Controls on Associations of Clay Minerals in Phanerozoic Evaporite Formations: An Overview
Abstract
1. Introduction
2. Material
3. Results
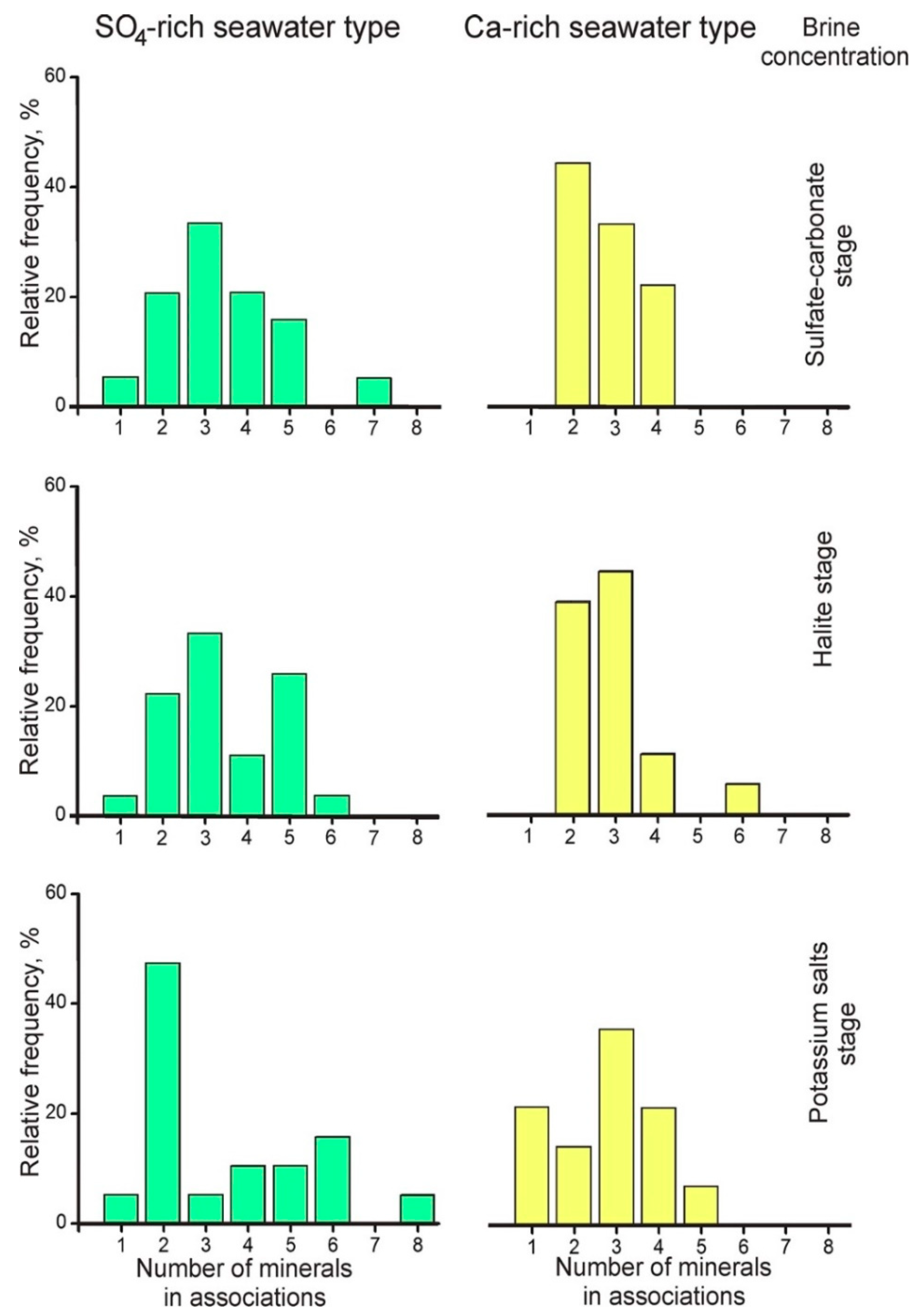
3.1. Associations of Clay Minerals of Phanerozoic Evaporites at Different Stages of Brine Concentration
3.2. Dependence of Clay Mineral Association of Phanerozoic Evaporite Formations on the Seawater Chemical Type
4. Discussion
4.1. Dependence of Clay Minerals of Phanerozoic Evaporites on the Stages of Brine Concentration
4.2. Dependence of Clay mineral association of Phanerozoic Evaporite Deposits on the Seawater Chemical Type
5. Conclusions
Author Contributions
Funding
Acknowledgments
Conflicts of Interest
References
- Dunoyer de Segonzac, G. The transformation of clay minerals during diagenesis and low-grade metamorphism: A review. Sedimentology 1970, 15, 281–346. [Google Scholar] [CrossRef]
- Frank-Kamenetskiy, V.A.; Kotov, N.V.; Goylo, E.L. Transformatsionnye Preobrazovaniya Sloistykh Silikatov; Nedra: Leningrad, USSR, 1983. (In Russian) [Google Scholar]
- Kossovskaya, A.G.; Drits, V.A. Kristallokhimiya dioktaedricheskikh slyud, khloritov i korrensitov kak indikatorov geologicheskikh obstanovok. In Problemy Litologii i Geokhimii Osadochnykh Porod i Rud; Nauka: Moskva, USSR, 1975; pp. 60–69. (In Russian) [Google Scholar]
- Sokolova, T.N. Autigennoe silikatnoe mineraloobrazovanie raznykh stadiy osolonennya. Tr. GIN 1982, 361, 1–164. (In Russian) [Google Scholar]
- Pozo, M.; Calvo, J.P. An Overview of Authigenic Magnesian Clays. Minerals 2018, 8, 520. [Google Scholar] [CrossRef]
- Yanshin, A.L. Evolyutsiya Geologicheskikh Protsessov v Istorii Zemli; Nauka: Leningrad, USSR, 1988. (In Russian) [Google Scholar]
- Garrels, R.M.; Mackenzie, F.T. Evolution of Sedimentary Rocks: A Geochemical Approach; Norton: New York, NY, USA, 1971. [Google Scholar]
- Weaver, C.E. Potassium, illite, and the ocean. Geochim. Cosmochim. Acta 1967, 31, 281–296. [Google Scholar] [CrossRef]
- Weaver, C.E. Origin and geologic implications of the palygorskite of the SE United States. Dev. Sedimentol. 1984, 37, 39–58. [Google Scholar]
- Weaver, C.E. Clays, Muds, and Shales. Dev. Sedimentol. 1989, 44, 1–818. [Google Scholar]
- Sandberg, P.A. An oscillating trend in Phanerozoic non-skeletal carbonate mineralogy. Nature 1983, 305, 19–22. [Google Scholar] [CrossRef]
- Holland, H.D.; Lazar, B.; McCaffrey, M.A. Evolution of the atmosphere and oceans. Nature 1986, 320, 27–33. [Google Scholar] [CrossRef]
- Hardie, L.A. Secular variation in seawater chemistry: An explanation for the coupled secular variation in the mineralogies of marine limestones and potash evaporites over the past 600 m.y. Geology 1996, 24, 279–283. [Google Scholar] [CrossRef]
- Kovalevych, V.M.; Peryt, T.M.; Petrichenko, O.I. Secular variation in seawater chemistry during the Phanerozoic as indicated by brine inclusions in halite. J. Geol. 1998, 106, 695–712. [Google Scholar] [CrossRef]
- Lowenstein, T.K.; Timofeeff, M.N.; Brennan, S.T.; Hardie, L.A.; Demicco, R.V. Oscillations in Phanerozoic seawater chemistry: Evidence from fluid inclusions. Science 2001, 294, 1086–1088. [Google Scholar] [CrossRef] [PubMed]
- Horita, J.; Zimmermann, H.; Holland, H.D. Chemical evolution of seawater during the Phanerozoic: Implications from the record of marine evaporites. Geochim. Cosmochim. Acta 2002, 66, 3733–3756. [Google Scholar] [CrossRef]
- Holland, H.D. The geologic history of seawater. Treatise Geochem. 2003, 6, 583–625. [Google Scholar]
- Bąbel, M.; Schreiber, B.C. Geochemistry of Evaporites and Evolution of Seawater. Treatise Geochem. 2014, 9, 483–560. [Google Scholar] [CrossRef]
- Poberezhskiy, A.V. Fiziko-khimicheskie Usloviya Formirovaniya Badenskikh Sul’fatno-karbonatnykh Otlozheniy Predkarpat’ya (v Svyazi s Ikh Seronosnost’yu); Lviv, USSR, 1991. (In Russian) [Google Scholar]
- Bobrovnik, D.P.; Karpenchuk, Y.R. K litologii i mineralogii verkhnetortonskikh otlozheniy tirasskoy svity vnutrenney zony Predkarpatskogo progiba. In Voprosy Litologii i Petrografii; Lviv University Publishing House: Lviv, USSR, 1969; Volume 1, pp. 46–56. (In Russian) [Google Scholar]
- Yaremchuk, Y.V.; Poberezhs’kyy, A.V. Mineral’nyy sklad hlyn badens’kykh hipsiv Naddnistrov’’ya. Mineral. Zb. 2009, 59, 116–127. (In Ukrainian) [Google Scholar]
