Next Article in Journal
An Improved Bee Colony Optimization Algorithm Using a Sugeno–Takagi Interval Type-2 Fuzzy Logic System for the Optimal Design of Stable Autonomous Mobile Robot Controllers
Next Article in Special Issue
Lipschitz and Second-Order Regularities for Non-Homogeneous Degenerate Nonlinear Parabolic Equations in the Heisenberg Group
Previous Article in Journal
Heavy–Heavy and Heavy–Light Mesons in Cold Nuclear Matter
Previous Article in Special Issue
Characteristic Analysis of Local Wave Solutions for the (21)-Dimensional Asymmetric Nizhnik–Novikov–Veselov Equation
 
 
Font Type:
Arial Georgia Verdana
Font Size:
Aa Aa Aa
Line Spacing:
Column Width:
Background:
Article

Symmetry and Time-Delay-Driven Dynamics of Rumor Dissemination

by
Cunlin Li
1,†,‡,
Zhuanting Ma
2,*,‡,
Lufeng Yang
2 and
Tajul Ariffin Masron
3
1
Ningxia Key Laboratory of Intelligent Information and Big Data Processing, School of Management, North Minzu University, Wenchang Street, Yinchuan 750021, China
2
School of Mathematics and Information Science, North Minzu University, Yinchuan 750021, China
3
School of Management, Universiti Sains Malaysia, Pinang 13500, Malaysia
*
Author to whom correspondence should be addressed.
Current address: School of Mathematics and Information Science, North Minzu University, Yinchuan 750021, China.
These authors contributed equally to this work.
Symmetry 2025, 17(5), 788; https://doi.org/10.3390/sym17050788
Submission received: 3 April 2025 / Revised: 12 May 2025 / Accepted: 16 May 2025 / Published: 19 May 2025

Abstract

The dissemination of rumors can lead to significant economic damage and pose a grave threat to social harmony and the stability of people’s livelihoods. Consequently, curbing the dissemination of rumors is of paramount importance. The model in the text assumes that the population is homogeneous in terms of transmission behavior. This homogeneity is essentially a manifestation of translational symmetry. This paper undertakes a thorough examination of the impact of time delay on the dissemination of rumors within social networking services. We have developed a model for rumor dissemination, establishing the positivity and boundedness of its solutions, and identified the existence of an equilibrium point. The study further involved determining the critical threshold of the proposed model, accompanied by a comprehensive examination of its Hopf bifurcation characteristics. In the expression of the threshold R 0 , the parameters appear in a symmetric form, reflecting the balance between dissemination and suppression mechanisms. Furthermore, detailed investigations were carried out to assess both the localized and global stability properties of the system’s equilibrium states. In stability analysis, the symmetry in the distribution of characteristic equation roots determines the system’s dynamic behavior. Through numerical simulations, we analyzed the potential impacts and theoretically examined the factors influencing rumor dissemination, thereby validating our theoretical analysis. An optimal control strategy was formulated, and three control variables were incorporated to describe the strategy. The optimization framework incorporates a specifically designed cost function that simultaneously accounts for infection reduction and resource allocation efficiency in control strategy implementation. The optimal control strategy proposed in the study involves a comparison between symmetric and asymmetric interventions. Symmetric control measures may prove inefficient, whereas asymmetric control demonstrates higher efficacy—highlighting a trade-off in symmetry considerations for optimization problems.

1. Introduction

Following the 2016 U.S. [1,2,3] presidential election, the influence of fake news on voters during the electoral process emerged as a subject of widespread concern. Media analyses indicated that fake news has the potential to ensnare not only politicians and celebrities but also ordinary individuals. In her second public appearance after her electoral defeat, Hillary Clinton urged action against the proliferation of fake news. She highlighted that many serious news reports are increasingly becoming entertainment-driven and biased, rather than adhering to factual accuracy. Controversial and sensational content, politicians, and commentators are highly captivating due to their ability to draw attention. While such content may not offer substantial information, it certainly provides entertainment. During her tenure as first lady, amidst the Whitewater scandal, the Travelgate scandal, and the Filegate scandal, Hillary Clinton consistently declined to reveal additional information to the media and later denounced the Lewinsky scandal as a conspiracy. During the 2020 U.S. presidential election [4,5,6], a plethora of rumors disseminate widely, including skepticism about the election results and allegations of voter fraud, which led to unrest and protest activities among certain segments of the population. In the context of Brexit, rumors circulated about the consequences of leaving the European Union [7], including false predictions regarding the economy, borders, and immigration, causing unnecessary public anxiety. In India, rumors about religion and caste on social media have led to several violent incidents, such as conflicts triggered by rumors about a “beef ban” between different communities.
In stark contrast, Trump adeptly employed social media tactics to craft an image of himself as a “political icon”. By orchestrating a matrix of multiple accounts, he leveraged a synergistic dissemination effect, with social media acting as a protective shield to consolidate the domestic political arena. This backing laid the groundwork for his portrayal as a valiant president, bolstering his rhetorical authority and self-assurance on social media platforms. Concurrently, Trump merged the roles of “president” and “media”, disrupting the conventional political communication model of “president-media-audience” and thereby reducing the credibility, reach, and impact of traditional media outlets. Social media emerged as his primary battleground for self-promotion and political discourse. Trump’s social media strategy exemplifies the theory of opinion leadership, in which the sway of opinion leaders over audience decision-making surpasses that of mass media. As a political opinion leader, Trump adeptly conveyed his viewpoints and policy proposals to millions of followers through social media, effectively sculpting public sentiment.
With the rise of globalization, media plays an increasingly significant role in communication and dissemination. However, the infiltration of some aspects of Western culture into China, akin to flies in fresh air, is having a detrimental effect on young people. First, X-rated films profoundly impact minors, corrupting their innocent minds and poisoning their lives. Second, the prevalence of violent movies on television is steering youth down the wrong paths. In recent years, it has been common to encounter violent content whenever the TV is turned on, and children, being impressionable, struggle to cope with such intense images. Lastly, it appears that negative news tends to dominate media headlines. It is evident that young people exposed to these stories risk developing a distorted worldview. These events show that the rapid dissemination and significant impact of rumors require joint efforts from the government, media, and the public to strengthen the identification of and resistance to rumors [8,9], as well as to enhance information literacy, in order to mitigate the adverse effects of rumors on society [10,11].
The development of accurate rumor propagation models and thorough dynamic analysis forms the cornerstone of effective rumor containment strategies [12,13,14,15]. Historically, the field was revolutionized by Daley and Kendall’s seminal DK model (1965), which provided the foundational framework for rumor studies. Subsequent advancements by Maki and Thompson yielded the refined MT model. These pioneering models have stimulated extensive research into the complex mechanisms underlying information propagation [16] and explored information diffusion across heterogeneous networks, while Wang et al. [17] developed a novel public opinion dissemination model that incorporates emotional factors and distinguishes between languages, such as Chinese, English, or French. Rumor dissemination is subject to constant change due to linguistic barriers. Wang et al. [17] also conducted numerical simulations on various parameters; they found that enhancing the rate of information exchange between languages could expand the reach of public opinion. Zhao et al. [18] investigated the impact of the “hibernator” condition on public opinion dissemination and proposed a corresponding model. Xu et al. [19], considering individual attitudes toward the dissemination of public opinion, emphasized the importance of the allure and uncertainty of opinion content. Tan and Cheong [20] proposed a generalized dynamic opinion model, demonstrating that consensus formation on specific issues can enhance discussion diversity across multiple topics. As social networks continue to evolve, their influence on public opinion dissemination is becoming increasingly significant. Consequently, social networks should be prioritized as the principal intervention channel for public opinion regulation. Previous research by Cheng et al. [21] has established a time-delay interaction model, developed rumor containment strategies, and introduced an optimal control framework for information management. Scholars employ various methods to solve differential equations and ascertain stability, with the Routh–Hurwitz stability criterion being the most commonly used approach. Moreover, several individuals have also explored other factors that affect the dissemination of public opinion [22].
Based on the aforementioned description, we develop rumor dissemination models incorporating time-delay effects and investigate their dynamic behaviors [22,23]. The model in the text assumes that the population is homogeneous in terms of dissemination behavior (e.g., parameters such as the dissemination rate and the cessation rate are consistent for all individuals). This homogeneity is essentially a manifestation of translational symmetry (individuals are interchangeable). When a rumor emerges online, social network platform regulatory authorities typically implement damage control measures to mitigate its spread. This study develops an optimal control framework for rumor containment, employing Pontryagin’s Maximum Principle to achieve cost-effective suppression. The research offers four key contributions: (1) the development of time-delay rumor propagation models with rigorous stability analysis of equilibrium states; (2) the identification of Hopf bifurcation thresholds through parameter optimization and critical delay determination; (3) the design of a continuous control mechanism for efficient rumor mitigation within defined temporal constraints; and (4) empirical validation through numerical simulations and real-world case studies, demonstrating the practical applicability of the proposed methodology.
This paper divides the population in a rumor environment into four categories, latent disseminators, disseminators, non-disseminators, and quitters, and it establishes an L D N C model with network public opinion channelization coefficient, a population inflow rate, A, and an outflow rate, ω and ω 1 . The dissemination mechanism of rumor events in a dynamic rumor environment is studied through the model, and the key factors affecting the development of rumor events are analyzed. Then, the solution of the model is analyzed, and a policy suggestion is put forward. The model formulation is presented in Section 2, followed by the analysis of solution properties in Section 3, focusing on positivity and boundedness. Section 4 establishes the equilibrium states and determines the critical threshold. Section 5 examines Hopf bifurcation occurrence and performs local stability analysis at equilibrium points. Finally, Section 6 addresses global dynamics through Lyapunov function construction. In Section 7, the issue of optimal control is presented for the studied model; we bring to light results regarding the existence of the optimal control and its characterization, implementing Pontryagin’ s maximum principle. In Section 8, some numerical simulations are provided to verify the effectiveness of the theoretical results. Section 9 concludes this paper.

