A Strategy for Improving Millimeter Wave Communication Reliability by Hybrid Network Considering Rainfall Attenuation
Abstract
1. Introduction
1.1. Related Work
1.2. Contributions of This Article
- We propose a hybrid vehicular network architecture for urban highway that integrates mmWave and microwave networks. The mmWave communication units are deployed along one roadside following a one-dimensional uniform Poisson Point Process (), while microwave units are deployed on the other side of the road. The hybrid architecture simultaneously achieves high-speed connectivity and maximum coverage probability. Analytical expressions for both coverage probability and network connectivity are derived for the proposed hybrid mmWave-microwave system.
- A rainfall attenuation model is established to describe its impacts on the performance. We analyze the frequency-dependent attenuation coefficient under varying rain intensities and formulate a rainfall-induced path loss model. Furthermore, the effects of rainfall attenuation on the path loss and coverage in mmWave networks are also determined.
- The proposed hybrid network is compared with pure mmWave and pure microwave networks in terms of coverage probability and connectivity. The impact of various parameters on performance is analyzed. The results show that the hybrid network outperforms the pure mmWave network in both coverage probability and connectivity.
2. System Model
2.1. The Proposed Hybrid Network Modeling
2.2. SINR Calculation
2.3. Antenna Model and Beam Tracking
3. System Reliability Improvement Analysis
3.1. Path Loss Analysis
3.2. Coverage Analysis
3.3. Connectivity Analysis
3.4. Rainfall Attenuation Analysis
4. Performance Evaluation and Analysis
4.1. System Setting
4.2. Numerical Results Analysis
4.2.1. Path Loss Analysis
4.2.2. Coverage Analysis
- (1)
- Coverage Analysis in mmWave networks under different rainfall intensities.
- (2)
- Coverage Analysis in hybrid networks
4.2.3. Connectivity Analysis
- (1)
- Connectivity Analysis in mmWave network
- (2)
- Connectivity Analysis for hybrid network
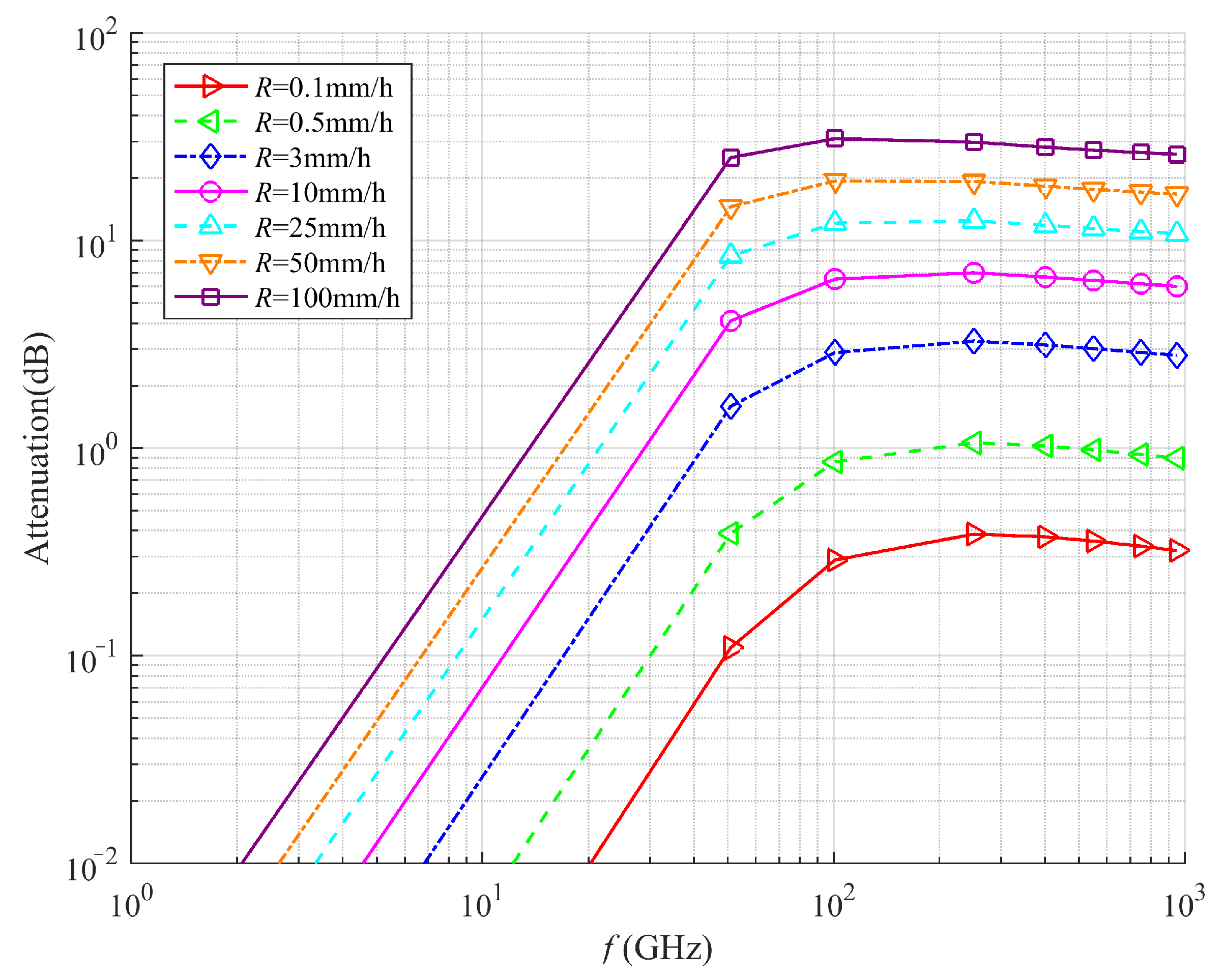
4.2.4. Rainfall Attenuation Analysis
- (1)
- Rainfall Attenuation Analysis with Different Rainfall Intensity
- (2)
- Rainfall’s effect on Path loss
5. Conclusions and Future Work
Author Contributions
Funding
Data Availability Statement
Conflicts of Interest
Appendix A
Appendix B
Appendix C
References
