Next Article in Journal
Enumeration of n-Dimensional Hypercubes, Icosahedra, Rubik’s Cube Dice, Colorings, Chirality, and Encryptions Based on Their Symmetries
Previous Article in Journal
Oscillatory Properties of Second-Order Differential Equations with Advanced Arguments in the Noncanonical Case
 
 
Font Type:
Arial Georgia Verdana
Font Size:
Aa Aa Aa
Line Spacing:
Column Width:
Background:
Article

Effect of Orbital Symmetry on Time–Energy Distributions of F Ions in the Attoclock Scheme

1
School of Electronic Engineering, Lanzhou City University, Lanzhou 730070, China
2
Key Laboratory of Atomic and Molecular Physics and Functional Materials of Gansu Province, College of Physics and Electronic Engineering, Northwest Normal University, Lanzhou 730070, China
*
Author to whom correspondence should be addressed.
Symmetry 2024, 16(8), 1019; https://doi.org/10.3390/sym16081019
Submission received: 8 July 2024 / Revised: 1 August 2024 / Accepted: 5 August 2024 / Published: 9 August 2024
(This article belongs to the Section Physics)

Abstract

The mapping relation between the emission angle of the photoelectron and its ionization time (i.e., the angle–time mapping) is important for the attoclock measurement. For a long time, the angle–time mapping was assumed to be angularly uniform. Recent investigations have demonstrated that the angle–time mapping is discontinuous for the low-energy electron at the angle for the minimum yield. However, the previous results were interpreted based on the assumption of s-electron initial states for noble-gas atoms, and the effect of the initial orbital symmetry on the angle–time mapping has been rarely investigated. In this work, we investigate the influence of the initial orbital symmetry on time–energy distribution using F ions as a specific example. We demonstrate that the initial orbital symmetry significantly impacts the time–energy distribution. This behavior can be well explained by the saddle-point method. More interestingly, it is found that the angle–time mapping is strongly dependent on the initial orbital symmetry in the elliptically polarized laser field, especially for the low-energy electrons. Our work holds great significance for further developing the attoclock scheme.

1. Introduction

Advances in attosecond science have provided opportunities for probing the photoionization process of atoms and molecules on the most fundamental electronic time scale, i.e., attosecond time scale ( 1 as = 10 18 s ) [1]. The new experimental techniques include but are not limited to the attosecond streaking camera [2,3,4], reconstruction of attosecond beating by interference of two-photon transition [5], attosecond transient absorption spectroscopy [6], and the attoclock [7,8,9,10,11,12,13]. The attosecond scale temporal resolution of the electron dynamics can be easily achieved by the attoclock scheme [7,8]. Meanwhile, the attoclock was used to explore many important properties of the ionization process, such as tunneling time delay [7,8,9,10,11,12,13], electron ultrafast dynamics under the Coulomb barrier [14], and tunneling exit velocity [15,16,17,18,19].
In an attoclock setup, an elliptically polarized femtosecond laser pulse with a close-to-one ellipticity is used to ionize the atoms and molecules. Once the electron releases at the peak value of the electric field, the maximum of the photoelectron momentum distribution (PMD) coincides with the negative vector potential so that the ionization time can be directly mapped to the emission angle of photoelectrons in the polarization plane. The attoclock measurement is seriously dependent on the mapping relation between the photoelectron emission angle and the photoelectron tunneling time (i.e., the angle–time mapping). For a long time, the attoclock measurement has relied on an important assumption. It was assumed that the angle–time mapping is angularly uniform [7,8]. Recently, the phase-of-phase (POP) attoclock scheme has emerged [20,21,22,23], which combines the attoclock technique with two-color POP spectroscopy [24,25,26,27,28]. The POP attoclock has demonstrated that the angle–time mapping is not uniform for low-energy electrons at the angle for the minimum yield [20]. Most recently, Guo et al. experimentally confirmed this important effect in the attoclock scheme and delicately revealed the physics with a Wigner-distribution-like (WDL) function and saddle-point (SP) method [29].
However, attoclock typically uses noble-gas atoms as the experimental target, but most previous experimental results were interpreted based on the assumption of s-electron initial states for noble-gas atoms [29]. Recently, the important role of the atomic orbitals with different magnetic quantum numbers on the ionization induced by circularly or elliptically polarized laser pulse has been revealed [23,30,31,32,33,34,35,36,37,38,39]. It has been found that the strong-field ionization driven by circularly or elliptically polarized laser field is sensitive to the sign of the magnetic quantum number (i.e., orbital symmetry) [30,31,32,33,34]. Specifically, the electrons for the orbital m = 1 (or m = 1 ) are initially counter-rotating (or co-rotating) relative to the laser field. Both from theory [30] and experiment [38], it has been demonstrated that the counter-rotating electrons for m = 1 experienced tunneling ionization more easily than co-rotating electrons for m = 1 ; thus, the ionization yield for m = 1 is usually larger than that for m = 1 . In the experiment, the counter-rotating (or co-rotating) electrons can be prepared with a circularly polarized pump pulse, and a time-delayed elliptically polarized pulse is used to probe the ionization yield [38]. Therefore, for the atoms with p-electron initial states, it is necessary to identify the effect of the orbital symmetry on the angle–time mapping in the attoclock scheme.
On the other hand, the long-range Coulomb potential inside the neutral atoms plays an important role in the formation of the main structure of the PMD. The attoclock experiments unavoidably encounter challenges in disentangling the impact of the ionic Coulomb potential [30,31,32,33,34,35,36,37,38,39]. In this work, we propose the attoclock of F ions with p-electron initial states as an ideal platform to identify the effect of orbital symmetry on an angle–time mapping in the attoclock scheme, where the long-range Coulomb potential is intrinsically absent. Moreover, negative ions are also used as an ideal probe to explore the surface properties of materials [40]. It is worth mentioning that we recently investigated the effect of initial orbital symmetry on the ionization time based on a POP attoclock scheme [41]. The present work provides a solid verification and an important supplement for our recent work based on a POP attoclock scheme.
In this paper, based on the WDL function and SP method, we investigate the effect of initial orbital symmetry on the time–energy distribution of F ions in the attoclock scheme. We demonstrate that the structure and energy locations of the time–energy distribution strongly depend on the orbital symmetry. The dependence of the time–energy distribution on the orbital symmetry is well revealed by the SP method. In addition, we discuss the effect of the laser ellipticity on the angle–time mapping. Atomic units are used in this paper unless stated otherwise.

