Abstract
In carbazole-substituted phthalocyanine complexes 2,3,9,10,16,17,23,24-octakis-(3,6-dibromo-9Hcarbazol) phthalocyaninato zinc(II) (Pc 2) and 2,3,9,10,16,17,23,24-Octakis-(9H-carbazol-9-yl) phthalocyaninato zinc(II) (Pc 4) and their conjugated complexes to graphene quantum dots (GQDs), we studied the nonlinear absorption and propagating of picosecond pulse trains. Each pulse train contains 25 subpulses with width 100 ps seperated by space 13 ns. During the interaction with pulse trains, the structures of Pcs can be simplified to the five-state energy model. In our calculations, the coupled rate equations and two-dimensional paraxial field were solved using the Crank–Nicholson numerical method. The effects of substituted carbazoles and conjugated GQDs were investigated. Pcs and their conjugated complexes with GQDs exhibit optical limiting (OL) properties, and GQDs could decrease the OL of Pcs. One-photon absorption cross section or is the critical factor to determine the limiting value of energy transmittance in weak- or strong-intensity regions, respectively. The two-step two-photon absorption (TPA) tunnel is the main absorption mechanism; therefore, the effective population transfer time from to is another critical factor that is determined by one-photon absorption cross section and intersystem crossing time . Through further exploration it is found that a high incident intensity will lead to an asymmetric shape of output intensity due to different absorption mechanisms in the front and latter subpulses of the pulse train.
1. Introduction
In the last half century, lasers have been applied in many fields. But the advancement of high power laser brings about great danger to optical devices and human eyes []. As a result, organic materials have attracted great attention due to their nonlinear optical susceptibilities, low synthesis costs and great practical significances [,,,]. Those materials that meet the above requirements have the well-known optical limiting (OL) effects and they are widely used as optical limiters [,,], sensors [,], and switches [,,]. New synthetic OL organic materials attract great research interest due to their specific performances in transmitting low intensities and absorbing destructive high intensities of lasers.
Among various types of OL molecules, porphyrins, naphthalocyanines, and phthalocyanines are the most competitive materials. Owing to large conjugated -electron ring structures [,], their absorption cross sections of excited states are bigger than those of ground states, which is known as the reverse saturable absorption (RSA) properties [,,,,]. RSA is typical two-step sequential two-photon absorption (TPA), which often occurs in the process of long duration pulses with low intensity in OL molecules. In contrast, one-step coherent TPA often occurs in the cases of short duration pulses with high intensity. Compared to porphyrins and naphthalocyanines, phthalocyanines (Pcs) have most notably 18 -electros planar macrocyclic structures, which leads to distinctive optical and electronic properties as well as outstanding thermal and chemical stability [,,]. Consequently, Pcs are studied further for medical applications in photomedicine, therapy and diagnostics [,] and for potential compounds in organic solar cells [,,,] and light-emitting diodes [,,,].
The nonlinear optical behaviours of graphene quantum dots (GQDs) linked to Pcs were studied [,] because GQDs can be functionalized and synthesized easily and are soluble in aqueous or nonaqueous solvents []. Delocalized -electrons in GQDs can promote - interactions with other -electrons systems such as Pcs. However, the OL effects of Pcs linked with GQDs by - interactions have rarely been studied.
In recent experimental works [,], carbazole-substituted phthalocyanine complexes 2,3,9,10,16,17,23,24-octakis-(3,6-dibromo-9Hcarbazol) phthalocyaninato zinc(II) (Pc 2) and 2,3,9,10,16,17,23,24-Octakis-(9H-carbazol-9-yl) phthalocyaninato zinc(II) (Pc 4) and their conjugated complexes to graphene quantum dots (GQDs) via - interactions were synthesized. Their photophysical properties and nonlinear optical parameters in solvent spectrophotometric-grade dimethyl sulfoxide (DMSO) were also reported. Pulse trains were widely used to studied the novel nonlinear absorption and dynamical transmissions in phthalocyanines [,] or porphyrins [,,]. Therefore we are interested in exploring the nonlinear dynamics of picosecond pulse trains transmittion in Pc 2, Pc 4 and their nanoconjugates in solvent DMSO. The parameters of pulse trains were set according to those experiments [,,,,]. In order to solve the population rate equations coupled with the paraxial intensity equation, we applied the notable Crank–Nicholson method, which has a second-order accurate and stable convergence for any size of time-step [,].
