A Novel Multi-Criteria Quantum Group Decision-Making Model Considering Decision Makers’ Risk Perception Based on Type-2 Fuzzy Numbers
Abstract
1. Introduction
- (1)
- A prevalent assumption in existing research on T2FNs is that DMs perceive linguistic variables linearly [33,34]. This simplification, however, often inadequately reflects actual human decision-making processes, wherein DMs typically exhibit greater sensitivity to extreme evaluations rather than intermediate ones. Consequently, current linear linguistic transformation methods may lack sufficient discriminability for these intermediate terms and can diminish the perceived impact of extreme values, thereby limiting their suitability and accuracy in practical applications that require a nuanced understanding of DMs’ judgments.
- (2)
- Since its inception, the D-CRITIC method has been widely applied and has demonstrated significant effectiveness across various decision-making contexts. However, the traditional D-CRITIC method calculates criteria weights based on standard deviation and distance correlation, which entails certain limitations. In particular, its reliance on standard deviation leads to the method being highly sensitive to outliers, thereby compromising the robustness and reliability of the weight determination process. Moreover, this approach fails to adequately address the inherent uncertainty present in MCGDM problems, which may result in distorted or biased weight assignments [8,11].
- (3)
- The CPT-TODIM method, when compared to the traditional TODIM method, maintains the strengths inherent in comparative analysis while also integrating DMs’ psychological dimensions. However, current studies on the CPT-TODIM framework mainly focus on individual DMs’ psychological aspects [35,36], neglecting the interference effects among them. This oversight results in the insufficient consideration of group psychological dynamics in decision-making processes.
- (1)
- We employ a normal distribution mapping function to convert linguistic variables into T2FNs, thereby capturing DMs’ nonlinear sensitivity to extreme evaluations. In contrast to conventional linear mappings, this approach more accurately reflects DMs’ heightened response to boundary terms over midpoints, a characteristic often overlooked by traditional linear transformations. By generating T2FNs that align more closely with actual human perception, this transformation significantly enhances the model’s psychological realism and its applicability in complex real-world decision-making scenarios.
- (2)
- We propose an enhanced D-CRITIC framework by integrating Deng entropy to address the limitations of traditional methods in quantifying complex uncertainties. This approach leverages Deng entropy’s unique capability to measure the uncertainty arising from both conflicting evidence and inherent fuzziness within criteria evaluations. Unlike simpler metrics, this provides a more nuanced uncertainty assessment, which proves particularly advantageous in complex decision environments. Consequently, when dealing with the decision problems marked by high evidential conflict or contradictory indicators, our method offers a more accurate quantification of uncertainty, significantly improving the robustness and validity of the determined criteria weights.
- (3)
- We propose modeling the MCGDM process by integrating the CPT-TODIM method for individual evaluations with a QPT-based aggregation framework. This dual approach allows us to first capture individual DMs’ complex psychological behaviors and risk perceptions via the CPT-TODIM method and then explicitly model the mutual interference effects among these viewpoints during aggregation using QPT. This integration provides a more comprehensive and psychologically grounded understanding of group decision dynamics compared to methods that address only individual biases or assume simple independence in aggregation.
2. Literature Review
2.1. Type-2 Fuzzy Set Theory
2.2. Quantum Probability Theory
2.3. The TODIM Method
3. Preliminaries
3.1. Type-2 Fuzzy Numbers
- (1)
- Addition: .
- (2)
- Multiplication:
- (3)
- Scalar-multiplication: .
- (4)
- Power-multiplication: .
- (1)
- ;
- (2)
- ;
- (3)
- ;
- (4)
- .
3.2. Deng Entropy
3.3. Quantum Decision Theory
3.3.1. Quantum Probability Theory
3.3.2. Decision Making in Quantum Probability Theory
4. Multi-Criteria Quantum Group Decision Model Integrating T2FNs and the CPT-TODIM Method
4.1. Euclidean Distance Measure and Score Function for T2FNs
- Step 1:
- The DMs’ evaluation information, expressed using L-T2FNs, is collected. The evaluation matrix for DM is given by
- Step 2:
- Convert the L-T2FNs matrices into T2FNs matrices. The evaluation matrix for DM after transformation is as followsBased on the new uncertain degree, the Euclidean distance measure for T2FNs is defined:
- (1)
- (2)
- if and only if
- (3)
- Step 3:
- The comprehensive score matrix for DM can be obtained using Equation (18) as follows:
4.2. Determining the Criteria Weights
- Step 1:
- Step 2:
- Calculate the Deng entropy for the j-th criterion:where is calculated as and represents the standardized value for criterion . Furthermore, is defined as , where stands for the standard deviation of the evaluation values related to criterion . This coefficient indicates the degree of dispersion among the evaluations for different alternatives under the specific criterion .
- Step 3:
- Normalize the Deng entropy of criterion :
- Step 4:
- Determine the average absolute deviation for each criterion:where is the standardized mean value of the criterion.
- Step 5:
- Calculate the distance correlation between criteria and :where the distance covariance for is , and similarly, the distance variance for is . One can consult [8] for the details concerning the distance correlation computation involving criteria and .
- Step 6:
- Determine the information content associated with criterion using Equation (26):Integrating Deng entropy into the D-CRITIC framework enhances criteria weights determination in MCGDM by managing uncertainties from conflicting criteria evaluations. Unlike Shannon entropy, Deng entropy’s cardinality-based correction reduces weight polarization. It mitigates D-CRITIC’s sensitivity to outliers, a limitation of standard deviation-based methods, ensuring stable and robust weights.
