Pseudo-Spin Symmetry and the Hints for Unstable and Superheavy Nuclei
Abstract
1. Introduction
2. Relativistic Hartree–Fock Model
2.1. Hamiltonian and Energy Functional
2.2. Effective Lagrangian and In-Medium Effects
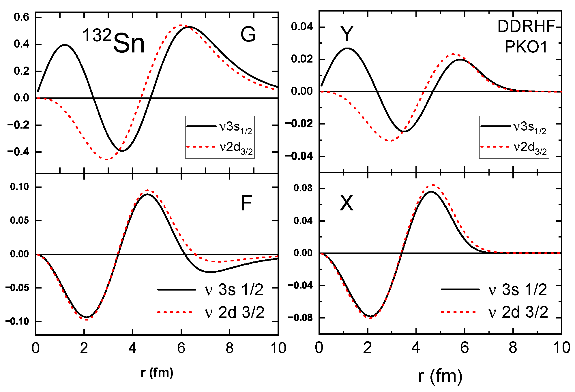
3. The PSS and the Fock Term
4. The PSS and Nuclear In-Medium Effects
4.1. Elimination of Artificial Shell Closures
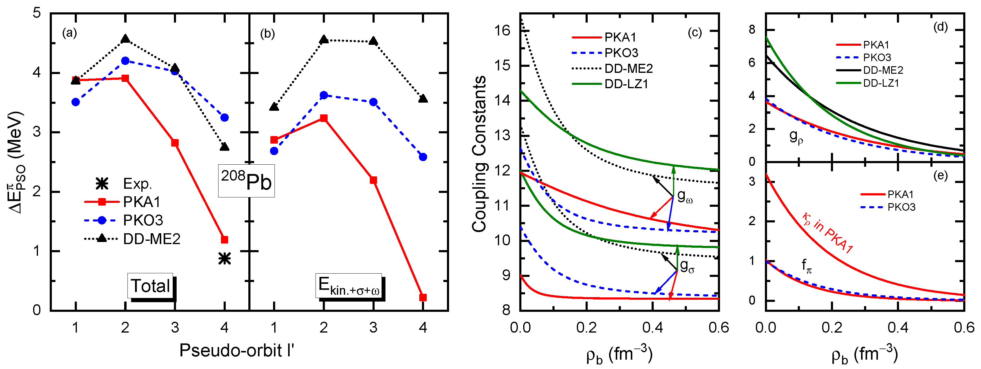
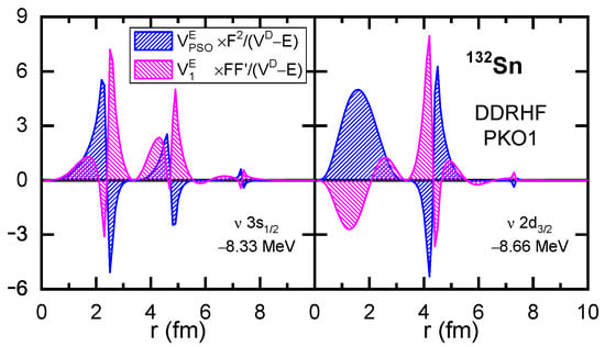
4.2. New Mechanism of PSS Restoration
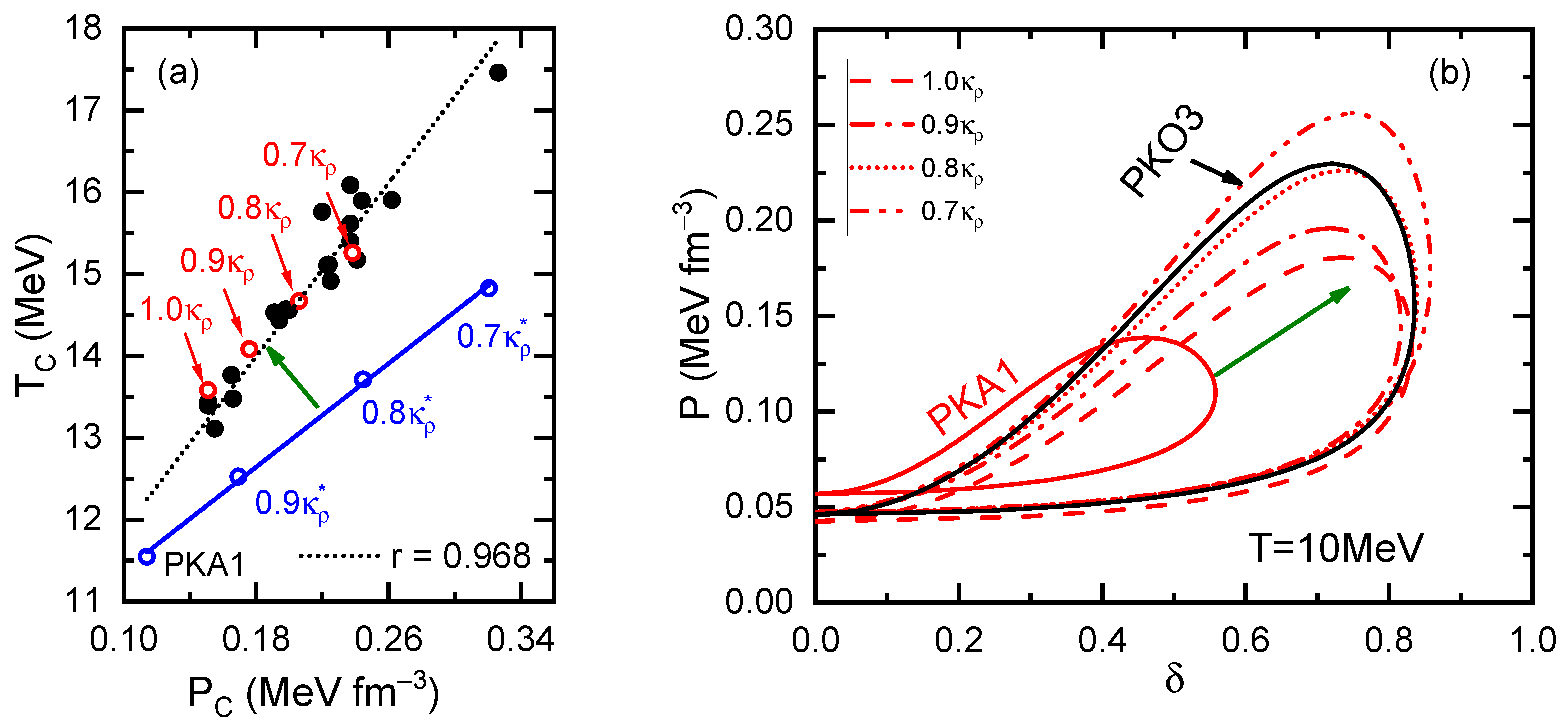
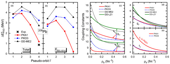
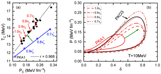
4.3. The Thermal Nuclear Matter and Development of New Effective Lagrangians
5. The PSS and Novel Nuclear Phenomena
5.1. Halo Occurrence and PSS Restoration
5.2. Bubble-like Structure and the PSS
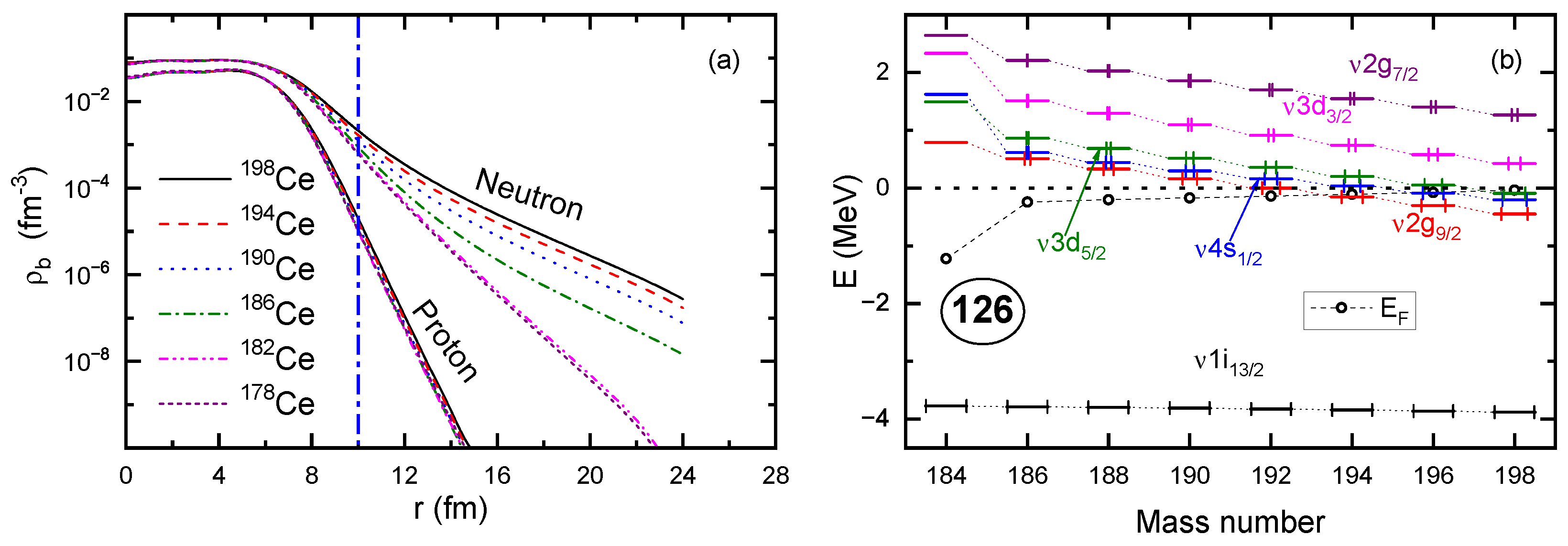
5.3. Superheavy Magicity and the PSS
6. Summary
Author Contributions
Funding
Data Availability Statement
Conflicts of Interest
Abbreviations
| RHF | Relativistic Hartree–Fock |
| RMF | Relativistic mean field |
| RHB | Relativistic Hartree–Bogoliubov |
| DDRHF | Density-dependent relativistic Hartree–Fock |
| RHFB | Relativistic Hartree–Fock–Bogoliubov |
| -T | -tensor |
| SHE | Superheavy element |
| SHN | Superheavy nuclei |
| PSS | Pseudo-spin symmetry |
| PS | Pseudo-spin |
| SO | Spin orbit |
| PSO | Pseudo-spin orbit |
| PCB | Pseudo-centrifugal barrier |
| PSOP | Pseudo-spin orbital potential |
| s.p. | Single particle |
| SPE | Single-particle energy |
| LG | Liquid–gas |
References
- Zhan, W.; Xu, H.; Xiao, G.; Xia, J.; Zhao, H.; Yuan, Y. Progress in HIRFL-CSR. Nucl. Phys. A 2010, 834, 694c–700c. [Google Scholar] [CrossRef]
- Gales, S. SPIRAL2 at GANIL: Next Generation of ISOL Facility for Intense Secondary Radioactive Ion Beams. Nucl. Phys. A 2010, 834, 717c–723c. [Google Scholar] [CrossRef]
- Motobayashi, T. RIKEN RI Beam Factory—Recent Results and Perspectives. Nucl. Phys. A 2010, 834, 707c–712c. [Google Scholar] [CrossRef]
- Sturm, C.; Sharkov, B.; Stöcker, H. 1, 2, 3…FAIR! Nucl. Phys. A 2010, 834, 682c–687c. [Google Scholar] [CrossRef]
- Thoennessen, M. Plans for the Facility for Rare Isotope Beams. Nucl. Phys. A 2010, 834, 688c–693c. [Google Scholar] [CrossRef]
- Tshoo, K.; Kim, Y.; Kwon, Y.; Woo, H.; Kim, G.; Kim, Y.; Kang, B.; Park, S.; Park, Y.H.; Yoon, J.; et al. Experimental systems overview of the Rare Isotope Science Project in Korea. Nucl. Instr. Meth. B 2013, 317, 242–247. [Google Scholar] [CrossRef]
- Tanihata, I. Nuclear Structure Studies from Reaction Induced by Radioactive Nuclear Beams. Prog. Part. Nucl. Phys. 1995, 35, 505–575. [Google Scholar] [CrossRef]
- Casten, R.F.; Sherrill, B.M. The Study of Exotic Nuclei. Prog. Part. Nucl. Phys. 2000, 45, S171–S233. [Google Scholar] [CrossRef]
- Jensen, A.S.; Riisager, K.; Fedorov, D.V.; Garrido, E. Structure and reactions of quantum halos. Rev. Mod. Phys. 2004, 76, 215. [Google Scholar] [CrossRef]
- Jonson, B. Light dripline nuclei. Phys. Rep. 2004, 389, 1–59. [Google Scholar] [CrossRef]
- Motobayashi, T.; Ikeda, Y.; Ando, Y.; Ieki, K.; Inoue, M.; Iwasa, N.; Kikuchi, T.; Kurokawa, M.; Moriya, S.; Ogawa, S.; et al. Large deformation of the very neutron-rich nucleus 32Mg from intermediate-energy Coulomb excitation. Phys. Lett. B 1995, 346, 9–14. [Google Scholar] [CrossRef]
- Simon, H.; Aleksandrov, D.; Aumann, T.; Axelsson, L.; Baumann, T.; Borge, M.J.G.; Chulkov, L.V.; Collatz, R.; Cub, J.; Dostal, W.; et al. Direct Experimental Evidence for Strong Admixture of Different Parity States in 11Li. Phys. Rev. Lett. 1999, 83, 496–499. [Google Scholar] [CrossRef]
- Ozawa, A.; Kobayashi, T.; Suzuki, T.; Tanihata, K.Y.I. New Magic Number, N = 16, near the Neutron Drip Line. Phys. Rev. Lett. 2000, 84, 5493. [Google Scholar] [CrossRef] [PubMed]
- Hoffman, C.R.; Baumann, T.; Bazin, D.; Brown, J.; Christian, G.; DeYoung, P.A.; Finck, J.E.; Frank, N.; Hinnefeld, J.; Howes, R.; et al. Determination of the N = 16 Shell Closure at the Oxygen Drip Line. Phys. Rev. Lett. 2008, 100, 152502. [Google Scholar] [CrossRef] [PubMed]
- Kanungo, R.; Nociforo, C.; Prochazka, A.; Aumann, T.; Boutin, D.; Cortina-Gil, D.; Davids, B.; Diakaki, M.; Farinon, F.; Geissel, H.; et al. One-Neutron Removal Measurement Reveals 24O as a New Doubly Magic Nucleus. Phys. Rev. Lett. 2009, 102, 152501. [Google Scholar] [CrossRef] [PubMed]
- Tshoo, K.; Satou, Y.; Bhang, H.; Choi, S.; Nakamura, T.; Kondo, Y.; Deguchi, S.; Kawada, Y.; Kobayashi, N.; Nakayama, Y.; et al. N = 16 Spherical Shell Closure in 24O. Phys. Rev. Lett. 2012, 109, 022501. [Google Scholar] [CrossRef] [PubMed]
