Anti-Wind Disturbance Algorithms for Small Rotorcraft UAVs
Abstract
1. Introduction
2. Fuzzy-LADRC Design
2.1. Quadrotor UAV Model Under Wind Disturbance
2.2. Structure and Principle of LADRC Controller
2.3. Fuzzy Control Theory
2.4. Fuzzy-LADRC Controller Design
3. Hybrid Particle Swarm Optimization–Gray Wolf Optimization Algorithm
3.1. Particle Swarm Optimization Algorithm
3.2. Gray Wolf Optimization Algorithm
3.3. Hybrid Particle Swarm Optimization–Gray Wolf Optimization Algorithm
4. Simulation Experiments and Analysis Under Wind Disturbance
4.1. Wind Farm Simulation
4.2. Fuzzy-LADRC
4.3. PSO-GWO
4.4. Fuzzy-LADRC Tuned by PSO-GWO
4.4.1. Simulation and Analysis of Controller Anti-Wind Disturbance Under Gust Conditions
4.4.2. Simulation and Analysis of Wind Disturbance Rejection Control for Gradient Wind Fields
4.4.3. Simulation and Analysis of Wind Disturbance Rejection Control for Composite Wind Conditions
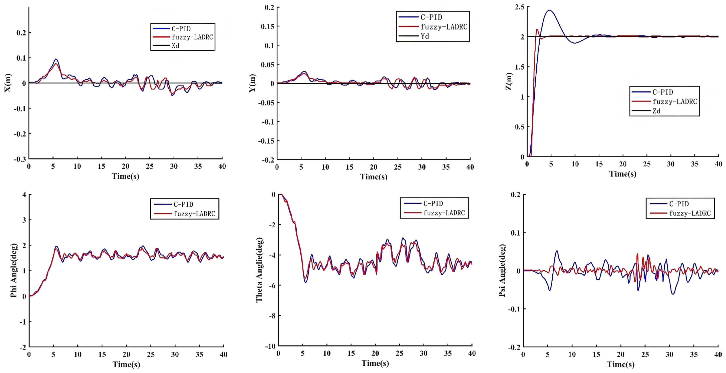
4.4.4. Quantitative Analysis of the PID Controller and the Fuzzy-LADRC Controller Under Different Wind Disturbances
5. Discussion
6. Limitations of the Present Study
Author Contributions
Funding
Data Availability Statement
Acknowledgments
Conflicts of Interest
References
- Ziegler, J.G.; Nichols, N.B. Optimum Settings for Automatic Controllers. Trans. ASME 1942, 64, 759–765. [Google Scholar] [CrossRef]
- Kalman, R.E. Contributions to the Theory of Optimal Control. Bol. Soc. Mat. Mex. 1960, 5, 102–119. [Google Scholar]
- Han, J. From PID to Active Disturbance Rejection Control. IEEE Trans. Ind. Electron. 2009, 56, 900–906. [Google Scholar] [CrossRef]
- Can, M.S.; Ercan, H. Real-time tuning of PID controller based on optimization algorithms for a quadrotor. Aircr. Eng. Aerosp. Technol. 2022, 94, 418–430. [Google Scholar] [CrossRef]
- Sun, W.J.; Wan, Z.G. BPPID-LADRC Cascade Disturbance Rejection Controller for Small Quadrotor UAV. Comput. Digit. Eng. 2023, 51, 1444–1449. [Google Scholar]
- Liang, Z.B.; Li, Q. Improved Genetic Algorithm for Optimizing LQR Control of Quadrotor UAV Attitude. J. Beijing Inf. Sci. Technol. Univ. Nat. Sci. Ed. 2022, 37, 8–15. [Google Scholar] [CrossRef]
- Cui, Y.W.; Sun, X. Fault-Tolerant Control Method for UAVs under Actuator Faults. J. Naval Aeronaut. Astronaut. Univ. 2023, 38, 449–456. [Google Scholar] [CrossRef]
- Yan, Y.L.; Jiang, W.G. Quadrotor Control Based on Backstepping Adaptive Fractional-Order PID. Softw. Guide 2023, 22, 117–123. [Google Scholar]
- Xu, L.-X.; Ma, H.-J.; Guo, D.; Xie, A.-H.; Song, D.-L. Backstepping Sliding-Mode and Cascade Active Disturbance Rejection Control for a Quadrotor UAV. IEEE/ASME Trans. Mechatron. 2020, 25, 2743–2753. [Google Scholar] [CrossRef]
- Tran, V.P.; Santoso, F.; Garratt, M.A.; Petersen, I.R. Adaptive Second-Order Strictly Negative Imaginary Controllers Based on the Interval Type-2 Fuzzy Self-Tuning Systems for a Hovering Quadrotor with Uncertainties. IEEE/ASME Trans. Mechatron. 2020, 25, 11–20. [Google Scholar] [CrossRef]
- Kayacan, E.; Maslim, R. Type-2 Fuzzy Logic Trajectory Tracking Control of Quadrotor VTOL Aircraft With Elliptic Membership Functions. IEEE/ASME Trans. Mechatron. 2017, 22, 339–348. [Google Scholar] [CrossRef]