2. Theoretical Methods

Within the strong-field approximation (SFA) model, the direct transition amplitude from atomic or ionic ground state to Volkov state is given by [42]
M ( p ) = i p + A ( t ) | r E t | φ n l m ( r ) exp [ i S ( t ) ] d t
where E t = t A ( t ) is the laser electric field, A ( t ) is the vector potential, and φ n l m ( r ) is the hydrogen-like atomic wave function of the initial ground state in coordinate representation. Here n , l , and m are the principal, orbital, and magnetic quantum numbers, respectively. For F ions, the asymptotic form of the initial state function is given as [43]
φ n l m ( r ) r 1 B exp ( κ r ) r Y l m ( r ^ )
where κ = 2 I p and I p = 3.401 eV is the detachment potential. B is an asymptotic constant and Y l m ( r ^ ) is the spherical harmonics.
The classical action S ( t ) can be defined as follows:
S ( t ) = t 1 2 ( p + A ( t ) ) 2 + I p d t
In the attoclock scheme, the elliptically polarized laser electric field is expressed as follows:
E ( t ) = E 0 1 + ε 2 sin 2 ω t 2 n ε sin ( ω t ) x ^ + cos ( ω t ) y ^
where ω and E 0 are the angular frequency and the amplitude of the laser pulse, n is the number of optical cycles (o.c.), ε is the ellipticity, and x ^ and y ^ are the unit vectors of the laser polarization plane.
Usually, M ( p ) is obtained by numerically integrating over time. Then, the detachment probability of F ions can be obtained by P ( p ) = M ( p ) 2 . As is well known, the p-valence electron in the F ions has the orbital quantum number l = 1 , and there are three initial atomic orbitals, i.e., m = 0 ,   ± 1 [43,44]. The p state with m = 0 is not discussed since it is aligned perpendicular to the polarization plane and gives a negligible contribution to the detachment signal in the polarized plane [45].
Alternatively, M ( p ) can also be evaluated using the SP method. The initial states with m = ± 1 , M ( p ) can be given by the following [45,46]:
M ( p ) t s p x + A x ( t s ) ± i p y + A y ( t s ) exp ( i S ( t s ) ) i S ( t s ) ,
where “±” corresponds to the magnetic quantum numbers m = ± 1 . The saddle-point time t s is the root of the saddle-point equation ( p + A ( t s ) ) 2 + 2 I p = 0 . S ( t s ) is the second derivative of S ( t s ) . p x and p y are the components of the momentum vector p along x and y direction, respectively.
To obtain the time–energy distribution, we also use the Wigner-distribution-like (WDL) function as follows [29,47,48,49]:
f ( t , p ) = 1 π g * ( t + t , p ) g ( t t , p ) exp ( 2 i p 2 2 t ) d t
where
g ( t , p ) = i 2 π p + A ( t ) | r E ( t ) | φ n l m ( r ) V exp i t [ p A ( τ ) + A 2 ( τ ) 2 ] d τ + i I p t
and V is the normalization volume. In Equations (6) and (7), we transform the momentum vector p = ( p x , p y ) into the coordinate ( p 2 / 2 ,   θ ) by the relationship p 2 / 2 = p x 2 + p y 2 / 2 and θ = arctan ( p y / p x ) .
The relationship between the WDL function and the detachment probability is given as follows [29,47,48,49],
P ( p ) = f ( t , p ) d t

