Statistical Mechanics Approaches for Studying Temperature and Rate Effects in Multistable Systems
Highlights
Abstract
1. Introduction
2. Problem Statement
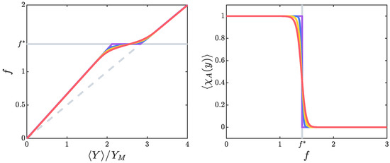
3. Exact Solution within the Helmholtz Ensemble
4. Helmholtz Ensemble with Spin Approximation
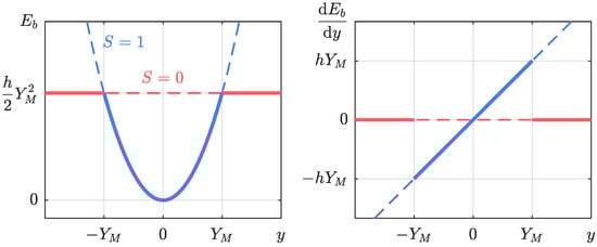
5. Helmholtz Ensemble from an Energetic Perspective
6. Rate Effect on the Rupture Model under Helmholtz Conditions
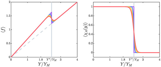
7. Exact Solution within the Gibbs Ensemble
8. Gibbs Ensemble with Spin Approximation
9. Gibbs Ensemble from an Energetic Perspective
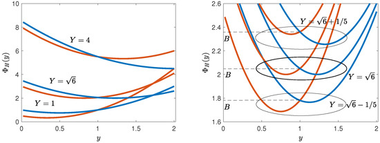
10. Rate Effect on the Rupture Model under Gibbs Conditions
11. Discussion and Conclusions
Author Contributions
Funding
Data Availability Statement
Conflicts of Interest
References
- Cortet, P.-P.; Ciccotti, M.; Vanel, L. Imaging the stick–slip peeling of an adhesive tape under a constant load. J. Stat. Mech. 2007, 2007, P03005. [Google Scholar] [CrossRef][Green Version]
- Dalbe, M.-J.; Cortet, P.-P.; Ciccotti, M.; Vanel, L.; Santucci, S. Multiscale Stick-Slip Dynamics of Adhesive Tape Peeling. Phys. Rev. Lett. 2015, 115, 128301. [Google Scholar] [CrossRef]
- Maddalena, F.; Percivale, D.; Puglisi, G.; Truskinovsky, L. Mechanics of reversible unzipping. Contin. Mech. Thermodyn. 2009, 21, 251. [Google Scholar] [CrossRef]
- Puglisi, G.; Truskinovsky, L. Cohesion-decohesion asymmetry in geckos. Phys. Rev. E 2013, 87, 032714. [Google Scholar] [CrossRef]
- Katz, S.; Givli, S. Solitary waves in a bistable lattice. Extrem. Mech. Lett. 2018, 22, 106–111. [Google Scholar] [CrossRef]
- Katz, S.; Givli, S. Solitary waves in a nonintegrable chain with double-well potentials. Phys. Rev. E 2019, 100, 032209. [Google Scholar] [CrossRef]
- Harne, R.L.; Schoemaker, M.E.; Dussault, B.E.; Wang, K.W. Wave heave energy conversion using modular multistability. Appl. Energy 2014, 130, 148–156. [Google Scholar] [CrossRef]
- Harne, R.L.; Schoemaker, M.E.; Wang, K.W. Multistable chain for ocean wave vibration energy harvesting. Proc. of SPIE Act. Passiv. Smart Struct. Integr. Syst. 2014, 9057, 1–12. [Google Scholar] [CrossRef]
- Benichou, I.; Givli, S. Structures undergoing discrete phase transformation. J. Mech. Phys. Solids 2013, 61, 94–113. [Google Scholar] [CrossRef]
- Caruel, M.; Allain, J.-M.; Truskinovsky, L. Mechanics of collective unfolding. J. Mech. Phys. Solids 2015, 76, 237–259. [Google Scholar] [CrossRef]
- Caruel, M.; Truskinovsky, L. Bi-stability resistant to fluctuations. J. Mech. Phys. Solids 2017, 109, 117–141. [Google Scholar] [CrossRef]
- Puglisi, G. Hysteresis in multi-stable lattices with non-local interactions. J. Mech. Phys. Solids 2006, 54, 2060–2088. [Google Scholar] [CrossRef]
- Puglisi, G.; Truskinovsky, L. Thermodynamics of rate-independent plasticity. J. Mech. Phys. Solids 2005, 53, 655–679. [Google Scholar] [CrossRef]
- Blumberg Selinger, R.L.; Wang, Z.-G.; Gelbart, W.M.; Ben-Shaul, A. Statistical-thermodynamic approach to fracture. Phys. Rev. A 1991, 43, 4396–4400. [Google Scholar] [CrossRef] [PubMed]
- Borja da Rocha, H.; Truskinovsky, L. Equilibrium unzipping at finite temperature. Arch. Appl. Mech. 2019, 89, 535–544. [Google Scholar] [CrossRef]