- Bilonizhka, P.M.; Vinar, O.N.; Mel’nikov, V.S. O mineral’nom sostave glin solyanykh porod kaliynykh mestorozhdeniy Prikarpat’ya. In Voprosy Mineralogii Osadochnykh Obrazovaniy; Lviv University Publishing House: Lviv, USSR, 1966; Volume 7, pp. 147–158. [Google Scholar]
- Oliyovych, O.; Yaremchuk, Y.; Hryniv, S. Hlyny halohennykh vidkladiv i kory zvitryuvannya Kalush-Holyns’koho rodovyshcha kaliynykh soley (miotsen, Peredkarpattya). Mineral. Zb. 2004, 54, 214–223. (In Ukrainian) [Google Scholar]
- Yaremchuk, Y.V.; Halamay, A.R. Mineral’nyy sklad vodonerozchynnoho zalyshku badens’koyi kam’’yanoyi soli Ukrayins’koho Peredkarpattya (dilyanka Hrynivka). Heol. Heokhim. Horyuch. Kop. 2009, 1, 79–90. (In Ukrainian) [Google Scholar]
- Yaremchuk, Y.V.; Hryniv, S.P. Mineral’nyy sklad hlyn kam"yanoyi soli miotsenovykh evaporytiv Karpat·s’koho rehionu Ukrayiny. In Suchasni Problemy Litolohiyi i Mineraheniyi Osadovykh Baseyniv Ukrayiny ta Sumizhnykh Terytoriy; IHN Ukrayiny: Kyiv, Ukraine, 2008; pp. 209–215. (In Ukrainian) [Google Scholar]
- Cebulak, S.; Janeczek, J.; Langer-Kuźniarowa, A.; Bzowska, G. Wskaźnikowe znaczenie minerałów ilastych skał zubrowych w badaniach mioceńskiej formacji solnej. In Mioceńskie Złoża Soli w Rejonie Przykarpackim; Akademia Górniczo-Hutnicza, Polskie Towarzystwo Geologiczne: Kraków, Poland, 2004. (In Polish) [Google Scholar]
- Langier-Kuźniarowa, A.; Cebulak, S.; Starnawska, E.; Czapowski, G. Mineral composition of mixed clayely-salt deposits (zuber) from the Neogene (Upper Badenian) succession of the Polish Carpathian Foredeep. Mineral. Zb. 2002, 52, 101–105. [Google Scholar]
- Środoń, J. Mixed-layer illite-smectite in low-temperature diagenesis: Data from the Miocene of the Carpatian Foredeep. Clay Miner. 1984, 19, 205–215. [Google Scholar] [CrossRef]
- Bilonizhka, P.M. O mineral’nom sostave karbonatov i glin Solotvinskogo mestorozhdeniya kamennoy soli (Zakarpat’e). In Voprosy Geologii i Geokhimii Galogennykh Otlozheniy; Naukova dumka: Kiev, USSR, 1979; pp. 53–61. (In Russian) [Google Scholar]
- Kityk, V.I.; Bokun, A.N.; Panov, G.M.; Slivko, E.P.; Shaydetskaya, V.S. Galogennye Formatsii Ukrainy: Zakarpatskiy Progib; Naukova dumka: Kiev, USSR, 1983. (In Russian) [Google Scholar]
- Gabinet, P.M.; Slivko, E.P. Glinistye mineraly iz kamennoy soli rayona Svalyavy v Zakarpat’e. Mineral. Sb. 1984, 38, 56–62. (In Russian) [Google Scholar]
- Ivanov, A.G.; Apollonov, V.N.; Borisenkov, V.I. Mineral’nye paragenezy galopelitov v otlozheniyakh kaliynykh soley. Dokl. AN SSSR 1980, 253, 469–472. (In Russian) [Google Scholar]
- Rateev, M.A.; Osipova, A.I. Glinistye mineraly v otlozheniyakh aridnoy zony paleogena Fergany. Dokl. AN SSSR 1958, 123, 166–169. (In Russian) [Google Scholar]
- Rateev, M.A. Zakonomernosti razmeshcheniya i genezis glinistykh mineralov v sovremennykh i drevnikh morskikh basseynakh. Tr. GIN 1964, 112, 1–273. (In Russian) [Google Scholar]
- Gerasimova, V.V. Geologo-litologicheskaya kharakteristika i usloviya formirovaniya solenosnoy svity Severo-Zapadnoy Fergany. Tr. VNIIG 1960, 40, 169–215. (In Russian) [Google Scholar]
- Millot, G. Relations entre la constitution et la genese des roches sedimentaires argileuses. Geol. Appl. Prosp. Min. 1949, 2, 1–352. [Google Scholar]
- Yaremchuk, Y.; Vovnyuk, S.; Tarik, M. Hlynysti mineraly eotsenovoyi kam"yanoyi soli formatsiyi Bakhadar khel’, Pakystan. Heol. Heokhim. Horyuch. Kop. 2020, 1. in press (In Ukrainian) [Google Scholar]
- Suwanich, P. Clay-mineral assemblages from some levels of K-118 drill core of Maha Sarakham evaporites, northeastern Thailand. J. Asian Earth Sci. 1993, 8, 369–381. [Google Scholar] [CrossRef]
- Popov, V.S.; Osichkina, R.G. Glinistye mineraly—Indikatory usloviy formirovaniya solyanykh tolshch (na primere galogennykh formatsiy Sredney Azii). In Khimiya i Tekhnologiya Mineral’nykh Udobreniy; Fan: Tashkent, USSR, 1971; pp. 155–176. (In Russian) [Google Scholar]
- Khmelevskaya, E.V. Autigennye mineraly-primesi v verkhneyurskoy kamennoy soli Preddobrudzh’ya i Sredney Azii. Mineral. Sb. 1990, 44, 75–77. (In Russian) [Google Scholar]
- Yaremchuk, Y.V. Zalezhnist’ mineral’noho skladu pelitovoyi fraktsiyi vodonerozchynnoho zalyshku evaporytiv vid khimichnoho typu rozsoliv mors’kykh solerodnykh baseyniv. Heol. Heokhim. Horyuch. Kop. 2009, 3–4, 81–95. (In Ukrainian) [Google Scholar]
- Kubler, B. La corrensite, indicateur possible de milieux de sedimentation et du degre de transformation d’un sediment. Bull. Cent. Rech. Pau SNPA 1973, 7, 543–556. [Google Scholar]