- Step 7:
- The criteria weights are determined by employing Equation (27):where is the weight of criterion .
4.3. The T2FNs-CPT-TODIM Method
- Step 1:
- Normalize the decision matrix to yield the normalized matrix :
- Step 2:
- Compute the transformed probability weight relating to for DM using Equation (29):where the parameters and denote both the modifications in declining sensitivity across profit/loss scenarios and the precise curvature attributed to the weighting function.
- Step 3:
- Compute the relative weight associated with relative to using Equation (30):where indicates the transformed probability weight; this weight is for the j-th criterion of alternative according to DM .
- Step 4:
- Determine the relative prospect dominance degree of each alternative with respect to using Equation (31).where , , and denote the parameters.
- Step 5:
- For each alternative , its relative prospect dominance degree values relative to every other alternative , considering all criteria from , are presented in an dominance matrix, as follows:By summing all elements within , the global prospect dominance degree for each alternative from can be determined, where
4.4. Aggregating the Individual Evaluation Result in Quantum Framework
- Step 1:
- The weights of the DMs are set as the first layer probabilities of the BN, where
- Step 2:
- The global prospect dominance degree, , for each alternative associated with , is determined using the CPT-TODIM method. Subsequently, is converted into exponent-based conditional probabilities:
- Step 3:
- In QPT, the probability of is determined by squaring the amplitude that corresponds to the cumulative summation of amplitude probabilities for each available path, calculated as follows:whereWhen Equation (36) undergoes expansion, we can obtain
- Step 4:
- Finally, the quantum interference terms in Equation (38) are determined using method from Section 4.5. Subsequently, the final probability for each alternative is computed, which then allows for the establishment of a final ranking under the quantum framework.
4.5. Determination of the Quantum Interference Term
- (1)
- When or , the DMs are considered independent, meaning interference is null (as , the interference term is 0).
- (2)
- When or , the DMs’ opinions are subject to purely positive influence, resulting in a disjunctive aggregation.
- (3)
- When , a purely negative influence is exerted on opinions, leading to a conjunctive aggregation.
- Step 1:
- Based on the opinion information supplied by DMs and , vectors and are constructed, followed by the calculation of the difference .where
- Step 2:
- The cosine theorem is utilized to calculate the angle between vectors , and , according to the following formulation:where , and represent the angles corresponding to the vectors , and .
- Step 3:
- Let the similarity measure be denoted by . Consequently, the interference angle can be calculated aswhere is computed as
4.6. The Procedure for Multi-Criteria Quantum Group Decision Method
- Step 1:
- Language assessment information from DMs is collected and transformed into T2FNs using Equation (4).
- Step 2:
- The decision matrices of DMs are transformed into comprehensive score matrices by means of Equation (18).
- Step 3:
- Criteria weights are determined using the D-CRITIC method combined with Deng entropy (Equation (27)).
- Step 4:
- The weights of DMs are set in the first layer of the BN.
- Step 5:
- Step 6:
- Using Equation (35), the overall prospect dominance degree of with respect to is converted into a conditional probability and assigned to the second layer of the BN.
- Step 7:
- The probability of the alternative is calculated according to Equation (36).
- Step 8:
- The ranking of alternatives is determined by their calculated probabilities.
5. Case Study
5.1. Problem Description
5.2. Decision-Making Process
- Step 1:
- Each of the four alternatives is evaluated by four DMs according to the linguistic term sets = {VL, L, M, H, VH} and = {unknown, maybe, usually, likely, very likely}. The specific evaluation language chosen is documented in Table 2.
- Step 2:
- Step 3:
- Step 4:
- Using the D-CRITIC method combined with Deng entropy, weights corresponding to individual criteria are computed. These results are detailed in Table 5.
- Step 5:
- The weights of the four DMs are set to the first layer of the BN.
- Step 6:
- Based on Equation (31) and the parameter settings , , , , [20], the prospect dominance degree measuring the relationship for each pair of alternatives and for criterion from is obtained.The overall prospect dominance degree of alternative from are derived asThe conversion of the overall prospect dominance degree into exponential-based conditional probabilities is then performed, giving the corresponding results:
- Step 7:
- Following QPT principles, where the probability of corresponds to the magnitude squared of the total amplitude probabilities from the complete set of paths, Equations (36)–(38) are applied to determine these probabilities as detailed below:withUsing Equations (39)–(44) to determine the interference angle between DMs.Based on Equation (36), calculate the final probability for each alternative.
- Step 8:
- According to the probability values of the alternatives, their final ranking is . Based on the ranking results, the startup with the highest investment value is identified as : RegTech compliance platform.