- Borja da Rocha, H.; Truskinovsky, L. Rigidity-Controlled Crossover: From Spinodal to Critical Failure. Phys. Rev. Lett. 2020, 124, 015501. [Google Scholar] [CrossRef] [PubMed]
- Buche, M.R.; Grutzik, S.J. Statistical mechanical model for crack growth. Phys. Rev. E 2024, 109, 015001. [Google Scholar] [CrossRef] [PubMed]
- Manini, N.; Mistura, G.; Paolicelli, G.; Tosatti, E.; Vanossi, A. Current trends in the physics of nanoscale friction. Adv. Phys. X 2017, 2, 569–590. [Google Scholar] [CrossRef]
- Vanossi, A.; Manini, N.; Urbakh, M.; Zapperi, S.; Tosatti, E. Colloquium: Modeling friction: From nanoscale to mesoscale. Rev. Mod. Phys. 2013, 85, 529–552. [Google Scholar] [CrossRef]
- Bleha, T.; Cifra, P. Stretching and compression of DNA by external forces under nanochannel confinement. Soft Matter 2018, 14, 1247–1259. [Google Scholar] [CrossRef]
- Bleha, T.; Cifra, P. Energy/entropy partition of force at DNA stretching. Biopolymers 2022, 113, e23487. [Google Scholar] [CrossRef] [PubMed]
- Prados, A.; Carpio, A.; Bonilla, L.L. Sawtooth patterns in force-extension curves of biomolecules: An equilibrium-statistical-mechanics theory. Phys. Rev. E 2013, 88, 012704. [Google Scholar] [CrossRef] [PubMed]
- Bonilla, L.L.; Carpio, A.; Prados, A. Theory of force-extension curves for modular proteins and DNA hairpins. Phys. Rev. E 2015, 91, 052712. [Google Scholar] [CrossRef] [PubMed]
- De Tommasi, D.; Millardi, N.; Puglisi, G.; Saccomandi, G. An energetic model for macromolecules unfolding in stretching experiments. J. R. Soc. Interface 2013, 10, 20130651. [Google Scholar] [CrossRef] [PubMed]
- Dudko, O.K.; Mathé, J.; Szabo, A.; Meller, A.; Hummer, G. Extracting Kinetics from Single-Molecule Force Spectroscopy: Nanopore Unzipping of DNA Hairpins. Biophys. J. 2007, 92, 4188–4195. [Google Scholar] [CrossRef]
- Dudko, O.K. Decoding the mechanical fingerprints of biomolecules. Q. Rev. Biophys. 2016, 49, e3. [Google Scholar] [CrossRef] [PubMed]
- Hoffmann, T.; Dougan, L. Single molecule force spectroscopy using polyproteins. Chem. Soc. Rev. 2012, 41, 4781–4796. [Google Scholar] [CrossRef] [PubMed]
- Hughes, M.L.; Dougan, L. The physics of pulling polyproteins: A review of single molecule force spectroscopy using the AFM to study protein unfolding. Rep. Prog. Phys. 2016, 79, 076601. [Google Scholar] [CrossRef] [PubMed]
- Manca, F.; Giordano, S.; Palla, P.L.; Cleri, F.; Colombo, L. Two-state theory of single-molecule stretching experiments. Phys. Rev. E 2013, 87, 032705. [Google Scholar] [CrossRef]
- Benetatos, P.; Razbin, M. Orientational Fluctuations and Bimodality in Semiflexible Nunchucks. Polymers 2021, 13, 2031. [Google Scholar] [CrossRef]
- Bell, G.I. Models for the Specific Adhesion of Cells to Cells. Science 1978, 200, 618–627. [Google Scholar] [CrossRef] [PubMed]
- Bell, G.I.; Dembo, M.; Bongr, P. Cell adhesion. Competition between nonspecific repulsion and specific bonding. Biophys. J. 1984, 45, 1051–1064. [Google Scholar] [CrossRef] [PubMed]
- Gumbiner, B.M. Cell Adhesion: The Molecular Basis of Tissue Architecture and Morphogenesis. Cell 1996, 84, 345–357. [Google Scholar] [CrossRef] [PubMed]
- Schwarz, U.S.; Safran, S.A. Physics of adherent cells. Rev. Mod. Phys. 2013, 85, 1327–1381. [Google Scholar] [CrossRef]
- Hyeon, C.; Thirumalai, D. Mechanical unfolding of RNA hairpins. Proc. Natl. Acad. Sci. USA 2005, 102, 6789–6794. [Google Scholar] [CrossRef] [PubMed]