- Zeghlache, S.; Djeriou, A.; Benyettou, L.; Benslimane, T.; Mekki, H.; Bouguerra, A. Fault tolerant control for modified quadrotor via adaptive type-2 fuzzy backstepping subject to actuator faults. ISA Trans. 2019, 95, 330–345. [Google Scholar] [CrossRef]
- Xing, H.; Liu, Y.; Chen, J.; Li, W.; Ding, L.; Tavakoli, M. Variable admittance control for door opening with a wheeled mobile manipulator considering ground obstacles. Intel. Serv. Robot. 2026, 19, 41. [Google Scholar] [CrossRef]
- Qin, X.P.; Tan, G.J. Development and Prospect of Fuzzy Control Theory. Control Eng. 2005, 12, 141–143. [Google Scholar]
- Hang, A.F.; Wang, X.M. The Simulation of Master–Slave Control of Multi-Motor Parallel Operation Based on Fuzzy PID. Comput. Simul. 2023, 40, 316–320. [Google Scholar]
- Mirjalili, S.; Mirjalili, S.M.; Lewis, A. Grey Wolf Optimizer. Adv. Eng. Softw. 2014, 69, 46–61. [Google Scholar] [CrossRef]
- Aguila-Leon, J.; Chinas-Palacios, C.D.; Vargas-Salgado, C.; Hurtado-Perez, E.; Garcia, E.X. Optimal PID Parameters Tuning for a DC-DC Boost Converter: A Performance Comparative Using Grey Wolf Optimizer, Particle Swarm Optimization and Genetic Algorithms. In Proceedings of the IEEE Conference on Technologies for Sustainability (SusTech), Santa Ana, CA, USA, 23–25 April 2020. [Google Scholar]
- Chen, K.; Xiao, B.; Wang, C.; Liu, X.; Liang, S.; Zhang, X. Cuckoo Coupled Improved Grey Wolf Algorithm for PID Parameter Tuning. Appl. Sci. 2023, 13, 12944. [Google Scholar] [CrossRef]
- Hatta, N.M.; Zain, A.M.; Sallehuddin, R.; Shayfull, Z.; Yusoff, Y. Recent studies on optimisation method of Grey Wolf Optimiser (GWO): A review (2014–2017). Artif. Intell. Rev. 2019, 52, 2651–2683. [Google Scholar] [CrossRef]
- Ren, J.; Chen, Z.Q.; Yang, Y.K.; Sun, M.; Sun, Q. Improved Grey Wolf Optimizer Tuned Active Disturbance Rejection Control for Ship Heading. IEEE Trans. Circuits Syst. II Express Briefs 2023, 70, 680–684. [Google Scholar] [CrossRef]
- Chen, W.; Hong, H.Y.; Panahi, M.; Shahabi, H.; Wang, Y.; Shirzadi, A.; Pirasteh, S.; Alesheikh, A.A.; Khosravi, K.; Panahi, S.; et al. Spatial Prediction of Landslide Susceptibility Using GIS-Based Data Mining Techniques of ANFIS with Whale Optimization Algorithm (WOA) and Grey Wolf Optimizer (GWO). Appl. Sci. 2019, 9, 3755. [Google Scholar] [CrossRef]
- Fakhri, D.; Mahmoodzadeh, A.; Mohammed, A.H.; Khodayari, A.; Ibrahim, H.H.; Rashidi, S.; Taher Karim, S.H. Forecasting failure load of sandstone under different freezing-thawing cycles using Gaussian process regression method and grey wolf optimization algorithm. Theor. Appl. Fract. Mech. 2023, 125, 103876. [Google Scholar] [CrossRef]
- Huang, X.; Yin, X.; Liu, B.; Ding, Z.; Zhang, C.; Jing, B.; Guo, X. A Gray Wolf Optimization-Based Improved Probabilistic Neural Network Algorithm for Surrounding Rock Squeezing Classification in Tunnel Engineering. Front. Earth Sci. 2022, 10, 857463. [Google Scholar] [CrossRef]













| NB | NM | NS | ZO | PS | PM | PB | ||
|---|---|---|---|---|---|---|---|---|
| NB | PB | PB | PM | PM | PS | ZO | ZO | |
| NM | PB | PB | PM | PM | PS | ZO | ZO | |
| NS | PM | PM | PS | PS | PS | PS | NS | |
| ZO | PM | PS | PS | NB | NB | NB | NS | |
| PS | NS | NS | NS | NS | NS | NM | NM | |
