Tunable Mn Oxidation State and Redox Potential of Birnessite Coexisting with Aqueous Mn(II) in Mildly Acidic Environments
Abstract
1. Introduction
2. Materials and Methods
2.1. Synthesis and Characterization of Birnessite
2.2. Mn(II)-Birnessite Interaction Experiments
2.3. Redox Potential Determination of Birnessite with Different AOS Values
2.4. Oxidation of Model Organic Molecules by Birnessite with Different AOS Values
3. Results
3.1. Characteristics of Synthetic Birnessite
3.2. Effect of Mn2+–Birnessite Interaction on AOS of Birnessite
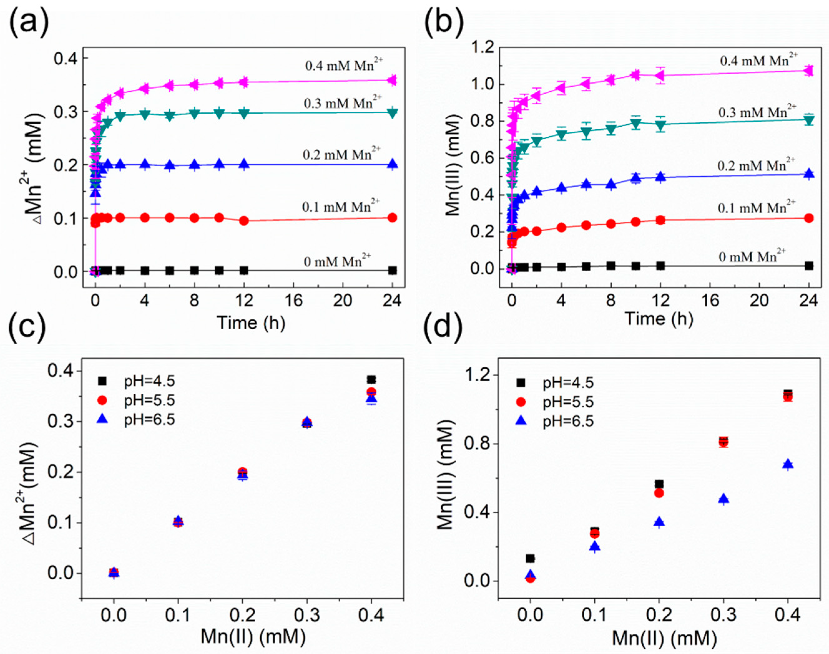
3.2.1. Mn2+ Uptake and Mn(III) Formation
3.2.2. AOS of Birnessite after Reaction with Aqueous Mn(II)
3.3. Eh of Birnessite with Different AOS Values Determined from HQ Oxidation
3.4. Degredation of BPA by Birnessite with Different AOS Values
4. Discussion
4.1. Tunable Mn AOS and Eh of Birnessite by Reaction with Aqueous Mn2+
4.2. A Linear Correlation between Rate Constants/Eh and AOS of Birnessite
5. Conclusions
Supplementary Materials
Author Contributions
Funding
Acknowledgments
Conflicts of Interest
References
- Post, J.E. Manganese oxide minerals: Crystal structures and economic and environmental significance. Proc. Natl. Acad. Sci. USA 1999, 96, 3447–3454. [Google Scholar] [CrossRef] [PubMed]
- Nico, P.S.; Zasoski, R.J. Importance of Mn(III) availability on the rate of Cr(III) oxidation on delta-MnO2. Environ. Sci. Technol. 2000, 34, 3363–3367. [Google Scholar] [CrossRef]
- Villalobos, M.; Toner, B.; Bargar, J.; Sposito, G. Characterization of the manganese oxide produced by pseudomonas putida strain MnB1. Geochim. Cosmochim. Acta 2003, 67, 2649–2662. [Google Scholar] [CrossRef]
- Elzinga, E.J. Reductive transformation of birnessite by aqueous Mn(II). Environ. Sci. Technol. 2011, 45, 6366–6372. [Google Scholar] [CrossRef]
- Weaver, R.M.; Hochella, M.F. The reactivity of seven Mn-oxides with Cr3+aq: A comparative analysis of a complex, environmentally important redox reaction. Am. Mineral. 2003, 88, 2016–2027. [Google Scholar] [CrossRef]
- Peng, H.; McKendry, I.G.; Ding, R.; Thenuwara, A.C.; Kang, Q.; Shumlas, S.L.; Strongin, D.R.; Zdilla, M.J.; Perdew, J.P.; Energy Frontier Research Centers. Center for the Computational Design of Functional Layered, M. Redox properties of birnessite from a defect perspective. Proc. Natl. Acad. Sci. USA 2017, 114, 9523–9528. [Google Scholar] [CrossRef]
- Huang, J.; Zhong, S.; Dai, Y.; Liu, C.-C.; Zhang, H. Effect of MnO2 Phase Structure on the Oxidative Reactivity toward Bisphenol A Degradation. Environ. Sci. Technol. 2018, 52, 11309–11318. [Google Scholar] [CrossRef]
- Remucal, C.K.; Ginder-Vogel, M. A critical review of the reactivity of manganese oxides with organic contaminants. Environ. Sci. Process. Impacts 2014, 16, 1247–1266. [Google Scholar] [CrossRef]