2. Method
The structures of phthalocyanines 2,3,9,10,16,17,23,24-octakis-(3,6-dibromo-9Hcarbazol) phthalocyaninato zinc(II) (Pc 2) and 2,3,9,10,16,17,23,24-Octakis-(9H-carbazol-9-yl) phthalocyaninato zinc(II) (Pc 4) and graphene quantum dots (GQDs) are presented in Figure 1. A generalized five-state energy model (Figure 2) can substitute for phthalocyanines when they are interacting with long duration pulses such as picosecond pulse trains [,]. Thermal effects are obvious when considering vibrational energy states. In this work we considered the electronic energy states without vibrational energy states, so we will not discuss thermal effects. During the propagating of pulse trains in phthalocyanines, one-photon absorption and the one-step TPA were ignored since the frequency of pulses is close to the one-photon resonance absorptions. Therefore the only possible absorption channels are two-step TPA or .

Figure 1.
Structures of (a) carbazole-substituted phthalocyanines Pc 2 and Pc 4 and (b) GQDs [,].

Figure 2.
The Jablonski diagram of a five-state model consisting of the ground singlet state (), first excited singlet state (), higher excited singlet state (), first excited triplet state (), and higher excited triplet states ().
In our simulations, the pulse train comprises several subpulses,
Here n marks the subpulse serial number. The total number is in this work. Each subpulse intensity has temporal rectangle shape [,],
Here , . The spacing between adjacent subpulses is ns, and each subpulse has duration ps and beam width mm initially. The evolution equation on time t and distance z for each subpulse is described by the paraxial equation [],
Here c is light speed in vacuum and is material concentration. is the refraction index. According to our calculation, the refraction index has minimal impact on OL behvious of Pcs, so here we set . Subscripts i and j denote different energy states of studied material, and is a cross section of one-photon absorption from state i to j. The populations of all five states follow the dynamical rate equations as below []
is decay rate of population, and is pump rate from low to high state. The population transition rate of intersystem crossing (ISC) via and transitions , and are denoted by and , , separately.
Pump rate depends on cross section of resonant one-photon absorption as follows []
The frequency of incident pulse trains is , where wave length nm was extracted from the experiment [].
Total energy of pulse trains during transmission is instantaneous intensity integral
Then one can obtain the total energy transmittance
3. Results and Discussion
The photophysical parameters, as shown in Table 1, of all studied complexes in DMSO were extracted from []. Moreover, we set ps and [].

Table 1.
Photophysical parameters of Pc 2, Pc 4, and their corresponding nanoconjugates with GQDs in solvent DMSO at nm []. , .
Based on Equation (7), we drew energy transmittances of Pc 2, Pc 4 and their GQD nanoconjugates in DMSO in Figure 3. As the peak intensity of incident pulse train increases, all complexes show an evident OL effect; energy transmittances decrease sharply, especially when intensity exceeds . With a longer propagation distance mm, one can notice that transmittances could reach rather low values. Among all complexes, Pc 2 and Pc 4 in DMSO exhibit better OL behaviours compared to their GQD nanoconjugates. In the weak-intensity region, which is lower than , their transmittances are quite similar and have little changes. In the strong-intensity region, which is higher than , their transmittances significantly decrease and the transmittances of Pc 2 and Pc 4 could drop close to at mm. The tendencies of all curves obey following convergent transmittance
So, their limiting values of energy transmittances are determined by their one-photon absorption cross sections or (Table 1) in weak- or strong-intensity regions, respectively. In the cases with extremely strong laser energy, is the critical parameter to select suitable materials as optical limiter. Moreover, one can also raise the performance of the optical limiter by increasing the concentration or thickness.

Figure 3.
Energy transmittance (Equation (7)) as a function of the peak intensity of incident laser at (a) mm and (b) mm for Pc 2, Pc 4 and their GQD nanoconjugates in DMSO.