- Luсas, J. La transformation des mineraux argileux dans la sedimentation. Etudes sur les argiles du Trias. Mém. Serv. Cart. Géol. Als. Lorr. 1962, 20, 1–499. [Google Scholar]
- Schlenker, B. Petrographische Untersuchungen am Gipskeuper und Lettenkeuper von Stuttgart. Oberrh. Geol. Abh. 1971, 20, 69–102. [Google Scholar]
- Lippman, F.; Savascin, M. Mineralogische Untersuchungen an Lösungsrückständen eines württembergischen Keupergipsvorkommens. Tschermak’s Mineral. Petrogr. Mitt. 1969, 13, 165–190. [Google Scholar] [CrossRef]
- Keeling, P.S. Sepiolite at a locality in the Keuper marl of the Midlands. Mineral. Mag. 1956, 31, 328–332. [Google Scholar] [CrossRef]
- Honeyborne, D.B. The clay minerals in the Keuper Marl. Clay Miner. Bull. 1951, 1, 150–157. [Google Scholar] [CrossRef]
- Fisher, M.J.; Jeans, C.V. Clay mineral stratigraphy in the Permo-Triassic red bed sequence of BNOC 72/10-1A, Western Approaches, and the South Devon coast. Clay Miner. 1982, 17, 79–89. [Google Scholar] [CrossRef]
- Lucas, J.; Bronner, A.M. Evolution des argiles sedimentaires dans le basin triasique du Jura francais. Bull. Serv. Cart. Géol. Als. Lorr. 1961, 14, 137–149. [Google Scholar]
- Becher, A. Eine Tonmineralfolge vom Beckenrend zum Beckeninneren im Buntsandstein Nordost Bayerns. Beitr. Mineral. Petrogr. 1965, 11, 586–613. [Google Scholar]
- Bodine, M.W., Jr. Trioctahedral Clay Mineral Assemblages in Paleozoic Marine Evaporite Rocks. In Sixth International Symposium on Salt; Salt Institute: Alexandria, VA, USA, 1985; Volume 1, pp. 267–284. [Google Scholar]
- Grim, R.E.; Droste, J.B.; Bradley, W.F. A mixed layer clay mineral associated with an evaporite. Clay Clay Miner. 1960, 8, 228–236. [Google Scholar] [CrossRef]
- Langer-Kuźniarowa, A. Clay minerals of the Zechstein Oldest Rock Salt of northern Poland. In Tenth Conference on Clay Mineralogy and Petrology; Univerzita Karlova: Praha, Czechoslovakia, 1988; pp. 145–150. [Google Scholar]
- Kühn, R. Zur Kenntnis des Könenits. N. Jb. Miner. Mh. 1951, 1, 1–16. [Google Scholar]
- Füchtbauer, H.; Goldschmidt, H. Die Tonminerale der Zechsteinformation. Beitr. Mineral. Petrogr. 1959, 6, 320–345. [Google Scholar]
- Pundeer, G.S. Mineralogy, genesis and diagenesis of a brecciated shaly clay from the Zechstein evaporite series of Germany. Contrib. Mineral. Petrol. 1969, 23, 65–85. [Google Scholar] [CrossRef]
- Braitsch, O. Entstehung und Stoffbestand der Salzlagerstatten. In Mineralogie und Petrographie in Eizeldarstellungen; Springer: Berlin, Germany, 1962; Volume 3, pp. 1–232. [Google Scholar]
- Braitsch, O. Salt Deposits, Their Origin and Composition; Springer: Berlin, Germany, 1971. [Google Scholar]
- Braitsch, O. Mineralparagenesis und Petrologie der Stassfurtsalz in Reyerhaursen. Kali Steinsalz 1960, 1, 1–14. [Google Scholar]
- Dreizler, I. Mineralogische untersuchungen in zwei Gipsvorkommen der Werraserie (Zechstein). Beitr. Mineral. Petrogr. 1962, 8, 323–338. [Google Scholar] [CrossRef]
- Kossovskaya, A.G.; Sokolova, T.N. Grauvakki krasnotsvetnykh formatsiy Orenburgskogo Priural’ya. Tr. GIN 1972, 238, 280–284. (In Russian) [Google Scholar]
- Kossovskaya, A.G.; Sokolova, T.N.; Drits, V.A.; Sakharov, B.A. Paragenezy i istoriya formirovaniya glinistykh mineralov v basseynakh nachal’noy stadii evaporitovoy sedimentatsii. In Problemy Litologii i Geokhimii Osadochnykh Porod i Rud; Nauka: Moskva, USSR, 1975; pp. 279–296. (In Russian) [Google Scholar]
- Borisenkov, V.I.; Apollonov, V.N.; Ivanov, A.G. Sostav galopelitov Verkhnekamskogo kaliynogo mestorozhdeniya kak geokhimicheskiy pokazatel’ paleousloviy razvitiya solerodnogo basseyna. In Stroenie i Usloviya Formirovaniya Mestorozhdeniy Kaliynykh Soley; Nauka: Novosibirsk, USSR, 1981; pp. 110–118. (In Russian) [Google Scholar]
- Shekhunova, S.; Yaremchuk, Y.; Shevchenko, O.; Kochubey, V. Osoblyvosti asotsiatsiyi hlynystykh mineraliv solenosnykh formatsiy Dniprovs’ko-Donets’koyi zapadyny. Mineral. Zb. 2010, 60, 92–122. (In Ukrainian) [Google Scholar]
- Shekhunova, S.B. Osoblyvosti mineral’noho skladu fraktsiyi menshe 1 μm vodonerozchynnoho zalyshku kam"yanoyi soli solenosnykh formatsiy Dniprovs’ko-Donets’koyi zapadyny. Heol. Zhurn. 2010, 1, 125–130. (In Ukrainian) [Google Scholar]
- Shutov, V.D. Mineral’nye paragenezy grauvakkovykh kompleksov. Tr. GIN 1975, 278, 63–81. (In Russian) [Google Scholar]