- Zhu, M. Structure and Reactivity Study of Biotic and Abiotic Poorly Crystalline Manganese Oxides. Ph.D. Thesis, University of Delaware, Newark, DE, USA, 2010. [Google Scholar]
- Feng, X.H.; Zhai, L.M.; Tan, W.F.; Liu, F.; He, J.Z. Adsorption and redox reactions of heavy metals on synthesized Mn oxide minerals. Environ. Pollut. 2007, 147, 366–373. [Google Scholar] [CrossRef]
- McKendry, I.G.; Kondaveeti, S.K.; Shumlas, S.L.; Strongin, D.R.; Zdilla, M.J. Decoration of the layered manganese oxide birnessite with Mn(II/III) gives a new water oxidation catalyst with fifty-fold turnover number enhancement. Dalton Trans. 2015, 44, 12981–12984. [Google Scholar] [CrossRef]
- Mulvaney, P.; Cooper, R.; Grieser, F.; Meisel, D. Kinetics of reductive dissolution of colloidal manganese-dioxide. J. Phys. Chem. 1990, 94, 8339–8345. [Google Scholar] [CrossRef]
- Marafatto, F.F.; Strader, M.L.; Gonzalez-Holguera, J.; Schwartzberg, A.; Gilbert, B.; Pena, J. Rate and mechanism of the photoreduction of birnessite (MnO2) nanosheets. Proc. Natl. Acad. Sci. USA 2015, 112, 4600–4605. [Google Scholar] [CrossRef] [PubMed]
- Zhao, W.; Cui, H.; Liu, F.; Tan, W.; Feng, X. Relathionship between Pb2+ adsorption and average Mn oxidation state in synthetic birnessites. Clays Clay Miner. 2009, 57, 513–520. [Google Scholar] [CrossRef]
- Zhao, H.; Zhu, M.; Li, W.; Elzinga, E.J.; Villalobos, M.; Liu, F.; Zhang, J.; Feng, X.; Sparks, D.L. Redox reactions between Mn(II) and hexagonal birnessite change its layer symmetry. Environ. Sci. Technol. 2016, 50, 1750–1758. [Google Scholar] [CrossRef]
- Learman, D.R.; Voelker, B.M.; Vazquez-Rodriguez, A.I.; Hansel, C.M. Formation of manganese oxides by bacterially generated superoxide. Nat. Geosci. 2011, 4, 95–98. [Google Scholar] [CrossRef]
- Bargar, J.R.; Tebo, B.M.; Bergmann, U.; Webb, S.M.; Glatzel, P.; Chiu, V.Q.; Villalobos, M. Biotic and abiotic products of Mn(II) oxidation by spores of the marine Bacillus sp. strain SG-1. Am. Mineral. 2005, 90, 143–154. [Google Scholar] [CrossRef]
- Learman, D.R.; Wankel, S.D.; Webb, S.M.; Martinez, N.; Madden, A.S.; Hansel, C.M. Coupled biotic–abiotic Mn(II) oxidation pathway mediates the formation and structural evolution of biogenic Mn oxides. Geochim. Cosmochim. Acta 2011, 75, 6048–6063. [Google Scholar] [CrossRef]
- Lefkowitz, J.P.; Elzinga, E.J. Impacts of aqueous Mn(II) on the sorption of Zn(II) by hexagonal birnessite. Environ. Sci. Technol. 2015, 49, 4886–4893. [Google Scholar] [CrossRef]
- Lefkowitz, J.P.; Rouff, A.A.; Elzinga, E.J.; Brookhaven National, L. Influence of pH on the reductive transformation of birnessite by aqueous Mn(II). Environ. Sci. Technol. 2013, 47, 10364–10371. [Google Scholar] [CrossRef]