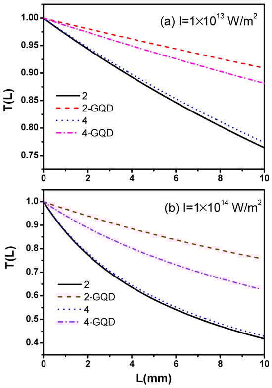
In Figure 4 we studied the correlations between the energy transmittances of all complexes and propagation distances L with different intensity. It is predictable that transmittance would decrease when distance increases due to more molecules getting involved in nonlinear absorptions. One can see that Pc 2 and Pc 4 show lower transmittances than their GQD nanoconjugates in DMSO. With higher incident peak intensity compared to , the transmittances of all complexes decrease to rather low values. The principal reason for this is that high intensity could strengthen the second step of two-step sequential TPA, which leads to strong nonlinear OL effect.

Figure 4.
Energy transmittance (Equation (7)) as a function of the propagation distance L with (a) and (b) for Pc 2, Pc 4 and their GQD nanoconjugates in DMSO.
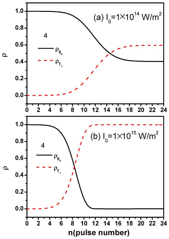
In order to understand the dynamical absorption process, we investigated population transformation for Pc 4. Since populations on states , nad are negligible, so we only plotted and in Figure 5. With intensity , nearly 60% of populations on state are transferred to . But when intensity increases to , almost all populations are pumped from to . In this instance, stronger absorption will happen. So, we can draw the conclusion that intenser two-step TPA rather than leads to rather low energy transmittance (Figure 3).

Figure 5.
Population dynamics and at with (a) and (b) for Pc 4 in DMSO.
In Figure 6, we show the effective population transfer times from state to of all complexes [], which is an important variable to make sense of the whole RSA process . The curves are almost symmetric, and this trend is mainly dependent on intensity of pulse train. On both wings with low intensities, needs longer time. Conversely, in the central section with high intensity, reaches relatively low values. For each intensity, both Pc 2 and Pc 4 show lower values compared to their GQD nanoconjugates. The dependence of on intensity [] is mainly determined by the cross section of one-photon absorption and intersystem crossing time . From Table 1 we can see that conjugated GQDs would reduce and as well as of Pcs via - interactions. Short would lead to fast population accumulation in state , which is beneficial for OL results. Therefore conjugated GQDs weaken the OL behaviours of Pcs, as shown in Figure 3 and Figure 4.

Figure 6.
The effective population transfer time at and with (a) and (b) for Pc 2, Pc 4 and their GQD nanoconjugates in DMSO.
We show 2D maps of output intensities with different incident peak intensity of Pc 4 in Figure 7. One can notice that the peak output intensity becomes earlier and higher when increases, which is shown clearly in Figure 7a. With in Figure 7b, the shape is near symmetric. In the cases of high intensities, and in Figure 7c,d, their shapes become increasingly asymmetric. This shape deformation is caused by two different absorption mechanisms during pulse train transmission. For the front subpulses of pulse train, the dominant absorption path is linear absorption in the studied complexes. Then for the latter subpulses of the pulse train, the nonlinear two-step TPA occurs due to the saturated accumulation of population on state (Figure 5). These two absorption mechanisms become differentiated when increases to a rather high value such as . Compared the output intensities, one can notice that the growth trend becomes slower. When incident peak intensity increases by an order of magnitude from to , the output peak intensity increases just two times approximatively from to . This slow growth trend is caused by the significantly greater TPA in the strong-intensity region.

Figure 7.
The laser intensities after absorbing with (b) , (c) and (d) for Pc 4 in DMSO at cm. (a) Output intensities at .
4. Conclusions
We studied the dynamical propagation of picosecond pulse trains in carbazole-substituted phthalocyanine complexes Pc 2 and Pc 4 and their conjugated complexes to graphene quantum dots (GQDs) in solvent DMSO. Pc 2 and Pc 4 have better OL behaviours than their GQD nanoconjugates. One-photon absorption cross section or is the critical factor to determine the limiting value of energy transmittance in weak- or strong-intensity regions, respectively. During the interaction of pulse trains with studied complexes, almost all populations are pumped from state to . The population accumulation on is quite important for the second step of two-step TPA , which will lead to strong RSA absorption. So, the effective population transfer time from to is another critical factor which is determined by one-photon absorption cross section and intersystem crossing time . In addition, high incident intensity will lead to an asymmetric shape of output intensity due to different absorption mechanisms in the front and latter subpulses of pulse train. Accordingly, carbazole-substituted phthalocyanine and their conjugated complexes showed competitive OL parameters. This kind of phthalocyanine can be a strong potential candidate in many applications, such as optical limiters, molecular sensors, or switches.