- Steppenbeck, D.; Takeuchi, S.; Aoi, N.; Doornenbal, P.; Matsushita, M.; Wang, H.; Baba, H.; Fukuda, N.; Go, S.; Honma, M.; et al. Evidence for a new nuclear ’magic number’ from the level structure of 54Ca. Nature 2013, 502, 207–210. [Google Scholar] [CrossRef] [PubMed]
- Steppenbeck, D.; Takeuchi, S.; Aoi, N.; Doornenbal, P.; Matsushita, M.; Wang, H.; Utsuno, Y.; Baba, H.; Go, S.; Lee, J.; et al. Low-Lying Structure of 50Ar and the N = 32 Subshell Closure. Phys. Rev. Lett. 2015, 114, 252501. [Google Scholar] [CrossRef] [PubMed]
- Swiatecki, W.J. Discussions with Jens Lindhard. Phys. Scr. 1983, 28, 349. [Google Scholar] [CrossRef]
- Saunier, G.; Rouben, B.; Pearson, J. Bubbles and the odd-state force. Phys. Lett. B 1974, 48, 293–296. [Google Scholar] [CrossRef]
- Campi, X.; Sprung, D. Possible bubble nuclei -36Ar and 200Hg. Phys. Lett. B 1973, 46, 291–295. [Google Scholar] [CrossRef]
- Khan, E.; Grasso, M.; Margueron, J.; Van Giai, N. Detecting bubbles in exotic nuclei. Nucl. Phys. A 2008, 800, 37–46. [Google Scholar] [CrossRef]
- Grasso, M.; Gaudefroy, L.; Khan, E.; Nikšić, T.; Piekarewicz, J.; Sorlin, O.; Giai, N.V.; Vretenar, D. Nuclear ’bubble’ structure in 34Si. Phys. Rev. C 2009, 79, 034318. [Google Scholar] [CrossRef]
- Nakada, H.; Sugiura, K.; Margueron, J. Tensor-force effects on single-particle levels and proton bubble structure around the Z or N = 20 magic number. Phys. Rev. C 2013, 87, 067305. [Google Scholar] [CrossRef]
- Todd-Rutel, B.G.; Piekarewicz, J.; Cottle, P.D. Spin-orbit splitting in low-j neutron orbits and proton densities in the nuclear interior. Phys. Rev. C 2004, 69, 021301. [Google Scholar] [CrossRef]
- Wang, Y.Z.; Gu, J.Z.; Zhang, X.Z.; Dong, J.M. Tensor effects on the proton sd states in neutron-rich Ca isotopes and bubble structure of exotic nuclei. Phys. Rev. C 2011, 84, 044333. [Google Scholar] [CrossRef]
- Wang, Y.Z.; Hou, Z.Y.; Zhang, Q.L.; Tian, R.L.; Gu, J.Z. Effect of a tensor force on the proton bubble structure of 206Hg. Phys. Rev. C 2015, 91, 017302. [Google Scholar] [CrossRef]
- Afanasjev, A.V.; Frauendorf, S. Central depression in nuclear density and its consequences for the shell structure of superheavy nuclei. Phys. Rev. C 2005, 71, 024308. [Google Scholar] [CrossRef]
- Pei, J.C.; Xu, F.R.; Stevenson, P.D. Density distributions of superheavy nuclei. Phys. Rev. C 2005, 71, 034302. [Google Scholar] [CrossRef]
- Dechargé, J.; Berger, J.F.; Dietrich, K.; Weiss, M. Superheavy and hyperheavy nuclei in the form of bubbles or semi-bubbles. Phys. Lett. B 1999, 451, 275–282. [Google Scholar] [CrossRef]
- Li, J.J.; Long, W.H.; Song, J.L.; Zhao, Q. Pseudospin-orbit splitting and its consequences for the central depression in nuclear density. Phys. Rev. C 2016, 93, 054312. [Google Scholar] [CrossRef]
- Li, J.J.; Long, W.H.; Margueron, J.; Giai, N.V. 48Si: An atypical nucleus? Phys. Lett. B 2019, 788, 192–197. [Google Scholar] [CrossRef]
- Kajino, T.; Aoki, W.; Balantekin, A.B.; Diehl, R.; Famiano, M.A.; Mathews, G.J. Current status of r-process nucleosynthesis. Prog. Part. Nucl. Phys. 2019, 107, 109–166. [Google Scholar] [CrossRef]
- Cowan, J.J.; Sneden, C.; Lawler, J.E.; Aprahamian, A.; Wiescher, M.; Langanke, K.; Martínez-Pinedo, G.; Thielemann, F.K. Origin of the heaviest elements: The rapid neutron-capture process. Rev. Mod. Phys. 2021, 93, 015002. [Google Scholar] [CrossRef]
- Oganessian, Y.T.; Utyonkov, V.K.; Lobanov, Y.V.; Abdullin, F.S.; Polyakov, A.N.; Sagaidak, R.N.; Shirokovsky, I.V.; Tsyganov, Y.S.; Voinov, A.A.; Gulbekian, G.G.; et al. Synthesis of the isotopes of elements 118 and 116 in the 249Cf and 245Cm + 48Ca fusion reactions. Phys. Rev. C 2006, 74, 044602. [Google Scholar] [CrossRef]
- Oganessian, Y.T.; Abdullin, F.S.; Bailey, P.D.; Benker, D.E.; Bennett, M.E.; Dmitriev, S.N.; Ezold, J.G.; Hamilton, J.H.; Henderson, R.A.; Itkis, M.G.; et al. Synthesis of a New Element with Atomic Number Z = 117. Phys. Rev. Lett. 2010, 104, 142502. [Google Scholar] [CrossRef]
- Adamian, G.G.; Antonenko, N.V.; Sargsyan, V.V. Stability of superheavy nuclei produced in actinide-based complete fusion reactions: Evidence for the next magic proton number at Z ⩾ 120. Phys. Rev. C 2009, 79, 054608. [Google Scholar] [CrossRef]
- Arima, A.; Harvey, M.; Shimizu, K. Pseudo LS coupling and pseudo SU(3) coupling schemes. Phys. Lett. B 1969, 30, 517–522. [Google Scholar] [CrossRef]