- Hinkle, M.A.G.; Flynn, E.D.; Catalano, J.G. Structural response of phyllomanganates to wet aging and aqueous Mn(II). Geochim. Cosmochim. Acta 2016, 192, 220–234. [Google Scholar] [CrossRef]
- Peng, H.; Pearce, C.I.; N’Diaye, A.T.; Zhu, Z.; Ni, J.; Rosso, K.M.; Liu, J. Redistribution of electron equivalents between magnetite and aqueous Fe2+ induced by a model quinone compound AQDS. Environ. Sci. Technol. 2019, 53, 1863–1873. [Google Scholar] [CrossRef] [PubMed]
- Peng, H.; Pearce, C.I.; Huang, W.F.; Zhu, Z.L.; N’Diaye, A.T.; Rosso, K.M.; Liu, J. Reversible Fe(II) uptake/release by magnetite nanoparticles. Environ. Sci. Nano 2018, 5, 1545–1555. [Google Scholar] [CrossRef]
- Stone, A.T.; Morgan, J.J. Reduction and dissolution of manganese(III) and manganese(IV) oxides by organics. 1. reaction with hydroquinone. Environ. Sci. Technol. 1984, 18, 450–456. [Google Scholar] [CrossRef] [PubMed]
- Klausen, J.; Haderlein, S.B.; Schwarzenbach, R.P. Oxidation of substituted anilines by aqueous MnO2: Effect of co-solutes on initial and quasi-steady-state kinetics. Environ. Sci. Technol. 1997, 31, 2642–2649. [Google Scholar] [CrossRef]
- Ukrainczyk, L.; McBride, M.B. Oxidation of phenol in acidic aqueous suspensions of manganese oxides. Clays Clay Miner. 1992, 40, 157–166. [Google Scholar] [CrossRef]
- Liu, C.S.; Zhang, L.J.; Feng, C.H.; Wu, C.A.; Li, F.B.; Li, X.Z. Relationship between oxidative degradation of 2-mercaptobenzothiazole and physicochemical properties of manganese (hydro)oxides. Environ. Chem. 2009, 6, 83–92. [Google Scholar] [CrossRef]
- Nico, P.S.; Zasoski, R.J. Mn(III) center availability as a rate controlling factor in the oxidation of phenol and sulfide on delta-MnO2. Environ. Sci. Technol. 2001, 35, 3338–3343. [Google Scholar] [CrossRef]
- Mckenzie, R.M. The synthesis of birnessite, cryptomelane, and some other oxides and hydroxides of manganese. Mineral. Mag. 1971, 38, 493–502. [Google Scholar] [CrossRef]
- Ilton, E.S.; Post, J.E.; Heaney, P.J.; Ling, F.T.; Kerisit, S.N. XPS determination of Mn oxidation states in Mn (hydr)oxides. Appl. Surf. Sci. 2016, 366, 475–485. [Google Scholar] [CrossRef]
- Drits, V.A.; Silvester, E.; Gorshkov, A.I.; Manceau, A. Structure of synthetic monoclinic Na-rich birnessite and hexagonal birnessite: 1. Results from X-ray diffraction and selected-area electron diffraction. Am. Mineral. 1997, 82, 946–961. [Google Scholar] [CrossRef]
- Golden, D.C.; Dixon, J.B.; Chen, C.C. Ion exchange, thermal transformations, and oxidizing properties of birnessite. Clays Clay Miner. 1986, 34, 511–520. [Google Scholar] [CrossRef]
- Uddin, S.; Rauf, A.; Kazi, T.G.; Afridi, H.I.; Lutfullah, G. Highly sensitive spectrometric method for determination of hydroquinone in skin lightening creams: Application in cosmetics: Highly sensitive spectrometric method for determination of hydroquinone in skin. Int. J. Cosmet. Sci. 2011, 33, 132–137. [Google Scholar] [CrossRef] [PubMed]