2. The Methods of Model Formulation

The rules governing rumor dissemination can be encapsulated as follows.
(1) The dissemination of rumors is often acute and rapid. In some cases, the process is irreversible; for instance, individuals in the quitter category,
C ( t ) , should not re-enter the susceptible state L ( t ) .
(2) Non-disseminators, N ( t ) , are considered to no longer enter the early dissemination phase of latent disseminators, L ( t ) , and they are vulnerable to a repeated dissemination event. We can consider non-disseminators N ( t ) , to enter the early dissemination phase of latent disseminators, L ( t ) , and a repeated dissemination event. The group’s transmission rate is, ε .
(3) The dissemination of rumors can be facilitated through communication media. Due to the dissemination of individuals from a non-disseminating state to a susceptible or actively disseminating state, an average time delay, τ , is introduced in the development of carriers. Specifically, individuals who ceased dissemination at time t τ may resume spreading at time t. Through interactions, susceptible individuals can be influenced by those who are actively disseminating rumors at the same time.
(4) At the initial time, ( t = 0 ) , the whole population is ignorant until the first rumor dissemination of misinformation online. In the dissemination diagram, the population inflow rate is indicated by users who engage in the relevant online rumor environment, Meanwhile, ω , as the population outflow rate, indicates a user who is not interested in the rumor issue and withdraws from the online public environment (shown in Figure 1).
(5) We assume that the controlling agent (“authorities”) has the ability to impact the dissemination of the rumor through some policies. In this study, we consider the intervention of authorities to cause people to leave an environment’s dissemination rate as ω 1 .
(6) The saturation dissemination rate is a mathematical form used to describe the speed of public opinion dissemination. It takes into account the possibility that the dissemination rate may be limited and tend to saturate when the number of disseminators is large. The form of this incidence rate is usually expressed as f ( t ) = β L ( t ) D ( t ) 1 + α D ( t ) , where β is the transmission coefficient, L is the number of latent disseminators, D is the number of disseminators, and α is the saturation factor [24,25]. The saturation transmission rate simulates the decrease in the transmission rate due to factors such as behavioral changes and official resource limitations as the number of disseminators increases. This form of incidence rate can more reasonably reflect the spread of certain public opinions, especially when considering crowd behavioral changes and congestion effects. The saturation transmission rate is widely applied in models like public opinion, helping to more accurately simulate and predict the dynamics of spread, particularly in situations where public opinion dissemination may be affected through inhibitory effects. By choosing appropriate parameters, this incidence form can prevent the unbounded growth of the contact rate, thus describing the public opinion process more reasonably [26,27].
The role of the saturation factor in the model is to introduce a restrictive factor to simulate the decrease in the dissemination rate due to limitations in resources, individual behavioral changes, or other factors as the number of dissemination individuals increases. The saturation effect more accurately reflects the dynamics of rumor dissemination within a population, particularly when the number of dissemination individuals is high. In such cases, the dissemination rate does not increase indefinitely but tends to stabilize at a certain level.
Hence, we introduce a compartmental diagram for rumor dissemination (Figure 1).
The population’s evolutionary trajectory is mathematically characterized through a set of coupled differential equations, expressed as system (1):
d L ( t ) d t = A β L ( t ) D ( t ) 1 + α D ( t ) ω L ( t ) + ε N ( t τ ) , d D ( t ) d t = β L ( t ) D ( t ) 1 + α D ( t ) + γ N ( t τ ) ( k + ω + ω 1 ) D ( t ) , d N ( t ) d t = k D ( t ) ω N ( t ) γ N ( t τ ) ε N ( t τ ) , d C ( t ) d t = ω L ( t ) + ω N ( t ) + ( ω + ω 1 ) D ( t ) .
The corresponding mathematical formulation of the dissemination dynamics of rumor is given as follows: γ is the recurrence rate of rumor dissemination. k is the stop rate of rumor dissemination. ε is the dissemination rate of the from non-disseminators N ( t ) , to latent disseminators L ( t ) . τ is the delay in dissemination.
The developed model shows that the variables L ( t ) , D ( t ) , and N ( t ) are independent of C ( t ) . For further analysis, we can focus on the following reduced system. All system parameters maintain positive values in accordance with their biological significance in human population modeling [28]. The initial values for the dynamical system (1) must be defined as follows:
L ( θ ) = φ 1 ( θ ) , D ( θ ) = φ 2 ( θ ) , N ( θ ) = φ 3 ( θ ) , C ( θ ) = φ 4 ( θ ) , θ [ τ , 0 ] , φ i ( θ ) > 0 , i = 1 , 2 , 3
This study defines the scope of mathematical modeling through the following constraints to ensure the rationality of the model:
= ( L ( t ) , D ( t ) , N ( t ) ) R + 3 0 < L ( t ) + D ( t ) + N ( t ) A ω .

3. The Method for Non-Negativity and Boundedness of the Solution

From the model system (1) for τ [ 0 , τ ] , the solution is given as
L ( t ) = e ω + β D ( t ) 1 + α D ( t ) d t [ L ( 0 ) + 0 t ( A ε N ( t τ ) ) e ω + β D ( t ) 1 + α D ( t ) d t d t ] , D ( t ) = e k + ω 1 + ω β L ( t ) 1 + α D ( t ) d t [ D ( 0 ) + 0 t γ N ( t τ ) e k + ω 1 + ω β L ( t ) 1 + α D ( t ) d t d t ] , N ( t ) = e ω d t [ N ( 0 ) + 0 t ( k D ( t ) ( γ + ε ) N ( t τ ) ) e ω d t d t ] , C ( t ) = 0 t ω L ( t ) + ω N ( t ) + ( ω + ω 1 ) D ( t ) d t .
From the fourth equation of (3), it is evident that C ( t ) 0 . Moreover, the third equation suggests that N(t) could be either positive or non-positive (see Claim 1 in [29]). Similarly to the reasoning presented by Lv et al. [30], during the active phase of rumor propagation, the values of D(t) and N(t) may be considerably higher than those of N ( t τ ) . Therefore, the theoretical framework supports assume that k D ( t ) ( γ + ε ) N ( t τ ) > 0 , which implies that N ( t ) > 0 and, consequently, N ( t τ ) > 0 . Given the positivity of D(t) and N(t), we can conclude that L ( t ) > 0 and C ( t ) > 0 . To demonstrate the population’s boundedness, we first establish that all subpopulations maintain non-negative values over time, provided their initial values are positive. Proceeding with the boundedness analysis, we consider the summation of all state variables in the dynamical system (1), which leads to
d M ( t ) d t = d L ( t ) d t + d D ( t ) d t + d N ( t ) d t = A ω ( L ( t ) + D ( t ) + N ( t ) ) ω 1 D ( t ) , d M ( t ) d t = A ω M ( t ) ω 1 D ( t ) ,
then,
d M ( t ) d t A ω M ( t ) ,
The equation above is integrated:
M M ( 0 ) e ω t + A ω ( 1 e ω t ) .
We can get lim t M ( t ) A ω . The domain ℧ constitutes a positively invariant set for the dynamical system (1), indicating that all system trajectories originating within this region remain confined to it for all future time.

4. The Method for Equilibrium Points and the Threshold of the Model

The proposed dynamical system (1) possesses precisely two biologically meaningful steady-state solutions, both located within the non-negative orthant.
(i) Dissemination-free equilibrium ( D F E ) , E 0 = ( A ω , 0 , 0 ) , when no dissemination occurs, at which point all the rumor dissemination components are zeros.
A β L ( t ) D ( t ) 1 + α D ( t ) ω L ( t ) + ε N ( t τ ) = 0 , β L ( t ) D ( t ) 1 + α D ( t ) + γ N ( t τ ) ( k + ω + ω 1 ) D ( t ) = 0 , k D ( t ) ω N ( t ) γ N ( t τ ) ε N ( t τ ) = 0 .
When D ( t ) = 0 , N ( t ) = 0 , we can get E 0 = ( A ω , 0 , 0 ) .
(ii) Interior equilibrium E * = ( L ( t ) * , D ( t ) * , N ( t ) * ) when transmission persists in the system. The system’s equilibrium state, designated as E * , is analytically established in this section. For model system (1), equilibrium E * = ( L ( t ) * , D ( t ) * , N ( t ) * ) corresponds to the nontrivial solution of the subsequent equation set.
A β L ( t ) D ( t ) 1 + α D ( t ) ω L ( t ) + ε N ( t τ ) = 0 , β L ( t ) D ( t ) 1 + α D ( t ) + γ N ( t τ ) ( k + ω + ω 1 ) D ( t ) = 0 , k D ( t ) ω N ( t ) γ N ( t τ ) ε N ( t τ ) = 0 .
On solving the above, we get
L ( t ) * = [ A γ + ε ( k + ω + ω 1 ) D * ( t ) ] ( 1 + α D * ( t ) ) ( ε + γ ) β D * ( t ) + ω γ ( 1 + α D * ( t ) , D ( t ) * = ω 3 + ( k + γ + ε + ω 1 ) ω 2 + ( γ ω 1 + k ε + ω 1 ε ) ω A β ( γ + ε ) σ 1 , N ( t ) * = ( k + ω + ω 1 D * ( t ) β D * ( t ) 1 + α D * ( t ) ) L * ( t ) γ .
σ 1 = α ω 3 + ( α ε + ε k + γ ε + ω 1 ε + β ) ω 2   +   ( k β + γ β + ε β + ω 1 β + k ε α + ω 1 ε α + γ ω 1 α ) ω   +   ( γ ω 1 + ε ω 1 ) β .
The threshold parameter is derived using the next-generation matrix approach. Within a system [31,32], the dissemination dynamics are captured via compartment D ( t ) , N ( t ) . Through matrix decomposition, the system can be partitioned into F V , where S = F ( S ) V ( S ) represents the transmission component matrix S = ( D ( t ) , N ( t ) ) T , F ( S ) and the transition component matrix V ( S ) for dissemination and non-dissemination associated terms, respectively. The governing equations for the public opinion dissemination network are expressed as follows:
d D ( t ) d t = β L ( t ) D ( t ) 1 + α D ( t ) + γ N ( t ) ( k + ω + ω 1 ) L ( t ) , d N ( t ) d t = k D ( t ) ( γ + ω + ε ) N ( t ) .
Now, we can write
F = β L ( t ) D ( t ) 1 + α D ( t ) 0 , V = γ N ( t ) + ( k + ω + ω 1 ) D ( t ) k D ( t ) + ( γ + ω ) N ( t ) .
First, we find the required Jacobian matrix,
F 1 ( S ) = F S = β L ( t ) ( 1 + α D ( t ) ) 2 0 0 0 .
The Jacobian matrices F 1 ( S ) , and V 1 ( S ) evaluated at E 0 = ( A ω , 0 , 0 ) are provided as
F 1 ( S ) = F S = β A ω 0 0 0 , V 1 ( S ) = V S = ω + ω 1 + k γ k ω + γ + ε .
The threshold R 0 corresponds to the spectral radius of the next-generation matrix, i.e., R 0 = ρ ( F 1 V 1 ) ,
V 1 ( S ) = ω + γ + ε ( ω + γ + ε ) ( ω + ω 1 + k ) k γ γ ( ω + γ + ε ) ( ω + ω 1 + k ) k γ k ( ω + γ + ε ) ( ω + ω 1 + k ) k γ k + ω + ω 1 ( ω + γ + ε ) ( ω + ω 1 + k ) k γ ,
Then,
R = F 1 V 1 = β A ω 0 0 0 ω + γ + ε ( ω + γ + ε ) ω + ω 1 + k k γ γ ( ω + γ + ε ) ω + ω 1 + k k γ k ( ω + γ + ε ) ω + ω 1 + k k γ k + ω + ω 1 ( ω + γ + ε ) ω + ω 1 + k k γ = β A ( ω + γ + ε ) ω ( ω + γ + ε ) ω + ω 1 + k ω k γ β A γ ω ( ω + γ + ε ) ω + ω 1 + k ω k γ 0 0 .
We find the feature value:
| λ E R | = λ β A ( ω + γ + ε ) ω ( ω + γ + ε ) ω + ω 1 + k ω k γ β A γ ω ( ω + γ + ε ) ω + ω 1 + k ω k γ 0 λ ,
We work out
λ 2 β A ( ω + γ + ε ) ω ( ω + γ + ε ) ω + ω 1 + k ω k γ λ = 0 , λ 1 = 0 , λ 2 = β A ( ω + γ + ε ) ω ( ω + γ + ε ) ω + ω 1 + k ω k γ ,
Thus, the threshold is obtained as follows:
R 0 = β A ( ω + γ + ε ) ω ( ω + γ + ε ) ω + ω 1 + k ω k γ .
In the expression of the threshold R 0 , the parameters appear in a symmetric form, reflecting the balance between transmission and suppression mechanisms.