| PM | PM | PM | PB | PB | PB | PB | PB | |
| PB | PB | PB | PB | PB | PB | PB | PB | |
| NB | NM | NS | ZO | PS | PM | PB | ||
|---|---|---|---|---|---|---|---|---|
| NB | PB | PB | PM | PM | PS | ZO | ZO | |
| NM | PB | PB | PM | PM | PS | ZO | ZO | |
| NS | PM | PM | PS | PS | ZO | ZO | NS | |
| ZO | PM | PS | PS | ZO | NS | NS | NM | |
| PS | PS | ZO | ZO | NS | NM | NM | NM | |
| PM | ZO | ZO | NS | NM | NM | NB | NB | |
| PB | ZO | NS | NM | NM | NB | NB | NB | |
| NB | NM | NS | ZO | PS | PM | PB | ||
|---|---|---|---|---|---|---|---|---|
| NB | NB | NB | NM | NM | NS | ZO | ZO | |
| NM | NB | NB | NM | NM | NS | ZO | ZO | |
| NS | NM | NM | NS | NS | ZO | ZO | PS | |
| ZO | NM | NS | NS | ZO | PS | PS | PM | |
| PS | NS | NS | ZO | PS | PM | PM | PB | |
| PM | ZO | ZO | PS | PM | PM | PB | PB | |
| PB | ZO | PS | PM | PM | PB | PB | PB | |
| Performance Index | Fuzzy-LADRC | LADRC |
|---|---|---|
| Rise Time (s) | 3.2 | 3.4 |
| Overshoot | 5% | 15% |
| Settling time (s) | 3 | 3.2 |
| Maximum drop after disturbance (%) | 2% | 5% |
| Recovery Time (s) | 3.2 | 4 |
| Method | Fitness Value | |||
|---|---|---|---|---|
| Manual tuning | 400 | 20 | 200 | 0.42 |
| GWO | 642.25 | 13.45 | 178.67 | 0.02 |
| PSO-GWO | 567.45 | 23.66 | 247.84 | 0.0005 |
| Wind Disturbance Type | Controller | Roll Peak Fluctuation (Deg) | Pitch Peak Fluctuation (Deg) | Yaw Peak/Trough (Deg) | Z-Axis Overshoot |
|---|---|---|---|---|---|
| Gust wind | PID | −3.7° | 2.6° | −0.06–0.09° | With certain fluctuations |
| Fuzzy-LADRC | −3° | 1.8° | negligible | almost none | |
| Gradient wind | PID | −5.8° | 1.3° | −0.06–0.09° | With certain fluctuations |
| Fuzzy-LADRC | −5.2° | 1.2° | negligible | almost none | |
| Compound wind | PID | larger | larger | −0.06–0.05 | about 20% |
| Fuzzy-LADRC | about 5% lower | about 5% lower | −0.03–0.04 | about 5% |
Disclaimer/Publisher’s Note: The statements, opinions and data contained in all publications are solely those of the individual author(s) and contributor(s) and not of MDPI and/or the editor(s). MDPI and/or the editor(s) disclaim responsibility for any injury to people or property resulting from any ideas, methods, instructions or products referred to in the content. |
© 2026 by the authors. Licensee MDPI, Basel, Switzerland. This article is an open access article distributed under the terms and conditions of the Creative Commons Attribution (CC BY) license.
Share and Cite
Cheng, Y.; Tang, F.; Pei, L.; Zhang, H.; Cai, X.; Xu, F.; Hou, X. Anti-Wind Disturbance Algorithms for Small Rotorcraft UAVs. Symmetry 2026, 18, 594. https://doi.org/10.3390/sym18040594
Cheng Y, Tang F, Pei L, Zhang H, Cai X, Xu F, Hou X. Anti-Wind Disturbance Algorithms for Small Rotorcraft UAVs. Symmetry. 2026; 18(4):594. https://doi.org/10.3390/sym18040594
Chicago/Turabian StyleCheng, Yini, Feifei Tang, Lili Pei, Huayu Zhang, Xiaoyu Cai, Feng Xu, and Xiaoning Hou. 2026. "Anti-Wind Disturbance Algorithms for Small Rotorcraft UAVs" Symmetry 18, no. 4: 594. https://doi.org/10.3390/sym18040594
APA StyleCheng, Y., Tang, F., Pei, L., Zhang, H., Cai, X., Xu, F., & Hou, X. (2026). Anti-Wind Disturbance Algorithms for Small Rotorcraft UAVs. Symmetry, 18(4), 594. https://doi.org/10.3390/sym18040594