3. Numerical Results and Discussion

3.1. The Time–Energy Distributions for the Ellipticity of ε = 0.6

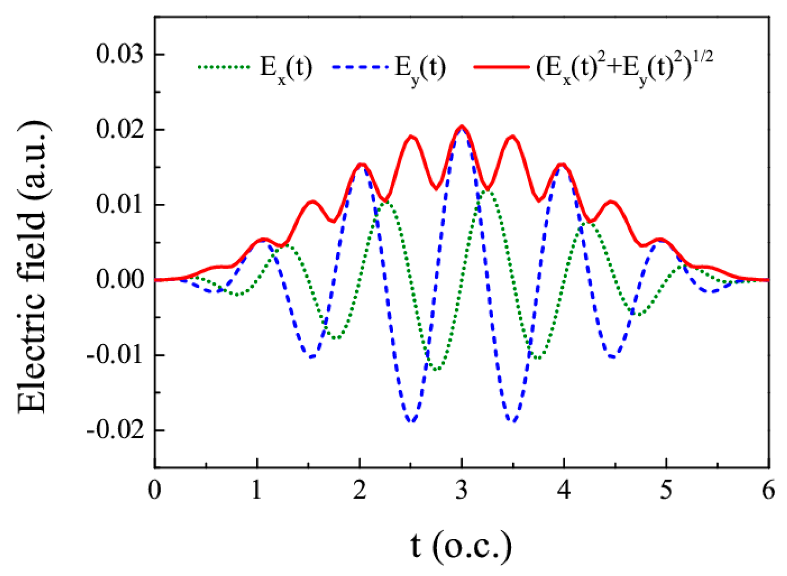
To study the time–energy distributions of F ions in the attoclock scheme, we take a 6-cycle elliptically polarized laser pulse with the intensity of 2 × 10 13   W / cm 2 and wavelength of 1500 nm. Correspondingly, the Keldysh parameter γ = 0.635 ; thus, the electronic detachment is in the tunneling ionization regime. For comparison with Ref. [29], we use laser ellipticity of ε = 0.6 in this subsection. Figure 1 shows the electric field of the 6-cycle elliptically polarized laser pulse with the ellipticity ε = 0.6 . As shown in Figure 1, the main peaks of the electric field appear at t = 2.5 o.c., 3.0 o.c., and 3.5 o.c. Around these moments, the electrons are released more probably.
First, we test the validity of the WDL function of Equation (6) by comparing it with the photoelectron energy spectra from the SFA calculation based on Equation (1). Figure 2 shows the orbital-resolved photoelectron energy spectra of F ions along the emission angles θ = 90 ° and θ = 180 ° , respectively. One can clearly see that the photoelectron energy spectra calculated with Equations (1) and (6) agree very well with each other. Overall, the energy spectra in Figure 2 are characterized by peaks separated by one photon energy, which results from the interference between wave packets emitted at time intervals separated by at least a single laser cycle (so-called inter-cycle interference) [50]. In addition, there are two striking features in Figure 2: (i) the locations of the energy peaks dramatically depend on the atomic orbital and (ii) the orbital symmetry also affects the shape of the photoelectron energy spectra.
In the following, we investigate the effect of orbital symmetry on the WDL distribution. For clarity, our analysis based on WDL distribution is performed in the temporal range of 2.4   o . c   < t < 3.6   o . c . , which is located around the main peaks of the laser pulse. In Figure 3, we present the orbital-resolved WDL distribution at the angles of θ = 90 ° and θ = 180 ° , respectively. Overall, one can clearly see that the structure and energy locations of the WDL distributions strongly depend on the orbital symmetry.
Figure 3a,b shows the WDL distribution for the atomic orbital m = 1 . In Figure 3a, the WDL distribution consists of two fork structures. The first fork structure is symmetric about t = 3.25   o . c . , whose magnitude is larger than one. The second fork structure is symmetric about t = 2.75   o . c . , which is separated into many segments by the positive maxima and negative maxima. Further careful inspection shows that the positive maxima and negative maxima correspond to the peaks and dips in the energy spectrum shown in Figure 2a, respectively. As mentioned earlier, the structure of the energy spectrum in Figure 2a results from the inter-cycle interference. It suggests that the segmented behavior of the second fork structure originates from the inter-cycle interference. In the subsequent discussion, we only focus on the WDL distribution without inter-cycle interference patterns. In Figure 3b, at θ = 180 ° , the WDL distribution concentrated on a small region around t = 3   o . c . and E k = 2   eV . The above findings in Figure 3a,b are consistent with the results in Guo et al.’s work [29].
Figure 3c,d shows the WDL distribution for the atomic orbital m = 1 . As shown in Figure 3c, at θ = 90 ° , the center location of the WDL distribution dramatically shifts towards 10 eV, even though the fork structures still exist. In Figure 3d, at θ = 180 ° , the WDL distribution appears in a much larger region around t = 3   o . c . and E k = 3   eV . This indicates that the initial orbital symmetry indeed affects the location and distribution range of the WDL distribution. Here, we briefly explain the reason why the WDL distribution depends on the orbital symmetry. One can clearly see that the positive maxima in Figure 3 corresponds to the peaks in the energy spectrum shown in Figure 2. It suggests that this effect can be understood by focusing on the dependence of the energy spectrum on the orbital symmetry. Based on Equation (5), the preexponential factors for orbitals m = ± 1 are proportional to Y ± 1 = [ p x + A x ( t ) ] ± i [ p x + A x ( t ) ] . As shown in our previous work, at a fixed angle, Y 1 2 monotonically decreases with the electron energy, and Y 1 2 monotonically increases with the electron energy, which leads to the energy difference of the peaks in energy spectra for the orbitals m = ± 1 [41]. Thus, the difference in preexponential factors causes the difference in the center location of the WDL distribution for orbitals m = ± 1 .
To understand the WDL distribution, we analyzed it using the SP method. The exact saddle point can be obtained by numerically solving the saddle-point equation [46,51,52,53]. To avoid the inter-cycle interference pattern shown in Figure 3, we only chose two saddle points (i.e., SP1 and SP2) in the temporal range of 3.0   o . c   < t < 3.5   o . c .  Figure 4a shows the variations in Re [ t s ] with energy at θ = 90 ° . As shown in Figure 4a, the difference between the real parts of SP1 and SP2 decreases with the electron energy until the energy is greater than 10 eV. When energy is greater than 10 eV, the real parts of SP1 and SP2 become equal. The variations of SP1 and SP2 with the electron energy are consistent with the first fork structure in Figure 3a. As is well known, the real part of the saddle point represents the ionization time. Thus, the physics for the first fork structure in Figure 3a can be revealed as follows. When the electron energy is less than 10 eV, there are two ionization times in one optical cycle. The two ionization times merge into one when the electron energy is larger than 10 eV. Figure 4b shows the variations of Im [ ω t s ] with energy at θ = 90 ° . In Figure 4b, one can see that the imaginary parts of SP1 and SP2 are almost equal until the electron energy is larger than 10 eV. As is well known, the imaginary part of the saddle point measures the tunneling probability at the fixed time Re [ t s ] . Thus, SP1 and SP2 have almost identical contributions to the tunneling probability when energy is less than 10 eV.
However, the situation is different at θ = 180 ° . Figure 4c shows the variations of Re [ t s ] with energy at θ = 180 ° . As shown in Figure 4c, the real parts of SP1 and SP2 are always equal to 3.0 o.c. and 3.5 o.c., respectively. Thus, there are two independent-of-energy ionization times at θ = 180 ° . The variations of SP1 and SP2 with the electron energy are consistent with the two stripes shown in Figure 3b,d. One stripe is symmetric about t = 3.0   o . c . The other is symmetric about t = 3.5   o . c . and separated into many segments by the positive maxima and negative maxima. Figure 4d shows the variations of Im [ ω t s ] with energy at θ = 180 ° . One can see that the imaginary part of SP1 is much greater than that of SP2. Thus, SP1 dominates the tunneling probability. Thus, at θ = 180 ° , only the ionization time t = 3.0   o . c . physically exists.
Next, we investigate the effect of orbital symmetry on the angle–time mapping by using the orbital-resolved WDL distribution. In Figure 5, we show the orbital-resolved WDL distributions when photoelectron energies are fixed at E k = 10 eV and E k = 5 eV, respectively. As shown in Figure 5a,b, at E k = 10 eV and near θ = 90 ° , the WDL distribution for m = 1 is continuous, but the WDL distribution for m = 1 is clearly discontinuous. It denotes that, near the critical energy of the photoelectron (i.e., E k = 10 eV ), the angle–time mapping strongly depends on the initial orbital symmetry. In Figure 5c,d, at E k = 5   eV , one can see that the angle–time mapping is much more obviously dependent on the orbital symmetry. Thus, for ε = 0.6 , the angle–time mapping is dependent on the initial orbital symmetry near the critical energy of the photoelectron, and the dependence of the angle–time mapping on the orbital symmetry becomes more obvious for the low-energy electrons.