5. The Method of Local Stability

The stability of model system (1) is analyzed at both the equilibrium state free of dissemination and the interior equilibrium state. The dissemination-free equilibrium (DFE) E 0 = ( A ω , 0 , 0 ) represents the state of complete absence of dissemination, while the interior equilibrium E * = ( L * , D * , N * ) corresponds to the persistent dissemination scenario. Stability determination involves computing the Jacobian matrix and analyzing the sign patterns of its eigenvalues. The Jacobian matrix J is a matrix obtained by linearizing the system at the equilibrium point E 0 and E * . It describes the local linear behavior of the system near this equilibrium point. It is derived by linearizing the dynamic behavior of the system at the equilibrium point; E 0 and E * are used to determine the local stability of the system.
Based on differential equation theory, the local asymptotic stability of equilibrium E * is ensured when the spectral abscissa of the corresponding Jacobian matrix lies in the left half-plane of the complex domain. When R 0 crosses the critical threshold of 1, the system dissemination from a dissemination-free equilibrium (symmetric state) to an interior equilibrium (symmetry-breaking state). This process is analogous to a symmetry-breaking phase dissemination in statistical physics, where the system shifts from a uniform state to a non-uniform one. Following the definition X = L L * , Y = D D * , Z = N N * , the linearized system can be expressed as
d X ( t ) d t = β X Y 1 + α Y ω X + ε Z ( t τ ) = f 1 , d Y ( t ) d t = β X Y 1 + α Y + γ Z ( t τ ) ( k + ω + ω 1 ) Y = f 2 , d Z ( t ) d t = k Y ω Z γ Z ( t τ ) ε Z ( t τ ) = f 3 .
The Jacobian matrix is then given by
J = d f 1 d L d f 1 d D d f 1 d N d f 2 d L d f 2 d D d f 2 d N d f 3 d L d f 3 d D d f 3 d N .
The Jacobian matrix J ( E 0 ) is derived through the linearization of the system at the dissemination-free equilibrium point E 0 = ( A ω , 0 , 0 ) , when no dissemination occurs, and it is provided via
J ( E 0 ) = ω β A ω ε e λ τ 0 β A ω ( K + ω + ω 1 ) γ e λ τ 0 k ω γ e γ τ ε e λ τ ,
The Jacobian matrix J ( E 0 ) is derived:
| λ I J ( E 0 ) | = λ + ω β A ω ε e λ τ 0 λ β A ω + ( K + ω + ω 1 ) γ e λ τ 0 k λ + ω + γ e γ τ + ε e λ τ .
After some computations, the characteristic equation is
g ( λ ) = λ 3 + A 1 λ 2 + A 2 λ + A 3 = 0 ,
where
A 1 = 3 ω β A ω + ω 1 + ( γ + ε ) e λ τ , A 2 = 3 ω 2 + 2 ( k + ω 1 ) ω β A β A ω ( γ + ε ) e λ τ + ( K + ω + ω 1 ) ( γ + ε ) e λ τ , A 3 = ω 3 + ( k + ω 1 + γ e λ τ + ε e λ τ ) ω 2 + ( k γ e λ τ + k ε λ τ + ω 1 e λ τ + ω 1 e λ τ β A ) ω β A ( γ ε ) e λ τ .
The characteristic equation’s roots exhibit negative real components if and only if the Routh–Hurwitz stability conditions [32] are satisfied, thereby guaranteeing the local asymptotic stability of equilibrium E 0 . Consequently, the dissemination-free equilibrium E 0 exhibits local asymptotic stability, as confirmed through the fulfillment of the Routh–Hurwitz conditions: A 1 > 0 , A 3 > 0 , and the inequality A 1 A 2 > A 3 . The local asymptotic stability of the equilibrium point E 0 can be assessed using the Routh–Hurwitz stability criterion [32]. Based on the principle, the characteristic equation’s roots possess negative real parts when the following conditions are met concurrently: A 1 > 0 , A 3 > 0 , and A 1 A 2 > A 3 . These requirements are fulfilled for the system under consideration, thereby confirming the local asymptotic stability of the equilibrium state E 0 .
Theorem 1. 
The interior equilibrium is locally asymptotically stable under the conditions that B 1 > 0 , B 3 > 0 , and B 1 B 2 > B 3 , where the B i s are specified in the proof of this theorem.
Proof. 
The local stability characteristics of the endemic equilibrium E * = ( L ( t ) * , D ( t ) * , N ( t ) * ) are investigated through a spectral analysis of the Jacobian matrix J ( E * ) , which is obtained by linearizing the governing equations in system (1).
J ( E * ) = β D * 1 + α D * ω β D * 1 + α D * ε e λ τ β D * 1 + α D * β L * ( 1 + α D * ) 2 ( K + ω + ω 1 ) γ e λ τ 0 k ω ( γ + ε ) e λ τ ,
We calculate the Jacobian matrix J ( E * ) :
| λ I J ( E * ) | = λ + β D * 1 + α D * + ω β D * 1 + α D * ε e λ τ β D * 1 + α D * λ β L * ( 1 + α D * ) 2 + ( k + ω + ω 1 ) γ e λ τ 0 k λ + ω + ( γ + ε ) e γ τ .
After some computations, the characteristic equation is
g ( λ ) = λ 3 + b 1 λ 2 + b 2 λ + b 3 + e λ τ ( d 1 λ 2 + d 2 λ + d 3 ) = 0 ,
where
b 1 = 3 ω + ω 1 + k + β D * 1 + α D * , b 2 = 3 ω 2 + 2 ( k + ω 1 ) ω + β 2 D * 2 ( 1 + α D * ) 2 + ( 2 ω + ω 1 + k ) β D * 1 + α D * , b 3 = 2 ω 2 + 2 ( k + ω 1 ) ω + ω β 2 D * 2 ( 1 + α D * ) 2 + ω β D * ( ω + ω 1 + k ) 1 + α D * , d 1 = γ + ε , d 2 = ( γ + ε ) ( k + ω + ω 1 ) + β D * ( 1 + α D * ) ( γ + ε ) , d 3 = ( γ + ε ) ( k + ω + ω 1 ) + β 2 D * 2 ( 1 + α D * ) 2 ( γ + ε ) + β D * ( ω + ω 1 + k ) k β D * 1 + α D * ( γ + ε ) k ω γ .
For τ = 0 , Equation (7) becomes
λ 3 + ( b 1 + d 1 ) λ 2 + ( b 2 + d 2 ) λ + ( b 3 + d 3 ) = 0 ,
where B 1 = b 1 + d 1 , B 2 = b 2 + d 2 , B 3 = b 3 + d 3 .
The interior equilibrium E * demonstrates local asymptotic stability when the following Routh–Hurwitz conditions are fulfilled: b 1 + d 1 > 0 , b 3 + d 3 > 0 , ( b 1 + d 1 ) ( b 2 + d 2 ) > ( b 3 + d 3 ) .
Proposition 1. 
The interior equilibrium exhibits local asymptotic stability under instantaneous interaction conditions, where time delays are negligible. In the absence of delay, the interior equilibrium E * exhibits local asymptotic stability.
Proposition 1 establishes that, regardless of parameter configurations in system (1) with time delay τ = 0 , all solution trajectories asymptotically approach interior equilibrium E * as temporal evolution progresses, t . Subsequently, we investigate the critical stability conditions governing system (1) as the time delay τ parameter undergoes incremental variations from its null state. Based on the continuous dependence of characteristic roots on τ , Equation (7) will exhibit roots transitioning to positive real parts upon crossing the imaginary axis. Through analytical examination, we determine that complex number λ = i ω (where i = 1 and ω > 0 ) denote specific system characteristics) satisfies Equation (7) as a root if and only if the following condition holds:
( i ω ) 3 + b 1 ( i ω ) 2 + b 2 ( i ω ) + b 3 + e λ τ [ d 1 ( i ω ) 2 + d 2 ( i ω ) + d 3 ] = 0 .
Applying Euler’s formula, which states that e i ω τ = cos ( ω τ ) i sin ( ω τ ) , we derive the following expression.
b 1 ω 2 b 3 = d 2 ω sin ( ω τ ) ( d 1 ω 2 d 3 ) cos ( ω τ ) , ω 3 b 2 ω = d 2 ω cos ( ω τ ) + ( d 1 ω 2 d 3 ) sin ( ω τ ) .
By squaring both original equations and applying the fundamental trigonometric identity sin 2 ( θ ) + cos 2 ( θ ) = 1 , we obtain the following relationship:
ω 6 + ( b 1 2 2 b 2 d 1 2 ) ω 4 + ( b 2 2 2 b 1 b 3 d 2 2 + 2 d 1 d 3 ) ω 2 + b 3 2 d 3 2 = 0 .
Let n = ω 2 , b = b 1 2 2 b 2 d 1 2 , d = b 2 2 2 b 1 b 3 d 2 2 + 2 d 1 d 3 , z = b 3 2 d 3 2 . We have
h ( n ) = n 3 + b n 2 + d n + z = 0 .
The characteristic Equation (7) is guaranteed to possess exclusively stable roots (with negative real components) when the Routh–Hurwitz stability conditions are satisfied, leading to the following analytical conclusion.
Theorem 2. 
The interior equilibrium E * in the time-delayed system (1) maintains local asymptotic stability across all positive delay values τ > 0 , provided that the subsequent stability criteria are satisfied:
b > 0 , d > 0 , b d > z .
In stability analysis, the symmetry in the distribution of characteristic equation roots (e.g., complex conjugate pairs) determines the system’s dynamic behavior (such as decaying oscillations or growth).