- Hecht, K.T.; Adler, A. Generalized seniority for favored J ≠ 0 pairs in mixed configurations. Nucl. Phys. A 1969, 137, 129–143. [Google Scholar] [CrossRef]
- Ginocchio, J.N. A relativistic symmetry in nuclei. Phys. Rep. 1999, 315, 231–240. [Google Scholar] [CrossRef]
- Ginocchio, J.N. Relativistic symmetries in nuclei and hadrons. Phys. Rep. 2005, 414, 165–261. [Google Scholar] [CrossRef]
- Liang, H.Z.; Meng, J.; Zhou, S.G. Hidden pseudospin and spin symmetries and their origins in atomic nuclei. Phys. Rep. 2015, 570, 1–84. [Google Scholar] [CrossRef]
- Shen, S.; Liang, H.; Long, W.H.; Meng, J.; Ring, P. Towards an ab initio covariant density functional theory for nuclear structure. Prog. Part. Nucl. Phys. 2019, 109, 103713. [Google Scholar] [CrossRef]
- Ginocchio, J.N. Pseudospin as a Relativistic Symmetry. Phys. Rev. Lett. 1997, 78, 436. [Google Scholar] [CrossRef]
- Miller, L.D.; Green, A.E.S. Relativistic self-consistent meson field theory of spherical nuclei. Phys. Rev. C 1972, 5, 241. [Google Scholar] [CrossRef]
- Meng, J.; Sugawara-Tanabe, K.; Yamaji, S.; Ring, P.; Arima, A. Pseudospin symmetry in relativistic mean field theory. Phys. Rev. C 1998, 58, R628. [Google Scholar] [CrossRef]
- Nagai, Y.; Styczen, J.; Piiparinen, M.; Kleinheinz, P.; Bazzacco, D.; Brentano, P.V.; Zell, K.O.; Blomqvist, J. Proton Single-Particle States above Z = 64. Phys. Rev. Lett. 1981, 47, 1259–1262. [Google Scholar] [CrossRef]
- Long, W.H.; Sagawa, H.; Van Giai, N.; Meng, J. Shell structure and ρ-tensor correlations in density dependent relativistic Hartree-Fock theory. Phys. Rev. C 2007, 76, 034314. [Google Scholar] [CrossRef]
- Long, W.H.; Nakatsukasa, T.; Sagawa, H.; Meng, J.; Nakada, H.; Zhang, Y. Non-local mean field effect on nuclei near sub-shell. Phys. Lett. B 2009, 680, 428–431. [Google Scholar] [CrossRef]
- Long, W.H.; Ring, P.; Giai, N.V.; Meng, J. Relativistic Hartree-Fock-Bogoliubov theory with density dependent meson-nucleon couplings. Phys. Rev. C 2010, 81, 024308. [Google Scholar] [CrossRef]
- Li, J.J.; Long, W.H.; Margueron, J.M.; Van Giai, N. Superheavy magic structures in the relativistic Hartree-Fock-Bogoliubov approach. Phys. Lett. B 2014, 732, 169–173. [Google Scholar] [CrossRef]
- Jolos, R.; Voronov, V.V. Pseudospin symmetry and structure of nuclei with Z ≥ 100. Phys. Atom. Nucl. 2007, 70, 812–817. [Google Scholar] [CrossRef][Green Version]
- Dudek, J.; Nazarewicz, W.; Szymanski, Z.; Leander, G.A. Abundance and systematics of nuclear superdeformed states; relation to the pseudospin and pseudo-SU(3) symmetries. Phys. Rev. Lett. 1987, 59, 1405–1408. [Google Scholar] [CrossRef]
- Bahri, C.; Draayer, J.P.; Moszkowski, S.A. Pseudospin symmetry in nuclear physics. Phys. Rev. Lett. 1992, 68, 2133–2136. [Google Scholar] [CrossRef] [PubMed]
- Walecka, J.D. A theory of highly condensed matter. Ann. Phys. 1974, 83, 491–529. [Google Scholar] [CrossRef]
- Yukawa, H. On the interaction of elementary particles. Proc. Phys. Math. Soc. Jpn. 1935, 17, 48–57. [Google Scholar]
- Serot, B.D.; Walecka, J.D. The relativistic nuclear many-body problem. Adv. Nucl. Phys. 1986, 16, 1–327. [Google Scholar]
- Meng, J. Relativistic continuum Hartree-Bogoliubov theory with both zero range and finite range Gogny force and their application. Nucl. Phys. A 1998, 635, 3–42. [Google Scholar] [CrossRef]
- Vretenar, D.; Afanasjev, A.V.; Lalazissis, G.A.; Ring, P. Relativistic Hartree-Bogoliubov theory: Static and dynamic aspects of exotic nuclear structure. Phys. Rep. 2005, 409, 101–259. [Google Scholar] [CrossRef]
- Zhou, S.G.; Meng, J.; Ring, P. Toward a deformed relativistic Hartree Bogoliubov model for exotic nuclei. AIP Conf. Proc. 2006, 865, 90–95. [Google Scholar]
- Meng, J.; Toki, H.; Zhou, S.G.; Zhang, S.Q.; Long, W.H.; Geng, L.S. Relativistic continuum Hartree Bogoliubov theory for ground-state properties of exotic nuclei. Prog. Part. Nucl. Phys. 2006, 57, 470–563. [Google Scholar] [CrossRef]
- Li, L.L.; Meng, J.; Ring, P.; Zhao, E.G.; Zhou, S.G. Deformed relativistic Hartree-Bogoliubov theory in continuum. Phys. Rev. C 2012, 85, 024312. [Google Scholar] [CrossRef]
- Chen, Y.; Li, L.L.; Liang, H.Z.; Meng, J. Density-dependent deformed relativistic Hartree-Bogoliubov theory in continuum. Phys. Rev. C 2012, 85, 067301. [Google Scholar] [CrossRef]
- Meng, J.; Ring, P. Relativistic Hartree-Bogoliubov Description of the Neutron Halo in 11Li. Phys. Rev. Lett. 1996, 77, 3963–3966. [Google Scholar] [CrossRef]
- Meng, J.; Ring, P. Giant halo at the neutron drip line. Phys. Rev. Lett. 1998, 80, 460–463. [Google Scholar] [CrossRef]