3.2. The Effect of the Laser Ellipticity on the Time–Energy Distributions

Attoclock experiment usually uses a close-to-circularly polarized laser pulse to ionize the atoms and molecules, e.g., the laser ellipticity of ε = 0.8 is adopted in Ref. [20]. Thus, it is necessary to discuss the effect of the laser ellipticity on the time–energy distributions. Figure 6 shows the orbital-resolved WDL distribution for the laser ellipticity of ε = 0.8 , at the angles of θ = 90 ° and θ = 180 ° , respectively. By comparing Figure 6 with Figure 3, two striking features can be observed in Figure 6: (i) at θ = 90 ° , the “forked structure” and the interference structure appeared in Figure 3a,c becomes very inconspicuous and almost disappears when the photoelectron energy is near 5 eV, suggesting that there is probably one ionization time near 5 eV for the laser ellipticity of ε = 0.8 ; and (ii) the center location of the WDL distribution at θ = 90 ° is shifted towards the lower energy, while the location of the WDL distribution at θ = 180 ° is shifted towards the higher energy. We also studied the effect of the laser ellipticity on the angle–time mapping. In Figure 7, we show the orbital-resolved WDL distributions for the laser ellipticity of ε = 0.8 , when photoelectron energies are fixed at E k = 10 eV and E k = 5 eV, respectively. As shown in Figure 7a,b, at E k = 10 eV and near θ = 90 ° , the WDL distributions for both m = 1 and m = 1 are continuous. However, in Figure 7c,d, at E k = 5   eV , one can see that the angle–time mapping strongly depends on the orbital symmetry. Therefore, for ε = 0.8 , the effect of the initial orbital symmetry on the angle–time mapping only needs to be considered for lower-energy electrons. This finding is consistent with the conclusions of our recent work based on a POP attoclock scheme [41].
We also display the WDL distributions in the circularly polarized laser field. Figure 8 shows the orbital-resolved WDL distribution for the laser ellipticity of ε = 1.0 , at the angles of θ = 90 ° and θ = 180 ° , respectively. At first glance, the WDL distributions in Figure 9 are almost same as those in Figure 6. Further inspection shows that the energy location of the WDL distribution in Figure 8 is slightly shifted, so that the energy location at θ = 90 ° is almost same with that at θ = 180 ° for each orbital symmetry.
Figure 9 shows the orbital-resolved WDL distributions for the laser ellipticity of ε = 1.0 , when photoelectron energies are fixed at E k = 5 eV and E k = 2 eV, respectively. In Figure 8, one can clearly see that the WDL distribution for each orbital is continuous near θ = 90 ° , even at very low energy (e.g., E k = 2   eV ). However, the strength of the WDL distribution from θ = 0 ° to 180 ° seems nonuniform, especially in Figure 9b,d. In fact, this phenomenon originates from the few-cycle effect of the laser pulse. When we use the multiple-cycle (e.g., 16-cycle) laser pulse, the strength of the WDL distribution from 0 ° to 180 ° becomes uniform. Therefore, in a multiple-cycle circularly polarized laser field, the angle–time mapping is independent of the orbital symmetry.

4. Conclusions

In summary, we have carried out a systematic analysis of the time–energy distributions (i.e., WDL distributions) of F ions in the attoclock scheme for initial atomic orbitals of m = 1 and m = 1 , respectively. It is found that the structure and energy locations of the WDL distributions strongly depend on the orbital symmetry. We intuitively explain the dependence of the WDL distributions on the orbital symmetry based on the SP method. Additionally, we discuss the effect of the laser ellipticity on the angle–time mapping. We demonstrate that, for ε = 0.6 , the angle–time mapping is dependent on the initial orbital symmetry when the photoelectron energy is near some critical value, and the dependence becomes more obvious for the low-energy electrons. For ε = 0.8 , the effect of the initial orbital symmetry on the angle–time mapping needs to be considered for lower-energy electrons, which is consistent with the conclusion of our recent work based on a POP attoclock scheme [41]. However, in a multiple-cycle circularly polarized laser field, the angle–time mapping is independent of the orbital symmetry. This work is of great significance for investigating the electron ionization dynamics of negative ions with valence p orbitals and even noble-gas atoms.

Author Contributions

Conceptualization, J.-H.C. and S.-F.Z.; methodology, J.-H.C.; software, J.-H.C.; validation, J.-H.C. and S.-F.Z.; formal analysis, J.-H.C.; investigation, J.-H.C.; resources, J.-H.C.; data curation, J.-H.C.; writing—original draft preparation, J.-H.C.; writing—review and editing, J.-H.C.; visualization, J.-H.C. and S.-F.Z.; supervision, S.-F.Z.; project administration, J.-H.C.; funding acquisition, J.-H.C. and S.-F.Z. All authors have read and agreed to the published version of the manuscript.

Funding

This work is supported by the National Natural Science Foundation of China (Grants No. 12064023, 12164044), the Natural Science Foundation of Gansu Province (Grants No. 24JRRA532, 20JR5RA209), and the Discipline Construction Project of Lanzhou City University.

Data Availability Statement

Data are contained within the article.

Acknowledgments

We sincerely thank Li Guo from Shanghai Normal University for helpful discussions.

Conflicts of Interest

The authors declare no conflict of interest.