Existence of Hopf Bifurcation

Hopf bifurcation refers to the phenomenon where, as the system’s parameters change through a critical value, the equilibrium point shifts from stability to instability, and a limit cycle emerges from it. Hopf bifurcation is a crucial nonlinear dynamic phenomenon where the stability of the system changes as a certain parameter varies, leading to significant alterations in the system’s behavior. Specifically, as the parameter changes, some unstable equilibrium points in the system undergo a “bifurcation”, meaning dissemination from instability to stability; this causes the system to transition from one stable state to another.
The polynomial equation h ( n ) possesses a minimum of one positive solution, designated as n 0 . This mathematical property implies the existence of a corresponding positive root ω 1 = n 0 , Equation (9). Consequently, the characteristic Equation (7) exhibits a conjugate pair of purely imaginary roots ± i ω 1 when the delay parameter reaches the critical value τ = τ * . These relationships are quantitatively expressed through Equation (8) as follows:
τ i * = 1 ω 1 arccos ( d 2 ω 1 ( ω 1 3 b 2 ω 1 ) ( b 1 ω 1 2 b 3 ) ( d 1 ω 1 2 d 3 ) ( d 1 ω 1 2 d 3 ) 2 + d 2 2 ω 1 2 ) + 2 π i ω 1 .
where the index i enumerates non-negative integers i = 0 , 1 , 2 , Defining τ = τ 0 * , the primary bifurcation threshold where Equation (7) first acquires purely imaginary roots, we observe that the equilibrium E * maintains its stability within the delay interval τ [ 0 , τ 0 ] but undergoes destabilization when τ exceeds this critical value. The dynamical system (1) experiences an irreversible stability transition at τ 0 , with no subsequent recovery of stability for τ > τ 0 .
Then, we differentiate the Equation (7) with respect to τ following the transversality condition:
[ ( ( d λ ) d τ ) 1 ] | τ = τ i * > 0 .
Differentiating Equation (7) with respect to τ yields
d λ d τ ( 3 λ 2 + 2 b 1 λ + b 2 ) + d λ d τ [ 2 d 1 λ + d 2 τ ( d 1 λ + d 2 λ + d 3 ) e λ τ ] = ( d 1 λ 2 + d 2 λ + d 3 ) e λ τ ,
Then,
( d λ d τ ) 1 = 3 λ 2 + 2 b 1 λ + b 2 ( d 1 λ 2 + d 2 λ + d 3 ) λ e λ τ + ( 2 d 1 λ + d 2 ) e λ τ ( d 1 λ 2 + d 2 λ + d 3 ) λ e λ τ τ λ = ( 3 λ 2 + 2 b 1 λ + b 2 ) e λ τ ( d 1 λ 2 + d 2 λ + d 3 ) λ + ( 2 d 1 λ + d 2 ) ( d 1 λ 2 + d 2 λ + d 3 ) λ τ λ .
Then, we have
[ ( ( d λ ) d τ ) 1 ] | λ = i ω 1 = h ( ω 1 2 ) ( d 2 ω 1 ) 2 + ( d 3 d 2 ω 1 2 ) 2 .
Due to h ( ω 1 2 ) > 0 , we can get [ ( ( d λ ) d τ ) 1 ] | λ = i ω 1 > 0 .
This section demonstrates the emergence of the Hopf bifurcation phenomena, characterized by periodic solution branches, coinciding with the stability loss of the rumor equilibrium. By using the time delay parameter τ 0 as the bifurcation parameter, we demonstrate the occurrence of a Hopf bifurcation at the critical delay threshold when the following conditions are met:
(a) λ 1 , 2 ( τ 0 ) = ± i ω 1 , ω 1 > 0 , and all other eigenvalues have negative real parts at τ = τ 0 .
(b) [ ( ( d λ ) d τ ) 1 ] | λ = i ω 1 0 .
The analytical findings conclusively satisfy the transversality criterion, confirming the existence of a non-degenerate Hopf bifurcation. Therefore, the existence of Hopf bifurcation is established [33].
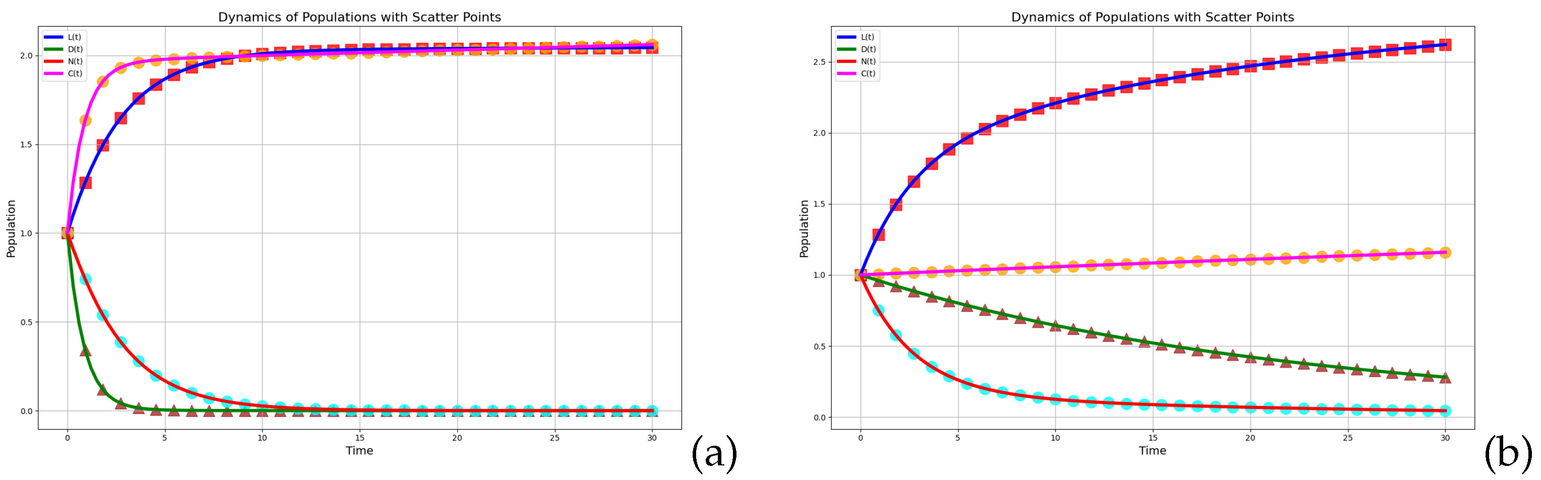
We can observe that, when τ > τ 0 (Figure 2), starting from the equilibrium point E * = ( 0.5 , 0.2145 , 0.4224 ) , L ( t ) , D ( t ) , and N ( t ) lose their stability and begin to exhibit periodic oscillations, and they may even tend towards 0, which signifies the disappearance of rumor dissemination.
We can observe that, when τ < τ 0 (Figure 3), starting from the equilibrium point E * = ( 0.5 , 0.2145 , 0.4224 ) , L(t), D(t), and N can reach a stable state within a certain period of time, indicating that an equilibrium has been achieved among the disseminators, which is also the desired state that we anticipate.
τ τ [ 0 , τ 0 ] , s y s t e m ( 1 ) i s a s y m p t o t i c a l l y s t a b l e , τ = τ 0 , s y s t e m ( 1 ) i n a c r i t i c a l s t a t e , τ > τ 0 , s y s t e m ( 1 ) b e c o m e s u n s t a b l e .
For τ [ 0 , τ 0 ] , System (1) is asymptotically stable, and τ = τ 0 System (1) begins to exhibit Hopf bifurcation and is in a critical state, τ > τ 0 . From the equilibrium point, a limit cycle bifurcates, generating periodic oscillations, and system (1) becomes unstable.
When the time delay, τ , exceeds the critical value, τ 0 , the system loses stability and exhibits periodic oscillations. This bifurcation phenomenon is associated with symmetry breaking—in which the time delay disrupts the steady-state symmetry of the system, leading to dynamic periodic behavior.

6. The Method of Global Stability

This section presents a comprehensive global stability analysis through the application of Lyapunov’s direct method. Specifically, we examine the global stability properties of the interior equilibrium E * , particularly focusing on its stability preservation across all delay parameter values, τ . The investigation employs the Volterra-type Lyapunov function as the principal analytical tool.
h ( x ) = x 1 l n x .
Theorem 3. 
If the dissemination equilibrium E * is stable regardless of τ, then it is globally asymptotically stable for all τ 0 . We will now consider the system.
d L ( t ) d t = A β L ( t ) D ( t ) 1 + α D ( t ) ω L ( t ) + ε N ( t ) , d D ( t ) d t = β L ( t ) D ( t ) 1 + α D ( t ) + γ N ( t ) ( k + ω + ω 1 ) D ( t ) , d N ( t ) d t = k D ( t ) ( ω + γ + ε ) N ( t ) .
Since an equilibrium solution maintains the same values at all times, the equilibrium of the delay system (1) is identical to that of the ordinary differential Equation (9). We define
: { ( L , D , N ) | L > 0 , D > 0 , N > 0 } .
By
= L * h ( L L * ) + D * h ( D D * ) + N * h ( N N * ) = L * ( L L * 1 ln L L * ) + D * ( D D * 1 ln D D * ) + N * ( N N * 1 ln N N * ) = L L * L * l n L L * + D D * D * l n D D * N N * N * l n N N * .
Then,
d d t = d L d t d L * d t d L * l n L L * d t + d D d t d D * d t d D * l n D D * d t + d N d t d N * d t d N * l n N N * d t = d L d t L * L d L d t + d D d t D * D d D d t + d N d t N * N d N d t = A β L D 1 + α D ω L + ε N L * L A + β D L * 1 + α D ω L * L * L ε N + β L D 1 + α D + γ N ( k + ω + ω 1 ) D β L D * 1 + α D D * D γ N ( k + ω + ω 1 ) D * + k D ( ω + γ + ε ) N N * N k D + ( ω + γ + ε ) N * .
We can consider
β L ( t ) D ( t ) 1 + α D ( t ) ω L ( t ) + ε N ( t ) = A , β L ( t ) D ( t ) 1 + α D ( t ) + γ N ( t ) ( k + ω + ω 1 ) D ( t ) = 0 , k D ( t ) ( ω + γ + ε ) N ( t ) = 0 .
Then,
d d t = β L * D * 1 + α D * + ω L * ε N * β L D 1 + α D ω L + ε N L * L ( β L * D * 1 + α D * + ω L * ε N * ) + β D L * 1 + α D ω L * L * L ε N + β L D 1 + α D + γ N ( k + ω + ω 1 ) D β L D * 1 + α D D * D γ N ( k + ω + ω 1 ) D * + k D ( ω + γ + ε ) N N * N k D + ( ω + γ + ε ) N * = ω ( L + D + N ) L * L ω L * D * D γ N N * N k D ω 1 D ( k + ω + ω 1 ) D * ( L * L 1 ) β L * D * 1 + α D * L * L ε ( N N * ) β 1 + α D ( D L * + D L + L D * ) + ω N * + γ N * .
To conclude the global stability analysis, since h ( X ) 0 for x > 0 , and given the equations above, we have d d t 0 . Furthermore, d d t = 0 if and only if L = L * , D = D * , N = N ( t τ ) = N * . By employing LaSalle’s invariance principle, we demonstrate that the interior equilibrium E * is globally asymptotically stable throughout the entire feasible domain. The constructed Lyapunov function exhibits a symmetric form when proving global stability, with its symmetry ensuring the universality of the function.

