A New Possible Way to Detect Axion Antiquark Nuggets
Abstract
1. Introduction
2. The Structure of the ANs and Their Interactions
3. Basic Concepts for Detection of ANs
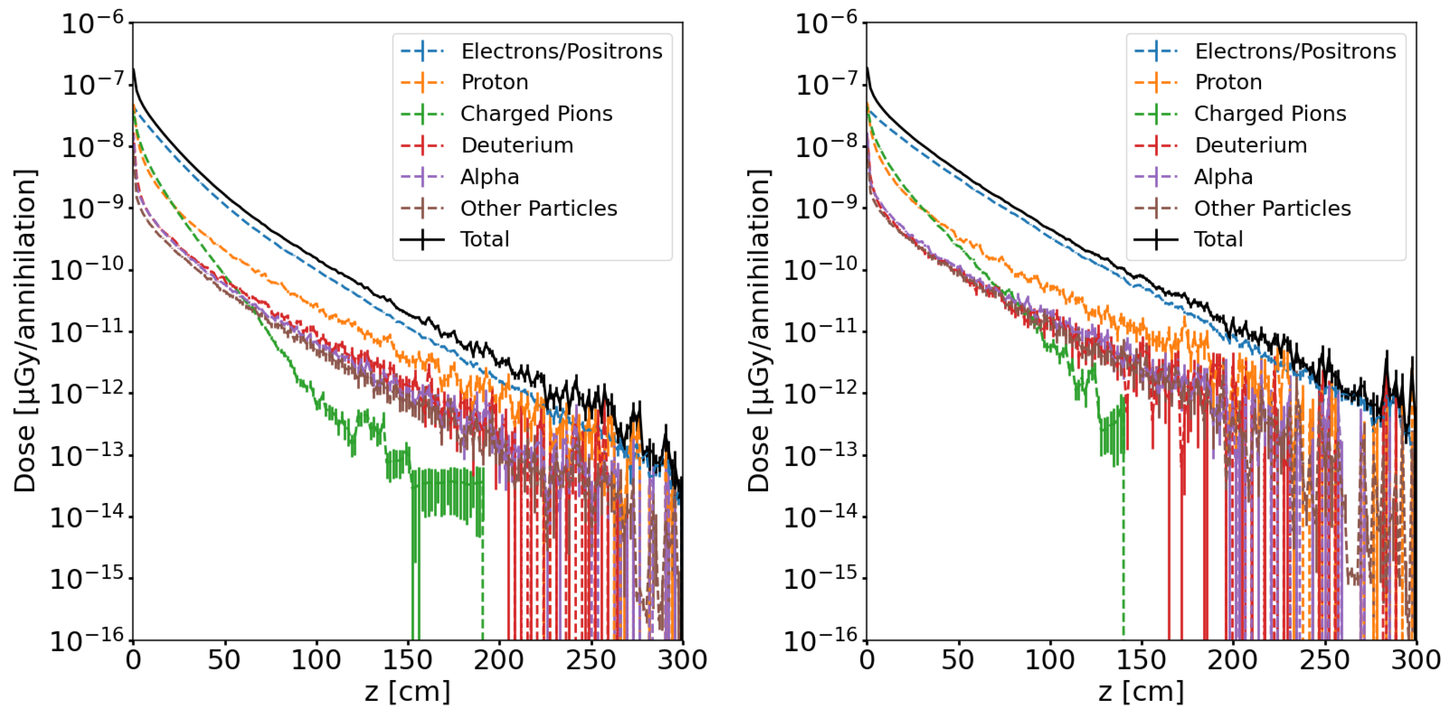
4. Numerical Results and Predicted Doses Produced by the Annihilation of ANs
4.1. Energy Loss of ANs in Air and Rocks
4.2. Numerical Values for the Contribution of the Radioactive Background to Dose
5. Summary and Conclusions
Author Contributions
Funding
Data Availability Statement
Acknowledgments
Conflicts of Interest
References
- Cirelli, M.; Strumia, A.; Zupan, J. Dark Matter. arXiv 2024, arXiv:2406.01705. [Google Scholar]
- Du, N.; Force, N.; Khatiwada, R.; Lentz, E.; Ottens, R.; Rosenberg, L.J.; Rybka, G.; Carosi, G.; Woollett, N.; Bowring, D.; et al. Search for Invisible Axion Dark Matter with the Axion Dark Matter Experiment. Phys. Rev. Lett. 2018, 120, 151301. [Google Scholar] [CrossRef]
- Arik, M.; Aune, S.; Barth, K.; Belov, A.; Borghi, S.; Bräuninger, H.; Cantatore, G.; Carmona, J.M.; Cetin, S.A.; Collar, J.I.; et al. Search for Solar Axions by the CERN Axion Solar Telescope with 3He Buffer Gas: Closing the Hot Dark Matter Gap. Phys. Rev. Lett. 2014, 112, 091302. [Google Scholar] [CrossRef] [PubMed]
- Ortiz, M.D.; Gleason, J.; Grote, H.; Hallal, A.; Hartman, M.T.; Hollis, H.; Isleif, K.S.; James, A.; Karan, K.; Kozlowski, T.; et al. Design of the ALPS II Optical System. arXiv 2021, arXiv:2009.14294. [Google Scholar]
- Brubaker, B.M.; Zhong, L.; Gurevich, Y.V.; Cahn, S.B.; Lamoreaux, S.K.; Simanovskaia, M.; Root, J.R.; Lewis, S.M.; Al Kenany, S.; Backes, K.M.; et al. First Results from a Microwave Cavity Axion Search at 24 μeV. Phys. Rev. Lett. 2017, 118, 061302. [Google Scholar] [CrossRef]
- Lee, C.; MADMAX collaboration. Status of the MADMAX Experiment. In Microwave Cavities and Detectors for Axion Research: Proceedings of the 3rd International Workshop; Springer: Berlin/Heidelberg, Germany, 2020; pp. 163–168. [Google Scholar]
- Vogel, J.K.; Avignone, F.T.; Cantatore, G.; Carmona, J.M.; Caspi, S.; Cetin, S.A.; Christensen, F.E.; Dael, A.; Dafni, T.; Davenport, M.; et al. IAXO—The International Axion Observatory. arXiv 2013, arXiv:1302.3273. [Google Scholar]
- Garcon, A.; Aybas, D.; Blanchard, J.W.; Centers, G.; Figueroa, N.L.; Graham, P.W.; Kimball, D.F.J.; Rajendran, S.; Sendra, M.G.; Sushkov, A.O.; et al. The cosmic axion spin precession experiment (CASPEr): A dark-matter search with nuclear magnetic resonance. Quantum Sci. Technol. 2017, 3, 014008. [Google Scholar] [CrossRef]
- Akerib, D.; Bai, X.; Bedikian, S.; Bernard, E.; Bernstein, A.; Bolozdynya, A.; Bradley, A.; Byram, D.; Cahn, S.; Camp, C.; et al. The Large Underground Xenon (LUX) experiment. Nucl. Instrum. Methods Phys. Res. Sect. A Accel. Spectrometers Detect. Assoc. Equip. 2013, 704, 111–126. [Google Scholar] [CrossRef]
