Remediation of Cobalt-Contaminated Soil Using Manure, Clay, Charcoal, Zeolite, Calcium Oxide, Main Crop (Hordeum vulgare L.), and After-Crop (Synapis alba L.)
Abstract
1. Introduction
2. Materials and Methods
2.1. Methodological Design
2.2. Methods of Laboratory and Statistical Analyses
3. Results
4. Discussion
5. Conclusions
Author Contributions
Funding
Conflicts of Interest
References
- Biro, K.; Pradhan, B.; Buchroithner, M.; Makeschin, F. Land use/land cover change analysis and its impact on soil properties in the Northern part of Gadarif region, Sudan. Land Degrad. Dev. 2013, 24, 90–102. [Google Scholar] [CrossRef]
- Zaborowska, M.; Kucharski, J.; Wyszkowska, J. Biological activity of soil contaminated with cobalt, tin and molybdenum. Environ. Monit. Assess. 2016, 188, 398. [Google Scholar] [CrossRef] [PubMed]
- Timsina, J.; Connor, D.J. Productivity and management of rice-wheat cropping systems: Issues and challenges. Field Crop. Res. 2001, 69, 93–132. [Google Scholar] [CrossRef]
- Blume, H.-P.; Brümmer, G.W.; Fleige, H.; Horn, R.; Kandeler, E.; Kögel-Knabner, I.; Kretzschmar, R.; Stahr, K.; Wilke, B.-M. Scheffer/Schachtschabel Soil Science; Springer: Berlin/Heidelberg, Germany, 2016; pp. 1–618. [Google Scholar]
- Kim, J.H.; Gibb, H.J.; Howe, P.D. Cobalt and Inorganic Cobalt Compounds; Concise International Chemical Assessment Document, No 69; World Health Organization: Geneva, Switzerland, 2006; pp. 1–82. [Google Scholar]
- Report on Critical Raw Materials for the EU; European Comission: Brussels, Belgium, 2014.
- Pilon-Smits, E.A.; Quinn, C.F.; Tapken, W.; Malagoli, M.; Schiavon, M. Physiological functions of benefical elements. Curr. Opin. Plant Biol. 2009, 12, 267–274. [Google Scholar] [CrossRef] [PubMed]
- Wallace, A.; Alexander, G.V.; Chaudhry, F.M. Phytotoxicity of cobalt, vanadium, titanium, silver, and chromium. Commun. Soil Sci. Plant Anal. 2008, 8, 751–756. [Google Scholar] [CrossRef]
- Feng, N.; Dagan, R.; Bitton, G. Toxicological approach for assessing the heavy metal binding capacity of soils. Soil Sed. Cont. 2007, 16, 451–458. [Google Scholar] [CrossRef]
- Alkorta, I.; Hernández-Allica, J.; Becerril, J.; Amezaga, I.; Albizu, I.; Garbisu, C. Recent findings on the phytoremediation of soils contaminated with environmentally toxic heavy metals and metalloids such as zinc, cadmium, lead, and arsenic. Rev. Environ. Sci. Biotechnol. 2004, 3, 71–90. [Google Scholar] [CrossRef]
- Salt, D.E.; Smith, R.D.; Raskin, I. Phytoremediation. Annu. Rev. Plant Physiol. Plant Mol. Biol. 1998, 49, 643–668. [Google Scholar] [CrossRef] [PubMed]
- Kucharski, R.; Sas-Nowosielska, A.; Małkowski, E.; Japenga, J.; Kuperberg, J.M.; Pogrzeba, M.; Krzyżak, J. The use of indigenous plant species and calcium phosphate for the stabilization of highly metal-polluted sites in southern Poland. Plant Soil 2005, 273, 291–305. [Google Scholar] [CrossRef]
- Sivitskaya, V.; Wyszkowski, M. Effect of heating oil and neutralizing substances on the content of some trace elements in maize (Zea mays L.). Ecol. Chem. Eng. A 2013, 20, 323–331. [Google Scholar]
- Ostrowska, A.; Gawliński, S.; Szczubiałka, Z. Methods for Analysis and Evaluation of Soil and Plant Properties; Institute of Environmental Protection: Warsaw, Poland, 1991; pp. 1–334. (In Polish) [Google Scholar]
- Ali, H.; Khan, E.; Sajad, M.A. Phytoremediation of heavy metals-concepts and applications. Chemosphere 2013, 91, 869–881. [Google Scholar] [CrossRef] [PubMed]
- Mleczek, M.; Gąsecka, M.; Drzewiecka, K.; Goliński, P.; Magdziak, Z.; Chadzinikolau, T. Copper phytoextraction with willow (Salix viminalis L.) under various Ca/Mg ratios. Part 1. Copper accumulation and plant morphology changes. Acta Physiol. Plant 2013, 35, 3251–3259. [Google Scholar] [CrossRef]
- Dell Inc. Dell Statistica (Data Analysis Software System), Version 13. 2016. Available online: http://software.dell.com (accessed on 6 April 2020).