- Rateev, M.A. Mineralogiya i genezis palygorskitov i sepiolitov v morskikh otlozheniyakh karbona Russkoy platform. Litol. i Polezn. Iskop. 1963, 1, 58–72. (In Russian) [Google Scholar]
- Nelson, S.W. Authigenic muscovite and chlorite in the Maccrady formation (abs.). Geol. Soc. Am. Bull. 1960, 71, 1935. [Google Scholar]
- Peterson, M.N.A. Expandable chloritic clay minerals from Upper Mississippian carbonate rocks of the Cumberland Plateau in Tennessee. Am. Mineral. 1961, 46, 1245–1269. [Google Scholar]
- Peterson, M.N.A. The mineralogy and petrology of Upper Mississippian carbonate rocks of the Cumberland Plateau in Tennessee. J. Geol. 1962, 70, 1–31. [Google Scholar] [CrossRef]
- Harrison, J.L.; Droste, J.B. Clay partings in gypsum deposits in southwestern Indiana. Clay Clay Miner. 1960, 7, 195–199. [Google Scholar] [CrossRef]
- Yarzhemskiy, Y.Y. K petrografii Belorusskogo solyanogo mestorozhdeniya. Tr. VNIIG 1960, 40, 307–321. (In Russian) [Google Scholar]
- Shcherbina, V.N. O sootnosheniyakh karbonatno-glinistogo i sul’fatnogo komponentov v glinistykh i sil’vinitovykh porodakh Pripyatskogo solyanogo basseyna. Dokl. AN BSSR 1960, 4, 213–215. (In Russian) [Google Scholar]
- Shcherbina, V.N. O vodorastvorimykh komponentakh solyanykh glin Starobinskogo mestorozhdeniya. Dokl. AN BSSR 1963, 7, 772–774. (In Russian) [Google Scholar]
- Ivanov, A.A.; Levitskiy, Y.F.; Bayazitov, S.K.; Banchenko, M.S. Geologiya i usloviya formirovaniya Starobinskogo mestorozhdeniya kaliynykh soley v Belorussii. Tr. VSEGEI N. Ser. 1961, 68, 3–75. (In Russian) [Google Scholar]
- Lupinovich, Y.I.; Tikhonov, S.A. K kharakteristike sostava fraktsii men’she 0,001 mm galopelitov kaliynykh gorizontov Starobinskogo mestorozhdeniya. In Stratigrafiya, Litologiya i Poleznye Iskopaemye BSSR; Nauka i tekhnika: Minsk, USSR, 1966; pp. 190–201. (In Russian) [Google Scholar]
- Lyakhovich, O.K. Veshchestvennyy sostav galopelitov Starobinskogo mestorozhdeniya. In Geologiya i Petrografiya Kaliynykh Soley Belorussii; Nauka i tekhnika: Minsk, USSR, 1969; pp. 301–332. (In Russian) [Google Scholar]
- Zaytseva, N.V. Rentgenostrukturnaya kharakteristika solyanykh glin Starobinskogo mestorozhdeniya kaliynykh soley. Byul. Nauch.-Tekhn. Inform. 1966, 2, 31–35. (In Russian) [Google Scholar]
- Rasskazov, A.A. Mineraly Glin Kalienosnykh Otlozheniy (Rayon Starobinskogo Mestorozhdeniya); Nauka: Moskva, USSR, 1984. (In Russian) [Google Scholar]
- Rasskazov, A.A. Tufogennye gliny i vozmozhnosti ikh ispol’zovaniya dlya differentsirovaniya solenosnykh obrazovaniy. In Osadochnye Porody i Rudy; Naukova dumka: Kiev, USSR, 1978; pp. 177–185. (In Russian) [Google Scholar]
- Eroshina, D.M. Geologiya, Usloviya Formirovaniya i Kalienosnost’ Solenosnoy Tolshchi Severo-Zapadnoy Chasti Pripyatskoy Vpadiny; Minsk, USSR, 1969. (In Russian) [Google Scholar]
- Shaydetskaya, V.S. Mineralogo-geokhimicheskie osobennosti devonskoy kamennoy soli severo-zapadnoy chasti Dneprovsko-Donetskoy vpadiny. In Geokhimicheskie Zakonomernosti Formirovaniya Galogennykh Otlozheniy; IGiG SO AN SSSR: Novosibirsk, USSR, 1983; pp. 62–63. (In Russian) [Google Scholar]
- Mossman, D.J.; Delabio, R.N.; Mackintosh, D. Mineralogy of clay marker seams in some Saskatchewan potash mines. Can. J. Earth Sci. 1982, 19, 2126–2140. [Google Scholar] [CrossRef]
- Pastukhova, M.V. Autigennye mineraly v khemogenno-terigennykh porodakh Tuz-Tagskoy solenosnoy tolshchi. Litol. Polezn. Iskop. 1965, 1, 31–52. (In Russian) [Google Scholar]
- Lounsbury, R.W. Clay mineralogy of the Salina Formation, Detroit, Michigan. In Symposium on Salt; Northern Ohio Geological Society: Cleveland, OH, USA, 1963; pp. 56–63. [Google Scholar]
- Bodine, M.W., Jr.; Fernalld, T.H.; Standaert, R.R. The talk-quartz association in marine evaporite (abs.). Trans. Am. Geophys. Union 1973, 54, 487. [Google Scholar]
- Bodine, M.W., Jr.; Standaert, R.R. Chlorite and illite compositions from Upper Silurian rock salt, Retsof, New York. Clays Clay Miner. 1977, 25, 57–71. [Google Scholar] [CrossRef]
- Kolosov, A.S.; Pustyl’nikov, A.M.; Moshkina, I.A.; Mel’nikova, Z.M. Tal’k v kembriyskikh solyakh Kansko-Taseevskoy vpadiny. Dokl. AN SSSR 1969, 185, 174–178. (In Russian) [Google Scholar]
- Pisarchik, Y.K. Novye dannye o sostave glinistogo veshchestva karbonatno-galogennykh otlozheniy nizhnego kembriya Irkutskogo amfiteatra. Mater. VSEGEI N. Ser. 1956, 1, 92–99. (In Russian) [Google Scholar]