7. The Method of Control Model and Analysis

To minimize the dissemination of rumors, every city is adopting the blocking of the passage of rumors. Social media lockdowns are an intervention strategy aimed at curbing the dissemination of unverified information through the controlled management of online interactions and communication channels, thereby enforcing digital distancing among users. To control the interactions among the L ( t ) class with ( t ) , D ( t ) , N ( t ) , C ( t ) classes are reduced, and consequently, the dissemination rates of rumor must decrease. To include this management effect in the model, we replaced β L ( t ) D ( t ) 1 + α D ( t ) , γ and ω 1 with ( 1 μ 1 ) β L ( t ) D ( t ) 1 + α D ( t ) , ( 1 μ 2 ) γ , and ( 1 μ 3 ) ω 1 , respectively, where 0 μ i 1 . Again, to adapt control, each city is facing huge financial losses. To effectively manage the spread of rumors, the losses incurred can be significant, prompting some cities to adopt partial control measures. The parameters μ i are proportional to the extent of areas under control or the effectiveness of the control measures in place. If no control measures are implemented, then all μ i values are zero; conversely, if total control is achieved, all μ i values are equal to 1. This research focuses on developing a dual-objective framework that simultaneously restricts information propagation and optimizes the economic efficiency of containment strategies. To achieve this, we have transformed system (1) into an optimization model with control parameters, formulated as follows:
d L ( t ) d t = A ( 1 μ 1 ) β L ( t ) D ( t ) 1 + α D ( t ) ω L ( t ) + ε N ( t τ ) , d D ( t ) d t = ( 1 μ 1 ) β L ( t ) D ( t ) 1 + α D ( t ) + ( 1 μ 2 ) γ N ( t τ ) ( 1 μ 3 ) ω 1 D ( t ) ( k + ω ) D ( t ) , d N ( t ) d t = k D ( t ) ( 1 μ 2 ) γ N ( t τ ) ε N ( t τ ) ω N , d C ( t ) d t = ω L ( t ) + ω N ( t ) + ω D ( t ) + ( 1 μ 3 ) ω 1 D ( t ) .
In this part, we apply Pontryagin’s maximum principle to the Hamiltonian function to discover the condition for the optimal triple. For the sake of convenience, we use μ 1 ( t ) = μ 1 , μ 2 ( t ) = μ 2 , and μ 3 ( t ) = μ 3 , and the Hamiltonian is given via
H = A 1 D ( t ) + A 2 N ( t ) + A 3 C ( t ) + B 1 μ 1 2 + B 2 μ 2 2 + B 3 μ 3 2 + λ 1 ( t ) d L ( t ) d t + λ 2 ( t ) d D ( t ) d t + λ 3 ( t ) d N ( t ) d t + λ 4 ( t ) d C ( t ) d t .
The formulation of our optimization framework requires a precise specification of the objective function to be minimized. Here, we construct the objective functional, J, which has to be minimized [34,35,36], where, J ( μ 1 , μ 2 , μ 3 ) = 0 t f ( A 1 D + A 2 N ( t ) + A 3 C ( t ) + B 1 μ 1 2 + B 2 μ 2 2 + B 3 μ 3 2 ) d t , The constants A 1 , A 2 , A 3 represent the losses associated with the presence of the D ( t ) , N ( t ) , and C ( t ) classes, respectively. Meanwhile, the constants B 1 , B 2 , B 3 denote the losses incurred from implementing these management strategies. We assume that all management measures will be in effect during the time interval [ 0 , t f ] and will be discontinued after t f . The objective now is to determine the optimal functions [25,26] μ i * ( t ) , ( i = 1 , 2 , 3 ) that satisfy
J ( μ 1 * , μ 2 * , μ 3 * ) = m i n } J ( μ 1 , μ 2 , μ 3 ) , ( μ 1 , μ 2 , μ 3 ) } .
where ⋃ represents the control set defined as follows.
= J ( μ 1 , μ 2 , μ 3 ) : μ i ( t ) is the Lebesgue measurable on [ 0 , 1 ] , 0 μ i ( t ) 1 for all t [ 0 , t f ] , i = 1 , 2 , 3 .
Theorem 4. 
The control functions μ i * ( t ) ( i = 1 , 2 , 3 ) exist, for which J ( μ 1 * , μ 2 * , μ 3 * ) = m i n } J ( μ 1 , μ 2 ) , and ( μ 1 , μ 2 , μ 3 ) } .
Proof. 
The convexity of the integrand in objective function J ( μ 1 , μ 2 ) is evident. Moreover, the boundedness of the solutions for system (1) guarantees that Equation (17) satisfies the Lipschitz condition with respect to the state variables. These mathematical properties guarantee the existence of optimal control solutions, thereby completing the proof of the theorem. □
Theorem 5. 
The optimal control strategies μ i * ( t ) , ( i = 1 , 2 , 3 ) that yield the minimal value of the objective functional J across domain ⋃ can be expressed as follows:
μ 1 * = m a x { 0 , m i n { ( λ 2 * λ 1 * ) β L ( t ) * D ( t ) * 2 B 1 ( 1 + α D ( t ) * ) , 1 } , μ 2 * = m a x } 0 , m i n } ( λ 2 * λ 3 * ) γ N ( t τ ) * 2 B 2 , 1 } , μ 3 * = m a x } 0 , m i n } ( λ 4 * λ 2 * ) ω 1 D ( t ) * 2 B 3 , 1 } .
where, L ( t ) * , D ( t ) * , N ( t ) * , C ( t ) * are, respectively, and the optimum values of L ( t ) , D ( t ) , N ( t ) , C ( t ) , and ( λ 1 * , λ 2 * , λ 3 * , λ 4 * ) are the solution of system (20) with the conditions λ i ( t f ) = 0 ( i = 1 , 2 , 3 , 4 ) .
Proof. 
The Lagrangian of the optimal control problem is L = A 1 D ( t ) + A 2 N ( t ) + A 3 C ( t ) + B 1 μ 1 2 + B 2 μ 2 2 + B 3 μ 3 2 . The Hamiltonian function, H, for our optimization framework is formally constructed as follows:
H = A 1 D ( t ) + A 2 N ( t ) + A 3 C ( t ) + B 1 μ 1 2 + B 2 μ 2 2 + B 3 μ 3 2 + λ 1 ( t ) d L ( t ) d t + λ 2 ( t ) d D ( t ) d t + λ 3 ( t ) d N ( t ) d t + λ 4 ( t ) d C ( t ) d t .
The derivation of adjoint equations accompanied by their corresponding transversality conditions is achieved through the application of Pontryagin’s maximum principle, generating the subsequent outcomes:
d λ 1 ( t ) d t = H L ( t ) , d λ 2 ( t ) d t = H D ( t ) , d λ 3 ( t ) d t = H N ( t ) , d λ 4 ( t ) d t = H C ( t ) .
The adjoint variables λ i , ( i = 1 , 2 , 3 , 4 ) are uniquely determined through the specified transversality conditions λ i ( t f ) = 0 , ( i = 1 , 2 , 3 , 4 ) , as governed via the subsequent equations:
d λ 1 d t = ( 1 μ 1 ) β D ( t ) 1 + α D ( t ) ( λ 1 λ 4 ) + ω ( λ 1 λ 4 ) , d λ 2 d t = A 1 + ( 1 μ 1 ) β D ( t ) ( 1 + α D ( t ) ) 2 ( λ 1 λ 2 ) + ( k + ω ) λ 2 ( 1 μ 3 ) ω 1 λ 2 λ 3 k ω λ 4 ( 1 μ 3 ) ω 1 λ 4 , d λ 3 d t = A 2 + ( λ 3 λ 1 ) ε e ε υ + ( 1 μ 2 ) γ e γ τ ( λ 3 λ 2 ) ( λ 4 λ 3 ) ω , d λ 4 d t = A 3 .
The adjoint variables are uniquely determined through the specified transversality conditions λ i ( t f ) = 0 , ( i = 1 , 2 , 3 , 4 ) . To determine optimal control functions, we use the optimality condition H μ i = 0 , i = ( 1 , 2 , 3 ) , and we get
H μ 1 = 2 B 1 μ 1 + β L ( t ) * D ( t ) * 1 + α D ( t ) * ( λ 1 * λ 2 * ) = 0 , H μ 2 = 2 B 2 μ 2 + ( λ 3 * λ 2 * ) γ N * τ = 0 , H μ 3 = 2 B 3 μ 3 + ( λ 2 * λ 4 * ) ω 1 D * = 0 ,
Then,
μ 1 * = ( λ 2 * λ 1 * ) β L ( t ) * D ( t ) * 2 B 1 ( 1 + α D ( t ) * ) , μ 2 * = ( λ 2 * λ 3 * ) γ N ( t τ ) * 2 B 2 , μ 3 * = ( λ 4 * λ 2 * ) ω 1 D ( t ) * 2 B 3 .
We end with the following:
μ 1 * = m a x } 0 , m i n { ( λ 2 * λ 1 * ) β L ( t ) * D ( t ) * 2 B 1 ( 1 + α D ( t ) * ) , 1 } , μ 2 * = m a x { 0 , m i n { ( λ 2 * λ 3 * ) γ N ( t τ ) * 2 B 2 , 1 } , μ 3 * = m a x { 0 , m i n { ( λ 4 * λ 2 * ) ω 1 D ( t ) * 2 B 3 , 1 } .
where L ( t ) * , D ( t ) * , N ( t ) * , C ( t ) * are, respectively, the optimum values of L ( t ) , D ( t ) , N ( t ) , C ( t ) , and ( λ 1 * , λ 2 * , λ 3 * , λ 4 * ) is the solution of the system (20) with the conditions λ i ( t f ) = 0 ( i = 1 , 2 , 3 , 4 ) .
Clearly,
2 H μ 1 2 = 2 B 1 > 0 , 2 H μ 1 2 2 H μ 1 μ 2 2 H μ 2 μ 1 2 H μ 2 2 = 4 B 1 B 2 > 0 , 2 H μ 1 2 2 H μ 1 μ 2 2 H μ 1 μ 3 2 H μ 2 μ 1 2 H μ 2 2 2 H μ 2 μ 3 2 H μ 3 μ 1 2 H μ 3 μ 2 2 H μ 3 2 = 8 B 1 B 2 B 3 > 0 .
Thus, the control functions minimize the objective functional μ i * ( i = 1 , 2 , 3 , 4 ) . Hence, the theorem is proved. □
Again, it can be readily demonstrated that the threshold R 1 of the model is
R 1 = ( 1 μ 1 ) β A } ω + ( 1 μ 2 ) γ + ε } ω } ω + ( 1 μ 2 ) γ + ε } } ( 1 μ 3 ) ω 1 + ω + k } ( 1 μ 2 ) γ ω k .
It is evident from the expression for the threshold R 1 that the quantities μ i can effectively lower the value of the threshold, indicating that these quantities serve as effective controllers for the dissemination of public opinion. As the values of μ i increase, R 1 decreases; this implies that lockdown measures are highly effective in curbing the dissemination of information.
An analysis of the dynamics of spreaders (D(t)) in Figure 4 graph characteristics: The solid red line represents the change in spreaders, D ( t ) , without control measures. The dashed blue line shows the change in spreaders, D ( t ) , when optimal control is applied.
Optimal control significantly reduces the number and duration of spreaders by lowering the transmission rate, μ 1 , suppressing the recovery of individuals, μ 2 , and enhancing debunking efficiency, μ 3 , as shown in in Table 1.
Analysis of optimal control strategy curves ( μ 1 , μ 2 , μ 3 ) in Figure 5 graph characteristics: The green line ( μ 1 ) represents the control intensity to reduce the transmission rate β . The magenta line ( μ 2 ) represents the control intensity to suppress the recovery of forgetful individuals γ . The black line ( μ 3 ) represents the control intensity to enhance debunking efficiency ω 1 .
Dynamics of control strategies: Initial phase ( t < 10 ) : All control measures are rapidly activated ( μ 1 , μ 2 , μ 3 rise quickly) to counter the initial spread peak. The middle phase, ( 10 < t < 50 ) : μ 1 and μ 3 , remains high to continuously suppress spreaders and debunk rumors. μ 2 gradually decreases as the forgetful population, N ( t ) , diminishes. During the late phase ( t > 50 ) , the control intensity gradually weakens as the system approaches stability.
Control logic: μ 1 and μ 3 have a more direct impact on spreaders, D ( t ) , so they are maintained at higher levels for longer. μ 2 is only effective when N ( t ) is large and becomes less significant later.
Here is a numerical comparison of total costs under different control strategies for the rumor propagation model, analyzing the objective function J ( μ 1 , μ 2 , μ 3 ) = 0 t f ( A 1 D + A 2 N ( t ) + A 3 C ( t ) + B 1 μ 1 2 + B 2 μ 2 2 + B 3 μ 3 2 ) d t , in Table 2.
When A = 1.0 , β = 0.5 , α = 0.1 , ω = 0.05 , ϵ = 0.1 , γ = 0.3 , ω 1 = 0.2 , k = 0.1 , τ = 1 . Optimal control increases control costs ( B i μ i 2 terms) by 2.3 x compared to partial control, but it reduces rumor-related losses ( A i terms) by 50 % . Without control, a 100 % cost from rumor damage (D, N, and C populations) is incurred. Optimal control involves a 60 % cost from control implementation and 40% from residual rumor effects. If A 1 (the spreader cost weight) doubles, the optimal control becomes 3 x more cost-effective than no control. When B 1 ( μ 1 s cost weight) >2, partial control may outperform optimal control.
Justification is achieved when rumor damage costs, A i , exceed 3 x the control implementation costs. If control resources are limited, μ 3 (debunking) is prioritized, which provides the highest marginal benefit per cost unit. Real-time monitoring should trigger control intensification when D(t) exceeds 20 % of the population. This quantitative framework enables evidence-based decision-making for rumor containment strategies.