- Mildvan, A.S. Metal in enzymes catalysis. In The Enzymes; Boyer, D.D., Ed.; Academic Press: London, UK, 1970; pp. 445–536. [Google Scholar]
- Khalid, K.A.; Ahmed, A.M.A. Effect of cobalt on growth, yield and chemical constituents of Nigella sativa L. J. Mater. Environ. Sci. 2016, 7, 2201–2207. [Google Scholar]
- Sarma, B.; Devi, P.; Gogoi, N.; Devi, Y.M. Effects of cobalt induced stress on Triticum aestivum L. Crop. Asian. J. Agri. Biol. 2014, 2, 137–147. [Google Scholar]
- Li, H.F.; Gray, C.; Mico, C.; Zhao, F.J.; McGrath, S.P. Phytotoxicity and bioavailability of cobalt to plants in a range of soils. Chemosphere 2009, 75, 979–986. [Google Scholar] [CrossRef]
- Shaukat, S.S.; Mushtaq, M.; Siddiqui, Z.S. Effects of cadmium, chromium and lead on seed germination, early seedling growth and phenolic contents of Parkinsonia aculeatt L. and Pennisetum americanum (L.), Schumann. Pak. J. Biol. Sci 1999, 2, 1307–1313. [Google Scholar]
- Kuzyakov, Y.; Subbotina, I.; Chen, H.; Bogomolova, I.; Xu, X. Black carbon decomposition and incorporation into soil microbial biomass estimated by 14C labeling. Soil Biol. Biochem. 2009, 41, 210–219. [Google Scholar] [CrossRef]
- Kovacevic, V.; Rastija, M. Impacts of liming by dolomite on the maize and barley grain yields. Poljoprivreda 2010, 16, 3–8. [Google Scholar]
- Wyszkowski, M.; Radziemska, M. The effect of chromium (III) and chromium (VI) on the yield and content of nitrogen compounds in plants. J. Toxicol. Environ. Heal. A 2010, 73, 1274–1282. [Google Scholar] [CrossRef]
- Wyszkowski, M.; Ziółkowska, A. Role of compost, bentonite and calcium oxide in restricting the effect of soil contamination with petrol and diesel oil on plants. Chemosphere 2009, 74, 860–865. [Google Scholar] [CrossRef]
- Wyszkowski, M.; Ziółkowska, A. The importance of relieving substances in restricting the effect of soil contamination with oil derivatives on plants. Fresenius Environ. Bull. 2011, 20, 711–719. [Google Scholar]
- Wyszkowski, M. Effect of contamination with copper and mineral or organic amendments on the content of trace elements in soil. Environ. Prot. Eng. 2017, 43, 165–175. [Google Scholar] [CrossRef]