6. Sensitivity and Comparative Analysis
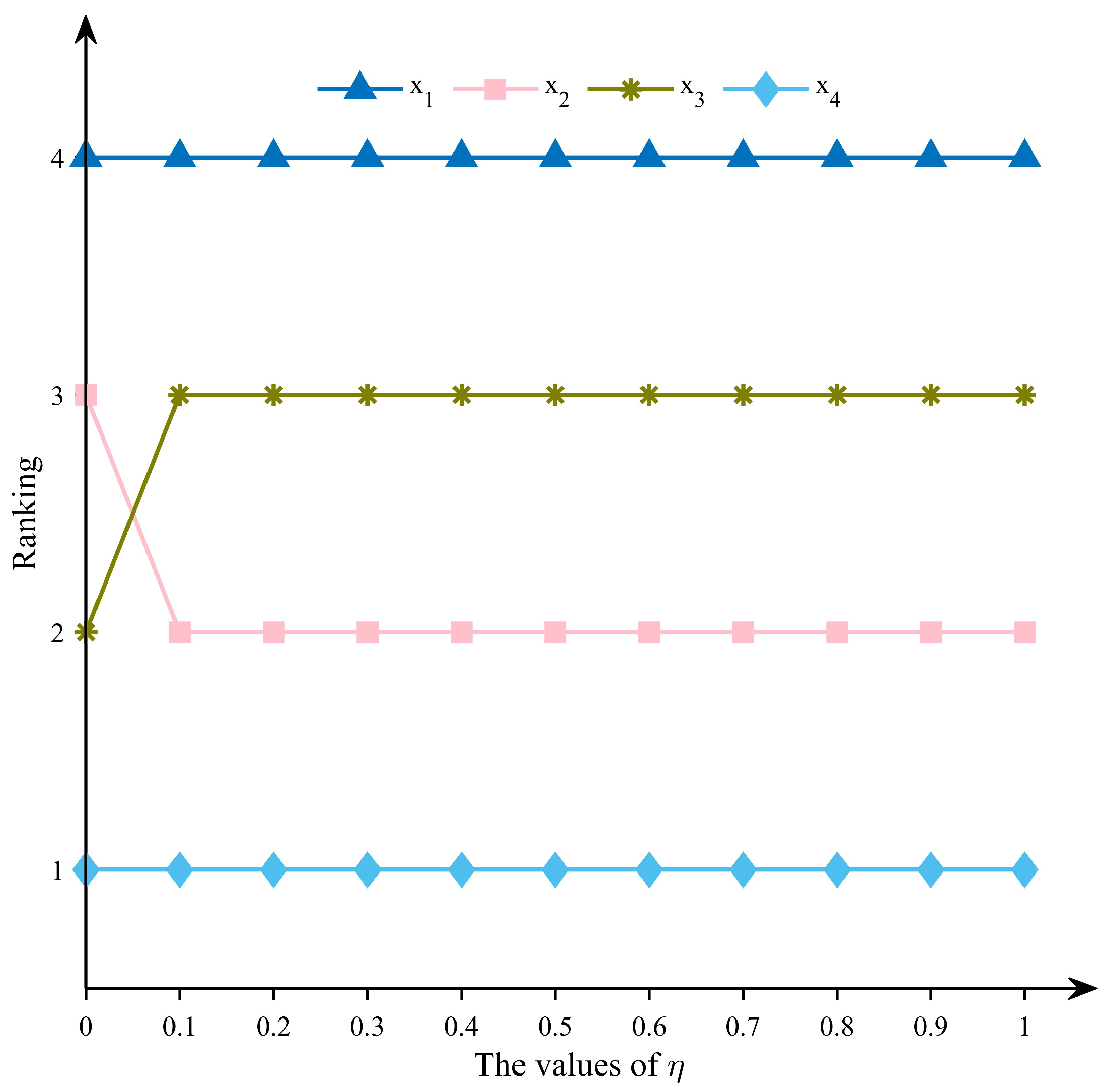
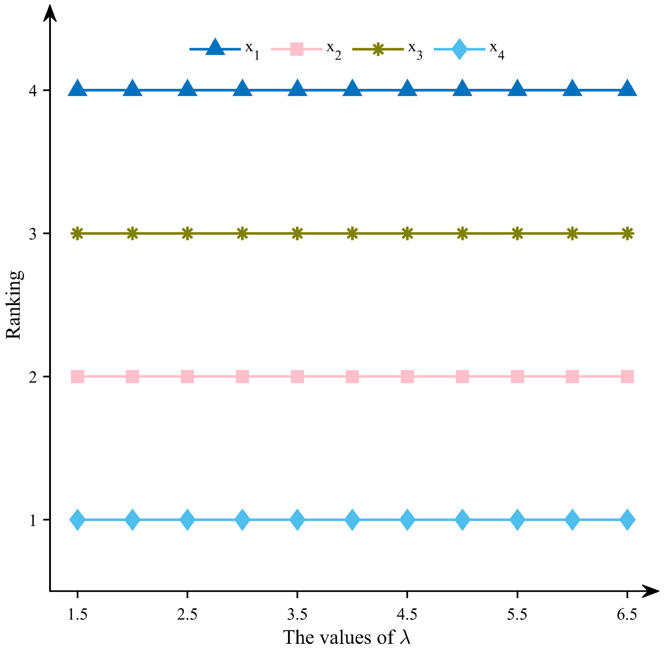
6.1. Sensitivity Analysis
6.2. Comparative Analysis
- (1)
- The rankings generated by the proposed model show alignment with those from the quantum model developed by Wu et al. [41], underscoring the stability and effectiveness of our approach. As shown in Table 6, for alternatives and , our proposed method yields probabilities of and , whereas the model by Wu et al. [41] produces results of and . This difference stems primarily from the CPT-TODIM method’s foundation in CPT, which places greater emphasis on loss aversion and sensitivity to gains. This leads to a substantial amplification for alternatives exhibiting pronounced advantages and shows higher sensitivity to both extremely low and extremely high probabilities, causing certain well-performing alternatives to acquire exceptionally high probabilities, while those performing slightly less well are assigned extremely low probabilities. The comparison results indicate that our proposed method, relative to the quantum model by Wu et al. [41], more closely aligns with the psychological decision-making processes of actual humans, is capable of simulating complex risk attitudes and probability distortions in greater detail, and offers a more comprehensive description of the behavioral psychology of DMs.
