A Landscape-Aware Discrete Particle Swarm Optimization for the Influence Maximization Problem in Social Networks
Abstract
1. Introduction
- The fitness landscape entropy is introduced for the first time to quantify whether the population is trapped into local optima to enhance the evolutionary efficiency.
- A fitness distance correlation coefficient is conceived for the first time to divide the population into an ordinary subpopulation and an elite subpopulation to improve the diversity of the population.
- The VNS mechanism is designed for the IM problem specially to optimize the search capabilities of the elite population, thereby improving the algorithm’s performance.
2. Related Work
2.1. Greedy Algorithms
2.2. Heuristic Algorithms
2.3. Community-Based Algorithms
2.4. Machine Learning-Based Algorithms
2.5. Meta-Heuristic Algorithms
3. Preliminaries
3.1. Influence Maximization Problem
3.2. Diffusion Models
3.3. Influence Estimating Function
3.4. Fitness Landscape Metrics
- (1)
- Perform a random walk on the landscape to generate a time series of fitness values, .
- (2)
- The resulting time series are converted into a string according to a threshold , calculated by Equation (5). The parameter is a real number that determines the accuracy of the string computation.
- (3)
- Calculate the entropy metric based on the according to Equation (6):where p and q are elements in the set and is the number of sub-blocks in the string , where .
3.5. Particle Swarm Optimization
4. Proposed Algorithm
| Algorithm 1 Initialization |
| Input: Graph , the population size , and the seed set size k. Output: Initial the velocity vector V, the position vector X, the local best , and the global best .
|
| Algorithm 2 Refining_Search_Mechanism |
| Input: Graph , and the candidate seed set S. Output: Enhanced seed set S.
|
| Algorithm 3 Global_Search_Mechanism |
| Input: Graph , and the size of seed set k. Output: Node set S.
|
| Algorithm 4 Variable_Neighbourhood_Search |
| Input: Graph , and the candidate seed set S Output: Improved seed set
|
4.1. Initialization
4.2. Evolutionary Rules
4.2.1. Updating Mechanism for Velocity
4.2.2. Updating Rule for Position
4.3. Refining Search Mechanism
4.4. Fitness Landscape-Aware Evolution
4.4.1. Population Partition
4.4.2. Global Search Mechanism
4.4.3. Variable Neighbourhood Search
4.5. Complexity Analysis