- Pichtel, J.; Bradway, D. Conventional crops and organic amendments for Pb, Cd and Zn treatment at a severely contaminated site. Bioresour. Technol. 2008, 99, 1242–1251. [Google Scholar] [CrossRef] [PubMed]
- Stewart, B.; Robinson, C.; Parker, D.B. Examples and case studies of beneficial reuse of beef cattle by-products. In Land Application of Agricultural, Industrial, and Municipal By-Products; Power, J.F., Dick, W.A., Kashmanian, R.M., Sims, J.T., Wright, R.J., Dawson, M.D., David Bezdicek, D., Eds.; Soil Science Society of America Inc.: Madison, WI, USA, 2000; pp. 387–407. [Google Scholar]
- Skwaryło-Bednarz, B.; Brodowska, M.S.; Brodowski, R. Evaluating the influence of varied NPK fertilization on yielding and microelements contents at amaranth (Amaranthus cruentus L.) depending on its cultivar and plant spacing. Acta Sci. Pol. 2011, 10, 245–261. [Google Scholar]
- Marschner, P. Marschner’s Mineral Nutrition of Higher Plants, 3rd ed.; Elsevier: Oxford, UK, 2012. [Google Scholar]
- Milani, N.; McLaughlin, M.J.; Stacey, S.P.; Kirby, J.K.; Hettiarachchi, G.M.; Beak, D.G.; Cornelis, G. Dissolution kinetics of macronutrient fertilizers coated with manufactured zinc oxide nanoparticles. J. Agric. Food Chem. 2012, 60, 3991–3998. [Google Scholar] [CrossRef]
- Kosiorek, M.; Wyszkowski, M. Effect of neutralising substances on selected properties of soil contaminated with cobalt. J. Ecol. Eng. 2016, 17, 193–197. [Google Scholar] [CrossRef]
- Kosiorek, M.; Wyszkowski, M. Effect of neutralising substances on reducing influence of cobalt on the content of selected elements in soil. Int. Agroph. 2019, 33, 153–159. [Google Scholar] [CrossRef]
- Ciećko, Z.; Wyszkowski, M.; Krajewski, W.; Zabielska, J. Effect of organic matter and liming on the reduction of cadmium uptake from soil by triticale and spring oilseed rape. Sci. Total Environ. 2001, 281, 37–45. [Google Scholar] [CrossRef]