8. Numerical Simulation

In this section, we delve into the influence of diverse parameters on the threshold value. Through Matlab 9.11 and Python 3.13 simulations, we gain a comprehensive understanding of which parameter exerts the most significant influence on L , D , N , and C. We choose
β = 0.25 , ω = 0.01 , ω 1 = 0.01 , k = 0.3 ,
γ = 0.0059 , α = 0.3 , A = 0.005 , τ = 1 .
The influence of A , k , ω , β , γ and ω 1 on L , D , C a n d C is analyzed by assigning values.
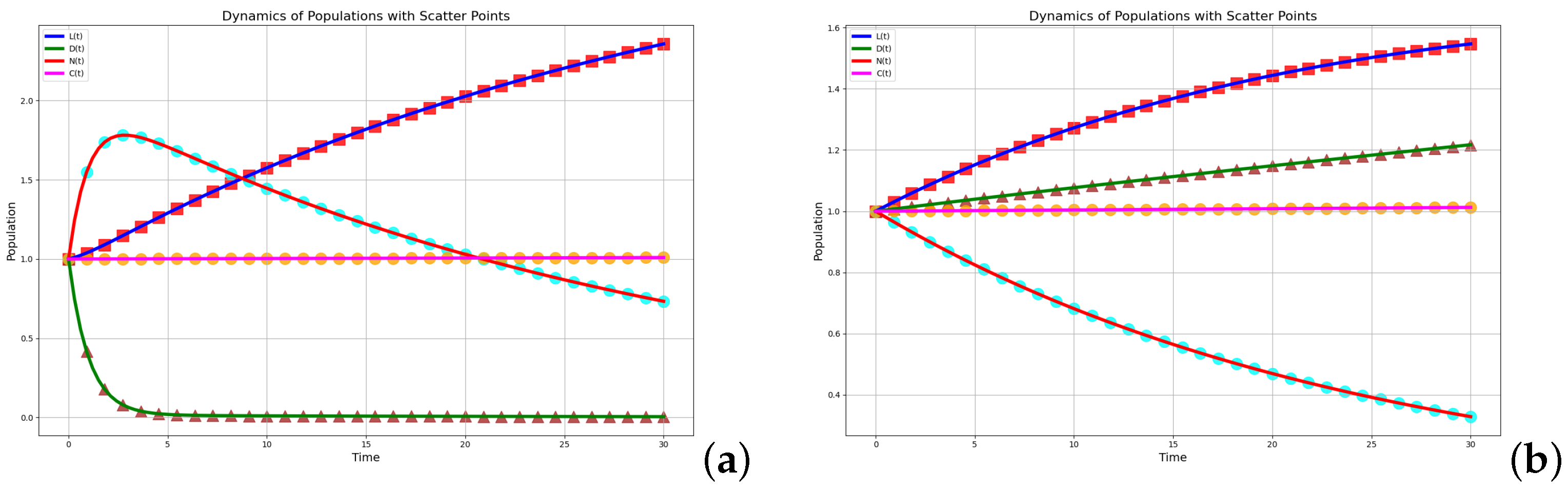
In Figure 6, the parameter β represents the rate at which population L ( t ) propagates to population D ( t ) . It can be seen from (a) to (b) that as β increases, D ( t ) increases and L ( t ) decreases. β has the greatest impact on D ( t ) and L ( t ) . The dynamics of each variable can be summarized as follows: The growth rate of D ( t ) slows down over time; Similarly, the increase of N ( t ) and C ( t ) will also slow down. Meanwhile, D ( t ) rises first and then tends to stabilize, while L ( t ) falls first and then tends to stabilize.
In Figure 7a,b, ω represents the outflow rate of population L , D and N to population C. An increase in ω will accelerate the disappearance of all populations ( L ( t ) , D ( t ) , N ( t ) ) while increasing the accumulation rate of C ( t ) . The transition from (a) to (b) shows that as ω increases, L ( t ) drops sharply, the peaks of D ( t ) and N ( t ) become lower and occur earlier, and C ( t ) rises rapidly. L ( t ) quickly approaches 0, and the increase in ω directly accelerates the elimination of public opinion. The peak of D ( t ) is reduced and occurs earlier, with public opinion being largely eliminated before it spreads. N ( t ) almost disappears. C ( t ) rises steeply.
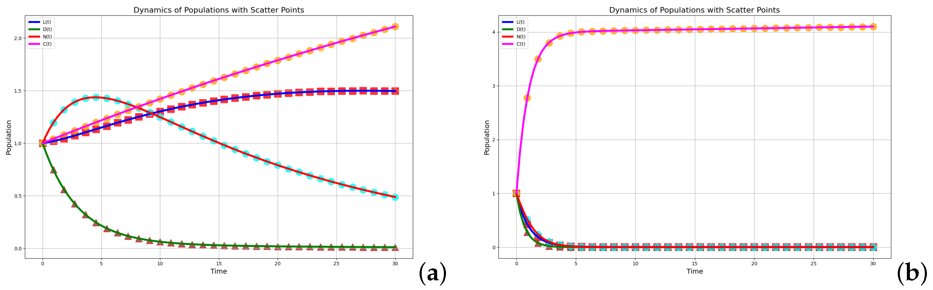
In Figure 8a,b, ω 1 represents the forced removal rate. The transition from (a) to (b) shows that as ω 1 increases, it specifically targets the clearance of the epidemic spread D ( t ) without directly affecting L ( t ) or N ( t ) . The peak of D ( t ) becomes lower and occurs earlier, indicating that the epidemic is rapidly eliminated. Therefore, enhanced forced measures can lead to a faster decline of the epidemic. C ( t ) exhibits asymptotic growth, with rapid accumulation in the initial stage.
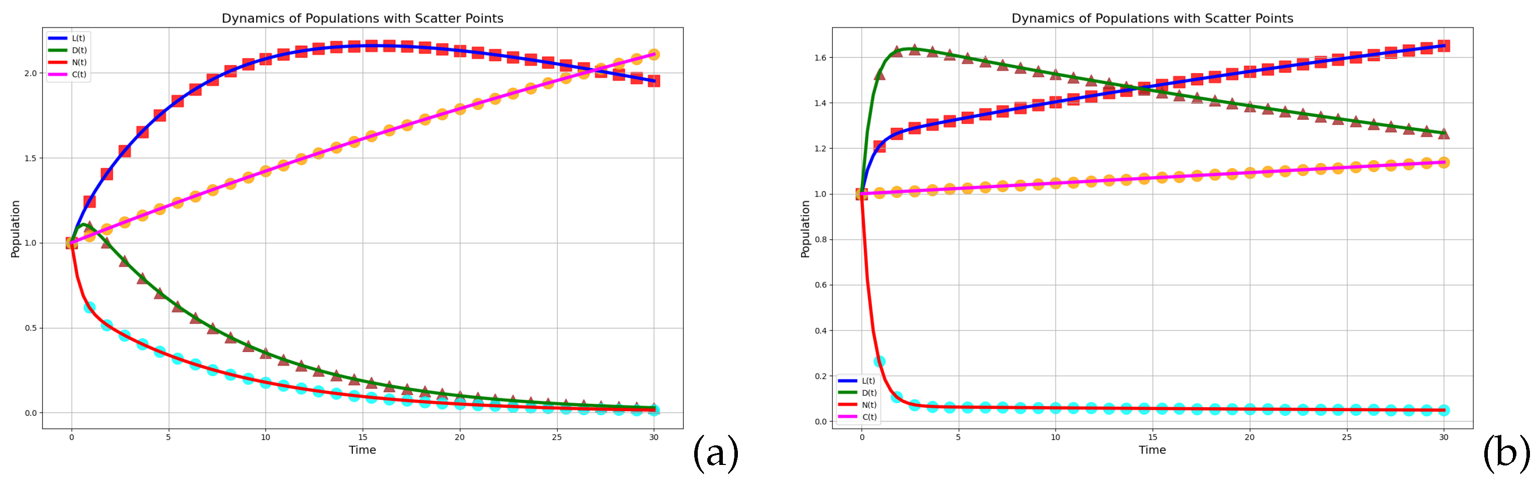
In Figure 9a,b, k represents the termination rate of spread from population D to population N. The transition from (a) to (b) shows that as k increases, it enhances both the clearance of the rumor dissemination D ( t ) and the increase of N ( t ) . D ( t ) exhibits a single, steep peak with rapid clearance of the rumor dissemination, without a secondary outbreak and complete elimination of the source of dissemination. The optimal intervention timing is 0.5 1 hour before the peak of D ( t ) .
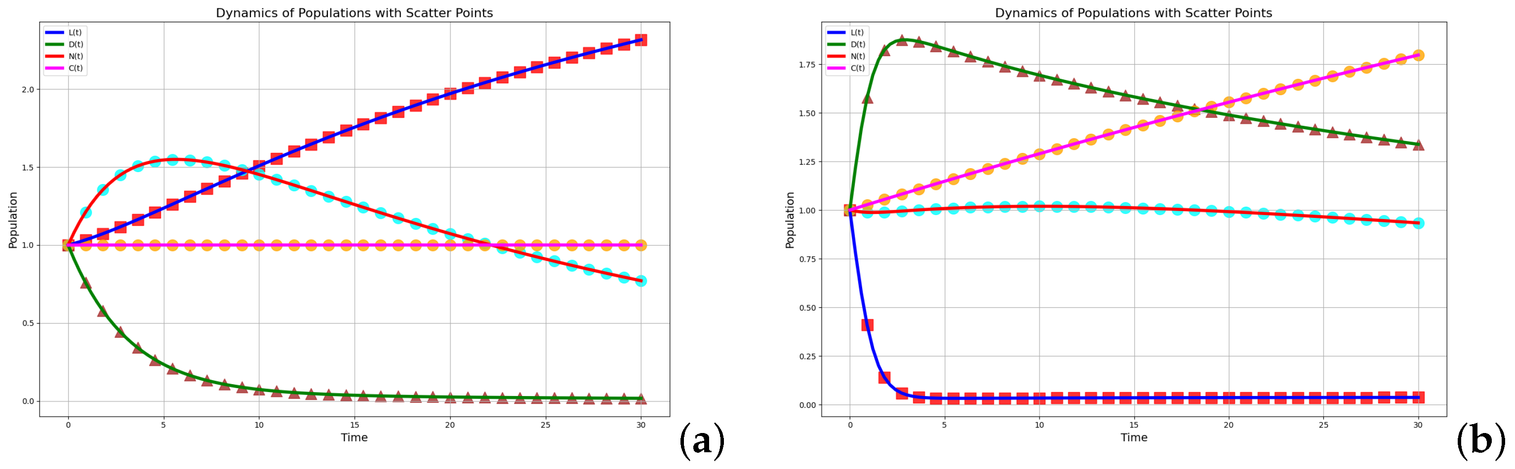
In Figure 10a,b, γ represents the termination rate of dissemination from population D ( t ) to population N ( t ) . The transition from (a) to (b) shows that as γ increases, the maximum amplitude oscillation occurs when γ 1 τ . Increasing γ not only promotes the clearance of N ( t ) but may also enhance repeated transmission. The inter-peak interval of N ( t ) is reduced to zero, indicating complete clearance.
In Figure 11a,b, the parameter α has an inhibitory effect on individuals responsible for spreading rumors. The transition from (a) to (b) shows that as α increases, the saturation effect of D ( t ) becomes dominant, with its peak value decreasing by 60 % . N ( t ) exhibits a slow and sustained latent transformation. C ( t ) shows asymptotic growth. In Figure 12a,b, the parameter A has an inhibitory effect on individuals responsible for spreading rumors. The transition from (a) to (b) shows that as A increases, the system exhibits periodic oscillations. The mean value of L ( t ) shifts upward, and D ( t ) forms recurring waves of transmission. N ( t ) undergoes phase-synchronized oscillations, and C ( t ) shows stepwise growth.
Figure 13 shows the corresponding L ( t ) , D ( t ) , N ( t ) , and C ( t ) curves under different control strategies. Figure 13a shows an uncontrolled situation: μ 1 = μ 2 = μ 3 = 0 . Figure 13b,c shows a situation of single control. Figure 13d shows a situation of optimal control: μ 1 = μ 1 * , μ 2 = μ 2 * , μ 3 = μ 3 * . Figure 13 demonstrates the temporal dynamics of population distributions across various parameter configurations, revealing that the implemented optimal control strategy effectively minimizes undesirable elements while enhancing regulatory measures.