- Brink, P.L.; Ahmed, Z.; Akerib, D.S.; Bailey, C.N.; Bauer, D.A.; Beaty, J.; Bunker, R.; Burke, S.; Cabrera, B.; Caldwell, D.O.; et al. The Cryogenic Dark Matter Search (CDMS) experiment: Results and prospects. J. Phys. Conf. Ser. 2009, 150, 012006. [Google Scholar] [CrossRef]
- Collaboration, S.; Albakry, M.F.; Alkhatib, I.; Amaral, D.W.P.; Aralis, T.; Aramaki, T.; Arnquist, I.J.; Langroudy, I.A.; Azadbakht, E.; Banik, S.; et al. Effective Field Theory Analysis of CDMSlite Run 2 Data. arXiv 2022, arXiv:2205.11683. [Google Scholar]
- Aprile, E.; Abe, K.; Agostini, F.; Ahmed Maouloud, S.; Althueser, L.; Andrieu, B.; Angelino, E.; Angevaare, J.; Antochi, V.; Antón Martin, D.; et al. First Dark Matter Search with Nuclear Recoils from the XENONnT Experiment. Phys. Rev. Lett. 2023, 131, 041003. [Google Scholar] [CrossRef] [PubMed]
- Casaus, J. The AMS-02 experiment on the ISS. J. Phys. Conf. Ser. 2009, 171, 012045. [Google Scholar] [CrossRef]
- Witten, E. Cosmic Separation of Phases. Phys. Rev. D 1984, 30, 272–285. [Google Scholar] [CrossRef]
- De Rujula, A.; Glashow, S.L. Nuclearites: A Novel Form of Cosmic Radiation. Nature 1984, 312, 734–737. [Google Scholar] [CrossRef]
- Zhitnitsky, A.R. ‘Nonbaryonic’ dark matter as baryonic color superconductor. J. Cosmol. Astropart. Phys. 2003, 2003, 010. [Google Scholar] [CrossRef]
- Singh Sidhu, J.; Scherrer, R.J.; Starkman, G. Antimatter as macroscopic dark matter. Phys. Lett. B 2020, 807, 135574. [Google Scholar] [CrossRef]
- Oaknin, D.H.; Zhitnitsky, A. Baryon asymmetry, dark matter, and quantum chromodynamics. Phys. Rev. D 2005, 71, 023519. [Google Scholar] [CrossRef]
- Zhitnitsky, A. Axion quark nuggets. Dark matter and matter–antimatter asymmetry: Theory, observations and future experiments. Mod. Phys. Lett. A 2021, 36, 2130017. [Google Scholar] [CrossRef]
- Baum, S.; Stengel, P.; Abe, N.; Acevedo, J.F.; Araujo, G.R.; Asahara, Y.; Avignone, F.; Balogh, L.; Baudis, L.; Boukhtouchen, Y.; et al. Mineral detection of neutrinos and dark matter. A whitepaper. Phys. Dark Universe 2023, 41, 101245. [Google Scholar] [CrossRef]
- Polymeris, G.; Kitis, G.; Liolios, A.; Tsirliganis, N.; Zioutas, K. Minerals as Time-Integrating Luminescence Detectors for setting bounds on dark matter particle characteristics. Nucl. Instrum. Methods Phys. Res. Sect. A Accel. Spectrometers Detect. Assoc. Equip. 2006, 562, 207–213. [Google Scholar] [CrossRef]
- Lawson, K.; Zhitnitsky, A.R. Quark (Anti) Nugget Dark Matter. arXiv 2013, arXiv:1305.6318. [Google Scholar]
- Lazanu, I.; Parvu, M. Exploring the detection of AQNs in large liquid detectors. J. Cosmol. Astropart. Phys. 2024, 2024, 014. [Google Scholar] [CrossRef]