- Querol, X.; Alastuey, A.; Moreno, N.; Alvarez-Ayuso, E.; Garcia-Sanchez, A.; Cama, J.; Ayora, C.; Simon, M. Immobilization of heavy metals in polluted soils by the addition of zeolitic material synthesized from coal fly ash. Chemosphere 2006, 62, 171–180. [Google Scholar] [CrossRef]
- Panuccio, M.R.; Sorgona, A.; Rizzo, M.; Cacco, G. Cadmium adsorption on vermiculite, zeolite and pumice: Batch experimental studies. J. Environ. Manage. 2009, 90, 364–374. [Google Scholar] [CrossRef]
- Deenik, J.L.; McClellan, T.; Uehara, G.; Antal, M.J.; Campbell, S. Charcoal volatile matter content influences plant growth and soil nitrogen transformations. Soil Sci. Soc. Am. J. 2009, 74, 1259–1270. [Google Scholar] [CrossRef]
- Yamato, M.; Okimori, Y.; Wibowo, I.F.; Anshori, S.; Ogawa, M. Effects of the application of charred bark of Acacia mangium on the yield of maize, cowpea and peanut, and soil chemical properties in South Sumatra, Indonesia. Soil Sci. Plant Nutr. 2006, 52, 489–495. [Google Scholar] [CrossRef]
- Kolb, S.E.; Fermanich, K.J.; Dornbush, M.E. Effect of charcoal quantity on microbial biomass and activity in temperate soils. Soil Sci. Soc. Am. J. 2008, 73, 1173–1181. [Google Scholar] [CrossRef]
- Abdel-Sabour, M.F.; Al-Salama, Y.J. Zinc and cobalt phytoextraction by different plant species. Remediat. J. 2007, 18, 109–119. [Google Scholar] [CrossRef]
- Tappero, R.; Peltier, E.; Gräfe, M.; Heidel, K.; Ginder-Vogel, M.; Livi, K.J.T.; Rivers, M.L.; Marcus, M.A.; Chaney, R.L.; Sparks, D.L. Hyperaccumulator Alyssum murale relies on a different metal storage mechanism for cobalt than for nickel. New Phytol. 2007, 175, 641–654. [Google Scholar] [CrossRef]





| Parameter | Soil |
|---|---|
| Granulometric composition | loamy sand |
| Sand > 0.05 mm (%) | 73.9 |
| Silt 0.002–0.05 mm (%) | 24.1 |
| Clay < 0.002 mm (%) | 2.0 |
| pH value in 1 M KCl/dm3 | 5.05 |
| Hydrolytic acidity—HAC (mM(+)/kg d.m.) | 28.40 |
| Total exchangeable bases—TEB (mM(+)/kg d.m.) | 46.50 |
| Cation exchange capacity—CEC (mM(+)/kg d.m.) | 74.90 |
| Base saturation—BS (%) | 68.08 |
| Total organic carbon—TOC (g/kg d.m.) | 12.15 |
| Soil organic matter—SOM (g/kg d.m.) | 75.94 |