- (2)
- The optimal alternative selected by both the TOPSIS [58] and MABAC [59] methods is , whereas the proposed method, along with the CPT-TODIM method and the quantum model, identifies as the optimal alternative. The primary reason for this inconsistency is that our proposed model, the CPT-TODIM method, and the quantum model all originate from the TODIM framework. The TODIM-based methods and their quantum probability extensions emphasize the cumulative advantages and penalty for disadvantages across all criteria between alternatives, prioritizing overall balanced stability in ranking. Consequently, , which demonstrates balanced performance with minimal weaknesses, is ranked first. In contrast, TOPSIS and MABAC are grounded in calculating aggregate distances connecting alternatives to the “positive ideal solution”, potentially allowing superior results pertaining to specific criteria to greatly enhance an alternative’s rank. Thus, ranks above via these methods due to specific criteria benefits, yielding contrasting orderings for these alternatives across different methods.
- (3)
- The rankings derived from the classical CPT-TODIM method [20] exhibit consistency relative to our developed approach’s outcomes. It is because the CPT-TODIM method itself sets forth a clear and significant basis for the ranking that this consistency is observed. The relative increment introduced by the interference term from quantum probability is insufficient to overcome the original large ranking gaps. Although the resulting ranking is consistent, our method, compared to the traditional CPT-TODIM method, incorporates a consideration of the interference effects among DMs. This enables our model to theoretically better handle conflict and fuzziness, makes the model more flexible, and provides stronger explanatory power for deviations in complex behavior.Overall, the comparative analysis in the preceding subsections systematically contrasts the ranking outcomes of the proposed model with those of several established decision-making methods. The observed alignments and divergences underscore the distinctive features and contributions of our approach. In particular, its consistent performance against methods sharing similar theoretical foundations, coupled with divergent results compared to models based on different assumptions, highlights the nuanced capabilities of our framework. This comprehensive evaluation confirms the robustness and effectiveness of our integrated quantum group decision model, particularly its ability to incorporate psychological factors and interference effects in group dynamics within complex decision environments.
6.3. Further Discussions on Symmetry
6.4. Managerial Implications
7. Conclusions
Author Contributions
Funding
Data Availability Statement
Conflicts of Interest
References
- Zhao, N.; Xu, Z.; Ren, Z. Hesitant fuzzy linguistic prioritized superiority and inferiority ranking method and its application in sustainable energy technology evaluation. Inf. Sci. 2019, 478, 239–257. [Google Scholar] [CrossRef]
- Zhong, L.; Yao, L. An ELECTRE I-based multi-criteria group decision making method with interval type-2 fuzzy numbers and its application to supplier selection. Appl. Soft Comput. 2017, 57, 556–576. [Google Scholar] [CrossRef]
- Zhu, F.; Zhong, P.; Sun, Y.; Xu, B. Selection of criteria for multi-criteria decision making of reservoir flood control operation. J. Hydroinformatics 2017, 19, 558–571. [Google Scholar] [CrossRef]
- Zadeh, L.A. Fuzzy sets. Inf. Control 1965, 8, 338–353. [Google Scholar] [CrossRef]
- Zadeh, L.A. The concept of a linguistic variable and its application to approximate reasoning–I. Inf. Sci. 1975, 8, 199–249. [Google Scholar] [CrossRef]
- Mendel, J.M.; John, R.I.; Liu, F. Interval type-2 fuzzy logic systems made simple. IEEE Trans. Fuzzy Syst. 2006, 14, 808–821. [Google Scholar] [CrossRef]
- Zhu, B.; Ren, P. Type-2 fuzzy numbers made simple in decision making. Fuzzy Optim. Decis. Mak. 2021, 21, 175–195. [Google Scholar] [CrossRef]
- Krishnan, A.R.; Kasim, M.M.; Hamid, R.; Ghazali, M.F. A modified CRITIC method to estimate the objective weights of decision criteria. Symmetry 2021, 13, 973. [Google Scholar] [CrossRef]
- Zhang, H.; Wei, G. Location selection of electric vehicles charging stations by using the spherical fuzzy CPT-CoCoSo and D-CRITIC method. Comput. Appl. Math. 2023, 42, 60. [Google Scholar] [CrossRef]