- Meng, J.; Tanihata, I.; Yamaji, S. The proton and neutron distributions in Na isotopes: The development of halo and shell. Phys. Lett. B 1998, 419, 1–6. [Google Scholar] [CrossRef]
- Zhou, S.G.; Meng, J.; Ring, P.; Zhao, E.G. Neutron halo in deformed nuclei. Phys. Rev. C 2010, 82, 011301. [Google Scholar] [CrossRef]
- Sun, X.X. Deformed two-neutron halo in 19B. Phys. Rev. C 2021, 103, 054315. [Google Scholar] [CrossRef]
- Liang, H.; Shen, S.; Zhao, P.; Meng, J. Pseudospin symmetry in supersymmetric quantum mechanics: Schrödinger equations. Phys. Rev. C 2013, 87, 014334. [Google Scholar] [CrossRef]
- Shen, S.; Liang, H.; Zhao, P.; Zhang, S.; Meng, J. Pseudospin symmetry in supersymmetric quantum mechanics. II. Spin-orbit effects. Phys. Rev. C 2013, 88, 024311. [Google Scholar] [CrossRef]
- Alberto, P.; Fiolhais, M.; Malheiro, M.; Delfino, A.; Chiapparini, M. Isospin Asymmetry in the Pseudospin Dynamical Symmetry. Phys. Rev. Lett. 2001, 86, 5015–5018. [Google Scholar] [CrossRef] [PubMed]
- Alberto, P.; Fiolhais, M.; Malheiro, M.; Delfino, A.; Chiapparini, M. Pseudospin symmetry as a relativistic dynamical symmetry in the nucleus. Phys. Rev. C 2002, 65, 034307. [Google Scholar] [CrossRef]
- Huang, B.; Guo, J.Y.; Chen, S.W. Investigation of pseudospin and spin symmetries in relativistic mean field theory combined with a similarity renormalization group approach. Phys. Rev. C 2022, 105, 054313. [Google Scholar] [CrossRef]
- Marcos, S.; López-Quelle, M.; Niembro, R.; Savushkin, L.; Bernardos, P. On the sufficient conditions for the pseudospin symmetry in relativistic models. Phys. Lett. B 2001, 513, 30–36. [Google Scholar] [CrossRef]
- Lisboa, R.; Malheiro, M.; Alberto, P.; Fiolhais, M.; de Castro, A.S. Spin and pseudospin symmetries in the antinucleon spectrum of nuclei. Phys. Rev. C 2010, 81, 064324. [Google Scholar] [CrossRef]
- Ginocchio, J.N. Relativistic U(3) symmetry and pseudo-U(3) symmetry of the Dirac Hamiltonian. J. Phys. Conf. Ser. 2011, 267, 012037. [Google Scholar] [CrossRef]
- Lalazissis, G.A.; Gambhir, Y.K.; Maharana, J.P.; Warke, C.S.; Ring, P. Relativistic mean field approach and the pseudospin symmetry. Phys. Rev. C 1998, 58, R45–R48. [Google Scholar] [CrossRef]
- Sugawara-Tanabe, K.; Arima, A. Hidden pseudospin symmetry in the Dirac equation. Phys. Rev. C 1998, 58, R3065–R3068. [Google Scholar] [CrossRef]
- Ginocchio, J.N. Pseudospin symmetry and relativistic mean field eigenfunctions. Phys. Rev. C 2002, 66, 064312. [Google Scholar] [CrossRef]
- Sugawara-Tanabe, K.; Yamaji, S.; Arima, A. Spin symmetry and pseudospin symmetry in the relativistic mean field with a deformed potential. Phys. Rev. C 2002, 65, 054313. [Google Scholar] [CrossRef]
- Ginocchio, J.N.; Leviatan, A.; Meng, J.; Zhou, S.G. Test of pseudospin symmetry in deformed nuclei. Phys. Rev. C 2004, 69, 034303. [Google Scholar] [CrossRef]
- Sun, T.T.; Li, B.X.; Liu, K. Probing spin and pseudospin symmetries in deformed nuclei by the Green’s function method. Phys. Rev. C 2024, 109, 014323. [Google Scholar] [CrossRef]
- Zhang, Y.; Luo, Y.X.; Liu, Q.; Guo, J.Y. Pseudospin symmetry in resonant states in deformed nuclei. Phys. Lett. B 2023, 838, 137716. [Google Scholar] [CrossRef]
- Sun, T.T.; Lu, W.L.; Zhang, S.S. Spin and pseudospin symmetries in the single-Λ spectrum. Phys. Rev. C 2017, 96, 044312. [Google Scholar] [CrossRef]
- Lu, W.L.; Liu, Z.X.; Ren, S.H.; Zhang, W.; Sun, T.T. (Pseudo)spin symmetry in the single-neutron spectrum of Λ hypernuclei. J. Phys. G Nucl. Part. Phys. 2017, 44, 125104. [Google Scholar] [CrossRef]
- Guo, J.Y.; Wang, R.D.; Fang, X.Z. Pseudospin symmetry in the resonant states of nuclei. Phys. Rev. C 2005, 72, 054319. [Google Scholar] [CrossRef]
- Guo, J.Y.; Fang, X.Z. Isospin dependence of pseudospin symmetry in nuclear resonant states. Phys. Rev. C 2006, 74, 024320. [Google Scholar] [CrossRef]
- Liu, Q.; Niu, Z.M.; Guo, J.Y. Resonant states and pseudospin symmetry in the Dirac-Morse potential. Phys. Rev. A 2013, 87, 052122. [Google Scholar] [CrossRef]
- Lu, B.N.; Zhao, E.G.; Zhou, S.G. Pseudospin Symmetry in Single Particle Resonant States. Phys. Rev. Lett. 2012, 109, 072501. [Google Scholar] [CrossRef]
- Lu, B.N.; Zhao, E.G.; Zhou, S.G. Pseudospin symmetry in single-particle resonances in spherical square wells. Phys. Rev. C 2013, 88, 024323. [Google Scholar] [CrossRef]
- Dai, H.M.; Shi, M.; Chen, S.W.; Liu, Q. Influence of different fields of mesons on the pseudospin symmetry in single-neutron resonant states. Chin. Phys. C 2021, 45, 124102. [Google Scholar] [CrossRef]