Author Contributions
Conceptualization, Q.M. and Y.X.; Data curation, Q.M. and E.S.; Funding acquisition, Q.M.; Project administration, Y.X.; Visualization, Q.M. and E.S.; Writing original draft, Q.M.; manuscript review and editing, Q.M., E.S. and Y.X.; supervision, Y.X. All authors have read and agreed to the published version of the manuscript.
Funding
This research was funded by Youth expert program of Taishan scholar of Shandong Province, China (Grant No. tsqn202103072) and Natural Science Foundation of Shandong Province, China (Grant No. ZR2022MA085).
Data Availability Statement
The data that support the findings of this study are available upon reasonable request from the authors.
Conflicts of Interest
The authors declare no conflict of interest.
References
- Nwaji, N.; Dingiswayo, S.; Mack, J.; Nyokong, T. Photophysical and Enhanced Nonlinear Optical Response in Asymmetric Benzothiazole Substituted Phthalocyanine Covalently Linked to Semiconductor Quantum Dots. Spectrochim. Acta Part A Mol. Biomol. Spectrosc. 2018, 204, 629–639. [Google Scholar] [CrossRef] [PubMed]
- Zyss, J.; Chemla, D.S. Quadratic nonlinear optics and optimization of the second-order nonlinear optical response of molecular crystals. In Nonlinear Optical Properties of Organic Molecules and Crystals; Chemla, D.S., Zyss, J., Eds.; Chapter II-1; Academic Press: Cambridge, MA, USA, 1987; pp. 23–191. [Google Scholar]
- Nalwa, H.S.; Miyata, S. Nonlinear Optics of Organic Molecules and Polymers; CRC Press: Boca Raton, FL, USA, 1997. [Google Scholar]
- Torres-Torres, C.; García-Beltrán, G. Optical Nonlinearities in Nanostructured Systems; Springer Nature: Berlin/Heidelberg, Germany, 2022. [Google Scholar]
- Gnawali, S.; Apalkov, V. High-order harmonic generation in graphene quantum dots in the field of an elliptically polarized pulse. Phys. Rev. B 2024, 109, 165121. [Google Scholar] [CrossRef]
- Xu, Y.F.; Liu, Z.B.; Zhang, X.L.; Wang, Y.; Tian, J.G.; Huang, Y.; Ma, Y.F.; Zhang, X.Y.; Chen, Y.S. A Graphene Hybrid Material Covalently Functionalized with Porphyrin: Synthesis and Optical Limiting Property. Adv. Mater. 2009, 21, 1275–1279. [Google Scholar] [CrossRef]
- Ren, J.S.; Yang, P.Y.; Wang, A.J.; Zhu, W.H.; Shang, D.H.; Song, Y.L. Synergistic promoted nonlinear optical effects in polyaniline nanohybrids covalently functionalized with tin porphyrin. Colloids Surfaces Physicochem. Eng. Asp. 2022, 650, 129588. [Google Scholar] [CrossRef]
- Li, D.J.; Li, Q.H.; Gu, Z.G.; Zhang, J. Oriented Assembly of 2D Metal-Pyridylporphyrinic Framework Films for Giant Nonlinear Optical Limiting. Nano Lett. 2021, 21, 10012–10018. [Google Scholar] [CrossRef]
- Dini, D.; Calvete, M.J.F.; Hanack, M. Nonlinear optical materials for the smart filtering of optical radiation. Chem. Rev. 2016, 116, 13043–13233. [Google Scholar] [CrossRef]
- Di Zazzo, L.; Magna, G.; Lucentini, M.; Stefanelli, M.; Paolesse, R.; Di Natale, C. Sensor-Embedded Face Masks for Detection of Volatiles in Breath: A Proof of Concept Study. Chemosensors 2021, 9, 356. [Google Scholar] [CrossRef]
- Thanopulos, I.; Paspalakis, E.; Yannopapas, V. Optical switching of electric charge transfer pathways in porphyrin: A light-controlled nanoscale current router. Nanotechnology 2008, 19, 445202. [Google Scholar] [CrossRef] [PubMed]