- Iaremchuk, I.; Tariq, M.; Hryniv, S.; Vovnyuk, S.; Meng, F. Clay minerals from rock salt of Salt Range Formation (Late Neoproterozoic–Early Cambrian, Pakistan). Carbonates Evaporites 2017, 32, 63–74. [Google Scholar] [CrossRef]
- Pustyl’nikov, A.M. Glinistye, Khemo- i Biokhemogennye Porody: Metodicheskaya Razrabotka Dlya Prakticheskikh Zanyatiy po Kursu petrografiya Osadochnykh Porod; Novosibirsk State University: Novosibirsk, USSR, 1992. (In Russian) [Google Scholar]
- Wójtowicz, A.; Hryniv, S.P.; Peryt, T.M.; Bubniak, A.; Bubniak, I.; Bilonizhka, P.M. K/Ar dating of the Miocene potash salts of the Carpathian Foredeep (West Ukraine): Application to dating of tectonic events. Geol. Carpath. 2003, 54, 243–249. [Google Scholar]
- Hryniv, S.P.; Dolishniy, B.V.; Khmelevska, O.V.; Poberezhskyy, A.V.; Vovnyuk, S.V. Evaporites of Ukraine: A review. Geol. Soc. Spec. Publ. 2007, 285, 309–334. [Google Scholar] [CrossRef]
- Peryt, T.M.; Hryniv, S.P.; Anczkiewicz, R. Strontium isotope composition of Badenian (Middle Miocene) Ca-sulphate deposits in West Ukraine: A preliminary study. Geol. Quart. 2010, 54, 465–476. [Google Scholar]
- Droste, J.B. Clay mineral composition of evaporite sequences. North Ohio Geol. Soc. Mon. 1963, 1, 47–54. [Google Scholar]
- McCaffrey, M.A.; Lazar, B.; Holland, H.D. The evaporation path of seawater and the coprecipitation of Br and K with halite. J. Sediment. Petr. 1987, 57, 928–937. [Google Scholar]
- Bilonizhka, P.; Iaremchuk, I.; Hryniv, S.; Vovnyuk, S. Clay minerals of Miocene evaporites of the Carpathian Region, Ukraine. Biul. Państw. Inst. Geol. 2012, 449, 137–146. [Google Scholar]
- Yarzhemskaya, E.A. Veshchestvennyy sostav galopelitov. Tr. VNIIG 1954, 29, 260–314. (In Russian) [Google Scholar]
- Yaremchuk, Y. Zalezhnist’ asotsiatsiy hlynystykh mineraliv v neohenovykh evaporytakh Karpat·s’koho rehionu vid kontsentratsiyi rozsoliv solerodnykh baseyniv. Heol. Heokhim. Horyuch. Kop. 2012, 3–4, 119–130. (In Ukrainian) [Google Scholar]
- Drits, V.A.; Kossovskaya, A.G. Glinistye Mineraly: Smektity, Smeshanosloynye Obrazovaniya; Nauka: Moskva, USSR, 1990. (In Russian) [Google Scholar]
- Robinson, D.; Schmidt, S.T.; Santana de Zambora, A. Reaction pathways and reaction progress for the smectite-to-chlorite transformation: Evidence from hydrothermally altered metabasites. J. Metamorph. Geol. 2002, 20, 167–174. [Google Scholar] [CrossRef]
- Schiffman, P.; Staudigel, H. The smectite to chlorite transition in a fossil seamount hydrothermal system: The Basement Complex of La Palma, Canary Islands. J. Metamorph. Geol. 1995, 13, 487–498. [Google Scholar] [CrossRef]
- Strakhov, N.M. Osnovy Teorii Litogeneza (Zakonomernosti Sostava i Razmeshcheniya Aridnykh Otlozheniy); AN USSR: Moskva, USSR, 1962. (In Russian) [Google Scholar]
- Petrova, N.S.; Shablovskaya, R.K.; Vysotskaya, M.S. Tufogennye glinistye porody kalienosnykh i nadsolevykh otlozheniy Pripyatskogo progiba. In Novye Dannye po Geologii Solenosnykh Basseynov Sovetskogo Soyuza; Nauka: Moskva, USSR, 1986; pp. 58–66. (In Russian) [Google Scholar]
- Ronov, A.B. Osadochnaya Obolochka Zemli; Nauka: Moskva, USSR, 1980. (In Russian) [Google Scholar]
- Lowenstein, T.K.; Hardie, L.A.; Timofeeff, M.N.; Demicco, R.V. Secular variation in seawater chemistry and the origin of calcium chloride basinal brines. Geology 2003, 31, 857–860. [Google Scholar] [CrossRef]
- Yaremchuk, Y.V. Hlynysti mineraly evaporytiv fanerozoyu ta yikhnya zalezhnist’ vid stadiyi z·hushchennya rozsoliv i khimichnoho typu okeanichnoyi vody. In Suchasni Probl. Litolohiyi Osadovykh Baseyniv Ukrayiny Ta Sumizhnykh Teryt.; Instytut Heolohichnykh Nauk NANU: Kyiv, Ukraine, 2010; Volume 3, pp. 107–115. (In Ukrainian) [Google Scholar]
- Yaremchuk, Y.V.; Vovnyuk, S.V.; Hryniv, S.P. The pecularities of high-magnesium clay minerals occurrence in Phanerozoic evaporite formation. Geodynamics 2020, 28, 52–61. [Google Scholar] [CrossRef]
- Garrels, R.M.; Christ, C.L. Solutions, Minerals, and Equilibria; Harper & Row: New York, NY, USA, 1965. [Google Scholar]
- Lomova, O.S. Palygorskity i sepiolity kak indikatory geologicheskikh obstanovok. Tr. GIN 1979, 336, 1–180. (In Russian) [Google Scholar]
- Jones, B.F.; Galán, E. Sepiolite and palygorskite. Rev. Mineral. Geochem. 1988, 19, 631–674. [Google Scholar]
- Murakami, T.; Sato, T.; Inoue, A. HRTEM evidence for the process and mechanism of saponite-to-chlorite conversion through corrensite. Am. Mineral. 1999, 84, 1080–1087. [Google Scholar] [CrossRef]