- Ghaemi-Zadeh, N.; Eghbali-Zarch, M. Evaluation of business strategies based on the financial performance of the corporation and investors’ behavior using D-CRITIC and fuzzy MULTI-MOORA techniques: A real case study. Expert Syst. Appl. 2024, 247, 123183. [Google Scholar] [CrossRef]
- Maneengam, A. Multi-objective optimization of the multimodal routing problem using the adaptive ε-constraint method and modified TOPSIS with the D-CRITIC method. Sustainability 2023, 15, 12066. [Google Scholar] [CrossRef]
- Sharkasi, N.; Rezakhah, S. A modified CRITIC with a reference point based on fuzzy logic and hamming distance. Knowl.-Based Syst. 2022, 255, 109768. [Google Scholar] [CrossRef]
- Li, W.; Wang, L.; Rehman, O.U. A novel interval type-2 fuzzy CPT-TODIM method for multi-criteria group decision making and its application to credit risk assessment in supply chain finance. Int. J. Fuzzy Syst. 2025, 27, 54–76. [Google Scholar] [CrossRef]
- Deng, Y. Deng entropy. Chaos Solitons Fractals 2016, 91, 549–553. [Google Scholar] [CrossRef]
- Zhao, T.; Li, Z.; Deng, Y. Linearity in Deng entropy. Chaos Solitons Fractals 2024, 178, 114388. [Google Scholar] [CrossRef]
- Gomes, L.F.A.M.; Lima, M.M.P.P. TODIM: Basics and application to multicriteria ranking. Found. Comput. Decis. Sci. 1991, 16, 113–127. [Google Scholar]
- Gomes, L.F.A.M.; Lima, M.M.P.P. From modeling individual preferences to multicriteria ranking of discrete alternatives: A look at prospect theory and the additive difference model. Found. Comput. Decis. Sci. 1992, 17, 171–184. [Google Scholar]
- Kahneman, D.; Tversky, A. Prospect Theory: An analysis of decision under risk. In Handbook of the Fundamentals of Financial Decision Making: Part I; World Scientific: Singapore, 2013; pp. 99–127. [Google Scholar]
- Tversky, A.; Kahneman, D. Advances in prospect theory: Cumulative representation of uncertainty. J. Risk Uncertain. 1992, 5, 297–323. [Google Scholar] [CrossRef]
- Tian, X.; Xu, Z.; Gu, J. An extended TODIM based on cumulative prospect theory and its application in venture capital. Informatica 2019, 30, 413–429. [Google Scholar] [CrossRef]
- Wang, Z.; Cai, Q.; Wei, G. Modified TODIM method based on cumulative prospect theory with Type-2 neutrosophic number for green supplier selection. Eng. Appl. Artif. Intell. 2023, 126, 106843. [Google Scholar] [CrossRef]
- Zhao, M.; Wei, G.; Guo, Y.; Chen, X. CPT-TODIM method for interval-valued bipolar fuzzy multiple attribute group decision making and application to industrial control security service provider selection. Technol. Econ. Dev. Econ. 2021, 27, 1186–1206. [Google Scholar] [CrossRef]
- He, Z.; Chan, F.T.S.; Jiang, W. A quantum framework for modelling subjectivity in multi-attribute group decision making. Comput. Ind. Eng. 2018, 124, 560–572. [Google Scholar] [CrossRef]
- Busemeyer, J.; Wang, Z. Data fusion using Hilbert space multi-dimensional models. Theor. Comput. Sci. 2018, 752, 41–55. [Google Scholar] [CrossRef]
- Bruza, P.D.; Wang, Z.; Busemeyer, J.R. Quantum cognition: A new theoretical approach to psychology. Trends Cogn. Sci. 2015, 19, 383–393. [Google Scholar] [CrossRef] [PubMed]
- Yu, J.G.; Jayakrishnan, R. A quantum cognition model for bridging stated and revealed preference. Transp. Res. Part B Methodol. 2018, 118, 263–280. [Google Scholar] [CrossRef]
- Yearsley, J.M.; Busemeyer, J.R. Quantum cognition and decision theories: A tutorial. J. Math. Psychol. 2016, 74, 99–116. [Google Scholar] [CrossRef]
- Jiang, J.; Liu, X. A quantum cognition based group decision making model considering interference effects in consensus reaching process. Comput. Ind. Eng. 2022, 173, 108705. [Google Scholar] [CrossRef]
- Yan, S.; Zeng, Y.; Zhang, N. Multi-attribute quantum group decision-making method considering decision-makers’ risk attitude. Soft Comput. 2024, 28, 5339–5357. [Google Scholar] [CrossRef]
- He, Z.; Jiang, W. An evidential Markov decision making model. Inf. Sci. 2018, 467, 357–372. [Google Scholar] [CrossRef]
- Eichberger, J.; Pirner, H.J. Decision theory with a state of mind represented by an element of a Hilbert space: The Ellsberg paradox. J. Math. Econ. 2018, 78, 131–141. [Google Scholar] [CrossRef]