| Total cobalt (mg/kg d.m.) | 9.98 |
| Element | Granulated Bovine Manure | Clay | Charcoal | Zeolite | Calcium Oxide |
|---|---|---|---|---|---|
| Co (mg/kg d.m.) | 0.529 | 2.956 | 0.200 | 0.313 | 1.632 |
| P (g/kg d.m.) | 21.80 | 1.088 | 0.260 | 1.836 | 0.088 |
| K (g/kg d.m.) | 16.30 | 1.290 | 0.766 | 5.435 | 0.436 |
| Na (g/kg d.m.) | 0.379 | 0.161 | 0.172 | 0.215 | 0.073 |
| Ca (g/kg d.m.) | 28.61 | 14.48 | 15.01 | 15.85 | 351.87 |
| Mg (g/kg d.m.) | 6.020 | 0.525 | 0.477 | 0.553 | 0.901 |
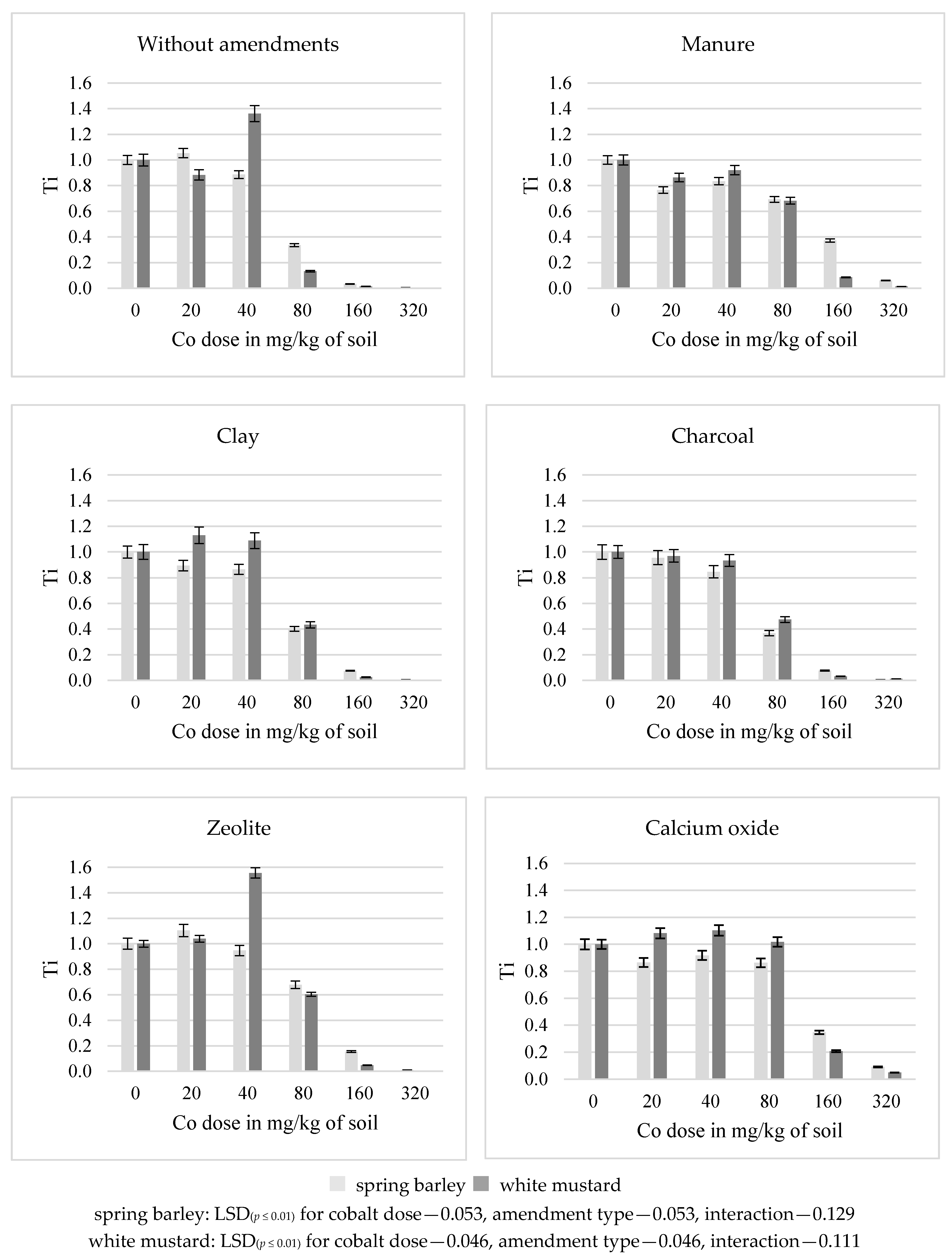
| Dose of Cobalt (mg/kg of soil) | Without Amendments | Amendment Type | |||||
|---|---|---|---|---|---|---|---|
| Manure | Clay | Charcoal | Zeolite | CaO | Average | ||
| Spring barley-above-ground parts | |||||||
| 0 | 43.52 a–c | 60.67 a | 43.85 b,c | 42.13 b,c | 37.87 b–d | 40.37 b,c | 44.74 D |
| 20 | 45.95 a–c | 46.84 a–c | 40.01 b–d | 39.66 b–d | 41.67 b,c | 35.91 b–d | 41.67 D,E |
| 40 | 38.44 b–d | 51.15 a,b | 38.75 b–d | 35.15 c–e | 35.50 b–e | 37.96 b–d | 39.49 E |
| 80 | 14.03 f–h | 42.35 b,c | 16.77 f–g | 14.77 f–h | 24.53 d–f | 34.11 c–e | 24.43 A |
| 160 | 1.04 g,h | 21.84 e,f | 2.54 g,h | 2.67 g,h | 4.43 g,h | 13.14 f–h | 7.61 B |
| 320 | 0.06 h | 3.06 g,h | 0.10 h | 0.10 h | 0.14 h | 2.56 g,h | 1.00 C |
| Average | 23.84 II | 37.65 I | 23.67 II | 22.41 II | 24.03 II | 27.34 II | 26.49 |
| r | −0.860 ** | −0.977 ** | −0.888 ** | −0.883 ** | −0.926 ** | −0.966 ** | −0.937 ** |
| LSD | CD-4.29 **, AT-4.29 **, CD·AT-10.50 ** | ||||||
| Spring barley roots | |||||||
| 0 | 1.89 a–d | 3.86 a–c | 2.64 a–d | 2.41 a–d | 1.90 a–d | 4.73 a,b | 2.90 B |
| 20 | 1.93 a–d | 2.51 a–d | 1.60 a–d | 2.92 a–d | 2.25 a–d | 3.10 a–d | 2.39 B,C |
| 40 | 1.78 a–d | 2.73 a–d | 1.52 a–d | 2.56 a–d | 2.16 a–d | 3.44 a–d | 2.37 B,C |
| 80 | 1.17 b–d | 2.35 a–d | 1.86 a–d | 1.61 a–d | 2.46 a–d | 4.81 a | 2.38 B,C |
| 160 | 0.48 c,d | 2.18 a–d | 0.95 c,d | 0.73 c,d | 1.74 a–d | 2.52 a–d | 1.43 A,C |
| 320 | 0.19 d | 0.81 c,d | 0.13 d | 0.14 d | 0.31 c,d | 1.56 a–d | 0.52 A |