- Mishra, G.; Giri, D.; Li, M.S.; Kumar, S. Role of loop entropy in the force induced melting of DNA hairpin. J. Chem. Phys. 2011, 135, 035102. [Google Scholar] [CrossRef] [PubMed]
- Stephenson, W.; Keller, S.; Santiago, R.; Albrecht, J.E.; Asare-Okai, P.N.; Tenenbaum, S.A.; Zuker, M.; Li, P.T.X. Combining temperature and force to study folding of an RNA hairpin. Phys. Chem. Chem. Phys. 2014, 16, 906–917. [Google Scholar] [CrossRef] [PubMed]
- De Lorenzo, S.; Ribezzi-Crivellari, M.; Arias-Gonzalez, J.R.; Smith, S.B.; Ritort, F. A Temperature-Jump Optical Trap for Single-Molecule Manipulation. Biophys. J. 2015, 108, 2854–2864. [Google Scholar] [CrossRef] [PubMed]
- Hill, T.L. Theory of Muscular Contraction Extended to Groups of Actin Sites. Proc. Natl. Acad. Sci. USA 1973, 70, 2732–2736. [Google Scholar] [CrossRef]
- Huxley, A.F.; Simmons, R.M. Proposed Mechanism of Force Generation in Striated Muscle. Nature 1971, 233, 533–538. [Google Scholar] [CrossRef]
- Caruel, M.; Allain, J.-M.; Truskinovsky, L. Muscle as a Metamaterial Operating Near a Critical Point. Phys. Rev. Lett. 2013, 110, 248103. [Google Scholar] [CrossRef] [PubMed]
- Caruel, M.; Moireau, P.; Chapelle, D. Stochastic modeling of chemical–mechanical coupling in striated muscles. Biomech. Model. Mechanobiol. 2019, 18, 563–587. [Google Scholar] [CrossRef] [PubMed]
- Caruel, M.; Truskinovsky, L. Statistical mechanics of the Huxley-Simmons model. Phys. Rev. E 2016, 93, 062407. [Google Scholar] [CrossRef] [PubMed]
- Caruel, M.; Truskinovsky, L. Physics of muscle contraction. Rep. Prog. Phys. 2018, 81, 036602. [Google Scholar] [CrossRef] [PubMed]
- Kittel, C. Phase Transition of a Molecular Zipper. Am. J. Phys. 1969, 37, 917–920. [Google Scholar] [CrossRef]
- Peyrard, M.; Bishop, A.R. Statistical mechanics of a nonlinear model for DNA denaturation. Phys. Rev. Lett. 1989, 62, 2755–2758. [Google Scholar] [CrossRef] [PubMed]
- Peyrard, M. Nonlinear dynamics and statistical physics of DNA. Nonlinearity 2004, 17, R1. [Google Scholar] [CrossRef]
- Grinza, P.; Mossa, A. Topological Origin of the Phase Transition in a Model of DNA Denaturation. Phys. Rev. Lett. 2004, 92, 158102. [Google Scholar] [CrossRef] [PubMed]
- Palmeri, J.; Manghi, M.; Destainville, N. Thermal denaturation of fluctuating finite DNA chains: The role of bending rigidity in bubble nucleation. Phys. Rev. E 2008, 77, 011913. [Google Scholar] [CrossRef]
- Perret, G.; Lacornerie, T.; Manca, F.; Giordano, S.; Kumemura, M.; Lafitte, N.; Jalabert, L.; Tarhan, M.C.; Lartigau, E.F.; Cleri, F.; et al. Real-time mechanical characterization of DNA degradation under therapeutic X-rays and its theoretical modeling. Microsyst. Nanoeng. 2016, 2, 16062. [Google Scholar] [CrossRef]
- Perret, G.; Lacornerie, T.; Manca, F.; Giordano, S.; Kumemura, M.; Lafitte, N.; Jalabert, L.; Tarhan, M.C.; Lartigau, E.F.; Cleri, F.; et al. Mesure de la dégradation bio-mécanique d’une fibre d’ADN sous l’effet des rayons X thérapeutiques. Med. Sci. 2017, 33, 1026–1029. [Google Scholar] [CrossRef] [PubMed]
- Manca, F.; Giordano, S.; Palla, P.L.; Cleri, F. Scaling Shift in Multicracked Fiber Bundles. Phys. Rev. Lett. 2014, 113, 255501. [Google Scholar] [CrossRef]
- Manca, F.; Giordano, S.; Palla, P.L.; Cleri, F. Stochastic mechanical degradation of multi-cracked fiber bundles with elastic and viscous interactions. Eur. Phys. J. E 2015, 38, 44. [Google Scholar] [CrossRef] [PubMed]