- Beaufort, D.; Baronnet, A.; Lanson, B.; Meunier, A. Corrensite: A single phase or a mixed-layer phyllosilicate in the saponite-to-chlorite conversion series? A case study of Sancerre-Couy deep drill hole (France). Am. Mineral. 1999, 82, 109–124. [Google Scholar] [CrossRef]
- Rateev, M.A. Autigennoe glinoobrazovanie pri vulkanogenno-osadochnom litogeneze. In: Osadkoobrazovanie i poleznye iskopaemye vulkanicheskikh oblastey proshlogo. Tr. GIN 1968, 112, 209–242. (In Russian) [Google Scholar]
- Millot, G. Geology of Clays: Weathering, Sedimentology, Geochemistry; Springer: New York, NY, USA, 1970. [Google Scholar]
- Kovalevich, V.M.; Vovnyuk, S.V. Vekovye variatsii khimicheskogo sostava rassolov morskikh evaporitovykh basseynov i vod Mirovogo okeana. Geol. i Polezn. Iskop. Mirovogo Okeana 2010, 4, 45–61. (In Russian) [Google Scholar]






| Formation Number | System, Series | Stage, Formation, Suite, Horizon | Basin, Deposit, Country | Clay Minerals in Evaporites Deposited at Different Concentration Stages | Ref. | ||
|---|---|---|---|---|---|---|---|
| Sulfate-Carbonate | Halite | Potassium Salts | |||||
| 1 | Neogene, Miocene 2 | Badenian, Tyras Suite | Carpathian Foredeep, Bil’che-Volytsya zone, Ukraine | ch, s, i | [19] | ||
| s, i, ch, ch-s, i-s | [20,21] | ||||||
| Carpathian Foredeep, Kalush-Holyn’ potassium salt deposit, Ukraine1 | i, ch | [22,23] | |||||
| Carpathian Foredeep, Hrynivka area, Ukraine | s, i, ch, ch-s, i-s, co | [24] | |||||
| Carpathian Foredeep, Silets’-Stupnytsya area, Ukraine | i, ch, ch-s, i-s, co | [25] | |||||
| Badenian, Wieliczka Formation | Carpathian Foredeep, Wieliczka and Bochnia rock salt deposits, Poland | s, i-s, ch-s, i, k | [26,27] | ||||
| Badenian, Krzyża- nowice Formation | Carpathian Foredeep, Badenian gypsum, Poland | i, i-s, k | [28] | ||||
| 2 | Neogene, Miocene 2 | Badenian, Tereblya suite | Transcarpathian Depression, Ukraine | i, ch, i-s | [29,30,31] | ||
| 3 | Neogene, Miocene 2 | Eger-Eggenburgian, Vorotyshcha Suite | Carpathian Foredeep, Stebnyk potassium salt deposit, Ukraine | i, ch | [22,32] | ||
| Carpathian Foredeep, Boryslav, Strutyn areas, Ukraine | i, ch, i-s | [25] | |||||
| 4 | Paleogene, Oligocene 2 | Suzak (upper part) | Fergana Basin, Uzbekistan | sp, s, i | [33,34] | ||
| 5 | Paleogene, Oligocene 2 | Fergana Basin, Kamish-Kurgan rock salt deposit, Uzbekistan | s, ch | [35] | |||
| 6 | Paleogene, Oligocene 2 | Sanuasian | Rhein Graben, Alsatian potassium salt deposit, France | i | [32] | ||
| Mulhouse Horst, Alsatian potassium salt deposit, France | i, i-s | [36] | |||||
| 7 | Paleogene, Eocene (lower 2) | Bahadur Khel Salt Formation | Kohat-Potwar Plateau, Pakistan | ch*, ch-s, k, i, ch | [37] | ||
| 8 | Cretaceous–Paleogene 3 | Maha Sarakham Formation | K-118 borehole, NE Thailand | i, ch, ch-s | i, ch, ch-s | [38] | |
| 9 | Lower Cretaceous 3 | Almurad Suite | SW branches of Hissar Range, Karabil, Tajikistan | i, ch | [39] | ||
| 10 | Upper Jurassic 3 | Kimmeridgian-Tithonian, Gaurdak Suite | SW branches of Hissar Range, Tubegatan, Tajikistan | i, ch | [39] | ||
| SW branches of Hissar Range, Kizil-Mazar, Ak-Bash, Tajikistan | i, ch, k | i, ch, k | [39] | ||||
| Tajik Depression, Tut-Bulak, Tajikistan | i, k | i, ch, sp, k | [39] | ||||
| 11 | Upper Jurassic 3 | Kimmeridgian, Kongaz Suite | Foredobrudzha, Ukraine | i, ch, s | [40] | ||
| i, ch, ch-s, i-s | [41] | ||||||
| 12 | Upper Triassic 2 | North Africa | i, ch, co, k | [42] | |||
| Atlas-Oran Basin Demnate, Morocco | i, ch | i, ch | [43] | ||||
| Western Moroccan Basin, Morocco | s, i, ch*, sp, p | [43] | |||||
| 13 | Upper Triassic 2 | Carnian and Norian, Keuper | Stuttgart, Germany | i, ch, co | [44] | ||
| Germany | i, co | [45] | |||||
| Midlands, England | sp, i | [46] | |||||
| i, ch* | [47] | ||||||
| South Devon Coast, England | i, ch, i-s, sp, p | [48] | |||||
| Western Approaches, Great Britain | i | i, ch, co | [48] | ||||
| Lorraine Basin, France | i, ch, hb-v | [36] | |||||
| i, ch, co, ch-s | i, ch, co | [43] | |||||
| 14 | Upper, Middle Triassic 2 | Keuper, Muschelkalk | Jurassic Basin, France | i, ch, co, ch-s | [43,49] | ||
| Paris Basin, France | i, ch, co | [43] | |||||
| 15 | Lower Triassic 2 | Buntsandstein | German Basin, Eastern Bavaria, Germany | i, ch, co, ch-s | [50] | ||