| Average | 1.24 III | 2.40 I,II | 1.45 II,III | 1.73 II,III | 1.80 II,III | 3.36 I | 2.00 |
| r | −0.938 ** | −0.908 ** | −0.908 ** | −0.933 ** | −0.885 ** | −0.784 ** | −0.979 ** |
| LSD | CD-0.86 **, AT-0.86 **, CD·AT-2.09 ** | ||||||
| White mustard above-ground parts | |||||||
| 0 | 64.64 a–d | 91.93 a | 63.18 a–d | 61.97 a–d | 59.93 a–d | 73.58 a,b | 69.21 C |
| 20 | 57.21 a–d | 79.80 a | 71.34 a,b | 59.56 a–d | 62.04 a–d | 80.25 a | 68.37 C |
| 40 | 88.14 a | 84.57 a | 68.79 a–c | 57.57 a–d | 93.37 a | 81.02 a | 78.91 C |
| 80 | 8.32 e | 62.79 a–d | 27.26 d,e | 29.21 c–e | 36.35 b–e | 74.91 a,b | 39.81 A |
| 160 | 0.72 e | 7.54 e | 1.45 e | 1.89 e | 2.84 e | 15.44 e | 4.98 B |
| 320 | 0.00 e | 1.16 e | 0.00 e | 0.73 e | 0.00 e | 3.55 e | 0.91 B |
| Average | 36.51 II | 54.63 I | 38.67 II | 35.16 I | 42.42 I,II | 54.79 I | 43.70 |
| r | −0.748 ** | −0.923 ** | −0.865 ** | −0.891 ** | −0.817 ** | −0.917 ** | −0.890 ** |
| LSD | CD-9.49 **, AT-9.49 **, CD·AT-23.25 ** | ||||||
| White mustard roots | |||||||
| 0 | 2.24 b–f | 3.48 a,b | 2.68 a–d | 2.92 a–c | 3.13 a–c | 3.09 a–c | 2.92 C |
| 20 | 1.92 b–f | 2.61 a–d | 3.09 a–c | 3.40 a,b | 3.49 a,b | 2.74 a–d | 2.88 C |
| 40 | 2.98 a–c | 3.35 a,b | 2.85 a–c | 3.12 a–c | 4.69 a | 3.51 a,b | 3.42 C |
| 80 | 0.49 c–f | 2.32 b–e | 1.28 b–f | 1.52 b–f | 1.74 b–f | 3.17 a–c | 1.75 A |
| 160 | 0.22 e,f | 0.54 b–f | 0.21 e,f | 0.18 e,f | 0.18 e,f | 0.48 d–f | 0.30 B |
| 320 | 0.00 f | 0.12 e,f | 0.00 f | 0.06 e,f | 0.00 c–f | 0.23 e,f | 0.07 B |
| Average | 1.31 I | 2.07 II | 1.69 I,II | 1.87 I,II | 2.21 II | 2.20 II | 1.89 |
| r | −0.781 ** | −0.919 ** | −0.884 ** | −0.881 ** | −0.828 ** | −0.877 ** | −0.892 ** |
| LSD | CD-0.50 **, AT-0.50 **, CD·AT-1.22 ** | ||||||
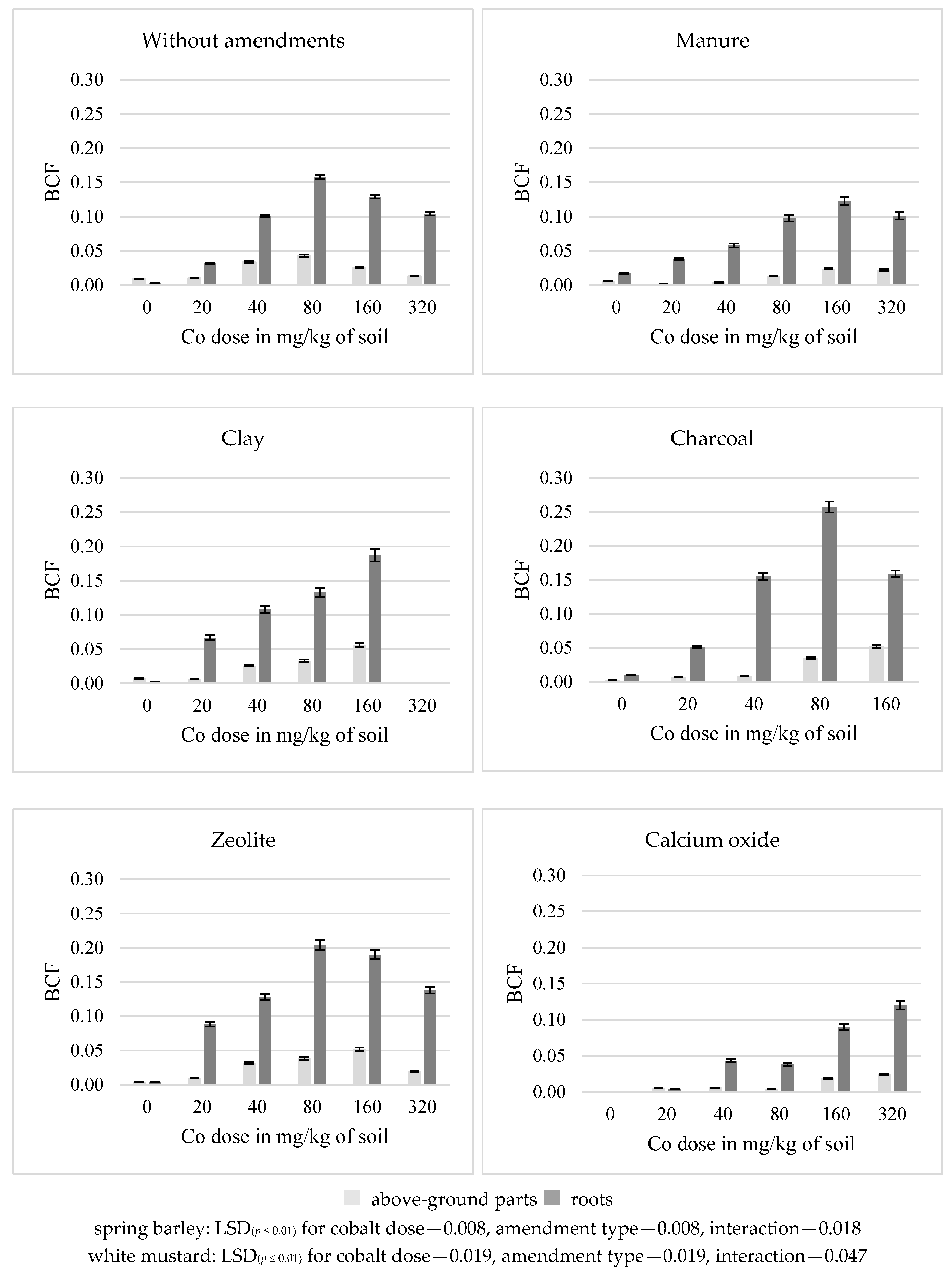
| Dose of Cobalt (mg/kg of soil) | Without Amendments | Amendment Type | |||||
|---|---|---|---|---|---|---|---|
| Manure | Clay | Charcoal | Zeolite | CaO | Average | ||
| Spring barley-above-ground parts | |||||||
| 0 | 0.089 i | 0.061 i | 0.079 i | 0.033 i | 0.033 i | 0.024 i | 0.053 F |