- Sun, T.T.; Lu, W.L.; Qian, L.; Li, Y.X. Green’s function method for the spin and pseudospin symmetries in the single-particle resonant states. Phys. Rev. C 2019, 99, 034310. [Google Scholar] [CrossRef]
- Xu, Q. Isospin asymmetry of the pseudospin symmetry in nuclear resonant states. Eur. Phys. J. A 2019, 55, 54. [Google Scholar] [CrossRef]
- Sun, T.T.; Li, Z.P.; Ring, P. Conservation and breaking of pseudospin symmetry. Phys. Lett. B 2023, 847, 138320. [Google Scholar] [CrossRef]
- Liu, Q.; Zhang, Y.; Guo, J.Y. Pseudospin symmetry in resonant states and its dependence on the shape of potential. Phys. Lett. B 2022, 824, 136829. [Google Scholar] [CrossRef]
- Shi, X.X.; Liu, Q.; Guo, J.Y.; Ren, Z.Z. Pseudospin and spin symmetries in single particle resonant states in Pb isotopes. Phys. Lett. B 2020, 801, 135174. [Google Scholar] [CrossRef]
- Miller, L.D. Possible Validity of the Relativistic Hartree-Fock Approximation in Nuclear Physics. Phys. Rev. Lett. 1972, 28, 1281–1284. [Google Scholar] [CrossRef]
- Brockmann, R. Relativistic Hartree-Fock description of nuclei. Phys. Rev. C 1978, 18, 1510–1524. [Google Scholar] [CrossRef]
- Bouyssy, A.; Mathiot, J.F.; Giai, N.V.; Marcos, S. Relativistic description of nuclear systems in the Hartree-Fock approximation. Phys. Rev. C 1987, 36, 380–401. [Google Scholar] [CrossRef]
- Long, W.H.; Sagawa, H.; Meng, J.; Van Giai, N. Pseudo-spin symmetry in density-dependent relativistic Hartree-Fock theory. Phys. Lett. B 2006, 639, 242–247. [Google Scholar] [CrossRef]
- Long, W.H.; Sagawa, H.; Meng, J.; Van Giai, N. Evolution of nuclear shell structure due to the pion exchange potential. Europhys. Lett. 2008, 82, 12001. [Google Scholar] [CrossRef]
- Wang, L.J.; Dong, J.M.; Long, W.H. Tensor effects on the evolution of the N = 40 shell gap from nonrelativistic and relativistic mean-field theory. Phys. Rev. C 2013, 87, 047301. [Google Scholar] [CrossRef]
- Liang, H.; Long, W.H.; Meng, J.; Giai, N.V. Spin symmetry in Dirac negative-energy spectrum in density-dependent relativistic Hartree-Fock theory. Eur. Phys. J. A 2010, 44, 119–124. [Google Scholar] [CrossRef]
- Geng, J.; Li, J.J.; Long, W.H.; Niu, Y.F.; Chang, S.Y. Pseudospin symmetry restoration and the in-medium balance between nuclear attractive and repulsive interactions. Phys. Rev. C 2019, 100, 051301. [Google Scholar] [CrossRef]
- Sun, B.Y.; Long, W.H.; Meng, J.; Lombardo, U. Neutron star properties in density-dependent relativistic Hartree-Fock theory. Phys. Rev. C 2008, 78, 065805. [Google Scholar] [CrossRef]
- Jiang, L.J.; Yang, S.; Dong, J.M.; Long, W.H. Self-consistent tensor effects on nuclear matter systems within a relativistic Hartree-Fock approach. Phys. Rev. C 2015, 91, 025802. [Google Scholar] [CrossRef]
- Jiang, L.J.; Yang, S.; Sun, B.Y.; Long, W.H.; Gu, H.Q. Nuclear tensor interaction in a covariant energy density functional. Phys. Rev. C 2015, 91, 034326. [Google Scholar] [CrossRef]
- Wang, Z.H.; Zhao, Q.; Liang, H.Z.; Long, W.H. Quantitative analysis of tensor effects in the relativistic Hartree-Fock theory. Phys. Rev. C 2018, 98, 034313. [Google Scholar] [CrossRef]
- Long, W.H.; Ring, P.; Meng, J.; Van Giai, N.; Bertulani, C.A. Nuclear halo structure and pseudospin symmetry. Phys. Rev. C 2010, 81, 031302. [Google Scholar] [CrossRef]
- Li, J.J.; Margueron, J.; Long, W.H.; Giai, N.V. Magicity of neutron-rich nuclei within relativistic self-consistent approaches. Phys. Lett. B 2016, 753, 97–102. [Google Scholar] [CrossRef]
- Liu, J.; Niu, Y.F.; Long, W.H. New magicity N = 32 and 34 due to strong couplings between Dirac inversion partners. Phys. Lett. B 2020, 806, 135524. [Google Scholar] [CrossRef]
- Reinhard, P.G. The relativistic mean-field description of nuclei and nuclear dynamics. Rep. Prog. Phys. 1989, 52, 439. [Google Scholar] [CrossRef]
- Boguta, J.; Bodmer, A.R. Relativistic calculation of nuclear matter and the nuclear surface. Nucl. Phys. A 1977, 292, 413–428. [Google Scholar] [CrossRef]
- Sugahara, Y.; Toki, H. Relativistic mean-field theory for unstable nuclei with non-linear σ and ω terms. Nucl. Phys. A 1994, 579, 557–572. [Google Scholar] [CrossRef]
- Long, W.H.; Meng, J.; Giai, N.V.; Zhou, S.G. New effective interactions in relativistic mean field theory with nonlinear terms and density-dependent meson-nucleon coupling. Phys. Rev. C 2004, 69, 034319. [Google Scholar] [CrossRef]