| 16 | Upper Permian 2 | Castile Formation | Delaware Basin, NM, USA | sp, s, ch | [51] | ||
| 17 | Upper Permian 2 | Salado Formation | Delaware Basin, NM, USA | s, i, ch, t | i, ch-s, ch, t, t-s | [51] | |
| ch-s, ch-v, co, i, ch | [52] | ||||||
| 18 | Upper Permian 2 | Zechstein | Southern Permian Basin, Western Poland | s, i, ch, p, ch-s | [53] | ||
| Southern Permian Basin, Western Germany | i, ch, t, s, ch-s, i-s, co | i, ch, co | i, ch | [54,55] | |||
| ch, t | i, ch | i, ch, co, ch-s, t, sp | [56,57,58] | ||||
| co, i, ch, t | ch, i | [59] | |||||
| co, ch, i, t | co, ch, i | [58] | |||||
| t, co, s, i, ch | [60] | ||||||
| 19 | Middle Permian 2 | Kazan | Uralian Foredeep, Russia | i, ch, co, ch-s | [61] | ||
| Uralian Foredeep, Buguruslan-Sorochinsk Basin, Russia | ch, ch-s, co, i, s | i, ch | [4] | ||||
| 20 | Middle Permian 2 | Ufa, Kazan, Tatar (lower part) | Uralian Foredeep, Southern part, Russia | s, i, co, ch | [62] | ||
| 21 | Lower Permian 2 | Kungurian | Uralian Foredeep, Upper Kama potassium salts deposit, Russia | i, ch | [63] | ||
| Caspian Depression, Inder potassium salts deposit, Kazakhstan | i, ch | [32] | |||||
| s, i, ch, co, ch-s, ch-v, se, t | [4] | ||||||
| 22 | Lower Permian 2 | Sakmarian, Kramatorsk Suite | Dnipro-Donets Depression, Ukraine | i, ch, i-s, ch-s | [64,65] | ||
| Asselian, Mykytiv and Kartamysh Suits | Dnipro-Donets Depression, Ukraine | i, ch, i-s, ch-s, k | i, ch, i-s, k | [64] | |||
| Western Donbas, Ukraine | i, ch, co | i, ch, co | [66] | ||||
| 23 | Carboniferous 3; Pennsylvanian 2 | Gzhelian, Kasimovian | Eastern European Platform, Russia | p, sp, s | [34,67] | ||
| 24 | Carboniferous 3; Pennsylvanian 2 | Kashir horizon | Eastern European Platform, Russia | p, sp, i | [34,67] | ||
| 25 | Carboniferous 3; Pennsylvanian 2 | Hermosa Formation | Paradox Basin, UT, USA | i, ch | co | [51] | |
| 26 | Carboniferous 3; Missisippian 3 | Maccrady Formation | Saltville Basin, Cumberland Plateau, VA, USA | i, ch | [68] | ||
| Saltville Basin, Cumberland Plateau, TN, USA | s, i, co, ch-v | [69,70] | |||||
| 27 | Carboniferous 3, Missisippian 3 | St. Louis Formation | Southwestern Indiana, IN, USA | i, ch, i-s | [71] | ||
| IN, USA | i, ch | [52] | |||||
| 28 | Upper Devonian 3 | Famennian, Maksakov Suite | Prypiat Depression, Starobin potassium salt deposit, Belarus | i | [72,73,74] | ||
| s, ch | [75] | ||||||
| i, ch | [76] | ||||||
| i, ch, ch-s, s | [77] | ||||||
| i, ch, ch-s, ch-v | [78,79] | ||||||
| Prypiat Depression (western part), Petrikov potassium salt deposit, Belarus | i, ch, i-s | [80,81] | |||||
| 29 | Upper Devonian 3 | Famennian, Frasnian | Dnipro-Donets Depression, Ukraine | i, ch | [82] | ||
| Famennian | Dnipro-Donets Depression, Ukraine | ch, i, s | [65] | ||||
| Frasnian | Dnipro-Donets Depression, Ukraine | i, ch, k | [64] | ||||
| i, ch, i-s, s, k, ch-s | [65] | ||||||
| 30 | Middle Devonian 3 | Prairie Formation | Saskatchewan Basin, Canada | ch, i, sp, s, ch-s | [83] | ||
| 31 | Middle Devonian 3 | Eifelian, Tartu and Narva horizons | Baltic Syneclise | i, ch, co | [4,62] | ||
| 32 | Middle Devonian 3 | Upper Eifelian, lower Givetian, Ihedushin-golsk Suite | Central Tuva deep, Tuz-Tag rock salt deposit, Russia | ch, i | [84] | ||
| 33 | Silurian (upper Wenlock-Pridoli) 3 | Salina Formation | Michigan Basin, MI, USA | i, ch | i, ch | [85] | |
| 34 | Silurian (upper Wenlock) 3 | Vernon Formation | Appalachian Basin, Retsof deposit, NY, USA | i, ch | [86] | ||
| i, ch, t | [51,87] | ||||||
| 35 | Lower, Middle Cambrian 3 | Angara Suite | East Siberian Platform, Irkutsk Amphitheatre, Russia | t, i, ch | t, i, ch | [88] | |
| 36 | Lower, Cambrian 3 | Aldan, Lena; Motsk, Usolsk, Belsk and Angara suites | East Siberian Platform, Irkutsk Amphitheatre, Russia | i, ch | [89] | ||
| 37 | Upper Neo-proterozoic 2 | Salt Range Formation | Salt Range, Pakistan | co, ch, i, ch-s, s | [90] | ||
| 38 | Upper Neo-proterozoic 2 | Tyrsk, Oskobin Suite | East Siberian Platform, Irkutsk Amphitheatre, Russia | t | [91] | ||
| Seawater Chemical Type | Brine Concentration Stages | ||
|---|---|---|---|
| Sulfate-Carbonate | Halite | Potassium Salts | |
| SO4-rich seawater chemical type (23 formations) | |||
| The number of analyzed formations for each concentration stage | 16 | 12 | 7 |
| The number of described clay minerals | 12 | 11 | 11 |
| Illite relative occurrence, % | 78.8 | 83.3 | 100 |