- Szyszko, B. Phenanthrene-Embedded Carbaporphyrinoids and Related Systems: From Ligands to Cages and Molecular Switches. Eur. J. Org. Chem. 2022, 30, e202200714. [Google Scholar] [CrossRef]
- Liu, W.; Yang, S.; Li, J.T.; Su, G.R.; Ren, J.C. One molecule, two states: Single molecular switch on metallic electrodes. Eur. J. Org. Chem. 2020, 11, e1511. [Google Scholar] [CrossRef]
- Zhu, H.; Chen, Q.; Rončević, I.; Christensen, K.E.; Anderson, H.L. Anderson Harry Laurence. Anthracene-Porphyrin Nanoribbons. Angew. Chem. Int. Ed. 2023, 135, e202307035. [Google Scholar] [CrossRef]
- Durantini, J.E.; Rubio, R.; Solis, C.; Macor, L.; Morales, G.M.; Mangione, M.I.; Heredia, D.A.; Durantini, E.N.; Otero, L.; Gervaldo, M. Electrosynthesis of a hyperbranched dendrimeric porphyrin polymer: Optical and electronic characterization as a material for bifunctional electrochromic supercapacitors. Sustain. Energy Fuels 2020, 4, 6125–6140. [Google Scholar] [CrossRef]
- Gavrilyuk, S.; Polyutov, S.; Jha, P.C.; Rinkeviciu, Z.; Ågren, H.; Gel’mukhanov, F. Many-Photon Dynamics of Photobleaching. J. Phys. Chem. A 2007, 111, 11961–11975. [Google Scholar] [CrossRef] [PubMed]
- Eriksson, A.; Bertlisson, K.; Lindgren, M. Simulation of beam propagation with time-dependent nonlinear processes in optical limiting applications. Synth. Met. 2002, 127, 147–150. [Google Scholar] [CrossRef]
- Polyzos, I.; Fakis, G.T.M.; Giannetas, V.; Persephonis, P.; Mikroyannidis, J. Two-photon absorption properties of novel organic materials for three-dimensional optical memories. Chem. Phys. Lett. 2003, 369, 264–268. [Google Scholar] [CrossRef]
- Blau, W.; Byrne, H.; Dennis, W.M.; Dennis, J.M.; Kelly, J.M. Reverse saturable absorption in tetraphenylporphyrins. Opt. Commun. 1985, 56, 25–29. [Google Scholar] [CrossRef]
- Dini, D.; Hanack, M.; Meneghetti, M. Nonlinear Optical Properties of Tetrapyrazinoporphyrazinato Indium Chloride Complexes Due to Excited-State Absorption Processes. J. Phys. Chem. B 2005, 109, 12691–12696. [Google Scholar] [CrossRef]
- Kadish, K.M.; Smith, K.M.; Guilard, R. (Eds.) Handbook of Porphyrin Science; World Scientific Publishing: Singapore, 2010; Volume 3, pp. 1–323. [Google Scholar]
- Lukyanets, E.A.; Nemykin, V.N. The key role of peripheral substituents in the chemistry of phthalocyanines and their analogs. J. Porphyrins Phthalocyanines 2010, 14, 1–40. [Google Scholar] [CrossRef]
- Nemykin, V.N.; Lukyanets, E.A. Synthesis of substituted phthalocyanines. Arkivoc 2010, 136–208. [Google Scholar] [CrossRef]
- Josefsen, L.B.; Boyle, R.W. Unique diagnostic and therapeutic roles of porphyrins and phthalocyanines in photodynamic therapy, imaging and theranostics. Theranostics 2012, 9, 916–966. [Google Scholar] [CrossRef]
- Taratula, O.; Schumann, C.; Naleway, M.A.; Pang, A.J.; Chon, K.J.; Taratula, O. A multifunctional theranostic platform based on phthalocyanine-loaded dendrimer for image-guided drug delivery and photodynamic therapy. Mol. Pharm. 2013, 10, 3946–3958. [Google Scholar] [CrossRef] [PubMed]
- Ince, M.; Yum, J.-H.; Kim, Y.; Mathew, S.; Grätzel, M.; Torres, T.; Nazeeruddin, M.K. Molecular Engineering of Phthalocyanine Sensitizers for Dye-Sensitized Solar Cells. J. Phys. Chem. C 2014, 118, 17166–17170. [Google Scholar] [CrossRef]