References

  1. Krausz, F.; Ivanov, M. Attosecond physics. Rev. Mod. Phys. 2009, 81, 163. [Google Scholar] [CrossRef]
  2. Itatani, J.; Quéré, F.; Yudin, G.L.; Ivanov, M.Y.; Krausz, F.; Corkum, P.B. Attosecond streak camera. Phys. Rev. Lett. 2002, 88, 173903. [Google Scholar] [CrossRef] [PubMed]
  3. Goulielmakis, E.; Uiberacker, M.; Kienberger, R.; Baltuska, A.; Yakovlev, V.; Scrinzi, A.; Westerwalbesloh, T.; Kleineberg, U.; Heinzmann, U.; Drescher, M.; et al. Direct measurement of light waves. Science 2004, 305, 1267. [Google Scholar] [CrossRef] [PubMed]
  4. Sansone, G.; Benedetti, E.; Calegari, F.; Vozzi, C.; Avaldi, L.; Flammini, R.; Poletto, L.; Velotta, R.; Stagira, S.; de Silvestri, S.; et al. Isolated single cycle attosecond pulses. Science 2006, 314, 443. [Google Scholar] [CrossRef] [PubMed]
  5. Paul, P.M.; Toma, E.S.; Breger, P.; Mullot, G.; Augé, F.; Balcou, P.; Muller, H.G.; Agostini, P. Observation of a train of attosecond pulses from high harmonic generation. Science 2001, 292, 1689. [Google Scholar] [CrossRef] [PubMed]
  6. Goulielmakis, E.; Loh, Z.-H.; Wirth, A.; Santra, R.; Rohringer, N.; Yakovlev, V.S.; Zherebtsov, S.; Pfeifer, T.; Azzeer, A.M.; Kling, M.F.; et al. Real time observation of valence electron motion. Nature 2010, 466, 739. [Google Scholar] [CrossRef] [PubMed]
  7. Eckle, P.; Smolarski, M.; Schlup, P.; Biegert, J.; Staudte, A.; Schöffler; Muller, H.G.; Dörner, R.; Keller, U. Attosecond angular streaking. Nat. Phys. 2008, 4, 565. [Google Scholar] [CrossRef]
  8. Eckle, P.; Pfeiffer, A.N.; Cirelli, C.; Staudte, A.; Do, R.; Muller, H.G.; Bu, M.; Keller, U. Attosecond ionization and tunneling delay time measurements in helium. Science 2008, 322, 1525. [Google Scholar] [CrossRef] [PubMed]
  9. Torlina, L.; Morales, F.; Kaushal, J.; Ivanov, I.; Kheifets, A.; Zielinski, A.; Scrinzi, A.; Sukiasyan, S.; Ivanov, M.; Smirnova, O. Interpreting attoclock measurements of tunnelling time. Nat. Phys. 2015, 11, 503. [Google Scholar] [CrossRef]
  10. Sainadh, U.S.; Xu, H.; Wang, X.; Atia-Tul-Noor, A.; Wallace, W.C.; Douguet, N.; Bray, A.; Ivanov, I.; Bartschat, K.; Kheifets, A.; et al. Attosecond angular streaking and tunnelling time in atomic hydrogen. Nature 2019, 568, 75. [Google Scholar] [CrossRef]
  11. Camus, N.; Yakaboylu, E.; Fechner, L.; Klaiber, M.; Laux, M.; Mi, Y.; Hatsagortsyan, K.Z.; Pfeifer, T.; Keitel, C.H.; Moshammer, R. Experimental evidence for quantum tunneling time. Phys. Rev. Lett. 2017, 119, 023201. [Google Scholar] [CrossRef] [PubMed]
  12. Han, M.; Ge, P.; Fang, Y.; Yu, X.; Guo, Z.; Ma, X.; Deng, Y.; Gong, Q.; Liu, Y. Unifying tunneling pictures of strong-field ionization with an improved attoclock. Phys. Rev. Lett. 2019, 123, 073201. [Google Scholar] [CrossRef] [PubMed]
  13. Eicke, N.; Brennecke, S.; Lein, M. Attosecond-scale streaking methods for strong-field ionization by tailored fields. Phys. Rev. Lett. 2020, 124, 043202. [Google Scholar] [CrossRef] [PubMed]
  14. Han, M.; Ge, P.; Shao, Y.; Gong, Q.; Liu, Y. Attoclock photoelectron interferometry with two-color corotating circular fields to probe the phase and the amplitude of emitting wave packets. Phys. Rev. Lett. 2018, 120, 073202. [Google Scholar] [CrossRef] [PubMed]
  15. Pedatzur, O.; Orenstein, G.; Serbinenko, V.; Soifer, H.; Bruner, B.D.; Uzan, A.J.; Brambila, D.S.; Harvey, A.G.; Torlina, L.; Morales, F.; et al. Attosecond tunnelling interferometry. Nat. Phys. 2015, 11, 815. [Google Scholar] [CrossRef]
  16. Li, M.; Liu, M.M.; Geng, J.W.; Han, M.; Sun, X.; Shao, Y.; Deng, Y.; Wu, C.; Peng, L.Y.; Gong, Q.; et al. Experimental verification of the nonadiabatic effect in strong-field ionization with elliptical polarization. Phys. Rev. A 2017, 95, 053425. [Google Scholar] [CrossRef]
  17. Eckart, S.; Fehre, K.; Eicke, N.; Hartung, A.; Rist, J.; Trabert, D.; Strenger, N.; Pier, A.; Schmidt, H.; Jahnke, T.; et al. Direct experimental access to the nonadiabatic initial momentum offset upon tunnel ionization. Phys. Rev. Lett. 2018, 121, 163202. [Google Scholar] [CrossRef] [PubMed]
  18. Pfei, A.N.; Cirelli, C.; Smolarski, M.; Dimitrovski, D.; Abu-Samha, M.; Madsen, L.B.; Keller, U. Attoclock reveals natural coordinates of the laser-induced tunnelling current flow in atoms. Nat. Phys. 2012, 8, 76. [Google Scholar]
  19. Teeny, N.; Yakaboylu, E.; Bauke, H.; Keitel, C.H. Ionization time and exit momentum in strong-field tunnel ionization. Phys. Rev. Lett. 2016, 116, 063003. [Google Scholar] [CrossRef]