- Gorham, P.W.; Rotter, B.J. Stringent neutrino flux constraints on antiquark nugget dark matter. Phys. Rev. D 2017, 95, 103002. [Google Scholar] [CrossRef]
- Forbes, M.M.; Zhitnitsky, A.R. WMAP Haze: Directly Observing Dark Matter? Phys. Rev. D 2008, 78, 083505. [Google Scholar] [CrossRef]
- Toolbox, E. Standard Atmosphere. Available online: https://www.engineeringtoolbox.com/standard-atmosphere-d_604.html (accessed on 20 May 2024).
- Von Egidy, T. Interaction and Annihilation of Anti-protons and Nuclei. Nature 1987, 328, 773–778. [Google Scholar] [CrossRef]
- Richard, J.M. Antiproton physics. Front. Phys. 2020, 8, 6. [Google Scholar] [CrossRef]
- Amsler, C.; Myhrer, F. Low energy antiproton physics. Annu. Rev. Nucl. Part. Sci. 1991, 41, 219–267. [Google Scholar] [CrossRef]
- Chamberlain, O.; Goldhaber, G.; Jauneau, L.; Kalogeropoulos, T.; Segrè, E.; Silberberg, R. Antiproton-Nucleon Annihilation Process. II. Phys. Rev. 1959, 113, 1615–1634. [Google Scholar] [CrossRef]
- Plendl, H.S.; Daniel, H.; von Egidy, T.; Haninger, T.; Hartmann, F.S.; Hofmann, P.; Kim, Y.S.; Machner, H.; Riepe, G.; Jastrzebski, J.; et al. Antiproton-nucleus annihilation at rest. Phys. Scr. 1993, 48, 160. [Google Scholar] [CrossRef]
- Alford, M.G.; Schmitt, A.; Rajagopal, K.; Schäfer, T. Color superconductivity in dense quark matter. Rev. Mod. Phys. 2008, 80, 1455–1515. [Google Scholar] [CrossRef]
- Lawson, K.; Zhitnitsky, A.R. Solar neutrino spectrum of quark nugget dark matter. Phys. Rev. D 2017, 95, 063521. [Google Scholar] [CrossRef]
- Budker, D.; Flambaum, V.V.; Zhitnitsky, A. Infrasonic, Acoustic and Seismic Waves Produced by the Axion Quark Nuggets. Symmetry 2022, 14, 459. [Google Scholar] [CrossRef]
- Flambaum, V.; Samsonov, I. Radiation from matter-antimatter annihilation in the quark nugget model of dark matter. Phys. Rev. D 2021, 104, 063042. [Google Scholar] [CrossRef]
- Flambaum, V.V.; Samsonov, I.B. Thermal and annihilation radiation in the quark nugget model of dark matter. Phys. Rev. D 2022, 105, 123011. [Google Scholar] [CrossRef]
- Flambaum, V.V.; Samsonov, I.B. Radiation from cold molecular clouds and Sun chromosphere produced by antiquark nugget dark matter. Phys. Rev. D 2022, 106, 023006. [Google Scholar] [CrossRef]
- Flambaum, V.V.; Samsonov, I.B.; Vong, G.K. Manifestation of antiquark nuggets in collisions with the Earth. arXiv 2024, arXiv:2405.17775. [Google Scholar]
- Magotra, R.; Namga, S.; Singh, P.; Arora, N.; Srivastava, P. A new classification scheme of fluorite deposits. Int. J. Geosci. 2017, 8, 599–610. [Google Scholar] [CrossRef]
- U.S. Geological Survey. Mineral Resources Data System (MRDS)—Map by Commodity. Available online: https://mrdata.usgs.gov/mrds/map-commodity.html (accessed on 11 June 2024).