- Singh, V.P.; Singh, R.S.; Parthasarathy, B.; Aguilera, A.; Anthony, J.; Payne, M. Copper-phthalocyanine-based organic solar cells with high open-circuit voltage. Appl. Phys. Lett. 2005, 86, 082106. [Google Scholar] [CrossRef]
- Yuen, A.P.; Jovanovic, S.M.; Hor, A.M.; Klenkler, R.A.; Devenyi, G.A.; Loutfy, R.O.; Preston, J.S. Photovoltaic properties of M-phthalocyanine/fullerene organic solar cells. Sol. Energy 2012, 86, 1683–1688. [Google Scholar] [CrossRef]
- Walter, M.G.; Rudine, A.B.; Wamser, C.C. Porphyrins and phthalocyanines in solar photovoltaic cells. J. Porphyrins Phthalocyanines 2010, 14, 759–792. [Google Scholar] [CrossRef]
- Bae, Y.J.; Lee, N.J.; Kim, T.H.; Cho, H.; Lee, C.; Fleet, L.; Hirohata, A. Growth and characterization of thin Cu-phthalocyanine films on MgO(001) layer for organic light-emitting diodes. Nanoscale Res. Lett. 2012, 7, 650. [Google Scholar] [CrossRef]
- Kao, P.-C.; Chu, S.-Y.; Liu, S.-J.; You, Z.-X.; Chuang, C.-A. Improved Performance of Organic Light-Emitting Diodes Using a Metal-Phthalocyanine Hole-Injection Layer. J. Electrochem. Soc. 2006, 153, H122–H126. [Google Scholar] [CrossRef]
- Wang, Y.-L.; Xu, J.-J.; Lin, Y.-W.; Chen, Q.; Shan, H.-Q.; Yan, Y.; Roy, V.A.L.; Xu, Z.-X. Tetra-methyl substituted copper (II) phthalocyanine as a hole injection enhancer in organic light-emitting diodes. AIP Adv. 2015, 5, 107205. [Google Scholar] [CrossRef]
- Xu, J.; Wang, Y.; Chen, Q.; Lin, Y.; Shan, H.; Roy, V.A.L.; Xu, Z. Enhanced lifetime of organic light-emitting diodes using soluble tetraalkyl-substituted copper phthalocyanines as anode buffer layers. J. Mater. Chem. C 2016, 4, 7377. [Google Scholar] [CrossRef]
- Nwaji, N.; Achadu, O.J.; Nyokong, T. Photo-induced resonance energy transfer and nonlinear optical response in ball-type phthalocyanine conjugated to semiconductor and graphene quantum dots. New J. Chem. 2018, 42, 6040–6050. [Google Scholar] [CrossRef]
- Bankole, O.M.; Achadu, O.J.; Nyokong, T. Nonlinear interactions of zinc phthalocyanine- graphene quantum dots nanocomposites: Investigation of effects of surface functionalization with heteroatoms. J. Fluoresc. 2017, 27, 755–766. [Google Scholar] [CrossRef] [PubMed]
- Zhang, Z.; Zhang, J.; Chen, N.; Qu, L. Graphene quantum dots: An emerging material for energy-related applications and beyond. Energy Environ. Sci. 2012, 5, 8869–8890. [Google Scholar] [CrossRef]
- Majeed, S.A.; Nwaji, N.; Mack, J.; Nyokong, T.; Makhseed, S. Nonlinear optical responses of carbazole-substituted phthalocyanines conjugated to graphene quantum dots and in thin films. J. Lumin. 2019, 213, 88–97. [Google Scholar] [CrossRef]
- Majeed, S.A.; Ghazal, B.; Nevonen, D.E.; Goff, P.C.; Blank, D.A.; Nemykin, V.N.; Makhseed, S. Evaluation of the Intramolecular Charge-Transfer Properties in Solvatochromic and Electrochromic Zinc Octa(carbazolyl)phthalocyanines. Inorg. Chem. 2017, 56, 11640–11653. [Google Scholar] [CrossRef]
- De Paoli, V.M.; De Paoli, S.H.; Borissevitch, I.E.; Tedesco, A.C. Fluorescence lifetime and quantum yield of TMPyPH2 associated with micelles and DNA. J. Alloys Compd. 2002, 344, 27–31. [Google Scholar] [CrossRef]
- Wei, T.H.; Huang, T.H.; Hu, J.K. Electronic energy dissipation in chloro-aluminum phthalocyanine/methanol system following nonlinear interaction with a train of picosecond pulses. J. Chem. Phys. 2002, 116, 2536. [Google Scholar] [CrossRef]