- Brockmann, R.; Toki, H. Relativistic density-dependent Hartree approcah for finite nuclei. Phys. Rev. Lett. 1992, 68, 3408. [Google Scholar] [CrossRef]
- Lenske, H.; Fuchs, C. Rearrangement in the density dependent relativistic field theory of nuclei. Phys. Lett. B 1995, 345, 355. [Google Scholar] [CrossRef]
- Fuchs, C.; Lenske, H.; Wolter, H.H. Density dependent hadron field theory. Phys. Rev. C 1995, 52, 3043. [Google Scholar] [CrossRef]
- Typel, S.; Wolter, H.H. Relativistic mean field calculations with density-dependent meson-nucleon coupling. Nucl. Phys. A 1999, 656, 331–364. [Google Scholar] [CrossRef]
- Bernardos, P.; Fomenko, V.N.; Giai, N.V.; Quelle, M.L.; Marcos, S.; Niembro, R.; Savushkin, L.N. Relativistic Hartree-Fock approximation in a nonlinear model for nuclear matter and finite nuclei. Phys. Rev. C 1993, 48, 2665–2672. [Google Scholar] [CrossRef] [PubMed]
- Marcos, S.; Savushkin, L.N.; Fomenko, V.N.; López-Quelle, M.; Niembro, R. Description of nuclear systems within the relativistic Hartree-Fock method with zero-range self-interactions of the scalar field. J. Phys. G Nucl. Part. Phys. 2004, 30, 703. [Google Scholar] [CrossRef][Green Version]
- Long, W.H.; Van Giai, N.; Meng, J. Density-dependent relativistic Hartree-Fock approach. Phys. Lett. B 2006, 640, 150–154. [Google Scholar] [CrossRef]
- Roca-Maza, X.; Viñas, X.; Centelles, M.; Ring, P.; Schuck, P. Relativistic mean-field interaction with density-dependent meson-nucleon vertices based on microscopical calculations. Phys. Rev. C 2011, 84, 054309. [Google Scholar] [CrossRef]
- Sammarruca, F.; Chen, B.; Coraggio, L.; Itaco, N.; Machleidt, R. Dirac-Brueckner-Hartree-Fock versus chiral effective field theory. Phys. Rev. C 2012, 86, 054317. [Google Scholar] [CrossRef]
- Zuo, W.; Lejeune, A.; Lombardo, U.; Mathiot, J.F. Interplay of three-body interactions in the EOS of nuclear matter. Nucl. Phys. A 2002, 706, 418–430. [Google Scholar] [CrossRef]
- Shen, S.; Liang, H.; Meng, J.; Ring, P.; Zhang, S. Spin symmetry in the Dirac sea derived from the bare nucleon-nucleon interaction. Phys. Lett. B 2018, 781, 227–231. [Google Scholar] [CrossRef]
- Shen, S.; Liang, H.; Meng, J.; Ring, P.; Zhang, S. Effects of tensor forces in nuclear spin-orbit splittings from ab initio calculations. Phys. Lett. B 2018, 778, 344–348. [Google Scholar] [CrossRef]
- Shen, S.; Liang, H.; Meng, J.; Ring, P.; Zhang, S. Relativistic Brueckner-Hartree-Fock theory for neutron drops. Phys. Rev. C 2018, 97, 054312. [Google Scholar] [CrossRef]
- Lu, J.X.; Wang, C.X.; Xiao, Y.; Geng, L.S.; Meng, J.; Ring, P. Accurate Relativistic Chiral Nucleon-Nucleon Interaction up to Next-to-Next-to-Leading Order. Phys. Rev. Lett. 2022, 128, 142002. [Google Scholar] [CrossRef]
- Geng, L.S.; Meng, J.; Hiroshi, T.; Long, W.H.; Shen, G. Spurious Shell Closures in the relativistic mean field model. Chin. Phys. Lett. 2006, 23, 1139. [Google Scholar]
- Erkelenz, K. Current status of the relativistic two-nucleon one boson exhcange potential. Phys. Rep. 1974, 13, 191–258. [Google Scholar] [CrossRef]
- Meng, J. Relativistic Density Functional for Nuclear Structure; International Review of Nuclear Physics Volume 10; World Scientific Publishing: Singapore, 2016. [Google Scholar]
- Geng, J.; Xiang, J.; Sun, B.Y.; Long, W.H. Relativistic Hartree-Fock model for axially deformed nuclei. Phys. Rev. C 2020, 101, 064302. [Google Scholar] [CrossRef]
- Long, W.H.; Geng, J.; Liu, J.; Wang, Z.H. Relativistic Hartree-Fock model and its recent progress on the description of nuclear structure. Commun. Theor. Phys. 2022, 74, 097301. [Google Scholar] [CrossRef]
- Bardeen, J.; Cooper, L.N.; Schrieffer, J.R. Theory of Superconductivity. Phys. Rev. 1957, 108, 1175–1204. [Google Scholar] [CrossRef]
- Bogoliubov, N.N. A variation principle in the problem of many bodies. Dokl. Akad. Nauk. SSSR 1958, 119, 244–246. [Google Scholar]
- Bogoliubov, N.N.; Soloview, V.G. On a Variational Principle in the Many Body Problem. Dokl. Akad. Nauk. SSSR 1959, 124, 1011–1014. [Google Scholar]
- Valatin, J.G. Generalized Hartree-Fock Method. Phys. Rev. 1961, 122, 1012–1020. [Google Scholar] [CrossRef]
- Ring, P.; Schuck, P. The Nuclear Many-Body Problem; Springer: New York, NY, USA, 1980. [Google Scholar]
- Tian, Y.; Ma, Z.; Ring, P. A finite range pairing force for density functional theory in superfluid nuclei. Phys. Lett. B 2009, 676, 44–50. [Google Scholar] [CrossRef]
- Geng, J.; Long, W.H. Relativistic Hartree-Fock-Bogoliubov model for axially deformed nuclei. Phys. Rev. C 2022, 105, 034329. [Google Scholar] [CrossRef]