- Buche, M.R.; Silberstein, M.N. Chain breaking in the statistical mechanical constitutive theory of polymer networks. J. Mech. Phys. Solids 2021, 156, 104593. [Google Scholar] [CrossRef]
- Bormuth, V.; Varga, V.; Howard, J.; Schäffer, E. Protein Friction Limits Diffusive and Directed Movements of Kinesin Motors on Microtubules. Science 2009, 325, 870–873. [Google Scholar] [CrossRef] [PubMed]
- Sahli, R.; Pallares, G.; Ducottet, C.; Ben Ali, I.E.; Al Akhrass, S.; Guibert, M.; Scheibert, J. Evolution of real contact area under shear and the value of static friction of soft materials. Proc. Natl. Acad. Sci. USA 2018, 115, 471–476. [Google Scholar] [CrossRef] [PubMed]
- Liamas, E.; Connell, S.D.; Ramakrishna, S.N.; Sarkar, A. Probing the frictional properties of soft materials at the nanoscale. Nanoscale 2020, 12, 2292–2308. [Google Scholar] [CrossRef] [PubMed]
- Daub, E.G.; Carlson, J.M. Friction, Fracture, and Earthquakes. Annu. Rev. Condens. Matter Phys. 2010, 1, 397–418. [Google Scholar] [CrossRef]
- Gibbs, J.W. Elementary Principles in Statistical Mechanics; Charles Scribner’s Sons: New York, NY, USA, 1902. [Google Scholar]
- Weiner, J.H. Statistical Mechanics of Elasticity; Dover Publications Inc.: New York, NY, USA, 2002. [Google Scholar]
- Zwanzig, R. Nonequilibrium Statistical Mechanics; Oxford University Press: New York, NY, USA, 2001. [Google Scholar]
- Giordano, S. Spin variable approach for the statistical mechanics of folding and unfolding chains. Soft Matter 2017, 13, 6877–6893. [Google Scholar] [CrossRef]
- Bellino, L.; Florio, G.; Puglisi, G. The influence of device handles in single-molecule experiments. Soft Matter 2019, 15, 8680–8690. [Google Scholar] [CrossRef]
- Florio, G.; Puglisi, G. Unveiling the influence of device stiffness in single macromolecule unfolding. Sci. Rep. 2019, 9, 4997. [Google Scholar] [CrossRef] [PubMed]
- Benedito, M.; Giordano, S. Thermodynamics of small systems with conformational transitions: The case of two-state freely jointed chains with extensible units. J. Chem. Phys. 2018, 149, 054901. [Google Scholar] [CrossRef] [PubMed]
- Benedito, M.; Giordano, S. Isotensional and isometric force-extension response of chains with bistable units and Ising interactions. Phys. Rev. E 2018, 98, 052146. [Google Scholar] [CrossRef]
- Benedito, M.; Manca, F.; Giordano, S. Full Statistics of Conjugated Thermodynamic Ensembles in Chains of Bistable Units. Inventions 2019, 4, 19. [Google Scholar] [CrossRef]
- Benedito, M.; Giordano, S. Unfolding pathway and its identifiability in heterogeneous chains of bistable units. Phys. Lett. A 2020, 384, 126124. [Google Scholar] [CrossRef]
- Benedito, M.; Manca, F.; Palla, P.L.; Giordano, S. Rate-dependent force–extension models for single-molecule force spectroscopy experiments. Phys. Biol. 2020, 17, 056002. [Google Scholar] [CrossRef] [PubMed]
- Benichou, I.; Givli, S. Rate Dependent Response of Nanoscale Structures Having a Multiwell Energy Landscape. Phys. Rev. Lett. 2015, 114, 095504. [Google Scholar] [CrossRef] [PubMed]
- Benichou, I.; Zhang, Y.; Dudko, O.K.; Givli, S. The rate dependent response of a bistable chain at finite temperature. J. Mech. Phys. Solids 2016, 95, 44–63. [Google Scholar] [CrossRef]