- Goncalves, P.J.; Correa, D.S.; Franzen, P.L.; De Boni, L.; Almeida, L.M.; Mendonca, C.R.; Borissevitch, I.E.; Zilio, S.C. Effect of interaction with micelles on the excited-state optical properties of zinc porphyrins and J-aggregates formation. Spectrochim. Acta Part A Mol. Biomol. Spectrosc. 2013, 112, 309. [Google Scholar] [CrossRef]
- Gonçalves, P.J.; Bezerra, F.C.; Almeida, L.M.; Alonso, L.; Souza, G.R.; Alonso, A.; Zilio, S.C.; Borissevitch, I.E. Effects of bovine serum albumin (BSA) on the excited-state properties of meso-tetrakis(sulfonatophenyl) porphyrin (TPPS4). Eur. Biophys. J. 2019, 48, 721–729. [Google Scholar] [CrossRef]
- Gonçalves, P.J.; De Boni, L.; Neto, N.B.; Rodrigues, J.J., Jr.; Zílio, S.C.; Borissevitch, I.E. Effect of protonation on the photophysical properties of meso-tetra(sulfonatophenyl) porphyrin. Chem. Phys. Lett. 2005, 407, 236–241. [Google Scholar] [CrossRef]
- Hendow, S.T.; Shakir, S.A. Recursive numerical solution for nonlinear wave propagation in fibers and cylindrically symmetric systems. Appl. Opt. 1986, 25, 1759. [Google Scholar] [CrossRef]
- Press, W.H.; Teukolsky, S.A.; Vetterling, W.T.; Flannery, B.P. Numerical Recipes: The Art of Scientific Computing, 3rd ed.; Cambridge University Press: Cambridge, UK, 2007. [Google Scholar]
- Rao, S.V.; Rao, D.N.; Akkara, J.A.; DeCristofano, B.S.; Rao, D.V.G.L.N. Dispersion studies of non-linear absorption in C60 using Z-scan. Chem. Phys. Lett. 1998, 297, 491–498. [Google Scholar] [CrossRef]
- Neto, N.M.B.; Oliveira, S.L.; Misoguti, L.; Mendonça, C.R.; Gonçalves, P.J.; Borissevitch, I.E.; Dinelli, L.R.; Romualdo, L.L.; Batista, A.A.; Zilio, S.C. Singlet excited state absorption of porphyrin molecules for pico- and femtosecond optical limiting application. J. Appl. Phys. 2006, 99, 123103. [Google Scholar] [CrossRef]
- Sun, Y.-P.; Gavrilyuk, S.; Liu, J.-C.; Wang, C.-K.; Ågren, H.; Gel’mukhanov, F. Optical limiting and pulse reshaping of picosecond pulse trains by fullerene C60. J. Electron. Spectrosc. Relat. Phenom 2009, 174, 125–130. [Google Scholar] [CrossRef]
- Gel’mukhanov, H.F. Ågren. Resonant X-ray Raman scattering. Phys. Rep. 1999, 312, 87–330. [Google Scholar] [CrossRef]
- Gavrilyuk, S.; Liu, J.C.; Kamada, K.; Ågren, F.H. Gel’mukhanov. Optical limiting for microsecond pulses. J. Chem. Phys. 2009, 130, 054114. [Google Scholar] [CrossRef]
- Goncalves, P.J.; Boni, L.D.; Borissevitch, I.E.; Zilio, S.C. Excited State Dynamics of meso-Tetra(sulphonatophenyl) Metalloporphyrins. J. Phys. Chem. A 2008, 112, 6522–6526. [Google Scholar] [CrossRef]
Disclaimer/Publisher’s Note: The statements, opinions and data contained in all publications are solely those of the individual author(s) and contributor(s) and not of MDPI and/or the editor(s). MDPI and/or the editor(s) disclaim responsibility for any injury to people or property resulting from any ideas, methods, instructions or products referred to in the content. |
© 2025 by the authors. Licensee MDPI, Basel, Switzerland. This article is an open access article distributed under the terms and conditions of the Creative Commons Attribution (CC BY) license (https://creativecommons.org/licenses/by/4.0/).