5. Experimental Results and Analysis
5.1. Datasets and Baselines
- CELF [6]: proposed in 2007, this is a greedy algorithm that prioritizes the selection of nodes with the highest marginal gain by conducting tens of thousands Monte-Carlo simulations on each node in the iterative rounds.
- DPSO [10]: proposed in 2016, this is a swarm intelligence-based meta-heuristic algorithm that simulates the foraging behavior of bird flocks to identify the global best solution.
- TS-VA-MODE [33]: proposed in 2022, this solves the influence maximization problem by reducing the number of candidate nodes through a multi-criteria decision-making approach. It integrates an improved differential evolution algorithm with multiple search operators to enhance performance.
- DCGM++ [9]: proposed in 2023, this algorithm measures the importance of a node by calculating the degree of the node and the average degree of its neighboring nodes to select the greater influence node in the whole network.
- ENIMNR [41]: proposed in 2024, this algorithm reduces the search space by combining shell decomposition with node representation, while employing a deep learning-based node embedding technique to detect key nodes.
5.2. Parameter Settings
5.3. Comparison Experiments
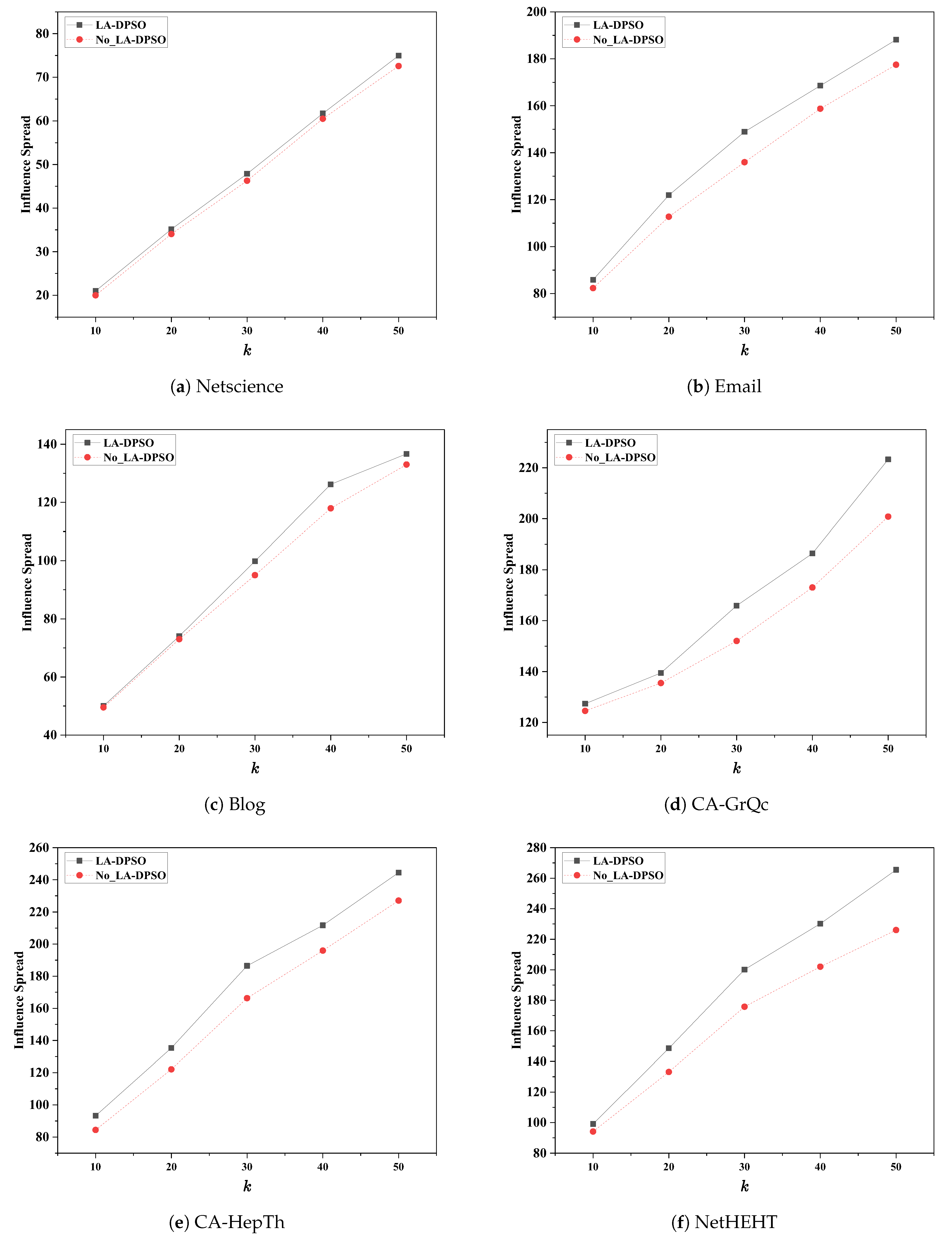
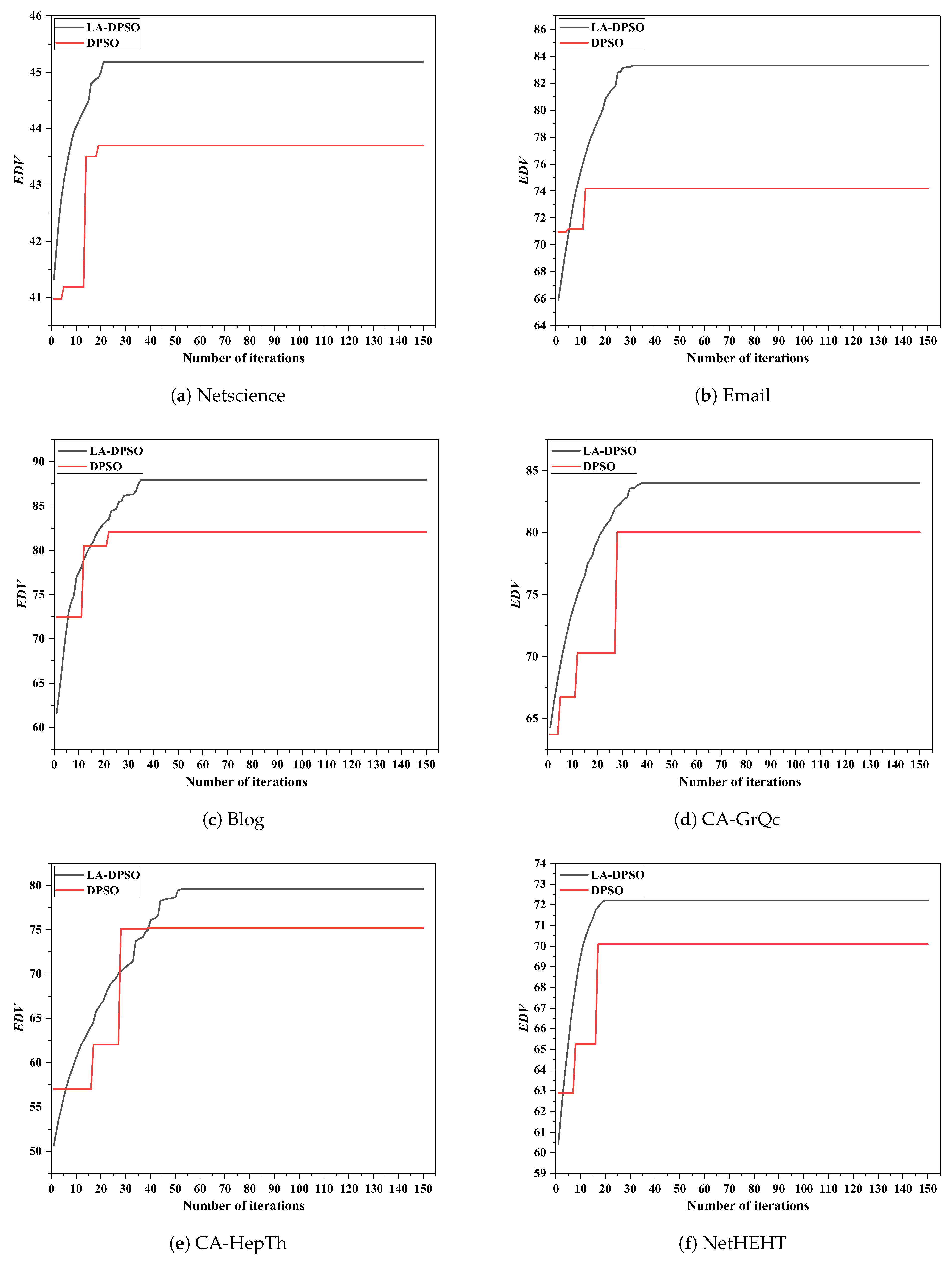
5.3.1. Ablation Study
5.3.2. Comparison on the Convergence Speed
5.3.3. Comparison on Influence Spread
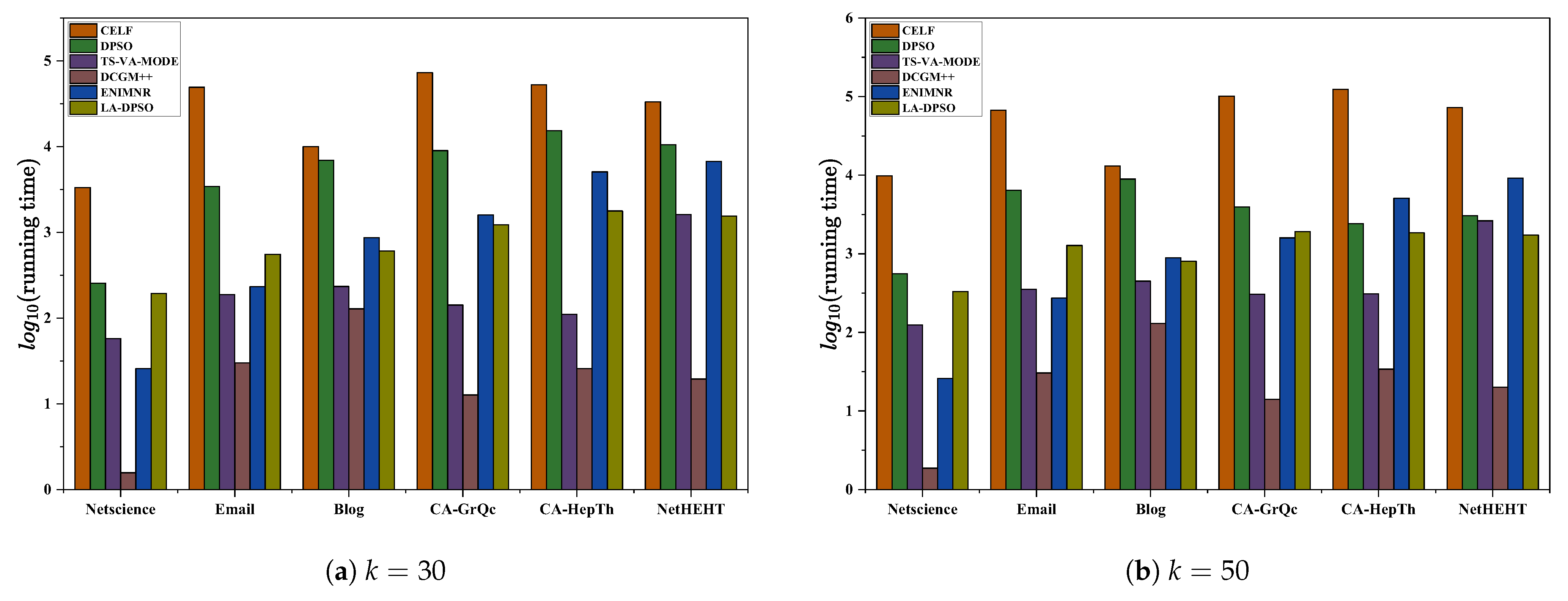
5.3.4. Comparison on Running Time
5.4. Statistical Tests
6. Conclusions
Author Contributions
Funding
Data Availability Statement
Conflicts of Interest
References
- Jaouadi, M.; Romdhane, L.B. A survey on influence maximization models. Expert Syst. Appl. 2024, 248, 123429. [Google Scholar] [CrossRef]
- Tavasoli, A.; Shakeri, H.; Ardjmand, E.; Young, W.A., II. Incentive rate determination in viral marketing. Eur. J. Oper. Res. 2021, 289, 1169–1187. [Google Scholar] [CrossRef]
- Peng, Y.; Zhao, Y.; Hu, J. On the role of community structure in evolution of opinion formation: A new bounded confidence opinion dynamics. Inf. Sci. 2023, 621, 672–690. [Google Scholar] [CrossRef]
- Zhong, X.; Yang, Y.; Deng, F.; Liu, G. Rumor propagation control with anti-rumor mechanism and intermittent control strategies. IEEE Trans. Comput. Soc. Syst. 2023, 11, 2397–2409. [Google Scholar] [CrossRef]