- Bellino, L.; Florio, G.; Giordano, S.; Puglisi, G. On the competition between interface energy and temperature in phase transition phenomena. Appl. Eng. Sci. 2020, 2, 100009. [Google Scholar] [CrossRef]
- Cannizzo, A.; Bellino, L.; Florio, G.; Puglisi, G.; Giordano, S. Thermal control of nucleation and propagation transition stresses in discrete lattices with non-local interactions and non-convex energy. Eur. Phys. J. Plus 2022, 137, 569. [Google Scholar] [CrossRef]
- Giordano, S. Statistical mechanics of rate-independent stick-slip on a corrugated surface composed of parabolic wells. Contin. Mech. Thermodyn. 2022, 34, 1343–1372. [Google Scholar] [CrossRef]
- Giordano, S. Temperature dependent model for the quasistatic stick–slip process on a soft substrate. Soft Matter 2023, 19, 1813. [Google Scholar] [CrossRef]
- Florio, G.; Puglisi, G.; Giordano, S. Role of temperature in the decohesion of an elastic chain tethered to a substrate by onsite breakable links. Phys. Rev. Res. 2020, 2, 033227. [Google Scholar] [CrossRef]
- Cannizzo, A.; Florio, G.; Puglisi, G.; Giordano, S. Temperature controlled decohesion regimes of an elastic chain adhering to a fixed substrate by softening and breakable bonds. J. Phys. A Math. Theor. 2021, 54, 445001. [Google Scholar] [CrossRef]
- Jorge Do Marco, R.; Giordano, S. Thermodynamics of Extra-Toughness and Hidden-Length in Polymeric Materials with Sacrificial Bonds. Appl. Mech. 2022, 3, 935–955. [Google Scholar] [CrossRef]
- Cannizzo, A.; Giordano, S. Thermal effects on fracture and the brittle-to-ductile transition. Phys. Rev. E 2023, 107, 035001. [Google Scholar] [CrossRef]
- Doi, M. Introduction to Polymer Physics; Oxford University Press: Oxford, NY, USA, 1996. [Google Scholar]
- Giordano, S. Helmholtz and Gibbs ensembles, thermodynamic limit and bistability in polymer lattice models. Contin. Mech. Thermodyn. 2018, 30, 459–483. [Google Scholar] [CrossRef]
- Buche, M.R.; Silberstein, M.N. Statistical mechanical constitutive theory of polymer networks: The inextricable links between distribution, behavior, and ensemble. Phys. Rev. E 2020, 102, 012501. [Google Scholar] [CrossRef] [PubMed]
- Buche, M.R.; Silberstein, M.N.; Grutzik, S.J. Freely jointed chain models with extensible links. Phys. Rev. E 2022, 106, 024502. [Google Scholar] [CrossRef] [PubMed]
- Cleri, F. Microscopic mechanics of biomolecules in living cells. Sci. Model. Simul. 2008, 15, 339–362. [Google Scholar] [CrossRef]
- Kumar, S.; Li, M.S. Biomolecules under mechanical force. Phys. Rep. 2010, 486, 1–74. [Google Scholar] [CrossRef]
- Mandal, S.S. Force Spectroscopy on Single Molecules of Life. ACS Omega 2020, 5, 11271–11278. [Google Scholar] [CrossRef] [PubMed]
- Neuman, K.C.; Nagy, A. Single-molecule force spectroscopy: Optical tweezers, magnetic tweezers and atomic force microscopy. Nat. Methods 2008, 5, 491–505. [Google Scholar] [CrossRef] [PubMed]
- Ritort, F. Single-molecule experiments in biological physics: Methods and applications. J. Phys. Condens. Matter 2006, 18, R531. [Google Scholar] [CrossRef] [PubMed]
- Fisher, T.E.; Oberhauser, A.F.; Carrion-Vazquez, M.; Marszalek, P.E.; Fernandez, J.M. The study of protein mechanics with the atomic force microscope. Trends Biochem. Sci. 1999, 24, 379–384. [Google Scholar] [CrossRef] [PubMed]