- Lalazissis, G.A.; Nikšić, T.; Vretenar, D.; Ring, P. New relativistic mean-field interaction with density-dependent meson-nucleon couplings. Phys. Rev. C 2005, 71, 024312. [Google Scholar] [CrossRef]
- Wei, B.; Zhao, Q.; Wang, Z.H.; Geng, J.; Sun, B.Y.; Niu, Y.F.; Long, W.H. Novel relativistic mean field Lagrangian guided by pseudo-spin symmetry restoration. Chin. Rhys. C 2020, 44, 074107. [Google Scholar] [CrossRef]
- Hohenberg, P.; Kohn, W. Inhomogeneous Electron Gas. Phys. Rev. 1964, 136, B864–B871. [Google Scholar] [CrossRef]
- Kohn, W.; Sham, L.J. Self-Consistent Equations Including Exchange and Correlation Effects. Phys. Rev. 1965, 140, A1133–A1138. [Google Scholar] [CrossRef]
- Sun, M.D.; Liu, Z.; Huang, T.H.; Zhang, W.Q.; Wang, J.G.; Liu, X.Y.; Ding, B.; Gan, Z.G.; Ma, L.; Yang, H.B.; et al. New short-lived isotope 223Np and the absence of the Z = 92 subshell closure near N = 126. Phys. Lett. B 2017, 771, 303–308. [Google Scholar] [CrossRef]
- Grawe, H.; Langanke, K.; Martínez-Pinedo, G. Nuclear structure and astrophysics. Rep. Prog. Phys. 2007, 70, 1525. [Google Scholar] [CrossRef]
- Berger, J.; Girod, M.; Gogny, D. Microscopic analysis of collective dynamics in low energy fission. Nucl. Phys. A 1984, 428, 23–36. [Google Scholar] [CrossRef]
- Chabanat, E.; Bonche, P.; Haensel, P.; Meyer, J.; Schaeffer, R. A Skyrme parametrization from subnuclear to neutron star densities Part II. Nuclei far from stabilities. Nucl. Phys. A 1998, 635, 231–256. [Google Scholar] [CrossRef]
- Lalazissis, G.A.; Karatzikos, S.; Fossion, R.; Arteaga, D.P.; Afanasjev, A.; Ring, P. The effective force NL3 revisited. Phys. Lett. B 2009, 671, 36–41. [Google Scholar] [CrossRef]
- Chomaz, P.; Colonna, M.; Randrup, J. Nuclear spinodal fragmentation. Phys. Rep. 2004, 389, 263–440. [Google Scholar] [CrossRef]
- Das, C.; Gupta, S.D.; Lynch, W.; Mekjian, A.; Tsang, M. The thermodynamic model for nuclear multifragmentation. Phys. Rep. 2005, 406, 1–47. [Google Scholar] [CrossRef][Green Version]
- Brown, G.E.; Holt, J.W.; Lee, C.H.; Rho, M. Vector manifestation and matter formed in relativistic heavy-ion processes. Phys. Rep. 2007, 439, 161–191. [Google Scholar] [CrossRef][Green Version]
- Li, B.A.; Chen, L.W.; Ko, C.M. Recent progress and new challenges in isospin physics with heavy-ion reactions. Phys. Rep. 2008, 464, 113–281. [Google Scholar] [CrossRef]
- Pethick, C.J. Cooling of neutron stars. Rev. Mod. Phys. 1992, 64, 1133–1140. [Google Scholar] [CrossRef]
- Prakash, M.; Bombaci, I.; Prakash, M.; Ellis, P.J.; Lattimer, J.M.; Knorren, R. Composition and structure of protoneutron stars. Phys. Rep. 1997, 280, 1–77. [Google Scholar] [CrossRef]
- Lattimer, J.M.; Prakash, M. The Physics of Neutron Stars. Science 2004, 304, 536–542. [Google Scholar] [CrossRef] [PubMed]
- Lattimer, J.M.; Prakash, M. The equation of state of hot, dense matter and neutron stars. Phys. Rep. 2016, 621, 127–164. [Google Scholar] [CrossRef]
- Aloy, M.A.; Ibáñez, J.M.; Sanchis-Gual, N.; Obergaulinger, M.; Font, J.A.; Serna, S.; Marquina, A. Neutron star collapse and gravitational waves with a non-convex equation of state. Mon. Not. R. Astron. Soc. 2019, 484, 4980–5008. [Google Scholar] [CrossRef]
- Müller, H.; Serot, B.D. Phase transitions in warm, asymmetric nuclear matter. Phys. Rev. C 1995, 52, 2072–2091. [Google Scholar] [CrossRef]
- Sharma, B.K.; Pal, S. Nuclear symmetry energy effects on liquid-gas phase transition in hot asymmetric nuclear matter. Phys. Rev. C 2010, 81, 064304. [Google Scholar] [CrossRef]
- Zhang, G.H.; Jiang, W.Z. Liquid-gas phase transition in hot asymmetric nuclear matter with density-dependent relativistic mean-field models. Phys. Lett. B 2013, 720, 148–152. [Google Scholar] [CrossRef]
- Fedoseew, A.; Lenske, H. Thermal properties of asymmetric nuclear matter. Phys. Rev. C 2015, 91, 034307. [Google Scholar] [CrossRef]
- Lourenço, O.; Dutra, M.; Menezes, D.P. Critical parameters of consistent relativistic mean-field models. Phys. Rev. C 2017, 95, 065212. [Google Scholar] [CrossRef]
- Yang, S.; Zhang, B.N.; Sun, B.Y. Critical parameters of the liquid-gas phase transition in thermal symmetric and asymmetric nuclear matter. Phys. Rev. C 2019, 100, 054314. [Google Scholar] [CrossRef]
- Yang, S.; Sun, X.D.; Geng, J.; Sun, B.Y.; Long, W.H. Liquid-gas phase transition of thermal nuclear matter and the in-medium balance between nuclear attraction and repulsion. Phys. Rev. C 2021, 103, 014304. [Google Scholar] [CrossRef]