  20. Han, M.; Ge, P.; Wang, J.; Guo, Z.; Fang, Y.; Ma, X.; Yu, X.; Deng, Y.; Wörner, H.J.; Gong, Q.; et al. Complete characterization of sub-Coulomb-barrier tunnelling with phase-of-phase attoclock. Nat. Photonics 2021, 15, 765. [Google Scholar] [CrossRef]
  21. Yu, M.; Liu, K.; Li, M.; Yan, J.; Cao, C.; Tan, J.; Liang, J.; Guo, K.; Cao, W.; Lan, P.; et al. Full experimental determination of tunneling time with attosecond-scale streaking method. Light Sci. Appl. 2022, 11, 215. [Google Scholar] [CrossRef] [PubMed]
  22. Yu, M.; Zhou, Y.; Liu, K.; Liu, K.L.; Li, M.; Lu, P. Radial-momentum-resolved measurement of the tunneling ionization time in attoclock experiments. Phys. Rev. A 2022, 106, 053106. [Google Scholar] [CrossRef]
  23. Yu, M.; Zhou, Y.; Li, M.; Lu, P. Probing the effect of orbital deformation on the atomic tunneling ionization-time distribution by phase-of-the-phase spectroscopy. Phys. Rev. A 2022, 105, 063103. [Google Scholar] [CrossRef]
  24. Skruszewicz, S.; Tiggesbäumker, J.; Meiwes-Broer, K.-H.; Arbeiter, M.; Fennel, T.; Bauer, D. Two-color strong-field photoelectron spectroscopy and the phase of the phase. Phys. Rev. Lett. 2015, 115, 043001. [Google Scholar] [CrossRef] [PubMed]
  25. Almajid, M.A.; Zabel, M.; Skruszewicz, S.; Tiggesbäumker, J.; Bauer, D. Two-color phase-of-the-phase spectroscopy in the multiphoton regime. J. Phys. B At. Mol. Opt. Phys. 2017, 50, 194001. [Google Scholar] [CrossRef]
  26. Tulsky, V.A.; Almajid, M.A.; Bauer, D. Two-color phase-of-the-phase spectroscopy with circularly polarized laser pulses. Phys. Rev. A 2018, 98, 053433. [Google Scholar] [CrossRef]
  27. Würzler, D.; Skruszewicz, S.; Sayler, A.M.; Zille, D.; Möller, M.; Wustelt, P.; Zhang, Y.; Tiggesbäumker, J.; Paulus, G.G. Accurate retrieval of ionization time by means of the phase-of-the-phase spectroscopy, and its limits. Phys. Rev. A 2020, 101, 033416. [Google Scholar] [CrossRef]
  28. Tulsky, V.A.; Krebs, B.; Tiggesbäumker, J.; Bauer, D. Revealing laser-coherent electron features using phase-of the-phase spectroscopy. J. Phys. B At. Mol. Opt. Phys. 2020, 53, 074001. [Google Scholar] [CrossRef]
  29. Guo, L.; Zhao, M.; Quan, W.; Liu, X.J.; Chen, J. Breakdown of one-to-one correspondence between the photoelectron emission angle and the tunneling instant in the attoclock scheme. Optica 2023, 10, 1316. [Google Scholar] [CrossRef]
  30. Barth, I.; Smirnova, O. Nonadiabatic tunneling in circularly polarized laser fields: Physical picture and calculations. Phys. Rev. A 2011, 84, 063415. [Google Scholar] [CrossRef]
  31. Herath, T.; Yan, L.; Lee, S.K.; Li, W. Strong-field ionization rate depends on the sign of the magnetic quantum number. Phys. Rev. Lett. 2012, 109, 043004. [Google Scholar] [CrossRef] [PubMed]
  32. Barth, I.; Smirnova, O. Nonadiabatic tunneling in circularly polarized laser fields. II. Derivation of formulas. Phys. Rev. A 2013, 87, 013433. [Google Scholar] [CrossRef]
  33. Barth, I.; Lein, M. Numerical verification of the theory of nonadiabatic tunnel ionization in strong circularly polarized laser fields. J. Phys. B At. Mol. Opt. Phys. 2014, 47, 204016. [Google Scholar] [CrossRef]
  34. Ma, M.Y.; Wang, J.P.; Jing, W.Q.; Guan, Z.; Jiao, J.H.; Wang, G.L.; Chen, J.H.; Zhao, S.F. Controlling the atomic-orbital-resolved photoionization for neon atoms by counter-rotating circularly polarized attosecond pulses. Opt. Express 2021, 29, 33245. [Google Scholar] [CrossRef] [PubMed]
  35. Zhang, Q.; Basnayake, G.; Winney, A.; Lin, Y.F.; Debrah, D.; Lee, S.K.; Li, W. Orbital-resolved nonadiabatic tunneling ionization. Phys. Rev. A 2017, 96, 023422. [Google Scholar] [CrossRef]
  36. Wang, J.P.; He, F. Tunneling ionization of neon atoms carrying different orbital angular momenta in strong laser fields. Phys. Rev. A 2017, 95, 043420. [Google Scholar] [CrossRef]
  37. Liu, K.; Ni, H.; Renziehausen, K.; Rost, J.-M.; Barth, I. Deformation of atomic p± orbitals in strong elliptically polarized laser fields: Ionization time drifts and spatial photoelectron separation. Phys. Rev. Lett. 2018, 121, 203201. [Google Scholar] [CrossRef]
  38. Eckart, S.; Kunitski, M.; Richter, M.; Hartung, A.; Rist, J.; Trinter, F.; Fehre, K.; Schlott, N.; Henrichs, K.; Schmidt, L.; et al. Ultrafast preparation and detection of ring currents in single atoms. Nat. Phys. 2018, 14, 701. [Google Scholar] [CrossRef]
  39. Serov, V.V.; Cesca, J.; Kheifets, A.S. Numerical and laboratory attoclock simulations on noble-gas atoms. Phys. Rev. A 2021, 103, 023110. [Google Scholar] [CrossRef]
  40. Iqbal, A.; Ahmad, A.; Amjad, R.J. Photodetachment of hydrogen negative ion near inelastic surfaces: Arbitrary laser polarization direction. Int. J. Quantum Chem. 2015, 115, 1526. [Google Scholar] [CrossRef]