- Kempe, D.; Kleinberg, J.; Tardos, É. Maximizing the spread of influence through a social network. In Proceedings of the Ninth ACM SIGKDD International Conference on Knowledge Discovery and Data Mining, Washington, DC, USA, 24–27 August 2003; pp. 137–146. [Google Scholar]
- Leskovec, J.; Krause, A.; Guestrin, C.; Faloutsos, C.; VanBriesen, J.; Glance, N. Cost-effective outbreak detection in networks. In Proceedings of the 13th ACM SIGKDD International Conference on Knowledge Discovery and Data Mining, San Jose, CA, USA, 12–15 August 2007; pp. 420–429. [Google Scholar]
- Goyal, A.; Lu, W.; Lakshmanan, L.V. Celf++ optimizing the greedy algorithm for influence maximization in social networks. In Proceedings of the 20th International Conference Companion on World Wide Web, Hyderabad, India, 28 March–1 April 2011; pp. 47–48. [Google Scholar]
- Zhang, K.; Zhou, Y.; Long, H.; Wang, C.; Hong, H.; Armaghan, S.M. Towards identifying influential nodes in complex networks using semi-local centrality metrics. J. King Saud. Univ. Comput. Inf. Sci. 2023, 35, 101798. [Google Scholar] [CrossRef]
- Chen, D.; Su, H. Identification of influential nodes in complex networks with degree and average neighbor degree. IEEE J. Emerg. Sel. Top. Circuits Syst. 2023, 13, 734–742. [Google Scholar] [CrossRef]
- Gong, M.; Yan, J.; Shen, B.; Ma, L.; Cai, Q. Influence maximization in social networks based on discrete particle swarm optimization. Inf. Sci. 2016, 367, 600–614. [Google Scholar] [CrossRef]
- Li, H.; Zhang, R.; Zhao, Z.; Liu, X.; Yuan, Y. Identification of top-k influential nodes based on discrete crow search algorithm optimization for influence maximization. Appl. Intell. 2021, 51, 7749–7765. [Google Scholar] [CrossRef]
- Khatri, I.; Choudhry, A.; Rao, A.; Tyagi, A.; Vishwakarma, D.K.; Prasad, M. Influence Maximization in social networks using discretized Harris’ Hawks Optimization algorithm. Appl. Soft Comput. 2023, 149, 111037. [Google Scholar] [CrossRef]
- Zhu, E.; Wang, H.; Zhang, Y.; Zhang, K.; Liu, C. PHEE: Identifying influential nodes in social networks with a phased evaluation-enhanced search. Neurocomputing 2024, 572, 127195. [Google Scholar] [CrossRef]
- Wright, S. The Roles of Mutation, Inbreeding, Crossbreeding, and Selection in Evolution. 1932. Available online: http://www.esp.org/books/6th-congress/facsimile/contents/6th-cong-p356-wright.pdf (accessed on 5 March 2025).