R 0 Parameter Sensitivity Analysis

The sensitivity indices in Table 3 for both the transmission rate, β , and the inflow rate, A, are + 1 , indicating that a 1 % increase in either parameter leads to a synchronous 1 % increase in R 0 . These two parameters are the dominant factors determining the magnitude of R 0 . For the intervention rate, ω 1 ( S = 0.254 ) , and natural outflow rate, ω ( S = 0.244 ) , a 1 % improvement in ω 1 would reduce R 0 by approximately 0.25 % .
The recurrence rate γ and stop rate k have relatively weaker effects ( | S | < 0.2 ) , while the transition rate ϵ from neutral to susceptible has the minimum impact ( S = + 0.049 ) . β and A show perfect proportional sensitivity ( + 1.0 ) . ω 1 and ω are effective suppression parameters. γ and k are secondary factors. ϵ is negligible in this model configuration. This quantitative analysis reveals that controlling dissemination sources ( β ) and limiting new susceptible exposure (A) should be prioritized in rumor containment strategies, while debunking efficiency ( ω 1 ) serves as the most effective intervention measure, as Figure 14 shows.
The sensitivity analysis of ω 1 and k on R 0 is shown in Figure 15a,b. Figure 15a represents the ( ω 1 k ) cross-section, indicating that the expected R 0 decreases nonlinearly as k increases from 2 to 8. The figure demonstrates that k 4 is required to control the spread ( R 0 1 ). Figure 15b shows the contour features, with ω 1 and k exhibiting negatively sloped isovalue lines. The range of R 0 values −1.5 (high transmission risk), 1 (critical threshold), and 0.5 (low risk)—indicates significant variation in disease transmission potential with changing parameters. When R 0 = 1.5 , the disease is likely to sustain transmission (subject to an analysis of matching k values). R 0 decreases with either an increase in k or a rise in ω 1 . Notably, when ω 1 exceeds 1.2, R 0 stabilizes below 0.6, suggesting that this intervention threshold can effectively block transmission.
Figure 16a,b presents the sensitivity profiles of parameters ω and γ with respect to R 0 . Figure 16a represents the ( γ ω ) cross-section, while Figure 16b represents the ( γ ω ) contour lines. The sensitivity is highest when γ ( 4 , 6 ) , which is also the region where the 0.4 contour lines are most densely distributed. Along the vertical line at γ = 5.2 : for every increase of 0.1 in ω , R 0 decreases by 0.15. Along the horizontal line at ω = 0.3 : for every increase of 1 in γ , R 0 decreases by 0.08. As ω increases, R 0 exhibits a declining trend, suggesting that this parameter may suppress transmission. In contrast, when γ rises, R 0 may initially increase before decreasing. The peak R 0 value (0.6) occurs when both ω and γ are at their lowest levels (near the origin), highlighting their synergistic effect on transmission risk.
The sensitivity analysis of ω and ε on R 0 is shown in Figure 17a,b. Figure 17a shows the ( ω ε ) cross-section, while Figure 17b shows the ( ω ε ) contour lines. There is an inflection point (where the second derivative changes sign) when ω = 2 . When both variables decline, it suggests that implementing rumor prevention strategies and establishing a set of punitive measures can effectively control the dissemination of rumors.
Figure 18a,b displays the corresponding analysis for β and A regarding their impact on R 0 . Figure 18a shows the characteristics of the ( β A ) phase diagram, where β A < 40 can maintain R 0 < 1 . Figure 18b shows the ( β A ) contour lines. Along the isovalue line of R 0 = 50 : for every decrease of 1 unit in β , the requirement for A can be reduced by 2.5 units. R 0 is highly sensitive to changes in β , exhibiting a nonlinear rapid increase as β rises. This sensitivity is particularly pronounced when A is small. However, as A increases (approaching 5), the overall magnitude of R 0 decreases significantly, suggesting that A may play a role in suppressing transmission. Controlling β (e.g., through contact reduction) is an effective strategy to reduce R 0 . Notably, increasing A can substantially mitigate disease spread, especially when β is elevated. This analysis provides a framework for a decision support system in response to major epidemics and suggests establishing a real-time monitoring network for β and A. When the system enters the red zone, it is necessary to suppress β below the critical value within 14 days to avoid exponential spread. The golden control zone ( β ( 3 , 4 ) , A ( 1 , 2 ) ) can achieve the maximum efficiency of prevention and control.
The analysis in Figure 19 demonstrates that increasing the rumor-debunking efficiency ω 1 from 0.2 to 0.5 would reduce R 0 from 1.25 to 0.83, representing a 33.6 % decrease.
The graph in Figure 20 will visually demonstrate the proportional relationship between R 0 and β , automatically marking the maximum β value that maintains R 0 1 . An explanatory note will indicate that every 0.1 increase in β raises R 0 by approximately 0.25 . When β < 0.4 , the system achieves R 0 < 1 , indicating a natural die-out state of rumor propagation.

9. Conclusions

The swift expansion of the internet has granted individuals the liberty to articulate their opinions and value demands with unprecedented freedom while also accelerating the emergence and dissemination of rumors. Increasingly, people are turning to online platforms to voice their perspectives on trending events, which, in turn, has allowed rumors to evolve into a novel social force and a sphere of public opinion. The emergence of online emergencies has prompted various sectors to focus more intently on the detection, guidance, and control of rumors. The findings of this paper are instrumental in providing timely insights into the dynamics of rumors within the context of big data, thereby preventing public sentiment from transforming into rumors and averting potential public relations crises, which have become increasingly pertinent concerns for managers.
This research presents an innovative time-delay computational framework for analyzing information diffusion dynamics. We have demonstrated the existence of equilibrium within the system and derived sufficient conditions for its stability and the occurrence of Hopf bifurcations at equilibrium by examining the distribution of characteristic values. Furthermore, a systematic computational algorithm has been established to analyze both the Hopf bifurcation orientation and the stability characteristics of emerging periodic solutions. Finally, we have conducted several numerical simulations using the Matlab R2023a software. The global stability characteristics of equilibrium E * have been rigorously verified by constructing a suitable Lyapunov functional. An optimization framework has been developed to achieve cost-effective minimization of information propagation across the network. These results are crucial for devising the most effective prevention strategies to address the challenges posed by rumors.

Author Contributions

Conceptualization, C.L. and Z.M.; writing—review and editing, Z.M. and C.L.; visualization, Z.M.; formal analysis, L.Y. and T.A.M. All authors have read and agreed to the published version of the manuscript.

Funding

This research received partial funding from the Natural Science Foundation of Ningxia (no. 2022AAC03287), “The asymptotic analysis and efficient numerical methods for the singularly perturbed problems” and Key Projects of North Minzu University (Project Number ZDZX201805), the Governance and Social Management Research Center of Northwest Ethnic Regions, the First-Class Disciplines Foundation of Ningxia (Project Number NXYLXK2017B09), the Ningxia Youth Talent Support Program (2021), and the Leading Talent Support Program of North Minzu University.

Institutional Review Board Statement

Not applicable.

Informed Consent Statement

Not applicable.

Data Availability Statement

All data generated or analyzed in this study are incorporated within this published article.

Conflicts of Interest

The authors state that there are no conflicts of interest.