  41. Chen, J.H.; Yu, H.Y.; Du, H.C. Effect of the atomic orbital on the retrieval of the ionization time on the basis of a phase-of-phase attoclock: F ions as an example. Phys. Rev. A 2024, 110, 013113. [Google Scholar] [CrossRef]
  42. Milošević, D.B.; Paulus, G.G.; Bauer, D.; Becker, W. Above-threshold ionization by few-cycle pulses. J. Phys. B At. Mol. Opt. Phys. 2006, 39, R203. [Google Scholar] [CrossRef]
  43. Gribakin, G.F.; Kuchiev, M.Y. Multiphoton detachment of electrons from negative ions. Phys. Rev. A 1997, 55, 3760. [Google Scholar] [CrossRef]
  44. Shearer, S.F.C.; Monteith, M.R. Direct photodetachment of F by mid-infrared few-cycle femtosecond laser pulses. Phys. Rev. A 2013, 88, 033415. [Google Scholar] [CrossRef]
  45. Liu, M.M.; Li, M.; Shao, Y.; Han, M.; Gong, Q.; Liu, Y. Effects of orbital and Coulomb potential in strong-field nonadiabatic tunneling ionization of atoms. Phys. Rev. A 2017, 96, 043410. [Google Scholar] [CrossRef]
  46. Chen, J.H.; Wen, L.C.; Zhao, S.F. Orbital-resolved photoelectron momentum distributions of F ions in a counter-rotating bicircular field. Opt. Express 2023, 31, 5708. [Google Scholar] [CrossRef] [PubMed]
  47. Guo, L.; Han, S.S.; Chen, J. Time-energy analysis of above threshold ionization. Opt. Express 2010, 18, 1240. [Google Scholar] [CrossRef] [PubMed]
  48. Guo, L.; Han, S.S.; Chen, J. Time-energy analysis of above threshold ionization in few-cycle laser pulses. Phys. Rev. A 2012, 86, 053409. [Google Scholar] [CrossRef]
  49. Guo, L.; Liu, M.Q.; Lu, R.H.; Han, S.S.; Chen, J. Analysis of above-threshold ionization by “Wigner-distribution-like function” method. Laser Part. Beams 2019, 37, 448. [Google Scholar] [CrossRef]
  50. Arbó, D.G.; Ishikawa, K.L.; Schiessl, K.; Persson, E.; Burgdörfer, J. Intracycle and intercycle interferences in above-threshold ionization: The time grating. Phys. Rev. A 2010, 81, 021403. [Google Scholar] [CrossRef]
  51. Chen, J.H.; Xiao, X.R.; Zhao, S.F.; Peng, L.Y. Dependence of direct and rescattered photoelectron spectra of fluorine anions on orbital symmetry in a short laser pulse. Phys. Rev. A 2020, 101, 033409. [Google Scholar] [CrossRef]
  52. Chen, J.H.; Han, M.; Xiao, X.R.; Peng, L.Y.; Liu, Y. Atomic-orbital-dependent photoelectron momentum distributions for F ions by orthogonal two-color laser fields. Phys. Rev. A 2018, 98, 033403. [Google Scholar] [CrossRef]
  53. Jašarević, A.; Hasović, E.; Kopold, R.; Becker, W.; Milošević, D.B. Application of the saddle-point method to strong-laser-field ionization. J. Phys. A Math. Theor. 2020, 53, 125201. [Google Scholar] [CrossRef]
Figure 1. The temporal sketch of the 6-cycle elliptically polarized field. The dotted olive line, dashed blue line, and solid red line represent the magnitude of the x component, the y component, and the synthesized electric field, respectively. The laser ellipticity is fixed as ε = 0.6 .
Figure 1. The temporal sketch of the 6-cycle elliptically polarized field. The dotted olive line, dashed blue line, and solid red line represent the magnitude of the x component, the y component, and the synthesized electric field, respectively. The laser ellipticity is fixed as ε = 0.6 .
Symmetry 16 01019 g001
Figure 2. The orbital-resolved photoelectron energy spectra of F ions, along the emission angles θ = 90 ° and θ = 180 ° , respectively. (a) m = 1 and θ = 90 ° ; (b) m = 1 and θ = 180 ° ; (c) m = 1 and θ = 90 ° ; (d) m = 1 and θ = 180 ° . The laser ellipticity is fixed as ε = 0.6 . The photoelectron energy spectra are normalized to 1.0.
Figure 2. The orbital-resolved photoelectron energy spectra of F ions, along the emission angles θ = 90 ° and θ = 180 ° , respectively. (a) m = 1 and θ = 90 ° ; (b) m = 1 and θ = 180 ° ; (c) m = 1 and θ = 90 ° ; (d) m = 1 and θ = 180 ° . The laser ellipticity is fixed as ε = 0.6 . The photoelectron energy spectra are normalized to 1.0.
Symmetry 16 01019 g002
Figure 3. The orbital-resolved WDL distribution at the angles of θ = 90 ° and θ = 180 ° , respectively. (a) m = 1 and θ = 90 ° ; (b) m = 1 and θ = 180 ° ; (c) m = 1 and θ = 90 ° ; (d) m = 1 and θ = 180 ° . The laser ellipticity is fixed as ε = 0.6 .
Figure 3. The orbital-resolved WDL distribution at the angles of θ = 90 ° and θ = 180 ° , respectively. (a) m = 1 and θ = 90 ° ; (b) m = 1 and θ = 180 ° ; (c) m = 1 and θ = 90 ° ; (d) m = 1 and θ = 180 ° . The laser ellipticity is fixed as ε = 0.6 .
Symmetry 16 01019 g003