- Kung, K.H.; McBride, M.B. Electron transfer processes between hydroquinone and iron oxides. Clays Clay Miner. 1988, 36, 303–309. [Google Scholar] [CrossRef]
- Zhou, D.; Wu, F.; Deng, N.; Xiang, W. Photooxidation of bisphenol A (BPA) in water in the presence of ferric and carboxylate salts. Water Res. 2004, 38, 4107–4116. [Google Scholar] [CrossRef] [PubMed]
- Govindaraj, M.; Rathinam, R.; Sukumar, C.; Uthayasankar, M.; Pattabhi, S. Electrochemical oxidation of bisphenol-A from aqueous solution using graphite electrodes. Environ. Technol. 2013, 34, 503–511. [Google Scholar] [CrossRef] [PubMed]
- Villalobos, M.; Bargar, J.; Sposito, G. Mechanisms of Pb(II) sorption on a biogenic manganese oxide. Environ. Sci. Technol. 2005, 39, 569–576. [Google Scholar] [CrossRef]
- Lanson, B.; Drits, V.A.; Silvester, E.; Manceau, A. Structure of H-exchanged hexagonal birnessite and its mechanism of formation from Na-rich monoclinic buserite at low pH. Am. Mineral. 2000, 85, 826–838. [Google Scholar] [CrossRef]
- Morgan, J.J. Kinetics of reaction between O2 and Mn(II) species in aqueous solutions. Geochim. Cosmochim. Acta 2005, 69, 35–48. [Google Scholar] [CrossRef]
- Zhu, Y.; Liang, X.; Zhao, H.; Yin, H.; Liu, M.; Liu, F.; Feng, X. Rapid determination of the Mn average oxidation state of Mn oxides with a novel two-step colorimetric method. Anal. Methods 2016, 9, 13–19. [Google Scholar] [CrossRef]
- Lefkowitz, J.P.; Elzinga, E.J. Structural alteration of hexagonal birnessite by aqueous Mn(II): Impacts on Ni(II) sorption. Chem. Geol. 2017, 466, 524–532. [Google Scholar] [CrossRef]
- Mao, M.; Li, Y.; Hou, J.; Zeng, M.; Zhao, X. Extremely efficient full solar spectrum light driven thermocatalytic activity for the oxidation of VOCs on OMS-2 nanorod catalyst. Appl. Catal. B Environ. 2015, 174, 496–503. [Google Scholar] [CrossRef]
- Santos, V.P.; Soares, O.S.G.P.; Bakker, J.J.W.; Pereira, M.F.R.; Órfão, J.J.M.; Gascon, J.; Kapteijn, F.; Figueiredo, J.L. Structural and chemical disorder of cryptomelane promoted by alkali doping: Influence on catalytic properties. J. Catal. 2012, 293, 165–174. [Google Scholar] [CrossRef]
- Fan, D.; Bradley, M.J.; Hinkle, A.W.; Johnson, R.L.; Tratnyek, P.G. Chemical reactivity probes for assessing abiotic natural attenuation by reducing iron minerals. Environ. Sci. Technol. 2016, 50, 1868–1876. [Google Scholar] [CrossRef] [PubMed]
- Liu, C.; Zhang, L.; Li, F.; Wang, Y.; Gao, Y.; Li, X.; Cao, W.; Feng, C.; Dong, J.; Sun, L. Dependence of sulfadiazine oxidative degradation on physicochemical properties of manganese dioxides. Ind. Eng. Chem. Res. 2009, 48, 10408–10413. [Google Scholar] [CrossRef]