| 20 | 0.291 i | 0.052 i | 0.144 i | 0.208 i | 0.190 i | 0.125 i | 0.168 E |
| 40 | 1.352 g | 0.125 i | 1.057 g | 0.245 i | 1.075 g | 0.181 i | 0.673 D |
| 80 | 3.307 d | 0.706 h | 2.468 e | 2.496 e | 2.376 e,f | 1.343 g | 2.116 C |
| 160 | 3.390 d | 2.127 f | 6.064 b | 6.728 a | 6.157 b | 3.169 d | 4.606 A |
| 320 | 3.381 d | 3.492 d | n. a. | n. a. | 4.607 c | 3.261 d | 3.685 B |
| Average | 1.968 IV | 1.094 III | 1.962 IV | 1.942 IV | 2.406 I | 1.351 II | 1.884 |
| r | 0.765 ** | 0.987 ** | 0.992 ** | 0.977 ** | 0.801 ** | 0.907 ** | 0.820 ** |
| LSD | CD-0.072 **, AT-0.072 **, CD·AT-0.180 ** | ||||||
| Spring barley roots | |||||||
| 0 | 0.033 o | 0.178 o | 0.023 o | 0.134 o | 0.026 o | 0.019 o | 0.069 F |
| 20 | 0.922 n,o | 0.832 n,o | 1.648 m,n | 1.434 m,n | 1.710 m,n | 0.929 n,o | 1.246 E |
| 40 | 4.062 l | 1.901 m | 4.425 k,l | 4.944 k,l | 4.270 k,l | 1.541 m,n | 3.524 D |
| 80 | 12.040 g | 5.179 k | 9.903 i | 18.289 e | 12.767 g | 6.220 j | 10.733 C |
| 160 | 16.937 f | 10.948 h | 20.060 d | 20.503 d | 22.346 c | 15.997 f | 17.799 B |
| 320 | 26.918 b | 16.194 f | n. a. | n. a. | 32.918 a | 20.939 d | 24.242 A |
| Average | 10.152 II | 5.872 VI | 7.212 V | 9.061 III | 12.340 I | 7.608 IV | 9.602 |
| r | 0.974 ** | 0.984 ** | 0.999 ** | 0.924 ** | 0.978 ** | 0.965 ** | 0.963 ** |
| LSD | CD-0.212 **, AT-0.212 **, CD·AT-0.520 ** | ||||||
| White mustard above-ground parts | |||||||
| 0 | 0.083 m | 0.046 m | 0.139 m | 0.046 m | 0.056 m | 0.079 m | 0.075 B |
| 20 | 0.895 l,m | 0.288 l,m | 0.886 l,m | 0.329 l,m | 0.478 l,m | 0.139 m | 0.503 E |
| 40 | 3.965 j | 0.877 l,m | 3.571 j,k | 0.997 l,m | 3.339 j,k | 0.246 l,m | 2.166 D |
| 80 | 22.173 f | 2.092 k,l | 12.508 g | 9.503 h | 9.850 h | 1.006 l,m | 9.522 C |
| 160 | 32.979 d | 10.741 g,h | 45.579 b | 39.096 c | 28.999 e | 6.859 i | 27.376 B |
| 320 | n. a. | 28.392 e | n. a. | 49.544 a | n. a. | 10.495 h | 29.477 A |
| Average | 12.019 VI | 7.073 IV | 12.537 VI | 16.586 II | 8.544 III | 3.137 VI | 11.520 |
| r | 0.969 ** | 0.984 ** | 0.970 ** | 0.954 ** | 0.984 ** | 0.972 ** | 0.924 ** |
| LSD | CD-0.416 **, AT-0.416 **, CD·AT-1.016 ** | ||||||