- Rief, M.; Oesterhelt, F.; Heymann, B.; Gaub, H.E. Single Molecule Force Spectroscopy on Polysaccharides by Atomic Force Microscopy. Science 1997, 275, 1295–1297. [Google Scholar] [CrossRef] [PubMed]
- Rief, M.; Gautel, M.; Oesterhelt, F.; Fernandez, J.M.; Gaub, H.E. Reversible Unfolding of Individual Titin Immunoglobulin Domains by AFM. Science 1997, 276, 1109–1112. [Google Scholar] [CrossRef]
- Rief, M.; Fernandez, J.M.; Gaub, H.E. Elastically Coupled Two-Level Systems as a Model for Biopolymer Extensibility. Phys. Rev. Lett. 1998, 81, 4764–4767. [Google Scholar] [CrossRef]
- Rief, M.; Pascual, J.; Saraste, M.; Gaub, H.E. Single molecule force spectroscopy of spectrin repeats: Low unfolding forces in helix bundles11Edited by W. Baumeister. J. Mol. Biol. 1999, 286, 553–561. [Google Scholar] [CrossRef]
- Cocco, S.; Yan, J.; Léger, J.-F.; Chatenay, D.; Marko, J.F. Overstretching and force-driven strand separation of double-helix DNA. Phys. Rev. E 2004, 70, 011910. [Google Scholar] [CrossRef]
- Manghi, M.; Destainville, N.; Palmeri, J. Mesoscopic models for DNA stretching under force: New results and comparison with experiments. Eur. Phys. J. E 2012, 35, 110. [Google Scholar] [CrossRef] [PubMed][Green Version]
- Marin-Gonzalez, A.; Vilhena, J.G.; Perez, R.; Moreno-Herrero, F. Understanding the mechanical response of double-stranded DNA and RNA under constant stretching forces using all-atom molecular dynamics. Proc. Natl. Acad. Sci. USA 2017, 114, 7049–7054. [Google Scholar] [CrossRef] [PubMed]
- Florio, G.; Puglisi, G. A predictive model for the thermomechanical melting transition of double stranded DNA. Acta Biomater. 2023, 157, 225–235. [Google Scholar] [CrossRef] [PubMed]
- Hänggi, P.; Talkner, P.; Borkovec, M. Reaction-rate theory: Fifty years after Kramers. Rev. Mod. Phys. 1990, 62, 251–341. [Google Scholar] [CrossRef]
- Kramers, H.A. Brownian motion in a field of force and the diffusion model of chemical reactions. Physica 1940, 7, 284–304. [Google Scholar] [CrossRef]
- Berglund, N. Kramers’ law: Validity, derivations and generalisations. Markov Process. Relat. Fields 2013, 19, 459–490. [Google Scholar] [CrossRef]
- Pollak, E.; Miret-Artés, S. Recent Developments in Kramers’ Theory of Reaction Rates. ChemPhysChem 2023, 24, e202300272. [Google Scholar] [CrossRef] [PubMed]
- Coffey, W.T.; Kalmykov, Y.P. The Langevin Equation; World Scientific Publishing: Singapore, 2012. [Google Scholar]
- Giordano, S.; Cleri, F.; Blossey, R. On the One-Dimensional Transition State Theory and the Relation between Statistical and Deterministic Oscillation Frequencies of Anharmonic Energy Wells. Ann. Phys. 2023, 535, 2300294. [Google Scholar] [CrossRef]
- Rico, F.; Gonzalez, L.; Casuso, I.; Puig-Vidal, M.; Scheuring, S. High-speed force spectroscopy unfolds titin at the velocity of molecular dynamics simulations. Science 2013, 342, 741–743. [Google Scholar] [CrossRef]
- Eghiaian, F.; Rico, F.; Colom, A.; Casuso, I.; Scheuring, S. High-speed atomic force microscopy: Imaging and force spectroscopy. FEBS Lett. 2014, 588, 3631–3638. [Google Scholar] [CrossRef]
- Manca, F.; Giordano, S.; Palla, P.L.; Zucca, R.; Cleri, F.; Colombo, L. Elasticity of flexible and semiflexible polymers with extensible bonds in the Gibbs and Helmholtz ensembles. J. Chem. Phys. 2012, 136, 154906. [Google Scholar] [CrossRef] [PubMed]