- Zou, F.; Chen, D.; Liu, H.; Cao, S.; Ji, X.; Zhang, Y. A survey of fitness landscape analysis for optimization. Neurocomputing 2022, 503, 129–139. [Google Scholar] [CrossRef]
- Lu, W.X.; Zhou, C.; Wu, J. Big social network influence maximization via recursively estimating influence spread. Knowl. Based Syst. 2016, 113, 143–154. [Google Scholar] [CrossRef]
- Lozano-Osorio, I.; Sánchez-Oro, J.; Duarte, A.; Cordón, Ó. A quick GRASP-based method for influence maximization in social networks. J. Ambient Intell. Humaniz. Comput. 2023, 14, 3767–3779. [Google Scholar] [CrossRef]
- Singh, S.S.; Srivastva, D.; Verma, M.; Singh, J. Influence maximization frameworks, performance, challenges and directions on social network: A theoretical study. J. King. Saud. Univ. Comput. Inf. Sci. 2022, 34, 7570–7603. [Google Scholar] [CrossRef]
- Yang, P.L.; Xu, G.Q.; Yu, Q.; Guo, J.W. An adaptive heuristic clustering algorithm for influence maximization in complex networks. Chaos Interdiscip. J. Nonlinear Sci. 2020, 30, 093106. [Google Scholar] [CrossRef]
- Li, W.; Zhong, K.; Wang, J.; Chen, D. A dynamic algorithm based on cohesive entropy for influence maximization in social networks. Expert Syst. Appl. 2021, 169, 114207. [Google Scholar] [CrossRef]
- Kianian, S.; Rostamnia, M. An efficient path-based approach for influence maximization in social networks. Expert Syst. Appl. 2021, 167, 114168. [Google Scholar] [CrossRef]
- Xiao, Y.; Chen, Y.; Zhang, H.; Zhu, X.; Yang, Y.; Zhu, X. A new semi-local centrality for identifying influential nodes based on local average shortest path with extended neighborhood. Artif. Intell. Rev. 2024, 57, 115. [Google Scholar] [CrossRef]
- Rao, K.V.; Chowdary, C.R. CBIM: Community-based influence maximization in multilayer networks. Inf. Sci. 2022, 609, 578–594. [Google Scholar]
- Bouyer, A.; Beni, H.A.; Arasteh, B.; Aghaee, Z.; Ghanbarzadeh, R. FIP: A fast overlapping community-based Influence Maximization Algorithm using probability coefficient of global diffusion in social networks. Expert Syst. Appl. 2023, 213, 118869. [Google Scholar] [CrossRef]
- Liu, X.; Ye, S.; Fiumara, G.; De Meo, P. Influence nodes identifying method via community-based backward generating network framework. IEEE Trans. Netw. Sci. Eng. 2023, 11, 236–253. [Google Scholar] [CrossRef]
- Ma, K.; Xu, X.; Yang, H.; Cao, R.; Zhang, L. Fair Influence Maximization in Social Networks: A Community-Based Evolutionary Algorithm. IEEE Trans. Emerg. Top. Comput. 2024, 13, 262–275. [Google Scholar] [CrossRef]
- Li, H.; Xu, M.; Bhowmick, S.S.; Rayhan, J.S.; Sun, C.; Cui, J. PIANO: Influence maximization meets deep reinforcement learning. IEEE Trans. Comput. Soc. Syst. 2022, 10, 1288–1300. [Google Scholar] [CrossRef]
- Kumar, S.; Mallik, A.; Khetarpal, A.; Panda, B.S. Influence maximization in social networks using graph embedding and graph neural network. Inf. Sci. 2022, 607, 1617–1636. [Google Scholar] [CrossRef]
- Kumar, S.; Mallik, A.; Panda, B. Influence maximization in social networks using transfer learning via graph-based LSTM. Expert Syst. Appl. 2023, 212, 118770. [Google Scholar] [CrossRef]
- Tang, J.; Qu, J.; Song, S.; Zhao, Z.; Du, Q. GCNT: Identify influential seed set effectively in social networks by integrating graph convolutional networks with graph transformers. J. King. Saud. Univ. Comput. Inf. Sci. 2024, 36, 102183. [Google Scholar] [CrossRef]
- Li, Y.; Lu, T.; Li, W.; Zhang, P. HCCKshell: A heterogeneous cross-comparison improved Kshell algorithm for Influence Maximization. Infor. Process. Manag. 2024, 61, 103681. [Google Scholar] [CrossRef]
- Tang, J.; Zhang, R.; Yao, Y.; Zhao, Z.; Wang, P.; Li, H.; Yuan, J. Maximizing the spread of influence via the collective intelligence of discrete bat algorithm. Knowl. Based Syst. 2018, 160, 88–103. [Google Scholar] [CrossRef]