- Wang, Z.; Solloway, T.; Shiffrin, R.M.; Busemeyer, J.R. Context effects produced by question orders reveal quantum nature of human judgments. Proc. Natl. Acad. Sci. USA 2014, 111, 9431–9436. [Google Scholar] [CrossRef] [PubMed]
- Li, W.; Wang, L.; Ren, Z.; Rehman, O.U. The selection of reform models for provincial rural credit cooperatives unions in China using an extended CPT-TODIM method based on novel type-2 fuzzy numbers. Appl. Soft Comput. 2024, 159, 111585. [Google Scholar] [CrossRef]
- Yu, K.; Xu, Y.; Yu, X.; Zhu, B. “d score” for type-2 fuzzy number incorporating the interaction between fast thinking and slow thinking. Fuzzy Sets Syst. 2025, 510, 109362. [Google Scholar] [CrossRef]
- Liao, N.; Wei, G.; Chen, X. TODIM method based on cumulative prospect theory for multiple attributes group decision making under probabilistic hesitant fuzzy setting. Int. J. Fuzzy Syst. 2021, 24, 322–339. [Google Scholar] [CrossRef]
- Zhao, M.; Wei, G.; Wei, C.; Guo, Y. CPT-TODIM method for bipolar fuzzy multi-attribute group decision making and its application to network security service provider selection. Int. J. Intell. Syst. 2021, 36, 1943–1969. [Google Scholar] [CrossRef]
- Moharrer, M.; Tahayori, H.; Livi, L.; Sadeghian, A.; Rizzi, A. Interval type-2 fuzzy sets to model linguistic label perception in online services satisfaction. Soft Comput. 2015, 19, 237–250. [Google Scholar] [CrossRef]
- Mathew, M.; Chakrabortty, R.K.; Ryan, M.J. Selection of an optimal maintenance strategy under uncertain conditions: An interval type-2 fuzzy AHP-TOPSIS method. IEEE Trans. Eng. Manag. 2020, 69, 1121–1134. [Google Scholar] [CrossRef]
- Favre, M.; Wittwer, A.; Heinimann, H.R.; Yukalov, V.I.; Sornette, D. Quantum decision theory in simple risky choices. PLoS ONE 2016, 11, e0168045. [Google Scholar] [CrossRef]
- Trueblood, J.S.; Busemeyer, J.R. A quantum probability account of order effects in inference. Cogn. Sci. 2011, 35, 1518–1552. [Google Scholar] [CrossRef]
- Wu, Q.; Liu, X.; Qin, J.; Wang, W.; Zhou, L. A linguistic distribution behavioral multi-criteria group decision making model integrating extended generalized TODIM and quantum decision theory. Appl. Soft Comput. 2021, 98, 106757. [Google Scholar] [CrossRef]
- Wang, P.; Liu, P.; Li, Y.; Teng, F.; Pedrycz, W. Trust exploration-and leadership incubation-based opinion dynamics model for social network group decision-making: A quantum theory perspective. Eur. J. Oper. Res. 2024, 317, 156–170. [Google Scholar] [CrossRef]
- Yearsley, J.M.; Trueblood, J.S. A quantum theory account of order effects and conjunction fallacies in political judgments. Psychon. Bull. Rev. 2018, 25, 1517–1525. [Google Scholar] [CrossRef]
- Han, S.; Liu, X. An extension of multi-attribute group decision making method based on quantum-like Bayesian network considering the interference of beliefs. Inf. Fusion 2023, 95, 143–162. [Google Scholar] [CrossRef]
- Cao, Y.; Han, X.; Wu, X.; Deveci, M.; Kadry, S.; Delen, D. Evaluation of food waste treatment techniques using the complex q-rung orthopair fuzzy generalized TODIM method with weighted power geometric operator. J. Environ. Manag. 2024, 353, 120105. [Google Scholar] [CrossRef] [PubMed]
- Wei, C.; Ren, Z.; Rodríguez, R.M. A hesitant fuzzy linguistic TODIM method based on a score function. Int. J. Comput. Intell. Syst. 2015, 8, 701–712. [Google Scholar] [CrossRef]
- Hong, X.; Bai, X.; Song, Y. Selection of product recycling channels based on extended TODIM method. Expert Syst. Appl. 2021, 168, 114295. [Google Scholar] [CrossRef]
- Tang, J.; Liu, X.; Wang, W. Consensus-based generalized TODIM approach for occupational health and safety risk analysis with opinion interactions. Appl. Soft Comput. 2024, 150, 111093. [Google Scholar] [CrossRef]
- Zhang, H.; Wang, H.; Wei, G. Spherical fuzzy TODIM method for MAGDM integrating cumulative prospect theory and CRITIC method and its application to commercial insurance selection. Artif. Intell. Rev. 2023, 56, 10275–10296. [Google Scholar] [CrossRef]
- Zhang, Z.; Lin, J.; Zhang, H.; Wu, S.; Jiang, D. Hybrid TODIM method for law enforcement possibility evaluation of judgment debtor. Mathematics 2020, 8, 1806. [Google Scholar] [CrossRef]
- Wen, X.; Liu, L.; Chung, S.H. Evaluation of autonomous vehicle applications in smart airports using Dombi Bonferroni mean operator based CIVL-BWM-TODIM decision making methodology. Sustain. Energy Technol. Assessments 2023, 60, 103523. [Google Scholar] [CrossRef]