| Chlorite relative occurrence, % | 70.3 | 83.3 | 80.0 |
| Smectite relative occurrence, % | 42.8 | 30.3 | 8.6 |
| Total relative occurrence of swelling minerals (smectite, ch-s—chlorite-smectite, ch-v—chlorite-vermiculite, co—corrensite, i-s—illite-smectite), divided by minerals number, in % | 28.5 | 32.8 | 19.1 |
| Ca-rich seawater chemical type (15 formations) | |||
| The number of analyzed formations for each concentration stage | 6 | 10 | 5 |
| The number of described clay minerals | 7 | 8 | 9 |
| Illite relative occurrence, % | 100 | 100 | 98 |
| Chlorite relative occurrence, % | 67 | 100 | 94 |
| Smectite relative occurrence, % | 16.7 | 7.5 | 24 |
| Total relative occurrence of swelling minerals (smectite, ch-s—chlorite-smectite, ch-v—chlorite-vermiculite, co—corrensite i-s—illite-smectite), divided by minerals number, in % | 18.8 | 10.8 | 19.5 |
| Formation No. | Change in the Number of Minerals with Rising Concentration | System, Series | Clay Minerals in Evaporites Deposited at Different Concentration Stages | ||
|---|---|---|---|---|---|
| Sulfate-Carbonate | Halite | Potassium Salts | |||
| 1 | Decrease | Neogene, Miocene | i, ch, i-s, ch-s, co | i, ch | |
| 3 | Decrease | Neogene, Miocene | i, ch | ||
| i, ch, i-s | |||||
| 8 | No change | Cretaceous—Paleogene | i, ch, ch-s | i, ch, ch-s | |
| 10 | No change | Jurassic, Upper | i, ch, k | i, ch, k | |
| Decrease | i, k | i, ch, sp, k | |||
| 12 | No change | Triassic, Upper | i, ch | i, ch | |
| 13 | Increase | Triassic, Upper | i | i, ch, co | |
| Decrease | i, ch, co, ch-s | i, ch, co | |||
| 17 | Increase | Permian, Upper | s, i, ch, t | i, ch-s, ch, t, t-s | |
| 18 | Decrease | Permian, Upper | i, ch, t, s, ch-s, i-s, co | i, ch, co | i, ch |
| Increase | ch, t | i, ch, | i, ch, co, ch-s, t, sp | ||
| Decrease | co, i, ch, t | ch, i | |||
| Decrease | co, ch, i, t | co, ch, i | |||
| 19 | Decrease | Permian, Middle | s, i, ch, co, ch-s | i, ch | |
| 22 | Decrease | Permian, Lower | i, ch, i-s, ch-s, k | i, ch, i-s, k | |
| No change | i, ch, co | i, ch, co | |||
| 25 | Decrease | Carboniferous, Pennsylvanian | i, ch | co | |
| 33 | No change | Silurian (upper Wenlock-Pridoli) | i, ch | i, ch | |
| 35 | No change | Cambrian, Middle, Lower | t, i, ch | t, i, ch | |
| Mg-Rich Clay Mineral | SO4-Rich Seawater Chemical Type | Ca-rich Seawater Chemical Type | ||
|---|---|---|---|---|
| Mineral, Total Number of Findings | Number of Mineral Findings | System; Formation Number as in Table 1 | Number of Mineral Findings | System; Formation Number as in Table 1 |
| Corrensite, 29 | 27 (13–10–4) | Neogene 1; Triassic 12, 13, 14, 15; Permian 17, 18, 19, 20, 21, 22; Pennsylvanian 25; Upper Neoproterozoic 37 | 2 (2–0–0) | Mississippian 26; Devonian 31; |
| Sepiolite, 10 | 8 (6–1–1) | Paleogene 4; Triassic 12, 13; Permian 16, 18; Pennsylvanian 23, 24 | 2 (0–1–1) | Jurassic 10; Devonian 30 |
| Palygorskite, 5 | 5 (3–2–0) | Triassic 12, 13; Permian 18; Pennsylvanian 23, 24 | 0 | |
| Talc, 13 | 10 (5–2–3) | Permian 17, 18, 21; Upper Neoproterozoic 38 | 3 (0–2–1) | Silurian 34; Cambrian 35 |
Publisher’s Note: MDPI stays neutral with regard to jurisdictional claims in published maps and institutional affiliations. |
© 2020 by the authors. Licensee MDPI, Basel, Switzerland. This article is an open access article distributed under the terms and conditions of the Creative Commons Attribution (CC BY) license (http://creativecommons.org/licenses/by/4.0/).
Share and Cite
Yaremchuk, Y.; Hryniv, S.; Peryt, T.; Vovnyuk, S.; Meng, F. Controls on Associations of Clay Minerals in Phanerozoic Evaporite Formations: An Overview. Minerals 2020, 10, 974. https://doi.org/10.3390/min10110974
Yaremchuk Y, Hryniv S, Peryt T, Vovnyuk S, Meng F. Controls on Associations of Clay Minerals in Phanerozoic Evaporite Formations: An Overview. Minerals. 2020; 10(11):974. https://doi.org/10.3390/min10110974
Chicago/Turabian StyleYaremchuk, Yaroslava, Sofiya Hryniv, Tadeusz Peryt, Serhiy Vovnyuk, and Fanwei Meng. 2020. "Controls on Associations of Clay Minerals in Phanerozoic Evaporite Formations: An Overview" Minerals 10, no. 11: 974. https://doi.org/10.3390/min10110974
APA StyleYaremchuk, Y., Hryniv, S., Peryt, T., Vovnyuk, S., & Meng, F. (2020). Controls on Associations of Clay Minerals in Phanerozoic Evaporite Formations: An Overview. Minerals, 10(11), 974. https://doi.org/10.3390/min10110974