- Kuutti, S.; Fallah, S.; Katsaros, K.; Dianati, M.; Mccullough, F.; Mouzakitis, A. A Survey of the State-of-the-Art Localization Techniques and Their Potentials for Autonomous Vehicle Applications. IEEE Internet Things J. 2018, 5, 829–846. [Google Scholar] [CrossRef]
- Lu, Z.; Qu, G.; Liu, Z. A Survey on Recent Advances in Vehicular Network Security, Trust, and Privacy. IEEE Trans. Intell. Transp. Syst. 2019, 20, 760–776. [Google Scholar] [CrossRef]
- Siegel, J.E.; Erb, D.C.; Sarma, S.E. A Survey of the Connected Vehicle Landscape—Architectures, Enabling Technologies, Applications, and Development Areas. IEEE Trans. Intell. Transp. Syst. 2018, 19, 2391–2406. [Google Scholar] [CrossRef]
- Sehla, K.; Nguyen, T.M.T.; Pujolle, G.; Velloso, P.B. Resource Allocation Modes in C-V2X: From LTE-V2X to 5G-V2X. IEEE Internet Things J. 2022, 9, 8291–8314. [Google Scholar] [CrossRef]
- Khan, B.S.; Jangsher, S.; Ahmed, A.; Al-Dweik, A. URLLC and eMBB in 5G Industrial IoT: A Survey. IEEE Open J. Commun. Soc. 2022, 3, 1134–1163. [Google Scholar] [CrossRef]
- Ghosh, A.; Maeder, A.; Baker, M.; Chandramouli, D. 5G Evolution: A View on 5G Cellular Technology Beyond 3GPP Release 15. IEEE Access 2019, 7, 127639–127651. [Google Scholar] [CrossRef]
- Chen, S.; Hu, J.; Shi, Y.; Zhao, L.; Li, W. A Vision of C-V2X: Technologies, Field Testing, and Challenges with Chinese Development. IEEE Internet Things J. 2020, 7, 3872–3881. [Google Scholar] [CrossRef]
- Rappaport, T.S.; Xing, Y.; Kanhere, O.; Ju, S.; Madanayake, A.; Mandal, S.; Alkhateeb, A.; Trichopoulos, G.C. Wireless Communications and Applications Above 100 GHz: Opportunities and Challenges for 6G and Beyond. IEEE Access 2020, 7, 78729–78757. [Google Scholar] [CrossRef]
- Chettri, L.; Bera, R. A Comprehensive Survey on Internet of Things (IoT) Toward 5G Wireless Systems. IEEE Internet Things J. 2020, 7, 16–32. [Google Scholar] [CrossRef]
- Ozpolat, M.; Kampert, E.; Jennings, P.A.; Higgins, M.D. A Grid-Based Coverage Analysis of Urban mmWave Vehicular Ad Hoc Networks. IEEE Commun. Lett. 2018, 22, 1692–1695. [Google Scholar] [CrossRef]
- Giordani, M.; Rebato, M.; Zanella, A.; Zorzi, M. Coverage and connectivity analysis of millimeter wave vehicular networks. Ad Hoc Netw. 2018, 80, 158–171. [Google Scholar] [CrossRef]
- Cheng, M.; Wang, J.-B.; Wu, Y.; Xia, X.-G.; Wong, K.-K.; Lin, M. Coverage Analysis for Millimeter Wave Cellular Networks With Imperfect Beam Alignment. IEEE Trans. Veh. Technol. 2018, 67, 8302–8314. [Google Scholar] [CrossRef]