- Mendel, J.M.; John, R.I.B. Type-2 fuzzy sets made simple. IEEE Trans. Fuzzy Syst. 2002, 10, 117–127. [Google Scholar] [CrossRef]
- Moreira, C.; Wichert, A. Quantum-like Bayesian networks for modeling decision making. Front. Psychol. 2016, 7, 163811. [Google Scholar] [CrossRef] [PubMed]
- Moreira, C.; Wichert, A. Interference effects in quantum belief networks. Appl. Soft Comput. 2014, 25, 64–85. [Google Scholar] [CrossRef]
- Ali, J.; Bashir, Z.; Rashid, T. On distance measure and TOPSIS model for probabilistic interval-valued hesitant fuzzy sets: Application to healthcare facilities in public hospitals. Grey Syst. Theory Appl. 2022, 12, 197–229. [Google Scholar] [CrossRef]
- Shannon, C.E. A mathematical theory of communication. Bell Syst. Tech. J. 1948, 27, 379–423. [Google Scholar] [CrossRef]
- Wu, Q.; Liu, X.; Zhou, L.; Tao, Z.; Qin, J. A quantum framework for modeling interference effects in linguistic distribution multiple criteria group decision making. IEEE Trans. Syst. Man Cybern. Syst. 2021, 52, 3492–3507. [Google Scholar] [CrossRef]
- Susmaga, R.; Szczęch, I.; Brzezinski, D. Towards explainable TOPSIS: Visual insights into the effects of weights and aggregations on rankings. Appl. Soft Comput. 2024, 153, 111279. [Google Scholar] [CrossRef]
- Pamučar, D.; Ćirović, G. The selection of transport and handling resources in logistics centers using Multi-attributive Border Approximation area Comparison (MABAC). Expert Syst. Appl. 2015, 42, 3016–3028. [Google Scholar] [CrossRef]










| DM ID | Field of Expertise | Qualifications | Experience (Years) |
|---|---|---|---|
| Venture capital, FinTech investment | MBA (Finance), CFA Charterholder | 15+ | |
| Software engineering, system architecture | Ph.D. in computer science | 10+ | |
| FinTech entrepreneurship, product development | B.Sc. in business, serial entrepreneur | 12+ | |
| Corporate law, FinTech regulation | LL.M. (Master of Laws), Bar Admission | 8+ |
| DMs | Alternatives | Criteria | |||||
|---|---|---|---|---|---|---|---|
| (H, likely) | (VH, very likely) | (M, very likely) | (M, likely) | (H, likely) | (H, likely) | ||
| (VL, very likely) | (L, very likely) | (H, very likely) | (M, usually) | (VH, maybe) | (M, usually) | ||
| (M, maybe) | (VH, usually) | (M, maybe) | (M, usually) | (M, usually) | (H, likely) | ||
| (L, very likely) | (H, maybe) | (H, very likely) | (H, maybe) | (L, maybe) | (VH, very likely) | ||
| (L, likely) | (L, usually) | (H, likely) | (M, unknown) | (L, likely) | (M, very likely) | ||
| (VL, likely) | (H, likely) | (L, likely) | (M, maybe) | (M, likely) | (M, likely) | ||
| (H, likely) | (VL, usually) | (VH, maybe) | (H, usually) | (L, maybe) | (H, usually) | ||
| (VH, maybe) | (M, likely) | (VH, usually) | (M, unknown) | (VL, usually) | (M, maybe) | ||
| (H, usually) | (H, usually) | (M, likely) | (M, likely) | (VH, unknown) | (H, usually) | ||
| (M, maybe) | (L, likely) | (H, likely) | (VH, very likely) | (H, very likely) | (VH, unknown) | ||
| (L, usually) | (H, unknown) | (L, usually) | (M, likely) | (H, maybe) | (M, very likely) | ||
| (H, usually) | (M, usually) | (H, maybe) | (VH, maybe) | (L, usually) | (H, likely) | ||
| (VL, usually) | (L, likely) | (L, very likely) | (H, very likely) | (M, maybe) | (VH, likely) | ||
| (L, usually) | (VL, likely) | (L, likely) | (L, likely) | (L, maybe) | (M, usually) | ||
| (VL, likely) | (L, likely) | (M, very likely) | (H, very likely) | (VH, maybe) | (H, maybe) | ||
| (M, likely) | (M, maybe) | (L, usually) | (VH, usually) | (L, usually) | (M, usually) | ||
| DMs | Alternatives | Criteria | |||||
|---|---|---|---|---|---|---|---|
| (0.6744, 0.6744) | (0.8833, 0.8833) | (0.5000, 0.8833) | (0.5000, 0.6744) | (0.6744, 0.6744) | (0.6744, 0.6744) | ||
| (0.1167, 0.8833) | (0.3256, 0.8833) | (0.6744, 0.8833) | (0.6744, 0.5000) | (0.8833, 0.3256) | (0.5000, 0.5000) | ||
| (0.5000, 0.3256) | (0.8833, 0.5000) | (0.5000, 0.3256) | (0.5000, 0.5000) | (0.5000, 0.5000) | (0.6744, 0.6744) | ||
| (0.3256, 0.8833) | (0.6744, 0.3256) | (0.6744, 0.8833) | (0.6744, 0.3256) | (0.3256, 0.3256) | (0.8833, 0.8833) | ||
| (0.3256, 0.6744) | (0.3256, 0.5000) | (0.6744, 0.6744) | (0.5000, 0.1167) | (0.3256, 0.6744) | (0.5000, 0.8833) | ||
| (0.1167, 0.6744) | (0.6744, 0.6744) | (0.3256, 0.6744) | (0.5000, 0.3256) | (0.5000, 0.6744) | (0.5000, 0.6744) | ||