References

  1. Gunawan, S. Hillary Clinton’s presidential campaign rhetoric: Making America whole again. Kasetsart J. Soc. Sci. 2017, 38, 50–55. [Google Scholar] [CrossRef]
  2. Ranani, S.R.A.; Kharazmi, Z.N. The significance of Muslim women in American foreign policy case study: Hillary Clinton’s prophecy for women of science in MENA. Womens Stud. Int. Forum 2017, 61, 20–27. [Google Scholar] [CrossRef]
  3. Davis, C.B. An inconvenient vote: Hillary Clinton’s Iraq war image repair debate strategies and their implications for representative democracy. Public Relat. Rev. 2013, 4, 315–319. [Google Scholar] [CrossRef]
  4. Enders, A.M.; Uscinski, J.E.; Klofstad, C.A.; Premaratne, K.; Seelig, M.I.; Wuchty, S.; Murthi, M.N.; Funchion, J.R. The 2020 presidential election and beliefs about fraud: Continuity or change. Elect. Stud. 2021, 72, 61–94. [Google Scholar] [CrossRef]
  5. Xiao, W. COVID-19 anti-vaccine misinformation discourse on Twitter: Influential roles of polarization and the 2020 US presidential election. Telemat. Inform. Rep. 2024, 15, 2772–5030. [Google Scholar] [CrossRef]
  6. Karami, A.; Clark, S.B.; Mackenzie, A.; Lee, D.; Zhu, M.; Boyajieff, H.R.; Goldschmidt, B. 2020 U.S. presidential election in swing states: Gender differences in Twitter conversations. Int. J. Inf. Manag. Data Insights 2022, 2, 100097. [Google Scholar] [CrossRef]
  7. Ramakrishnan, E.K.K.; Thieme, T. Provincializing European responses to the refugee through a Hungarian lens. Political Geogr. 2022, 98, 102708. [Google Scholar]
  8. Zhu, L.; Guan, G.; Li, Y. Nonlinear dynamical analysis and control strategies of a network-based SIS epidemic model with time delay. Appl. Math. Model. 2019, 70, 512–531. [Google Scholar] [CrossRef]
  9. Zhang, J.; Sun, J. Stability analysis of an SIS epidemic model with feedback mechanism on networks. Phys. A Stat. Mech. Its Appl. 2014, 394, 24–32. [Google Scholar] [CrossRef]
  10. Liu, W.; Zhong, S. A novel dynamic model for web malware spreading over scale-free networks. Phys. A Stat. Mech. Its Appl. 2018, 505, 848–863. [Google Scholar] [CrossRef]
  11. Dong, S.; Fan, F.-H.; Huang, Y.-C. Studies on the population dynamics of a rumor-spreading model in online social networks. Phys. A Stat. Mech. Its Appl. 2018, 492, 10–20. [Google Scholar] [CrossRef]
  12. Xia, L.-L.; Jiang, G.-P.; Song, B.; Song, Y.-R. Rumor spreading model considering hesitating mechanism in complex social networks. Phys. A Stat. Mech. Its Appl. 2015, 437, 295–303. [Google Scholar] [CrossRef]
  13. Mei, X.; Zhang, Z.; Jiang, H. Dynamical Analysis of Hyper-ILSR Rumor Propagation Model with Saturation Incidence Rate. Entropy 2023, 25, 805. [Google Scholar] [CrossRef]
  14. Zhu, L.; Liu, M.; Li, Y. The dynamics analysis of a rumor propagation model in online social networks. Phys. A Stat. Mech. Its Appl. 2019, 520, 118–137. [Google Scholar] [CrossRef]
  15. Zhao, L.; Wang, Q.; Cheng, J.; Chen, Y.; Wang, J.; Huang, W. Rumor spreading model with consideration of forgetting mechanism: A case of online blogging LiveJournal. Phys. A Stat. Mech. Its Appl. 2011, 390, 2619–2625. [Google Scholar] [CrossRef]
  16. Liu, S.; Qu, Q.; Wang, S. Heterogeneous anomaly detection in social diffusion with discriminative feature discovery. Inf. Sci. 2018, 439–440, 1–18. [Google Scholar] [CrossRef]
  17. Wang, J.; Jiang, H.; Ma, T.; Hu, C. Global dynamics of the multi-lingual SIR rumor spreading model with cross-transmitted mechanism. Chaos Solitons Fractals 2019, 126, 148–157. [Google Scholar] [CrossRef]
  18. Zhang, W.; Gu, X.; Tang, L.; Yin, Y.; Liu, D.; Zhang, Y. Application of machine learning, deep learning and optimization algorithms in geoengineering and geoscience: Comprehensive review and future challenge. Gondwana Res. 2022, 109, 1–17. [Google Scholar] [CrossRef]
  19. Xu, Y.; Mei, R.; Yang, Y.; Kong, Z. Modeling and analysis of rumor spreading with social reinforcement mechanism. Adv. Math. Phys 2019, 2019, 7241021. [Google Scholar] [CrossRef]
  20. Tan, Z.X.; Cheong, K.H. Cross-issue solidarity and truth convergence in opinion dynamics. J. Phys. A Math. Theor 2018, 51, 355101. [Google Scholar] [CrossRef]
  21. Zhu, L.; Liu, W.; Zhang, Z. Delay differential equations modeling of rumor propagation in both homogeneous and heterogeneous networks with a forced silence function. Appl. Math. Comput. 2020, 370, 124925. [Google Scholar] [CrossRef]
  22. Wang, J.; Wang, Y.Q.; Li, M. Rumor Spreading Model with Immunization Strategy and Delay Time on Homogeneous Networks. Commun. Theor. Phys. 2017, 68, 803. [Google Scholar] [CrossRef]
  23. Li, C.; Ma, Z. Dynamics analysis of a delayed rumor propagation model in an emergency-affected environment. Discret. Dyn. Nat. Soc. 2015, 2015, 269561. [Google Scholar] [CrossRef]
  24. Dubey, P.; Dubey, B.; Dubey, U.S. An SIR Model with Nonlinear Incidence Rate and Holling Type III Treatment Rate. In Applied Analysis in Biological and Physical Sciences; Springer: New Delhi, India, 2016; Volume 186. [Google Scholar]
  25. Kumar, A.; Gupta, A.; Dubey, U.S.; Dubey, B. Stability and bifurcation analysis of an infectious disease model with different optimal control strategies. Math. Comput. Simul. 2023, 213, 78–114. [Google Scholar] [CrossRef]
  26. Hu, Y.; Liu, H.; Zhao, J.; Tu, L. Dynamic analysis of dissemination model of innovation ability of enterprise R & D personnel. Phys. A Stat. Mech. Its Appl. 2019, 31, 121743. [Google Scholar]
  27. Kumar, A.; Nilam. Dynamical Model of Epidemic Along with Time Delay; Holling Type II Incidence Rate and Monod–Haldane Type Treatment Rate. Differ. Equ. Dyn. Syst. 2019, 27, 299–312. [Google Scholar] [CrossRef]
  28. Dan, L. Research on Crisis Communication Mechanism Based on Dynamic Model. Master’s Thesis, Northern University for Nationalities, Yinchuan, China, 2020. [Google Scholar]
  29. Liu, Y.; Wei, J. Bifurcation analysis in delayed nicholson blowflies equation with delayed harvest. Nonlinear Dyn. 2021, 105, 1805–1819. [Google Scholar] [CrossRef]
  30. Lv, Z.; Liu, X.; Ding, Y. Dynamic behavior analysis of an SVIR epidemic model with two time delays associated with the COVID-19 booster vaccination time. Math. Biosci. Eng. 2023, 20, 6030–6061. [Google Scholar] [CrossRef]
  31. Jiang, S.; Wise, S.G.; Kovacic, J.C.; Rnjak-Kovacina, J.; Lord, M.S. Biomaterials containing extracellular matrix molecules as biomimetic next-generation vascular grafts. Trends Biotechnol. 2024, 42, 369–381. [Google Scholar] [CrossRef]
  32. Zhang, X.; Wang, X.; Jiao, W.; Liu, Y.; Yu, J.; Ding, B. Evolution from microfibers to nanofibers toward next-generation ceramic matrix composites: A review. J. Eur. Ceram. Soc. 2023, 43, 1255–1269. [Google Scholar] [CrossRef]
  33. Wang, X. A simple proof of descartes’s rule of signs. Am. Math. Mon. 2004, 111, 525–526. [Google Scholar] [CrossRef]
  34. Ghosh, J.K.; Ghosh, U.; Biswas, M.H.A.; Sarkar, S. Qualitative Analysis and Optimal Control Strategy of an SIR Model with Saturated Incidence and Treatment. Differ. Equ. Dyn. Syst. 2023. [Google Scholar] [CrossRef]
  35. Lenhart, S.; Workman, J.T. Optimal Control Applied To Biological Model; Mathematical and Computational Biology Series; Chapman and Hall/CRC: Boca Raton, FL, USA, 2007. [Google Scholar]
  36. Pontryagin, L.S.; Boltyanskii, V.G.; Gamkrelidze, R.V.; Mishchenko, E.F. The Mathematical Theory of Optimal Processes; Wiley: Hoboken, NJ, USA, 1962. [Google Scholar]
Figure 1. A compartmental diagram for rumor dissemination.
Figure 1. A compartmental diagram for rumor dissemination.
Symmetry 17 00788 g001
Figure 2. τ > τ 0 .
Figure 2. τ > τ 0 .
Symmetry 17 00788 g002
Figure 3. τ < τ 0 .
Figure 3. τ < τ 0 .
Symmetry 17 00788 g003
Figure 4. Rumor dissemination (D(t)).
Figure 4. Rumor dissemination (D(t)).
Symmetry 17 00788 g004
Figure 5. Optimal control strategies.
Figure 5. Optimal control strategies.
Symmetry 17 00788 g005
Figure 6. The densities of L , D , N and C under parameter β .
Figure 6. The densities of L , D , N and C under parameter β .
Symmetry 17 00788 g006
Figure 7. The densities of L, D, N, and C under parameter ω .
Figure 7. The densities of L, D, N, and C under parameter ω .
Symmetry 17 00788 g007
Figure 8. The densities of L, D, N, and C under parameter ω 1 .
Figure 8. The densities of L, D, N, and C under parameter ω 1 .
Symmetry 17 00788 g008
Figure 9. The densities of L, D, N, and C under parameter k.
Figure 9. The densities of L, D, N, and C under parameter k.
Symmetry 17 00788 g009
Figure 10. The densities of L, D, N, and C under parameter γ .
Figure 10. The densities of L, D, N, and C under parameter γ .
Symmetry 17 00788 g010
Figure 11. The densities of L, D, N, and C under parameter α .
Figure 11. The densities of L, D, N, and C under parameter α .
Symmetry 17 00788 g011
Figure 12. The densities of L, D, N, and C under parameter A.
Figure 12. The densities of L, D, N, and C under parameter A.
Symmetry 17 00788 g012
Figure 13. Corresponding L(t), D(t), N(t), and C(t) curves under different control strategies.
Figure 13. Corresponding L(t), D(t), N(t), and C(t) curves under different control strategies.
Symmetry 17 00788 g013
Figure 14. R 0 parameter sensitivity analysis.
Figure 14. R 0 parameter sensitivity analysis.
Symmetry 17 00788 g014
Figure 15. Sensitivity analysis of ω 1 and k on R 0 .
Figure 15. Sensitivity analysis of ω 1 and k on R 0 .
Symmetry 17 00788 g015
Figure 16. Sensitivity analysis of ω and γ on R 0 .
Figure 16. Sensitivity analysis of ω and γ on R 0 .
Symmetry 17 00788 g016
Figure 17. Sensitivity analysis of ω and ε on R 0 .
Figure 17. Sensitivity analysis of ω and ε on R 0 .
Symmetry 17 00788 g017
Figure 18. Sensitivity analysis of A and β on R 0 .
Figure 18. Sensitivity analysis of A and β on R 0 .
Symmetry 17 00788 g018
Figure 19. Impact of debunking efficiency on R 0 .
Figure 19. Impact of debunking efficiency on R 0 .
Symmetry 17 00788 g019
Figure 20. Impact of transmission rate on R 0 .
Figure 20. Impact of transmission rate on R 0 .
Symmetry 17 00788 g020
Table 1. Key conclusions.
Table 1. Key conclusions.
MetricNo Control MeasuresOptimal Control MeasuresImprovement Effect
Peak disseminatorsHigh (e.g., D 80 )Significantly reduced (e.g., D 30 )Peak reduced by ∼ 62.5 %
Time to peakEarly (e.g., t 20 )Delayed or no clear peakSlows dissemination speed
Steady-state valueMay persistApproaches zeroCompletely suppresses rumor dissemination
Table 2. Total cost comparison table.
Table 2. Total cost comparison table.
Control StrategyCost Components (Example Values)Total Cost (J)Cost Reduction
No control A 1 D = 1200 , A 2 N = 800 , A 3 C = 400 2400Baseline
B 1 μ 1 2   =   B 2 μ 2 2   =   B 3 μ 3 2   =   0
Partial control A 1 D = 600 , A 2 N = 400 , A 3 C = 200 150037.5%
( μ 1 = 0.4 , μ 2 = 0.3 , μ 3 = 0.2 ) B 1 μ 1 2   =   160 ,   B 2 μ 2 2   =   90 ,   B 3 μ 3 2   =   40
Optimal control A 1 D = 300 , A 2 N = 200 , A 3 C = 100 90062.5%
( μ 1 * = 0.4 , μ 2 * = 0.3 , μ 3 * = 0.2 ) B 1 μ 1 2   =   360 ,   B 2 μ 2 2   =   250 ,   B 3 μ 3 2   =   160
Table 3. R 0 parameter sensitivity analysis.
Table 3. R 0 parameter sensitivity analysis.
Parametric SymbolParameter DescriptionSensitivity Index
β Dissemination rate1
AInflow rate1
ω Outflow rate−1.2026
γ Recurrence rate0.078431
ϵ Rate of the from N to L−0.052288
ω 1 Intervention of rate−0.70588
KStop rate−0.11765
Disclaimer/Publisher’s Note: The statements, opinions and data contained in all publications are solely those of the individual author(s) and contributor(s) and not of MDPI and/or the editor(s). MDPI and/or the editor(s) disclaim responsibility for any injury to people or property resulting from any ideas, methods, instructions or products referred to in the content.

Share and Cite

MDPI and ACS Style

Li, C.; Ma, Z.; Yang, L.; Masron, T.A. Symmetry and Time-Delay-Driven Dynamics of Rumor Dissemination. Symmetry 2025, 17, 788. https://doi.org/10.3390/sym17050788

AMA Style

Li C, Ma Z, Yang L, Masron TA. Symmetry and Time-Delay-Driven Dynamics of Rumor Dissemination. Symmetry. 2025; 17(5):788. https://doi.org/10.3390/sym17050788

Chicago/Turabian Style

Li, Cunlin, Zhuanting Ma, Lufeng Yang, and Tajul Ariffin Masron. 2025. "Symmetry and Time-Delay-Driven Dynamics of Rumor Dissemination" Symmetry 17, no. 5: 788. https://doi.org/10.3390/sym17050788

APA Style

Li, C., Ma, Z., Yang, L., & Masron, T. A. (2025). Symmetry and Time-Delay-Driven Dynamics of Rumor Dissemination. Symmetry, 17(5), 788. https://doi.org/10.3390/sym17050788

Note that from the first issue of 2016, this journal uses article numbers instead of page numbers. See further details here.

Article Metrics

Back to TopTop