- Manning, B.A.; Fendorf, S.E.; Bostick, B.; Suarez, D.L. Arsenic(III) Oxidation and Arsenic(V) Adsorption Reactions on Synthetic Birnessite. Environ. Sci. Technol. 2002, 36, 976–981. [Google Scholar] [CrossRef]
- Scott, M.J.; Morgan, J.J. Reactions at oxide surfaces. 1. oxidation of As(III) by synthetic birnessite. Environ. Sci. Technol. 1995, 29, 1898–1905. [Google Scholar] [CrossRef]
- Lin, K.; Liu, W.; Gan, J. Oxidative removal of bisphenol A by manganese dioxide: Efficacy, products, and pathways. Environ. Sci. Technol. 2009, 43, 3860–3864. [Google Scholar] [CrossRef]
- Shihua Tu, T.; Tu, S.; Racz, G.J.; Racz, G.J.; Tee Boon Goh, B.G.; Goh, T.B. Transformations of synthetic birnessite as affected by pH and manganese concentration. Clays Clay Miner. 1994, 42, 321–330. [Google Scholar] [CrossRef]
- Frierdich, A.J.; Spicuzza, M.J.; Scherer, M.M. Oxygen isotope evidence for Mn(II)-catalyzed recrystallization of Manganite (γ-MnOOH). Environ. Sci. Technol. 2016, 50, 6374–6380. [Google Scholar] [CrossRef]
- Tebo, B.M.; Bargar, J.R.; Clement, B.G.; Dick, G.J.; Murray, K.J.; Parker, D.; Verity, R.; Webb, S.M. Biogenic manganese oxides: Properties and mechanisms of formation. Annu. Rev. Earth Planet. Sci. 2004, 32, 287–328. [Google Scholar] [CrossRef]
- Van Cappellen, P.; Viollier, E.; Roychoudhury, A.; Clark, L.; Ingall, E.; Lowe, K.; Dichristina, T. Biogeochemical cycles of manganese and Iion at the oxic−anoxic transition of a Stratified Sarine Sasin (Orca Basin, Gulf of Mexico). Environ. Sci. Technol. 1998, 32, 2931–2939. [Google Scholar] [CrossRef]






© 2020 by the authors. Licensee MDPI, Basel, Switzerland. This article is an open access article distributed under the terms and conditions of the Creative Commons Attribution (CC BY) license (http://creativecommons.org/licenses/by/4.0/).
Share and Cite
Liu, J.; Zhang, Y.; Gu, Q.; Sheng, A.; Zhang, B. Tunable Mn Oxidation State and Redox Potential of Birnessite Coexisting with Aqueous Mn(II) in Mildly Acidic Environments. Minerals 2020, 10, 690. https://doi.org/10.3390/min10080690
Liu J, Zhang Y, Gu Q, Sheng A, Zhang B. Tunable Mn Oxidation State and Redox Potential of Birnessite Coexisting with Aqueous Mn(II) in Mildly Acidic Environments. Minerals. 2020; 10(8):690. https://doi.org/10.3390/min10080690
Chicago/Turabian StyleLiu, Juan, Yixiao Zhang, Qian Gu, Anxu Sheng, and Baogang Zhang. 2020. "Tunable Mn Oxidation State and Redox Potential of Birnessite Coexisting with Aqueous Mn(II) in Mildly Acidic Environments" Minerals 10, no. 8: 690. https://doi.org/10.3390/min10080690
APA StyleLiu, J., Zhang, Y., Gu, Q., Sheng, A., & Zhang, B. (2020). Tunable Mn Oxidation State and Redox Potential of Birnessite Coexisting with Aqueous Mn(II) in Mildly Acidic Environments. Minerals, 10(8), 690. https://doi.org/10.3390/min10080690