- Biswas, T.K.; Abbasi, A.; Chakrabortty, R.K. A two-stage VIKOR assisted multi-operator differential evolution approach for Influence Maximization in social networks. Expert Syst. Appl. 2022, 192, 116342. [Google Scholar] [CrossRef]
- Li, W.; Hu, Y.; Jiang, C.; Wu, S.; Bai, Q.; Lai, E. ABEM: An adaptive agent-based evolutionary approach for influence maximization in dynamic social networks. Appl. Soft Comput. 2023, 136, 110062. [Google Scholar] [CrossRef]
- Wang, L.; Ma, L.; Wang, C.; Xie, N.G.; Koh, J.M.; Cheong, K.H. Identifying influential spreaders in social networks through discrete moth-flame optimization. IEEE Trans. Evolut. Comput. 2021, 25, 1091–1102. [Google Scholar] [CrossRef]
- Cui, L.; Hu, H.; Yu, S.; Yan, Q.; Ming, Z.; Wen, Z.; Lu, N. DDSE: A novel evolutionary algorithm based on degree-descending search strategy for influence maximization in social networks. J. Netw. Comput. Appl. 2018, 103, 119–130. [Google Scholar] [CrossRef]
- Fang, J.; Liu, H.L.; Gu, F. A constrained multi-objective evolutionary algorithm based on fitness landscape indicator. Appl. Soft Comput. 2024, 166, 112128. [Google Scholar] [CrossRef]
- Malan, K.M.; Engelbrecht, A.P. Quantifying ruggedness of continuous landscapes using entropy. In Proceedings of the 2009 IEEE Congress on Evolutionary Computation, Trondheim, Norway, 18–21 May 2009; pp. 1440–1447. [Google Scholar]
- Zhao, F.; Ji, F.; Xu, T.; Zhu, N. Hierarchical parallel search with automatic parameter configuration for particle swarm optimization. Appl. Soft Comput. 2024, 151, 111126. [Google Scholar] [CrossRef]
- Koyuncuoğlu, M.U.; Demir, L. An adaptive hybrid variable-large neighborhood search algorithm for profit maximization problem in designing production lines. Comput. Ind. Eng. 2023, 175, 108871. [Google Scholar] [CrossRef]
- Wei, P.; Zhou, J.; Yan, B.; Zeng, Y. ENIMNR: Enhanced node influence maximization through node representation in social networks. Chaos Solitons Fract. 2024, 186, 115192. [Google Scholar] [CrossRef]






| ID | Networks | ||||
|---|---|---|---|---|---|
| 1 | NetScience | 379 | 914 | 4.82 | 0.74 |
| 2 | 1133 | 5451 | 9.62 | 0.22 | |
| 3 | Blog | 3982 | 6803 | 3.42 | 0.28 |
| 4 | CA-GrQc | 5242 | 14,496 | 5.53 | 0.53 |
| 5 | CA-HepTh | 9877 | 25,998 | 5.26 | 0.47 |
| 6 | NetHEHT | 15,229 | 31,376 | 4.12 | 0.50 |
| Number | w | NetScience | Blog | CA-GrQc | CA-HepTh | NetHEHT | |||||
|---|---|---|---|---|---|---|---|---|---|---|---|
| 1 | 5 | 10 | 0.2 | 1.2 | 1.2 | 45.065 | 145.116 | 96.096 | 161.043 | 181.960 | 195.630 |
| 2 | 5 | 20 | 0.6 | 1.8 | 2.0 | 44.518 | 146.696 | 97.600 | 162.499 | 184.042 | 197.906 |
| 3 | 5 | 30 | 1.0 | 1.4 | 1.8 | 45.251 | 147.405 | 97.528 | 163.687 | 185.216 | 198.949 |
| 4 | 5 | 40 | 0.4 | 2.0 | 1.6 | 45.126 | 147.494 | 98.029 | 164.818 | 185.671 | 200.093 |
| 5 | 5 | 50 | 0.8 | 1.6 | 1.4 | 45.458 | 147.500 | 98.075 | 166.025 | 185.913 | 201.024 |
| 6 | 50 | 10 | 1.0 | 1.8 | 1.6 | 45.851 | 147.655 | 98.089 | 165.613 | 186.352 | 200.568 |
| 7 | 50 | 20 | 0.4 | 1.4 | 1.4 | 45.407 | 149.046 | 99.229 | 165.319 | 186.619 | 200.189 |
| 8 | 50 | 30 | 0.8 | 2.0 | 1.2 | 46.475 | 148.351 | 98.341 | 165.334 | 186.535 | 200.263 |
| 9 | 50 | 40 | 0.2 | 1.6 | 2.0 | 46.617 | 148.663 | 98.352 | 165.593 | 186.388 | 200.383 |
| 10 | 50 | 50 | 0.6 | 1.2 | 1.8 | 46.714 | 148.932 | 98.459 | 165.513 | 186.835 | 200.589 |
| 11 | 100 | 10 | 0.8 | 1.4 | 2.0 | 46.896 | 148.787 | 100.344 | 165.476 | 185.443 | 199.950 |
| 12 | 100 | 20 | 0.2 | 2.0 | 1.8 | 47.150 | 148.996 | 100.615 | 166.650 | 186.852 | 200.380 |
| 13 | 100 | 30 | 0.6 | 1.6 | 1.6 | 47.218 | 149.069 | 100.399 | 166.734 | 186.723 | 200.527 |
| 14 | 100 | 40 | 1.0 | 1.2 | 1.4 | 48.593 | 149.191 | 101.028 | 166.975 | 186.843 | 201.167 |
| 15 | 100 | 50 | 0.4 | 1.8 | 1.2 | 48.533 | 149.289 | 101.048 | 166.165 | 187.183 | 201.493 |