| (0.6744, 0.6744) | (0.1167, 0.5000) | (0.8833, 0.3256) | (0.6744, 0.5000) | (0.3256, 0.3256) | (0.6744, 0.5000) | ||
| (0.6744, 0.6744) | (0.1167, 0.5000) | (0.8833, 0.3256) | (0.6744, 0.5000) | (0.3256, 0.3256) | (0.6744, 0.5000) | ||
| (0.6744, 0.5000) | (0.6744, 0.5000) | (0.5000, 0.6744) | (0.5000, 0.6744) | (0.8833, 0.1167) | (0.6744, 0.5000) | ||
| (0.5000, 0.3256) | (0.3256, 0.6744) | (0.6744, 0.6744) | (0.8833, 0.8833) | (0.6744, 0.8833) | (0.8833, 0.1167) | ||
| (0.3256, 0.5000) | (0.6744, 0.1167) | (0.3256, 0.5000) | (0.5000, 0.6744) | (0.6744, 0.3256) | (0.5000, 0.8833) | ||
| (0.6744, 0.5000) | (0.5000, 0.5000) | (0.6744, 0.3256) | (0.8833, 0.3256) | (0.3256, 0.5000) | (0.6744, 0.6744) | ||
| (0.1167, 0.5000) | (0.3256, 0.6744) | (0.3256, 0.8833) | (0.6744, 0.8833) | (0.5000, 0.3256) | (0.8833, 0.6744) | ||
| (0.3256, 0.5000) | (0.1167, 0.6744) | (0.3256, 0.6744) | (0.3256, 0.6744) | (0.3256, 0.3256) | (0.5000, 0.5000) | ||
| (0.1167, 0.6744) | (0.3256, 0.6744) | (0.5000, 0.8833) | (0.6744, 0.8833) | (0.8833, 0.3256) | (0.6744, 0.3256) | ||
| (0.5000, 0.6744) | (0.5000, 0.3256) | (0.3256, 0.5000) | (0.8833, 0.5000) | (0.3256, 0.5000) | (0.5000, 0.5000) | ||
| DMs | Alternatives | Criteria | |||||
|---|---|---|---|---|---|---|---|
| 0.1272 | 0.1405 | 0.1047 | 0.0717 | 0.1541 | 0.0697 | ||
| 0.1302 | 0.1489 | 0.0961 | 0.0588 | 0.1759 | 0.1453 | ||
| 0.2124 | 0.1171 | 0.2425 | 0.0680 | 0.1391 | 0.0697 | ||
| 0.1206 | 0.1701 | 0.0961 | 0.0705 | 0.2318 | 0.1328 | ||
| 0.1216 | 0.1334 | 0.0906 | 0.1000 | 0.1324 | 0.1475 | ||
| 0.1658 | 0.1688 | 0.1581 | 0.1017 | 0.1620 | 0.0930 | ||
| 0.1282 | 0.1890 | 0.1031 | 0.1854 | 0.1502 | 0.1000 | ||
| 0.1714 | 0.1336 | 0.0964 | 0.1000 | 0.1433 | 0.1697 | ||
| 0.0921 | 0.0982 | 0.0947 | 0.0927 | 0.1702 | 0.0953 | ||
| 0.1026 | 0.1015 | 0.1180 | 0.1414 | 0.1984 | 0.1321 | ||
| 0.1124 | 0.1232 | 0.1455 | 0.0927 | 0.1380 | 0.1237 | ||
| 0.0921 | 0.0749 | 0.1114 | 0.1309 | 0.1968 | 0.0802 | ||
| 0.1367 | 0.0641 | 0.1147 | 0.0826 | 0.1106 | 0.1704 | ||
| 0.0964 | 0.0846 | 0.1078 | 0.1649 | 0.1547 | 0.0783 | ||
| 0.1024 | 0.0641 | 0.1268 | 0.0826 | 0.2360 | 0.0917 | ||
| 0.1565 | 0.1213 | 0.1661 | 0.1191 | 0.1206 | 0.0783 | ||
| 0.2519 | 0.1566 | 0.1447 | 0.1233 | 0.1620 | 0.1615 |
| Methods | Ranking Indices | Final Rankings |
|---|---|---|
| TOPSIS [58] | = 0.1411, = 0.6341, | |
| = 0.7603, = 0.6870. | ||
| MABAC [59] | = −0.0115, = −0.0023, | |
| = 0.0058, = 0.00437. | ||
| CPT-TODIM [20] | = −7.2737, = −1.5273, | |
| = −2.0091, = −1.4969. | ||
| Quantum framework of [41] | = 0.2262, = 0.2580, | |
| = 0.2570, = 0.2589. | ||
| The proposed method | = 0.0116, = 0.3484, | |
| = 0.1384, = 0.5016. |
Disclaimer/Publisher’s Note: The statements, opinions and data contained in all publications are solely those of the individual author(s) and contributor(s) and not of MDPI and/or the editor(s). MDPI and/or the editor(s) disclaim responsibility for any injury to people or property resulting from any ideas, methods, instructions or products referred to in the content. |
© 2025 by the authors. Licensee MDPI, Basel, Switzerland. This article is an open access article distributed under the terms and conditions of the Creative Commons Attribution (CC BY) license (https://creativecommons.org/licenses/by/4.0/).
Share and Cite
Li, W.; Lu, S.; Ren, Z.; Rehman, O.U. A Novel Multi-Criteria Quantum Group Decision-Making Model Considering Decision Makers’ Risk Perception Based on Type-2 Fuzzy Numbers. Symmetry 2025, 17, 1006. https://doi.org/10.3390/sym17071006
Li W, Lu S, Ren Z, Rehman OU. A Novel Multi-Criteria Quantum Group Decision-Making Model Considering Decision Makers’ Risk Perception Based on Type-2 Fuzzy Numbers. Symmetry. 2025; 17(7):1006. https://doi.org/10.3390/sym17071006
Chicago/Turabian StyleLi, Wen, Shuaicheng Lu, Zhiliang Ren, and Obaid Ur Rehman. 2025. "A Novel Multi-Criteria Quantum Group Decision-Making Model Considering Decision Makers’ Risk Perception Based on Type-2 Fuzzy Numbers" Symmetry 17, no. 7: 1006. https://doi.org/10.3390/sym17071006
APA StyleLi, W., Lu, S., Ren, Z., & Rehman, O. U. (2025). A Novel Multi-Criteria Quantum Group Decision-Making Model Considering Decision Makers’ Risk Perception Based on Type-2 Fuzzy Numbers. Symmetry, 17(7), 1006. https://doi.org/10.3390/sym17071006