- Nguyen, N.T.; Lee, K. Coverage and Cell-Edge Sum-Rate Analysis of mmWave Massive MIMO Systems With ORP Schemes and MMSE Receivers. IEEE Trans. Signal Process. 2018, 166, 5349–5363. [Google Scholar] [CrossRef]
- Chetlur, V.V.; Dhillon, H.S. Coverage and rate analysis of downlink cellular vehicle-to-everything (C-V2X) communication. IEEE Trans. Wirel. Commun. 2019, 19, 1738–1753. [Google Scholar] [CrossRef]
- Benelmir, R.; Bitam, S.; Fowler, S.; Mellouk, A. A novel mmwave beam alignment approach for beyond 5G autonomous vehicle networks. IEEE Trans. Veh. Technol. 2023, 73, 1597–1610. [Google Scholar] [CrossRef]
- Zaid, A.A.; Belmekki, B.E.Y.; Alouini, M.S. Aerial-aided mmWave VANETs using NOMA: Performance analysis, comparison, and insights. IEEE Trans. Veh. Technol. 2023, 73, 4742–4758. [Google Scholar] [CrossRef]
- Lin, T.; Cong, J.; Zhu, Y.; Zhang, J.; Ben Letaief, K. Hybrid Beamforming for Millimeter Wave Systems Using the MMSE Criterion. IEEE Trans. Commun. 2019, 67, 3693–3708. [Google Scholar]
- Zhao, D.; Lu, H.; Wang, Y.; Sun, H.; Gui, Y. Joint Power Allocation and User Association Optimization for IRS Assisted mmWave Systems. IEEE Trans. Wirel. Commun. 2022, 21, 577–590. [Google Scholar] [CrossRef]
- Liang, R.; Fan, J.; Liu, H.; Ge, Y.; Zhang, J. Dual-Hop Hybrid IRS-Aided Outdoor-to-Indoor mmWave Communications. IEEE Commun. Lett. 2022, 26, 2979–2983. [Google Scholar] [CrossRef]
- Zhang, H.; Chong, S.; Zhang, X.; Lin, N. A Deep Reinforcement Learning Based D2D Relay Selection and Power Level Allocation in mmWave Vehicular Networks. IEEE Commun. Lett. 2020, 9, 416–419. [Google Scholar] [CrossRef]
- Ju, Y.; Gao, Z.; Wang, H.; Liu, L.; Pei, Q.; Dong, M.; Mumtaz, S.; Leung, V.C. Energy-Efficient Cooperative Secure Communications in mmWave Vehicular Networks Using Deep Recurrent Reinforcement Learning. IEEE Trans. Intell. Transp. Syst. 2024, 25, 14460–14475. [Google Scholar] [CrossRef]
- Bahbahani, M.S.; Alsusa, E.; Hammadi, A. A directional TDMA protocol for high throughput URLLC in mmWave vehicular networks. IEEE Trans. Veh. Technol. 2022, 72, 3584–3599. [Google Scholar] [CrossRef]
- Yan, D.; Guan, K.; He, D.; Kim, J.; Chung, H.; Tian, D.; Zhong, Z. Blockage Effects of Road Bridge on mmWave Channels for Intelligent Autonomous Vehicles. IEEE Trans. Intell. Transp. Syst. 2024, 24, 2908–2919. [Google Scholar] [CrossRef]