| 16 | 150 | 10 | 0.6 | 2.0 | 1.4 | 48.597 | 148.192 | 100.093 | 166.107 | 187.352 | 202.126 |
| 17 | 150 | 20 | 1.0 | 1.6 | 1.2 | 48.949 | 148.327 | 102.046 | 167.382 | 187.711 | 201.660 |
| 18 | 150 | 30 | 0.4 | 1.2 | 2.0 | 49.549 | 150.198 | 103.035 | 167.562 | 187.813 | 202.983 |
| 19 | 150 | 40 | 0.8 | 1.8 | 1.8 | 50.078 | 150.276 | 103.030 | 167.997 | 186.837 | 203.011 |
| 20 | 150 | 50 | 0.2 | 1.4 | 1.6 | 49.744 | 150.198 | 102.999 | 166.959 | 186.801 | 203.035 |
| 21 | 200 | 10 | 0.4 | 1.6 | 1.8 | 47.951 | 149.060 | 99.966 | 165.111 | 186.929 | 200.064 |
| 22 | 200 | 20 | 0.8 | 1.2 | 1.6 | 47.921 | 149.426 | 100.354 | 166.080 | 186.952 | 201.698 |
| 23 | 200 | 30 | 0.2 | 1.8 | 1.4 | 48.445 | 149.513 | 100.410 | 166.184 | 187.045 | 201.833 |
| 24 | 200 | 40 | 0.6 | 1.4 | 1.2 | 47.460 | 148.643 | 100.119 | 165.541 | 185.925 | 201.221 |
| 25 | 200 | 50 | 1.0 | 2.0 | 2.0 | 47.191 | 149.113 | 100.063 | 165.101 | 185.026 | 201.033 |
| Number | w | NetScience | Blog | CA-GrQc | CA-HepTh | NetHEHT | |||||
|---|---|---|---|---|---|---|---|---|---|---|---|
| 1 | 5 | 10 | 0.2 | 1.2 | 1.2 | 1.037 | 2.315 | 2.999 | 2.817 | 1.537 | 1.146 |
| 2 | 5 | 20 | 0.6 | 1.8 | 2.0 | 1.401 | 2.446 | 2.211 | 3.024 | 1.475 | 2.606 |
| 3 | 5 | 30 | 1.0 | 1.4 | 1.8 | 1.528 | 3.386 | 2.510 | 2.785 | 4.036 | 2.706 |
| 4 | 5 | 40 | 0.4 | 2.0 | 1.6 | 1.103 | 1.692 | 2.782 | 3.181 | 3.109 | 1.294 |
| 5 | 5 | 50 | 0.8 | 1.6 | 1.4 | 1.536 | 2.754 | 2.631 | 3.730 | 3.042 | 2.242 |
| 6 | 50 | 10 | 1.0 | 1.8 | 1.6 | 1.421 | 2.635 | 2.927 | 2.654 | 2.365 | 1.436 |
| 7 | 50 | 20 | 0.4 | 1.4 | 1.4 | 1.123 | 1.574 | 2.851 | 2.183 | 2.821 | 4.090 |
| 8 | 50 | 30 | 0.8 | 2.0 | 1.2 | 0.978 | 1.049 | 1.077 | 1.702 | 2.012 | 3.283 |
| 9 | 50 | 40 | 0.2 | 1.6 | 2.0 | 1.502 | 2.386 | 2.253 | 1.724 | 3.038 | 2.863 |
| 10 | 50 | 50 | 0.6 | 1.2 | 1.8 | 1.366 | 2.832 | 1.587 | 2.085 | 2.707 | 3.755 |
| 11 | 100 | 10 | 0.8 | 1.4 | 2.0 | 1.197 | 1.232 | 2.204 | 1.895 | 2.633 | 2.288 |
| 12 | 100 | 20 | 0.2 | 2.0 | 1.8 | 1.395 | 2.242 | 1.862 | 1.445 | 3.310 | 2.120 |
| 13 | 100 | 30 | 0.6 | 1.6 | 1.6 | 0.320 | 0.741 | 1.466 | 0.719 | 2.381 | 0.448 |
| 14 | 100 | 40 | 1.0 | 1.2 | 1.4 | 0.213 | 0.547 | 1.675 | 0.697 | 2.091 | 1.942 |
| 15 | 100 | 50 | 0.4 | 1.8 | 1.2 | 0.293 | 1.240 | 0.373 | 0.582 | 0.624 | 1.167 |
| 16 | 150 | 10 | 0.6 | 2.0 | 1.4 | 0.214 | 0.577 | 0.646 | 0.438 | 0.493 | 0.432 |
| 17 | 150 | 20 | 1.0 | 1.6 | 1.2 | 0.244 | 0.888 | 0.781 | 0.536 | 0.668 | 0.937 |
| 18 | 150 | 30 | 0.4 | 1.2 | 2.0 | 0.208 | 0.494 | 0.641 | 0.262 | 0.457 | 0.944 |
| 19 | 150 | 40 | 0.8 | 1.8 | 1.8 | 0.210 | 0.389 | 0.335 | 0.337 | 0.251 | 1.216 |
| 20 | 150 | 50 | 0.2 | 1.4 | 1.6 | 0.234 | 0.398 | 0.453 | 0.452 | 0.257 | 1.277 |
| 21 | 200 | 10 | 0.4 | 1.6 | 1.8 | 0.258 | 1.177 | 0.396 | 0.280 | 0.488 | 0.912 |
| 22 | 200 | 20 | 0.8 | 1.2 | 1.6 | 0.292 | 0.600 | 0.531 | 0.412 | 0.439 | 0.441 |
| 23 | 200 | 30 | 0.2 | 1.8 | 1.4 | 0.232 | 0.742 | 0.699 | 0.576 | 0.368 | 0.616 |
| 24 | 200 | 40 | 0.6 | 1.4 | 1.2 | 0.330 | 0.417 | 1.151 | 0.492 | 0.810 | 0.659 |
| 25 | 200 | 50 | 1.0 | 2.0 | 2.0 | 0.349 | 1.323 | 1.122 | 0.473 | 0.504 | 0.707 |
| CELF | DPSO | TS_VA_MODE | ||||||||
|---|---|---|---|---|---|---|---|---|---|---|
| Network | Mean | SD | Max | Mean | SD | Max | Mean | SD | Max | |
| 10 | 21.773 | 0.060 | 21.857 | 20.160 | 1.428 | 22.872 | 19.060 | 2.273 | 22.462 | |
| 20 | 37.875 | 0.053 | 37.950 | 34.222 | 1.687 | 36.595 | 33.032 | 2.530 | 36.738 | |
| Netscience | 30 | 51.462 | 0.051 | 51.550 | 46.553 | 1.491 | 48.960 | 45.066 | 2.136 | 48.353 |
| 40 | 64.038 | 0.057 | 64.130 | 60.960 | 1.471 | 63.344 | 59.703 | 2.490 | 63.011 | |
| 50 | 75.936 | 0.058 | 76.011 | 73.064 | 1.618 | 75.431 | 72.057 | 2.255 | 75.754 | |
| 10 | 89.630 | 0.062 | 89.735 | 83.335 | 1.540 | 85.547 | 87.715 | 2.145 | 91.664 | |
