
| BCF | TF | |||||||||
|---|---|---|---|---|---|---|---|---|---|---|
| Plant Species | As | Cd | Cu | Ni | Zn | As | Cd | Cu | Ni | Zn |
| Vicia sativa L. | 0.20 ± 0.03 a | 0.32 ± 0.05 b | 0.04 ± 0.01 d | 0.21 ± 0.03 a | 0.56 ± 0.01 c | 0.89 ± 0.15 a | 1.02 ± 0.23 a | 0.53 ± 0.08 b | 0.69 ± 0.12 b | 0.99 ± 0.07 a |
| Asparagus horridus L. | 0.13 ± 0.05 b | 0.51 ± 0.06 a | 0.07 ± 0.00 c | 0.23 ± 0.04 a | 0.85 ± 0.02 a | 0.55 ± 0.22 b | 0.74 ± 0.12 bc | 0.77 ± 0.02 a | 0.69 ± 0.11 b | 0.79 ± 0.04 c |
| Peganum harmala L. | 0.04 ± 0.00 d | 0.13 ± 0.00 d | 0.09 ± 0.02 b | 0.24 ± 0.02 a | 0.54 ± 0.02 d | 0.24 ± 0.07 d | 0.57 ± 0.04 d | 0.83 ± 0.20 a | 0.64 ± 0.14 b | 0.83 ± 0.07 bc |
| Launaea arborescens (Batt.) Murb. | 0.07 ± 0.01 c | 0.08 ± 0.01 d | 0.04 ± 0.01 d | 0.15 ± 0.01 b | 0.48 ± 0.02 e | 0.36 ± 0.06 cd | 0.60 ± 0.06 cd | 0.78 ± 0.16 a | 0.76 ± 0.05 ab | 0.87 ± 0.06 b |
| Atriplex semibaccata R. Br. | 0.22 ± 0.01 a | 0.18 ± 0.02 c | 0.15 ± 0.02 a | 0.13 ± 0.03 b | 0.60 ± 0.03 b | 0.50 ± 0.02 bc | 0.76 ± 0.11 b | 0.60 ± 0.10 b | 0.84 ± 0.20 a | 0.87 ± 0.05 b |
Publisher’s Note: MDPI stays neutral with regard to jurisdictional claims in published maps and institutional affiliations. |
© 2020 by the authors. Licensee MDPI, Basel, Switzerland. This article is an open access article distributed under the terms and conditions of the Creative Commons Attribution (CC BY) license (http://creativecommons.org/licenses/by/4.0/).
Share and Cite
Zine, H.; Elgadi, S.; Hakkou, R.; Papazoglou, E.G.; Midhat, L.; Ouhammou, A. Wild Plants for the Phytostabilization of Phosphate Mine Waste in Semi-Arid Environments: A Field Experiment. Minerals 2021, 11, 42. https://doi.org/10.3390/min11010042
Zine H, Elgadi S, Hakkou R, Papazoglou EG, Midhat L, Ouhammou A. Wild Plants for the Phytostabilization of Phosphate Mine Waste in Semi-Arid Environments: A Field Experiment. Minerals. 2021; 11(1):42. https://doi.org/10.3390/min11010042
Chicago/Turabian StyleZine, Hamza, Sara Elgadi, Rachid Hakkou, Eleni G. Papazoglou, Laila Midhat, and Ahmed Ouhammou. 2021. "Wild Plants for the Phytostabilization of Phosphate Mine Waste in Semi-Arid Environments: A Field Experiment" Minerals 11, no. 1: 42. https://doi.org/10.3390/min11010042
APA StyleZine, H., Elgadi, S., Hakkou, R., Papazoglou, E. G., Midhat, L., & Ouhammou, A. (2021). Wild Plants for the Phytostabilization of Phosphate Mine Waste in Semi-Arid Environments: A Field Experiment. Minerals, 11(1), 42. https://doi.org/10.3390/min11010042