- Zhao, Q.; Ren, Z.; Zhao, P.; Meng, J. Covariant density functional theory with localized exchange terms. Phys. Rev. C 2022, 106, 034315. [Google Scholar] [CrossRef]
- Wang, M.; Audi, G.; Kondev, F.G.; Huang, W.J.; Naimi, S.; Xu, X. The AME2016 atomic mass evaluation (II). Tables, graphs and references. Chin. Phys. C 2017, 41, 030003. [Google Scholar] [CrossRef]
- Zhao, P.W.; Li, Z.P.; Yao, J.M.; Meng, J. New parametrization for the nuclear covariant energy density functional with a point-coupling interaction. Phys. Rev. C 2010, 82, 054319. [Google Scholar] [CrossRef]
- Nikšić, T.; Vretenar, D.; Ring, P. Relativistic nuclear energy density functionals: Adjusting parameters to binding energies. Phys. Rev. C 2008, 78, 034318. [Google Scholar] [CrossRef]
- Meng, J.; Toki, H.; Zeng, J.Y.; Zhang, S.Q.; Zhou, S.G. Giant halo at the neutron drip line in Ca isotopes in relativistic continuum Hartree-Bogoliubov theory. Phys. Rev. C 2002, 65, 041302. [Google Scholar] [CrossRef]
- Delafosse, C.; Verney, D.; Marević, P.; Gottardo, A.; Michelagnoli, C.; Lemasson, A.; Goasduff, A.; Ljungvall, J.; Clément, E.; Korichi, A.; et al. Pseudospin Symmetry and Microscopic Origin of Shape Coexistence in the 78Ni Region: A Hint from Lifetime Measurements. Phys. Rev. Lett. 2018, 121, 192502. [Google Scholar] [CrossRef]
- Wilson, H.A. A Spherical Shell Nuclear Model. Phys. Rev. 1946, 69, 538. [Google Scholar] [CrossRef]
- Schwierz, N.; Wiedenhover, I.; Volya, A. Parameterization of the Woods-Saxon Potential for Shell-Model Calculations. arXiv 2007, arXiv:0709.3525. [Google Scholar]
- Isakov, V.; Erokhina, K.; Mach, H.; Sanchez-Vega, M.; Fogelberg, B. On the difference between proton and neutron spin-orbit splittings in nuclei. Eur. Phys. J. A 2002, 14, 29–36. [Google Scholar] [CrossRef]
- Oros, A.-M. Study of the Coupling between Collective and Single-Particle Excitation Modes in Medium Heavy Spherical Nuclei. Ph.D. Thesis, University of Köln, Köln, Germany, 1996. [Google Scholar]
- Mutschler, A.; Lemasson, A.; Sorlin, O.; Bazin, D.; Borcea, C.; Dombrádi, Z.; Ebran, J.P.; Gade, A.; Iwasaki, H.; Khan, E.; et al. A proton density bubble in the doubly magic 34Si nucleus. Nat. Phys. 2017, 13, 152–156. [Google Scholar] [CrossRef]
- Dechargé, J.; Berger, J.F.; Girod, M.; Dietrich, K. Bubbles and semi-bubbles as a new kind of superheavy nuclei. Nucl. Phys. A 2003, 716, 55–86. [Google Scholar] [CrossRef]



















| Hartree | Fock | -S | -V | -V | -PV | -T (VT) | |
|---|---|---|---|---|---|---|---|
| PKA1 | ✓ | ✓ | ✓ | ✓ | ✓ | ✓ | ✓ |
| PKO1 | ✓ | ✓ | ✓ | ✓ | ✓ | ✓ | × |
| PKO2 | ✓ | ✓ | ✓ | ✓ | ✓ | × | × |
| PKO3 | ✓ | ✓ | ✓ | ✓ | ✓ | ✓ | × |
| DD-ME2 | ✓ | × | ✓ | ✓ | ✓ | × | × |
| PKDD | ✓ | × | ✓ | ✓ | ✓ | × | × |
| DD-LZ1 | ✓ | × | ✓ | ✓ | ✓ | × | × |
| DD-ME2 | −2559.81 | 100.27 | 827.23 | −1637.39 |
| PKO3 | −1781.19 | −648.75 | 798.38 | −1636.80 |
| PKA1 | −795.09 | −1634.84 | 798.62 | −1636.27 |
| PKA1 | 11.55 | 0.050 | 0.114 | −40.69 | 0.196 |
| PKO3 | 14.57 | 0.048 | 0.198 | −75.03 | 0.286 |
| DD-ME2 | 13.11 | 0.044 | 0.155 | −62.92 | 0.267 |
| PK1 | 15.11 | 0.049 | 0.223 | −82.83 | 0.305 |
Disclaimer/Publisher’s Note: The statements, opinions and data contained in all publications are solely those of the individual author(s) and contributor(s) and not of MDPI and/or the editor(s). MDPI and/or the editor(s) disclaim responsibility for any injury to people or property resulting from any ideas, methods, instructions or products referred to in the content. |
© 2024 by the authors. Licensee MDPI, Basel, Switzerland. This article is an open access article distributed under the terms and conditions of the Creative Commons Attribution (CC BY) license (https://creativecommons.org/licenses/by/4.0/).
Share and Cite
Geng, J.; Wang, Z.; Liu, J.; Li, J.; Long, W. Pseudo-Spin Symmetry and the Hints for Unstable and Superheavy Nuclei. Symmetry 2024, 16, 631. https://doi.org/10.3390/sym16050631
Geng J, Wang Z, Liu J, Li J, Long W. Pseudo-Spin Symmetry and the Hints for Unstable and Superheavy Nuclei. Symmetry. 2024; 16(5):631. https://doi.org/10.3390/sym16050631
Chicago/Turabian StyleGeng, Jing, Zhiheng Wang, Jia Liu, Jiajie Li, and Wenhui Long. 2024. "Pseudo-Spin Symmetry and the Hints for Unstable and Superheavy Nuclei" Symmetry 16, no. 5: 631. https://doi.org/10.3390/sym16050631
APA StyleGeng, J., Wang, Z., Liu, J., Li, J., & Long, W. (2024). Pseudo-Spin Symmetry and the Hints for Unstable and Superheavy Nuclei. Symmetry, 16(5), 631. https://doi.org/10.3390/sym16050631