| 20 | 123.504 | 0.058 | 123.596 | 110.755 | 1.486 | 112.943 | 121.989 | 2.412 | 125.529 | |
| 30 | 149.429 | 0.062 | 149.518 | 133.205 | 1.450 | 135.503 | 147.766 | 2.259 | 151.031 | |
| 40 | 168.807 | 0.065 | 168.898 | 156.555 | 1.393 | 159.105 | 166.944 | 2.400 | 170.420 | |
| 50 | 187.997 | 0.159 | 188.414 | 174.407 | 1.449 | 177.059 | 183.002 | 1.950 | 186.636 | |
| 10 | 55.191 | 0.051 | 55.286 | 48.644 | 1.571 | 51.215 | 48.158 | 2.169 | 51.633 | |
| 20 | 88.598 | 0.053 | 88.685 | 73.516 | 1.348 | 75.746 | 69.874 | 1.765 | 73.343 | |
| Blog | 30 | 116.510 | 0.060 | 116.599 | 94.703 | 1.397 | 97.062 | 88.202 | 2.027 | 92.009 |
| 40 | 141.814 | 0.062 | 141.908 | 115.753 | 1.250 | 118.016 | 101.634 | 2.205 | 105.925 | |
| 50 | 164.787 | 0.161 | 164.991 | 125.691 | 1.332 | 128.012 | 118.806 | 2.227 | 122.176 | |
| 10 | 153.595 | 0.003 | 153.783 | 123.627 | 1.838 | 126.593 | 75.453 | 2.525 | 80.068 | |
| 20 | 190.492 | 0.102 | 190.647 | 134.428 | 2.434 | 138.034 | 86.669 | 3.043 | 91.329 | |
| CA-GrQc | 30 | 220.964 | 0.106 | 221.161 | 153.496 | 1.921 | 156.546 | 116.426 | 2.888 | 121.246 |
| 40 | 242.715 | 0.106 | 242.904 | 167.015 | 2.176 | 170.532 | 136.232 | 3.064 | 140.690 | |
| 50 | 271.175 | 0.106 | 271.367 | 203.875 | 1.892 | 207.210 | 151.902 | 3.141 | 157.217 | |
| 10 | 103.093 | 0.025 | 103.275 | 82.444 | 2.160 | 86.001 | 37.061 | 3.241 | 42.211 | |
| 20 | 160.491 | 0.111 | 160.673 | 140.166 | 1.982 | 143.333 | 64.676 | 3.115 | 68.696 | |
| CA-HepTh | 30 | 204.406 | 0.114 | 204.546 | 173.207 | 2.042 | 176.208 | 101.849 | 2.781 | 106.482 |
| 40 | 242.115 | 0.101 | 242.288 | 196.222 | 1.884 | 199.212 | 122.978 | 3.006 | 126.936 | |
| 50 | 274.074 | 0.199 | 274.561 | 234.062 | 1.856 | 237.918 | 163.398 | 2.876 | 168.003 | |
| 10 | 107.151 | 0.109 | 107.358 | 91.591 | 2.045 | 95.359 | 90.153 | 2.673 | 94.540 | |
| 20 | 160.247 | 0.116 | 160.432 | 129.159 | 2.114 | 133.020 | 139.327 | 2.982 | 144.211 | |
| NetHEHT | 30 | 205.017 | 0.134 | 205.218 | 165.761 | 1.999 | 169.923 | 195.416 | 2.872 | 199.742 |
| 40 | 237.770 | 0.112 | 237.936 | 199.913 | 2.336 | 203.515 | 227.393 | 2.873 | 231.906 | |
| 50 | 267.914 | 0.114 | 268.104 | 220.307 | 1.994 | 222.977 | 255.084 | 2.510 | 259.009 | |
| DCGM++ | ENIMNR | LA-DPSO | ||||||||
|---|---|---|---|---|---|---|---|---|---|---|
| Network | Mean | SD | Max | Mean | SD | Max | Mean | SD | Max | |
| 10 | 21.097 | 0.097 | 21.297 | 14.972 | 2.104 | 18.307 | 20.980 | 0.241 | 21.378 | |
| 20 | 32.679 | 0.096 | 32.809 | 27.735 | 1.817 | 30.947 | 35.158 | 0.277 | 35.485 | |
| Netscience | 30 | 46.068 | 0.118 | 46.296 | 37.555 | 2.081 | 40.294 | 47.861 | 0.192 | 48.199 |
| 40 | 58.449 | 0.126 | 58.638 | 47.814 | 1.812 | 51.688 | 61.698 | 0.203 | 62.137 | |
| 50 | 69.227 | 0.114 | 69.426 | 59.141 | 2.290 | 62.600 | 74.960 | 0.190 | 75.394 | |
| 10 | 86.724 | 0.119 | 86.943 | 85.375 | 1.997 | 88.384 | 85.897 | 0.226 | 86.265 | |
| 20 | 116.540 | 0.092 | 116.701 | 112.918 | 1.868 | 116.821 | 121.916 | 0.238 | 122.283 | |
| 30 | 139.937 | 0.109 | 140.141 | 138.641 | 2.006 | 141.708 | 148.932 | 0.240 | 149.339 | |
| 40 | 158.126 | 0.113 | 158.326 | 157.798 | 1.926 | 161.802 | 168.550 | 0.222 | 168.972 | |
| 50 | 173.786 | 0.125 | 173.985 | 171.678 | 2.041 | 174.866 | 188.135 | 0.259 | 188.514 | |
| 10 | 47.180 | 0.112 | 47.366 | 43.124 | 1.784 | 46.508 | 50.006 | 0.232 | 50.359 | |
| 20 | 64.575 | 0.130 | 64.746 | 59.385 | 2.207 | 63.012 | 74.052 | 0.222 | 74.507 | |
| Blog | 30 | 80.978 | 0.130 | 81.148 | 70.176 | 2.231 | 73.934 | 99.836 | 0.220 | 100.279 |
| 40 | 94.632 | 0.116 | 94.793 | 83.857 | 2.025 | 87.005 | 126.186 | 0.222 | 126.583 | |
| 50 | 112.765 | 0.116 | 112.955 | 95.143 | 1.964 | 98.536 | 136.675 | 0.197 | 137.057 | |
| 10 | 75.404 | 0.325 | 75.927 | 75.027 | 2.560 | 79.879 | 127.327 | 0.432 | 127.970 | |