| White mustard roots | |||||||
| 0 | 0.435 l | 2.228 h–k | 1.098 kl | 1.120 kl | 1.696 i–l | 0.120 l | 1.116 E |
| 20 | 1.652 i–l | 3.228 g–i | 3.663 g,h | 6.087 e,f | 2.957 g–j | 0.402 l | 2.998 D |
| 40 | 2.837 g–j | 8.424 c,d | 12.750 a | 8.478 c,d | 6.848 d,e | 0.833 k,l | 6.695 C |
| 80 | 4.478 f,g | 9.508 b,c | 14.212 a | 10.277 b | 6.870 d,e | 1.283 j–l | 7.771 B |
| 160 | 6.850 d,e | n. a. | n. a. | n. a. | n. a. | 12.902 a,k | 9.876 A |
| 320 | n. a. | n. a. | n. a. | n. a. | n. a. | n. a. | |
| Average | 3.250 IV | 5.847 III | 7.931 I | 6.491 III | 4.593 II | 3.108 IV | 5.691 |
| r | 0.987 ** | 0.918 ** | 0.913 ** | 0.920 ** | 0.877 ** | 0.918 ** | 0.910 ** |
| LSD | CD-0.035 **, AT-0.035 **, CD·AT-0.086 ** | ||||||
© 2020 by the authors. Licensee MDPI, Basel, Switzerland. This article is an open access article distributed under the terms and conditions of the Creative Commons Attribution (CC BY) license (http://creativecommons.org/licenses/by/4.0/).
Share and Cite
Kosiorek, M.; Wyszkowski, M. Remediation of Cobalt-Contaminated Soil Using Manure, Clay, Charcoal, Zeolite, Calcium Oxide, Main Crop (Hordeum vulgare L.), and After-Crop (Synapis alba L.). Minerals 2020, 10, 429. https://doi.org/10.3390/min10050429
Kosiorek M, Wyszkowski M. Remediation of Cobalt-Contaminated Soil Using Manure, Clay, Charcoal, Zeolite, Calcium Oxide, Main Crop (Hordeum vulgare L.), and After-Crop (Synapis alba L.). Minerals. 2020; 10(5):429. https://doi.org/10.3390/min10050429
Chicago/Turabian StyleKosiorek, Milena, and Mirosław Wyszkowski. 2020. "Remediation of Cobalt-Contaminated Soil Using Manure, Clay, Charcoal, Zeolite, Calcium Oxide, Main Crop (Hordeum vulgare L.), and After-Crop (Synapis alba L.)" Minerals 10, no. 5: 429. https://doi.org/10.3390/min10050429
APA StyleKosiorek, M., & Wyszkowski, M. (2020). Remediation of Cobalt-Contaminated Soil Using Manure, Clay, Charcoal, Zeolite, Calcium Oxide, Main Crop (Hordeum vulgare L.), and After-Crop (Synapis alba L.). Minerals, 10(5), 429. https://doi.org/10.3390/min10050429