- Rendell, H.; Khanlary, M.R.; Townsend, P.; Calderón, T.; Luff, B. Thermoluminescence spectra of minerals. Mineral. Mag. 1993, 57, 217–222. [Google Scholar] [CrossRef]
- Zhitnitsky, A. Mysterious anomalies in Earth’s atmosphere and strongly interacting Dark Matter. arXiv 2024, arXiv:2405.04635. [Google Scholar]
- Liang, X.; Mead, A.; Siddiqui, M.S.R.; Van Waerbeke, L.; Zhitnitsky, A. Axion Quark Nugget Dark Matter: Time Modulations and Amplifications. Phys. Rev. D 2020, 101, 043512. [Google Scholar] [CrossRef]
- de Salas, P.F.; Malhan, K.; Freese, K.; Hattori, K.; Valluri, M. On the estimation of the Local Dark Matter Density using the rotation curve of the Milky Way. JCAP 2019, 10, 037. [Google Scholar] [CrossRef]
- Ahdida, C.; Bozzato, D.; Calzolari, D.; Cerutti, F.; Charitonidis, N.; Cimmino, A.; Coronetti, A.; D’Alessandro, G.; Donadon Servelle, A.; Esposito, L.; et al. New capabilities of the FLUKA multi-purpose code. Front. Phys. 2022, 9, 788253. [Google Scholar] [CrossRef]
- Battistoni, G.; Boehlen, T.; Cerutti, F.; Chin, P.W.; Esposito, L.S.; Fassò, A.; Ferrari, A.; Lechner, A.; Empl, A.; Mairani, A.; et al. Overview of the FLUKA code. Ann. Nucl. Energy 2015, 82, 10–18. [Google Scholar] [CrossRef]
- Vlachoudis, V. FLAIR: A powerful but user friendly graphical interface for FLUKA. In Proceedings of the International Conference on Mathematics, Computational Methods & Reactor Physics (M&C 2009), Saratoga Springs, New York, NY, USA, 3–7 May 2009; Volume 176. [Google Scholar]
- McKeever, S.W.; Moscovitch, M.; Townsend, P.D. Thermoluminescence Dosimetry Materials: Properties and Uses. Available online: https://www.osti.gov/etdeweb/biblio/480679 (accessed on 20 May 2024).
- Aitken, M. An Introduction to Optical Dating; Oxford University Press: New York, NY, USA, 1998. [Google Scholar]
- Cinelli, G.; Gruber, V.; De Felice, L.; Bossew, P.; Hernandez-Ceballos, M.A.; Tollefsen, T.; Mundigl, S.; De Cort, M. European annual cosmic-ray dose: Estimation of population exposure. J. Maps 2017, 13, 812–821. [Google Scholar] [CrossRef]
- Japan Atomic Energy Agency. Exposure Dose Map. Available online: https://phits.jaea.go.jp/expacs/dosemap-eng.htm (accessed on 20 May 2024).
- MediaWiki. OR/17/001 The Distribution of Natural Radioactivity in Rocks. Available online: http://earthwise.bgs.ac.uk/index.php?title=OR/17/001_The_distribution_of_natural_radioactivity_in_rocks&oldid=44337 (accessed on 20 May 2024).



Disclaimer/Publisher’s Note: The statements, opinions and data contained in all publications are solely those of the individual author(s) and contributor(s) and not of MDPI and/or the editor(s). MDPI and/or the editor(s) disclaim responsibility for any injury to people or property resulting from any ideas, methods, instructions or products referred to in the content. |
© 2024 by the authors. Licensee MDPI, Basel, Switzerland. This article is an open access article distributed under the terms and conditions of the Creative Commons Attribution (CC BY) license (https://creativecommons.org/licenses/by/4.0/).
Share and Cite
Lazanu, I.; Parvu, M. A New Possible Way to Detect Axion Antiquark Nuggets. Symmetry 2024, 16, 869. https://doi.org/10.3390/sym16070869
Lazanu I, Parvu M. A New Possible Way to Detect Axion Antiquark Nuggets. Symmetry. 2024; 16(7):869. https://doi.org/10.3390/sym16070869
Chicago/Turabian StyleLazanu, Ionel, and Mihaela Parvu. 2024. "A New Possible Way to Detect Axion Antiquark Nuggets" Symmetry 16, no. 7: 869. https://doi.org/10.3390/sym16070869
APA StyleLazanu, I., & Parvu, M. (2024). A New Possible Way to Detect Axion Antiquark Nuggets. Symmetry, 16(7), 869. https://doi.org/10.3390/sym16070869