- Sung, S.; Choi, W.; Kim, H.; Jung, J.-I. Deep Learning-Based Path Loss Prediction for Fifth-Generation New Radio Vehicle Communications. IEEE Access 2023, 11, 75295–75310. [Google Scholar] [CrossRef]
- Semiari, O.; Saad, W.; Bennis, M.; Debbah, M. Integrated millimeter wave and sub-6 GHz wireless networks: A roadmap for joint mobile broadband and ultra-reliable low-latency communications. IEEE Wirel. Commun. 2019, 26, 109–115. [Google Scholar] [CrossRef]
- Wang, F.; Wang, H.; Feng, H.; Xu, X. A Hybrid Communication Model of Millimeter Wave and Microwave in D2D Network. In Proceedings of the 2016 IEEE 83rd Vehicular Technology Conference (VTC Spring), Nanjing, China, 15–18 May 2016; pp. 1–5. [Google Scholar]
- Saluja, D.; Singh, R.; Saluja, N.; Kumar, S. Connectivity Improvement of Hybrid Millimeter Wave and Microwave Vehicular Networks. IEEE Trans. Intell. Transp. Syst. 2023, 24, 1456–1464. [Google Scholar] [CrossRef]
- Mehrpouyan, H.; Matthaiou, M.; Wang, R.; Karagiannidis, G.K.; Hua, Y. Hybrid millimeter-wave systems: A novel paradigm for hetnets. IEEE Commun. Mag. 2015, 53, 216–221. [Google Scholar]
- Shi, Y.; Alsusa, E.; Ebrahim, A.; Baidas, M.W. Uplink Performance Enhancement Through Adaptive Multi-Association and Decoupling in UHF-mmWave Hybrid Networks. IEEE Trans. Veh. Technol. 2019, 68, 9735–9746. [Google Scholar] [CrossRef]
- Arnau, J.; Atzeni, I.; Kountouris, M. Impact of LOS/NLOS propagation and path loss in ultra-dense cellular networks. In Proceedings of the 2016 IEEE International Conference on Communications (ICC), Kuala Lumpur, Malaysia, 22–27 May 2016; pp. 1–6. [Google Scholar]
- Atzeni, I.; Arnau, J.; Kountouris, M. Downlink Cellular Network Analysis With LOS/NLOS Propagation and Elevated Base Stations. IEEE Trans. Wirel. Commun. 2018, 17, 142–156. [Google Scholar] [CrossRef]
- Study on Channel Model for Frequencies from 0.5 to 100 GHz, Document TR 38.901 V14.0.0, 3rd Generation Partnership Project (3GPP). 2017. Available online: https://www.academia.edu/39972623/3_rd_Generation_Partnership_Project_Technical_Specification_Group_Radio_Access_Network_Study_on_channel_model_for_frequencies_from_0_5_to_100_GHz_Release_14 (accessed on 24 June 2025).
- Saluja, D.; Singh, R.; Saluja, N.; Kumar, S. Energy-Efficient Strategy for Improving Coverage and Rate Using Hybrid Vehicular Networks. IEEE Trans. Intell. Transp. Syst. 2022, 23, 430–443. [Google Scholar] [CrossRef]
- ITU-R P.838 Rainfall Data. Available online: https://www.itu.int/rec/R-REC-P.838 (accessed on 18 May 2025).