| 20 | 87.490 | 0.342 | 88.079 | 88.205 | 2.825 | 92.389 | 139.428 | 0.340 | 140.096 | |
| CA-GrQc | 30 | 99.269 | 0.380 | 99.856 | 123.039 | 2.287 | 127.338 | 165.897 | 0.394 | 166.617 |
| 40 | 115.695 | 0.288 | 116.248 | 135.490 | 3.057 | 140.131 | 186.401 | 0.439 | 187.076 | |
| 50 | 128.132 | 0.363 | 128.704 | 144.075 | 2.812 | 147.969 | 223.293 | 0.403 | 223.779 | |
| 10 | 91.570 | 0.353 | 92.198 | 28.465 | 2.797 | 32.612 | 93.235 | 0.207 | 93.701 | |
| 20 | 129.354 | 0.380 | 129.910 | 44.825 | 2.504 | 49.003 | 135.327 | 0.356 | 136.050 | |
| CA-HepTh | 30 | 181.726 | 0.385 | 182.228 | 79.812 | 2.385 | 84.394 | 186.424 | 0.515 | 187.113 |
| 40 | 209.922 | 0.310 | 210.545 | 96.093 | 2.536 | 101.100 | 211.692 | 0.365 | 212.532 | |
| 50 | 235.687 | 0.314 | 236.177 | 152.718 | 2.627 | 156.991 | 244.504 | 0.414 | 245.100 | |
| 10 | 92.091 | 0.309 | 92.638 | 80.690 | 2.655 | 84.140 | 99.140 | 0.264 | 99.735 | |
| 20 | 135.330 | 0.378 | 135.889 | 92.171 | 2.943 | 96.149 | 148.537 | 0.365 | 149.129 | |
| NetHEHT | 30 | 160.538 | 0.320 | 161.173 | 108.008 | 2.673 | 112.294 | 200.148 | 0.418 | 200.736 |
| 40 | 192.992 | 0.403 | 193.590 | 152.413 | 2.577 | 156.275 | 230.193 | 0.380 | 230.767 | |
| 50 | 227.806 | 0.320 | 228.370 | 189.976 | 2.250 | 193.943 | 265.507 | 0.372 | 266.146 | |
| LA-DPSO | k | Z | p-Value | ||
|---|---|---|---|---|---|
| vs. | |||||
| 10 | 6 | 0 | −2.201 | 0.028 | |
| 20 | 6 | 0 | −2.201 | 0.028 | |
| CELF | 30 | 6 | 0 | −2.201 | 0.028 |
| 40 | 6 | 0 | −2.201 | 0.028 | |
| 50 | 5 | 1 | −1.992 | 0.046 | |
| 10 | 0 | 6 | −2.201 | 0.028 | |
| 20 | 0 | 6 | −2.201 | 0.028 | |
| DPSO | 30 | 0 | 6 | −2.201 | 0.028 |
| 40 | 0 | 6 | −2.201 | 0.028 | |
| 50 | 0 | 6 | −2.201 | 0.028 | |
| 10 | 2 | 4 | −1.572 | 0.116 | |
| 20 | 2 | 4 | −1.572 | 0.116 | |
| TS-VA-MODE | 30 | 0 | 6 | −2.201 | 0.028 |
| 40 | 0 | 6 | −2.201 | 0.028 | |
| 50 | 0 | 6 | −2.201 | 0.028 | |
| 10 | 1 | 5 | −1.992 | 0.046 | |
| 20 | 1 | 5 | −1.992 | 0.046 | |
| DCGM++ | 30 | 0 | 6 | −2.201 | 0.028 |
| 40 | 0 | 6 | −2.201 | 0.028 | |
| 50 | 0 | 6 | −2.201 | 0.028 | |
| 10 | 0 | 6 | −2.201 | 0.028 | |
| 20 | 0 | 6 | −2.201 | 0.028 | |
| ENIMNR | 30 | 0 | 6 | −2.201 | 0.028 |
| 40 | 0 | 6 | −2.201 | 0.028 | |
| 50 | 0 | 6 | −2.201 | 0.028 |
Disclaimer/Publisher’s Note: The statements, opinions and data contained in all publications are solely those of the individual author(s) and contributor(s) and not of MDPI and/or the editor(s). MDPI and/or the editor(s) disclaim responsibility for any injury to people or property resulting from any ideas, methods, instructions or products referred to in the content. |
© 2025 by the authors. Licensee MDPI, Basel, Switzerland. This article is an open access article distributed under the terms and conditions of the Creative Commons Attribution (CC BY) license (https://creativecommons.org/licenses/by/4.0/).
Share and Cite
Chai, B.; Fu, J.; Zhang, R.; Tang, J. A Landscape-Aware Discrete Particle Swarm Optimization for the Influence Maximization Problem in Social Networks. Symmetry 2025, 17, 435. https://doi.org/10.3390/sym17030435
Chai B, Fu J, Zhang R, Tang J. A Landscape-Aware Discrete Particle Swarm Optimization for the Influence Maximization Problem in Social Networks. Symmetry. 2025; 17(3):435. https://doi.org/10.3390/sym17030435
Chicago/Turabian StyleChai, Baoqiang, Jiaqiang Fu, Ruisheng Zhang, and Jianxin Tang. 2025. "A Landscape-Aware Discrete Particle Swarm Optimization for the Influence Maximization Problem in Social Networks" Symmetry 17, no. 3: 435. https://doi.org/10.3390/sym17030435
APA StyleChai, B., Fu, J., Zhang, R., & Tang, J. (2025). A Landscape-Aware Discrete Particle Swarm Optimization for the Influence Maximization Problem in Social Networks. Symmetry, 17(3), 435. https://doi.org/10.3390/sym17030435