Figure 4. The variations of the real part and the imaginary part of the saddle points (i.e., SP1 and SP2) with energy, respectively. (a) Re [ t s ] at θ = 90 ° ; (b) Im [ ω t s ] at θ = 90 ° ; (c) Re [ t s ] at θ = 180 ° ; (d) Im [ ω t s ] at θ = 180 ° . The laser ellipticity is fixed as ε = 0.6 .
Figure 4. The variations of the real part and the imaginary part of the saddle points (i.e., SP1 and SP2) with energy, respectively. (a) Re [ t s ] at θ = 90 ° ; (b) Im [ ω t s ] at θ = 90 ° ; (c) Re [ t s ] at θ = 180 ° ; (d) Im [ ω t s ] at θ = 180 ° . The laser ellipticity is fixed as ε = 0.6 .
Symmetry 16 01019 g004
Figure 5. The orbital-resolved WDL distributions when photoelectron energies are fixed at E k = 10   eV and E k = 5   eV , respectively. (a) m = 1 and E k = 10   eV ; (b) m = 1 and E k = 10   eV ; (c) m = 1 and E k = 5   eV ; (d) m = 1 and E k = 5   eV . The laser ellipticity is fixed as ε = 0.6 .
Figure 5. The orbital-resolved WDL distributions when photoelectron energies are fixed at E k = 10   eV and E k = 5   eV , respectively. (a) m = 1 and E k = 10   eV ; (b) m = 1 and E k = 10   eV ; (c) m = 1 and E k = 5   eV ; (d) m = 1 and E k = 5   eV . The laser ellipticity is fixed as ε = 0.6 .
Symmetry 16 01019 g005
Figure 6. The same as Figure 3 but for the laser ellipticity of ε = 0.8 . (a) m = 1 and θ = 90   ° ; (b) m = 1 and θ = 180   ° ; (c) m = 1 and θ = 90   ° ; (d) m = 1 and θ = 180   ° .
Figure 6. The same as Figure 3 but for the laser ellipticity of ε = 0.8 . (a) m = 1 and θ = 90   ° ; (b) m = 1 and θ = 180   ° ; (c) m = 1 and θ = 90   ° ; (d) m = 1 and θ = 180   ° .
Symmetry 16 01019 g006
Figure 7. The orbital-resolved WDL distributions when photoelectron energies are fixed at E k = 10   eV and E k = 5   eV , respectively. (a) m = 1 and E k = 10   eV ; (b) m = 1 and E k = 10   eV ; (c) m = 1 and E k = 5   eV ; (d) m = 1 and E k = 5   eV . The laser ellipticity is fixed as ε = 0.8 .
Figure 7. The orbital-resolved WDL distributions when photoelectron energies are fixed at E k = 10   eV and E k = 5   eV , respectively. (a) m = 1 and E k = 10   eV ; (b) m = 1 and E k = 10   eV ; (c) m = 1 and E k = 5   eV ; (d) m = 1 and E k = 5   eV . The laser ellipticity is fixed as ε = 0.8 .
Symmetry 16 01019 g007
Figure 8. The same as Figure 3 but for the laser ellipticity of ε = 1 . (a) m = 1 and θ = 90   ° ; (b) m = 1 and θ = 180   ° ; (c) m = 1 and θ = 90   ° ; (d) m = 1 and θ = 180   ° .
Figure 8. The same as Figure 3 but for the laser ellipticity of ε = 1 . (a) m = 1 and θ = 90   ° ; (b) m = 1 and θ = 180   ° ; (c) m = 1 and θ = 90   ° ; (d) m = 1 and θ = 180   ° .
Symmetry 16 01019 g008
Figure 9. The orbital-resolved WDL distributions when photoelectron energies are fixed at E k = 5   eV and E k = 2   eV , respectively. (a) m = 1 and E k = 5   eV ; (b) m = 1 and E k = 5   eV ; (c) m = 1 and E k = 2   eV ; (d) m = 1 and E k = 2   eV . The laser ellipticity is fixed as ε = 1 .
Figure 9. The orbital-resolved WDL distributions when photoelectron energies are fixed at E k = 5   eV and E k = 2   eV , respectively. (a) m = 1 and E k = 5   eV ; (b) m = 1 and E k = 5   eV ; (c) m = 1 and E k = 2   eV ; (d) m = 1 and E k = 2   eV . The laser ellipticity is fixed as ε = 1 .
Symmetry 16 01019 g009
Disclaimer/Publisher’s Note: The statements, opinions and data contained in all publications are solely those of the individual author(s) and contributor(s) and not of MDPI and/or the editor(s). MDPI and/or the editor(s) disclaim responsibility for any injury to people or property resulting from any ideas, methods, instructions or products referred to in the content.

Share and Cite

MDPI and ACS Style

Chen, J.-H.; Zhao, S.-F. Effect of Orbital Symmetry on Time–Energy Distributions of F Ions in the Attoclock Scheme. Symmetry 2024, 16, 1019. https://doi.org/10.3390/sym16081019

AMA Style

Chen J-H, Zhao S-F. Effect of Orbital Symmetry on Time–Energy Distributions of F Ions in the Attoclock Scheme. Symmetry. 2024; 16(8):1019. https://doi.org/10.3390/sym16081019

Chicago/Turabian Style

Chen, Jian-Hong, and Song-Feng Zhao. 2024. "Effect of Orbital Symmetry on Time–Energy Distributions of F Ions in the Attoclock Scheme" Symmetry 16, no. 8: 1019. https://doi.org/10.3390/sym16081019

APA Style

Chen, J.-H., & Zhao, S.-F. (2024). Effect of Orbital Symmetry on Time–Energy Distributions of F Ions in the Attoclock Scheme. Symmetry, 16(8), 1019. https://doi.org/10.3390/sym16081019

Note that from the first issue of 2016, this journal uses article numbers instead of page numbers. See further details here.

Article Metrics

Back to TopTop