| Parameter | Meaning |
|---|---|
| , | Distance of reference VN from its serving mmWave and microwave RSU, respectively |
| Set of mmWave RSUs modeled by 1 − D | |
| Set of microwave RSUs modeled by 1 − D | |
| , | Density of mmWave RSUs and microwave RSUs, respectively |
| Density of mmWave plus microwave RSUs | |
| Q | Characterize the radio access technology (RAT) (i.e., either mmWave (m) or microwave ()) |
| Near field path loss at 1 − m distance | |
| Antenna gain of mmWave interfering link | |
| , | Target SINR and SINR threshold, respectively |
| Possible states of links: L denotes LOS link, and denotes NLOS link | |
| , | LOS probability for mmWave and microwave link, respectively |
| , | SINR of reference VN associated with mmWave and microwave RSUs, respectively |
| Height of obstacles, height of RSU, obstacle density, respectively | |
| , | mmWave carrier frequency, microwave carrier frequency, respectively |
| , | mmWave bandwidth, microwave bandwidth, respectively |
| Transmit power of mmWave or microwave RSU | |
| Beamwidth of main lobe, main lobe gain, side lobe gain of directional antenna pattern for mmWave RSU | |
| Time slot duration, vehicle speed | |
| Noise power added by mmWave and microwave RSU, respectively | |
| Path loss exponent for LOS and NLOS link in mmWave RAT, respectively | |
| Path loss exponent for LOS and NLOS link in microwave RAT, respectively | |
| Road width per direction, lane width | |
| N | number of lanes per direction |
| Road length |
| Parameter | Value |
|---|---|
| , | 28 GHz, 2 GHz |
| 30 dBm | |
| 10 | |
| 18 dBi, −2 dBi | |
| {0.1, 0.5, 1} s | |
| V | {30, 60, 100} km/h |
| 7.4 m, 3.7 m | |
| 10 km | |
| N | 2 lanes per direction |
| 1 m, 12 m, 1 | |
| −174 dBm/Hz | |
| , | |
| 100 MHz, 10 MHz | |
| 2, 4 | |
| 2.09, 3.75 | |
| , | 0 dB, −5 dB |
Disclaimer/Publisher’s Note: The statements, opinions and data contained in all publications are solely those of the individual author(s) and contributor(s) and not of MDPI and/or the editor(s). MDPI and/or the editor(s) disclaim responsibility for any injury to people or property resulting from any ideas, methods, instructions or products referred to in the content. |
© 2025 by the authors. Licensee MDPI, Basel, Switzerland. This article is an open access article distributed under the terms and conditions of the Creative Commons Attribution (CC BY) license (https://creativecommons.org/licenses/by/4.0/).
Share and Cite
Sun, J.; Li, C.; Wei, J.; Shen, J. A Strategy for Improving Millimeter Wave Communication Reliability by Hybrid Network Considering Rainfall Attenuation. Symmetry 2025, 17, 1054. https://doi.org/10.3390/sym17071054
Sun J, Li C, Wei J, Shen J. A Strategy for Improving Millimeter Wave Communication Reliability by Hybrid Network Considering Rainfall Attenuation. Symmetry. 2025; 17(7):1054. https://doi.org/10.3390/sym17071054
Chicago/Turabian StyleSun, Jiaqing, Chunxiao Li, Junfeng Wei, and Jiajun Shen. 2025. "A Strategy for Improving Millimeter Wave Communication Reliability by Hybrid Network Considering Rainfall Attenuation" Symmetry 17, no. 7: 1054. https://doi.org/10.3390/sym17071054
APA StyleSun, J., Li, C., Wei, J., & Shen, J. (2025). A Strategy for Improving Millimeter Wave Communication Reliability by Hybrid Network Considering Rainfall Attenuation. Symmetry, 17(7), 1054. https://doi.org/10.3390/sym17071054