- Manca, F.; Giordano, S.; Palla, P.L.; Cleri, F.; Colombo, L. Response to “Comment on ‘Elasticity of flexible and semiflexible polymers with extensible bonds in the Gibbs and Helmholtz ensembles’”. J. Chem. Phys. 2013, 138, 157102. [Google Scholar] [CrossRef] [PubMed]
- Manca, F.; Giordano, S.; Palla, P.L.; Cleri, F. On the equivalence of thermodynamics ensembles for flexible polymer chains. Phys. A Stat. Mech. Appl. 2014, 395, 154–170. [Google Scholar] [CrossRef]
- Dimitrov, D.I.; Klushin, L.I.; Skvortsov, A.; Milchev, A.; Binder, K. The escape transition of a polymer: A unique case of non-equivalence between statistical ensembles. Eur. Phys. J. E 2009, 29, 9–25. [Google Scholar] [CrossRef] [PubMed]
- Winkler, R.G. Equivalence of statistical ensembles in stretching single flexible polymers. Soft Matter 2010, 6, 6183–6191. [Google Scholar] [CrossRef]
- Dutta, S.; Benetatos, P. Inequivalence of fixed-force and fixed-extension statistical ensembles for a flexible polymer tethered to a planar substrate. Soft Matter 2018, 14, 6857–6866. [Google Scholar] [CrossRef] [PubMed]
- Dutta, S.; Benetatos, P. Statistical ensemble inequivalence for flexible polymers under confinement in various geometries. Soft Matter 2019, 16, 2114–2127. [Google Scholar] [CrossRef]
- Noh, G.; Benetatos, P. Tensile elasticity of a freely jointed chain with reversible hinges. Soft Matter 2021, 17, 3333–3345. [Google Scholar] [CrossRef]
- Gammaitoni, L.; Marchesoni, F.; Menichella-Saetta, E.; Santucci, S. Stochastic Resonance in Bistable Systems. Phys. Rev. Lett. 1989, 62, 349–352. [Google Scholar] [CrossRef]
- Gammaitoni, L.; Hanggi, P.; Jung, P.; Marchesoni, F. Stochastic resonance. Rev. Mod. Phys. 1998, 70, 223–287. [Google Scholar] [CrossRef]
- Kima, W.K.; Hyeon, C.; Sung, W. Weak temporal signals can synchronize and acceleratethe transition dynamics of biopolymers under tension. Proc. Natl. Acad. Sci. USA 2012, 109, 14410–14415. [Google Scholar] [CrossRef] [PubMed]















Disclaimer/Publisher’s Note: The statements, opinions and data contained in all publications are solely those of the individual author(s) and contributor(s) and not of MDPI and/or the editor(s). MDPI and/or the editor(s) disclaim responsibility for any injury to people or property resulting from any ideas, methods, instructions or products referred to in the content. |
© 2024 by the authors. Licensee MDPI, Basel, Switzerland. This article is an open access article distributed under the terms and conditions of the Creative Commons Attribution (CC BY) license (https://creativecommons.org/licenses/by/4.0/).
Share and Cite
Cannizzo, A.; Giordano, S. Statistical Mechanics Approaches for Studying Temperature and Rate Effects in Multistable Systems. Symmetry 2024, 16, 632. https://doi.org/10.3390/sym16050632
Cannizzo A, Giordano S. Statistical Mechanics Approaches for Studying Temperature and Rate Effects in Multistable Systems. Symmetry. 2024; 16(5):632. https://doi.org/10.3390/sym16050632
Chicago/Turabian StyleCannizzo, Andrea, and Stefano Giordano. 2024. "Statistical Mechanics Approaches for Studying Temperature and Rate Effects in Multistable Systems" Symmetry 16, no. 5: 632. https://doi.org/10.3390/sym16050632
APA StyleCannizzo, A., & Giordano, S. (2024). Statistical Mechanics Approaches for Studying Temperature and Rate Effects in Multistable Systems. Symmetry, 16(5), 632. https://doi.org/10.3390/sym16050632
